Next Article in Journal
Experimental Investigation of Recycling Cement Kiln Dust (CKD) as a Co-Binder Material in Cemented Paste Backfill (CPB) Made with Copper Tailings
Next Article in Special Issue
Analysis of the Effect of Surfactants on the Performance of Apatite Column Flotation
Previous Article in Journal
Trace Element Compositions of Galena and Cerussite from the Bou Dahar MVT District, Morocco: Insights from LA-ICP-MS Analyses
 
 
Font Type:
Arial Georgia Verdana
Font Size:
Aa Aa Aa
Line Spacing:
Column Width:
Background:
Article

First Principle Study of the Relationship between Electronic Properties and Adsorption Energy: Xanthate Adsorption on Pyrite and Arsenopyrite

1
School of Civil and Environmental Engineering, University of Science and Technology Beijing, Beijing 100083, China
2
State Key Laboratory of Mineral Processing Science and Technology, BGRIMM Technology Group, Beijing 102600, China
*
Authors to whom correspondence should be addressed.
Minerals 2024, 14(8), 749; https://doi.org/10.3390/min14080749
Submission received: 17 June 2024 / Revised: 22 July 2024 / Accepted: 22 July 2024 / Published: 25 July 2024
(This article belongs to the Special Issue Surface Chemistry and Reagents in Flotation)

Abstract

This study investigates the correlation between the electronic structure of the active sites on mineral surfaces and their adsorption capacity. Density functional theory (DFT) and flotation experiments are employed to examine the bonding behavior and adsorption enthalpy of ethylxanthate on pyrite (1 0 0) and arsenopyrite (0 0 1) surfaces. The results indicate that ethylxanthate adsorbs more significantly on pyrite than on arsenopyrite. The adsorption is chemical, primarily occurring through the orbitals of sulfur in the ethylxanthate and iron on the mineral surface. Compared to arsenopyrite, the d-band center of the iron atoms on the surface of pyrite is closer to the Fermi level; thus, the adsorption strength of ethylxanthate on the pyrite surface is greater than on arsenopyrite. The d-band centers of pyrite and arsenopyrite exhibit a direct relationship with their adsorption capacity.

1. Introduction

The mineral arsenopyrite, which contains arsenic, is commonly found in abundance on Earth. Arsenopyrite, a sulfide mineral, is typically associated with other non-ferrous metal minerals. During flotation, the primary method used to improve and recover these non-ferrous metal minerals, collectors are also adsorbed onto the surface of arsenopyrite [1,2]. This results in significant amounts of arsenic in the flotation concentrate, which can seriously contaminate the metallurgical process [3,4]. Therefore, it is necessary to separate arsenopyrite from valuable minerals during the flotation process to enhance the mineral processing efficiency and protect the environment.
Despite the importance of separating arsenopyrite from pyrite, this task remains challenging due to the analogous structures and similar flotation behaviors of pyrite and arsenopyrite, coupled with the limited understanding of crucial aspects regarding reagent adsorption on their surfaces. These factors pose significant challenges in the flotation-based separation of pyrite and arsenopyrite.
To achieve effective mineral separation through flotation, the collector must exhibit distinct differences in the adsorption characteristics among various minerals. The chemical adsorption of the collector onto the surface of sulfide ores results in the varying adsorption capacities of the active sites due to their different electronic structures. Therefore, analyzing the electronic structure of the active sites on mineral surfaces and designing collectors accordingly is crucial for developing superior flotation separation performance.
Previous studies have explored the impact of the coordination structure of iron on the surface of marcasite (1 0 1) on its oxidation properties. Chen found that the presence of copper alters the orbital symmetry matching between collectors and sphalerite [5,6]. The electronic characteristics of bulk sphalerite containing 14 different types of impurities were investigated to assess their impact on flotation performance [7]. Li examined how the spatial and electrical structure of Z200 affects its adsorption on mineral surfaces [8]. Additionally, Long extensively investigated the difference in the density of states (DOSs) between sphalerite and copper-activated sphalerite, analyzing the underlying reasons for the variations in the xanthate adsorption capacity on mineral surfaces [9].
While extensive research has been conducted on the electronic structure of mineral surfaces, these studies have primarily focused on qualitative analyses of active sites. Consequently, there is no accurate method to quantify the variations in the chemical properties among different mineral surface active sites. In 2009, Nørskov introduced a highly valuable parameter known as the d-band center (DBC), which serves as an effective measure [10]. A larger DBC indicates a lower electron density in the antibonding orbitals, enhancing the bond stability and increasing adsorption capacity on mineral surfaces. Numerous research groups have validated this model through experimental and theoretical studies [11,12,13,14].
As the most commonly used collector in the flotation of sulfide minerals, understanding the adsorption characteristics of xanthate on pyrite and arsenopyrite surfaces is crucial for enriching the theoretical understanding of flotation reagent adsorption. In this research, we propose using a simulation approach to comprehensively examine the variations in the coordination structures of the active sites on the surfaces of arsenopyrite and pyrite. The aim is to investigate the effects of these variations in the electronic characteristics on adsorption. By utilizing the hypothesis of DBCs, validated through single-mineral flotation and adsorption enthalpy, we aim to establish a connection between the electronic properties of the active sites on mineral surfaces and the adsorption capacity of the reagents on these surfaces. The design of flotation reagents for arsenopyrite and pyrite could be guided by quantitatively describing the structural differences between the two minerals using the DBC.

2. Materials and Methods

2.1. Minerals and Reagents

Pure mineral samples of pyrite and arsenopyrite were obtained from Yunnan Province, China, and crushed to a size of −0.0074 nm. Figure 1 shows the XRD patterns of pyrite and arsenopyrite before and after adsorption, as well as the XRD patterns obtained from the crystal structure calculations. As can be seen from Figure 1, the purity of pyrite and arsenopyrite is high, and the data align well with the calculated results. The ethylxanthate used in the experiments was acquired from Tieling Flotation Reagent Factory in China, and all the water used was deionized.

2.2. Micro-Flotation Experiments

In the micro-flotation test, 5.0 g of ore and 40 milliliters of water were added to a 40-milliliter flotation cell (XFG-II, Jilin Prospecting Machinery Factory, Changchun, China). The pH was adjusted using 0.01 M NaOH or 0.01 M HCl, which were sourced from Sinopharm. After adding the capturing agent and stirring for 3 min, a foaming agent (MIBC) was added and stirred for an additional 2 min. Air was introduced throughout the test, and the stirring speed was maintained at 1850 rpm. The resulting flotation foam samples and tailings were collected, dried, and weighed.

2.3. Adsorption Experiments

The 50 mL pulp samples of pyrite or arsenopyrite were prepared by mixing the materials with 0.5 g ethylxanthate solutions and distilled water. The pulp was adjusted to the required pH values using 0.01 M NaOH and 0.01 M HCl. The samples were then stored at a predetermined temperature for 12 h in a shaker bath with a constant temperature. After centrifugation, the remaining concentration of ethylxanthate in the supernatant was quantified using an ultraviolet spectrophotometer (Cary 100 UV-Vis, Agilent, Australia). The quantity of ethylxanthate adsorbed onto the surfaces of pyrite and arsenopyrite was determined using Equation (1):
Q e = V ( C 0 C e ) 1000   m s
where Qe is the equilibrium adsorption capacity of ethylxanthate on the pyrite and arsenopyrite surfaces (mol/m2), C0 and Ce are the initial and equilibrium concentrations of ethylxanthate, respectively (mol/L), V is the volume of the solution (mL), S is the specific surface area of pyrite and arsenopyrite (m2/g), and m is the mass of pyrite and arsenopyrite (g).

2.4. Computation Approach

The molecular simulation computations were performed using the Dmol3 module within Material Studio software, version 2017, utilizing density functional theory. The calculated parameters included the GGA correlation parameters for exchange using PW91 [15,16,17,18], a cut-off energy of 660 eV, k-points of 2 × 2 × 2, maximum force of 1.0 × 10−5 Ha, maximum displacement of 2.0 × 10−3 Ha, maximum step size of 5.0 × 10−3, and a self-consistent field value of 1.0 × 10⁶ eV/atom. All the calculations included all the electrons and were performed with spin-polarization [19,20].
The equilibrium geometric structures of pyrite and arsenopyrite, calculated using DFT, are shown in Figure 2. Pyrite, with its cubic symmetry form and space group Pa3, and the cell parameter 5.417 Å [21], was used in our computations. For arsenopyrite, with triclinic symmetry, we used the crystal space group P-1 and the cell parameters a = 5.743 Å, b = 5.669 Å, and c = 5.787 Å [22]. The arsenopyrite (0 0 1) plane and pyrite (1 0 0) plane were determined as their most stable surfaces [23,24], leading to the creation of (2 × 2) supercells for each surface, separated by a vacuum of 15 Å, with only the top two atomic layers allowed to relax.
For the optimization of ethylxanthate, a cubic box of 15 × 15 × 15 Å3 was chosen at the gamma point. Figure 3a–c show the equilibrium geometries of ethylxanthate on the surfaces of arsenopyrite (0 0 1) and pyrite (1 0 0).
The adsorption energy (Eads) was calculated using Equation (2):
E a d s = E a d s o r b a t e s / s u r f a c e E s u r f a c e E a d s o r b a t e s
where Eads is the adsorption energy, Eadsorbates/surface is the computed energy of the ethylxanthate adsorbed on the arsenopyrite/pyrite surface, Esurface is the energy of the arsenopyrite/pyrite surface, and Eadsorbates is the energy of the ethylxanthate.
The d-band center (DBC) was calculated using Equation (3) [25]:
ε d = n d ( ε ) ε   d ε n d ( ε )   d ε
where ε d is the d-band center, n d is the energy, and ε is the density of states.

3. Results and Discussion

3.1. Micro-Flotation Experiments for Single Mineral

Figure 4 illustrates the impact of the ethylxanthate dosage and pH on the flotation recovery of arsenopyrite and pyrite. Both pyrite and arsenopyrite exhibit higher flotation recovery rates with an increase in the collector dosage. At a collector dosage of 4 mg/L, the flotation recoveries of pyrite and arsenopyrite reach 92.45% and 82.96%, respectively. Beyond this dosage, further increases do not significantly affect the flotation recovery of either mineral, suggesting that 4 mg/L is the optimal dosage for evaluating pH effects.
As shown in Figure 4b, as the pH increases from 3 to 12, the flotation recovery of pyrite decreases from 93.74% to 25.87%, while the recovery of arsenopyrite declines from 86.52% to 5.26%. Throughout the entire pH range, the recovery rate of pyrite when using ethylxanthate as the collector consistently exceeds that of arsenopyrite. This demonstrates that pyrite has a higher adsorption capacity for ethylxanthate compared to arsenopyrite.

3.2. Adsorption Thermodynamics

Figure 5 clearly shows that as the adsorption temperature increases, the ability of ethylxanthate to bind to the surfaces of pyrite and arsenopyrite also increases significantly. This indicates that ethylxanthate adsorption on pyrite and arsenopyrite surfaces is endothermic. The thermodynamic parameters of ethylxanthate adsorption on pyrite and arsenopyrite were determined by fitting the isothermal adsorption data using the Langmuir and Van’t Hoff equations [26,27].
Table 1 presents the collected adsorption thermodynamic data. According to the data, the adsorption enthalpy of ethylxanthate on pyrite is 59.25 kJ/mol, whereas the adsorption enthalpy on arsenopyrite is 38.99 kJ/mol. Based on the adsorption energy calculations, it can be seen that within the tested temperature range, the adsorption energy of ethyl xanthate on the surface of pyrite is greater than that on the surface of arsenopyrite.

3.3. COHP Analysis

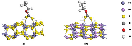
Figure 6a shows the equilibrium configuration of ethylxanthate adsorption on the surface of pyrite. It is evident that xanthate is adsorbed onto two Fe atoms on the (1 0 0) surface of pyrite through two S atoms, with an adsorption energy of −326.53 kJ/mol. The bond length of S1-Fe1 is 2.317 Å, which is similar to the bond length of S2-Fe2. Both bond lengths are smaller than the van der Waals radii sum of the Fe and S atoms (3.85 Å) [28], indicating that the adsorption of xanthate on the pyrite (1 0 0) surface is chemisorption.
Similarly, ethylxanthate adsorption on the surface of arsenopyrite (0 0 1) involves two S atoms from the collector binding with two Fe atoms on the arsenopyrite surface. The adsorption energy of ethylxanthate on arsenopyrite is −253.99 kJ/mol. The figure shows that the Fe3 on the arsenopyrite surface is coordinated with three S atoms and two As atoms. The bond length of S3-Fe3 is 2.400 Å, which is longer than the S1-Fe1 bond length. The bond length of the S4-Fe4 bond is 2.626 Å, which is also longer than the S2-Fe2 bond length but is still smaller than the van der Waals radius sum of the Fe and S atoms. This suggests that the adsorption of ethylxanthate on the arsenopyrite (0 0 1) surface is also chemisorption, but it is weaker than its adsorption on the pyrite (1 0 0) surface.
Since the adsorption of ethylxanthate on the surfaces of pyrite and arsenopyrite is chemical, it can be analyzed using molecular orbital theory. As shown in Figure 7, bond orbitals and antibond orbitals are formed after adsorption. Stable chemical bonds can be created when only the bonding orbitals are occupied. Conversely, stable chemical bonds cannot form if both the bonding and antibonding orbitals are occupied.
The Crystal Orbital Hamiltonian Population (COHP) method is used to analyze the chemical bonding in periodic systems through electronic structure calculations [29]. The COHP is an extension of the Crystal Orbital Overlap Population (COOP) method [30], which utilizes the overlap matrix as a weight for the density of states (DOSs). Instead of the overlap matrix, the COHP uses the Hamiltonian matrix, which reflects the energy contribution of each orbital interaction. The COHP values can be negative (indicating bonding) or positive (indicating antibonding). The integral of the COHP over a specific energy range can indicate the bond strength between groups. The COHP can be calculated using different types of basis sets, such as localized atomic orbitals or plane waves.
To study the differences between pyrite and arsenopyrite, the adsorption of ethylxanthate on the (1 0 0) surface of pyrite and the (0 0 1) surface of arsenopyrite was investigated using COHP analysis. This approach provides insights into the bond strength and electronic interactions involved in ethylxanthate adsorption on these mineral surfaces.
Figure 8 presents a COHP graph illustrating the bonds between the S in the ethylxanthate and the Fe on the mineral surfaces. The Crystal Orbital Hamiltonian Population (COHP) calculations provide a clear picture of the interactions between ethylxanthate and the minerals [31]. The intensity of the interaction between S and Fe can be observed from these graphs. Compared to xanthate adsorption on the pyrite surface, the antibonding orbitals have higher occupancy when xanthate is adsorbed on the arsenopyrite surface.
The COHP values and bond order for the Fe–S bonds resulting from ethylxanthate adsorption on the surfaces of pyrite and arsenopyrite are presented in Table 2. As shown in Table 2, the COHP values for the Fe–S bonds formed by ethylxanthate adsorption on the surface of pyrite are −0.064 Ha and −0.062 Ha, respectively. In contrast, the COHP values for the Fe–S bonds formed by ethylxanthate adsorption on the surface of arsenopyrite are −0.0482 Ha and −0.042 Ha, respectively. These results indicate the higher adsorption capacity of the pyrite surface for ethylxanthate compared to that of the arsenopyrite surface. This is evidenced by the lower COHP values for the Fe–S bonds formed on the surface of pyrite through ethylxanthate adsorption. Based on the bond order, it can be seen that chemical bonds are formed between Fe1–S1, Fe2–S2, Fe3–S3, and Fe4–S4, with the bond strength decreasing sequentially. This observation is consistent with the conclusions obtained from the COHP analysis.

3.4. The Analysis of the Density of States

Figure 9a shows the PDOS of the Fe atoms on the pyrite surface before and after ethylxanthate adsorption. Since the Fe atoms on the pyrite surface are all in a five-coordinate structure and have consistent chemical properties, only the PDOS of one Fe atom before and after adsorption is presented. When ethylxanthate is adsorbed on the surface of pyrite, the interaction between the 3p orbit of S and the 3d orbit of Fe in the ethylxanthate is also mainly in the range of 0.2 to 0 Ha.
As shown in Figure 9b, Fe3 is coordinated with three sulfur atoms and two arsenic atoms, while Fe4 is coordinated with two sulfur atoms and three arsenic atoms. The distribution of Fe3 above the Fermi level is greater than that of Fe4 above the Fermi level. When ethylxanthate is adsorbed on the surface of arsenopyrite, the interaction between the 3p orbit of the S and the 3d orbit of the Fe in the ethylxanthate is primarily in the range of 0.2 to 0 Ha.
Comparing Figure 9 and Figure 10, it can be seen that the 3d orbit of the Fe in pyrite is closer to the Fermi level than the 3d orbit of the Fe in arsenopyrite, indicating that the 3d orbit of the Fe in pyrite has fewer electrons than the 3d orbit in arsenopyrite. Consequently, after ethylxanthate is adsorbed to form a bond, the antibonding orbit formed by the 3p orbit of the S in the ethylxanthate and the 3d orbit of the Fe on the surface of pyrite has fewer electrons than the antibonding orbit formed by the 3p orbit of the S in the ethylxanthate and the 3d orbit of the Fe on the surface of arsenopyrite. Therefore, ethylxanthate exhibits a stronger adsorption capacity on the surface of pyrite.
Table 3 shows the changes in the Mulliken charges of the Fe on the surfaces of pyrite and arsenopyrite before and after the adsorption of ethylxanthate. As listed in Table 3, after the adsorption of ethylxanthate, the s, p, and d orbitals of the Fe gain electrons, with the d orbitals gaining significantly more electrons than the s and p orbitals. The PDOS analysis indicates that the interaction between the electrons in the Fe 3d orbitals and the S 3p orbitals of the ethylxanthate is crucial for influencing the adsorption of ethylxanthate on the surfaces of pyrite and arsenopyrite. This finding is consistent with Norskov’s research [32].
Additionally, the data show that pyrite gains more electrons than arsenopyrite, which further indicates that the interaction between ethylxanthate and pyrite is stronger than the interaction between ethylxanthate and arsenopyrite.

3.5. Correlation between the Adsorption Energy and DBC

In the context of adsorption, a higher d-band center (DBC) implies a greater availability of empty d-states for chemical bonding, leading to stronger molecule–substrate interactions and higher adsorption energies. This significantly affects the adsorption energy as molecules interact with these empty states during the adsorption process.
The presence of As and S in the coordination structure of the arsenopyrite surface causes Fe to adopt a different coordination structure compared to the pyrite surface, where Fe is solely coordinated with S. This disparity in the coordination structure results in variations in the DBC of Fe on the mineral surfaces. Analysis of Figure 9 and Figure 10 reveals that the DBC of Fe on pyrite surfaces is −0.043 Ha, whereas that on arsenopyrite surfaces is −0.069 Ha. The substitution of S atoms with As atoms in the mineral leads to a reduction in the DBC of the surface metal atom, consequently diminishing the adsorption capacity of the mineral surface toward the adsorbent.
Figure 10 presents a graph illustrating the correlation between the DBC and the adsorption energy. The graph demonstrates that the DBC of Fe on the surface of pyrite surpasses that on arsenopyrite. Furthermore, the adsorption energy of Fe on pyrite with ethylxanthate is higher compared to Fe on arsenopyrite.
This research indicates that the location of the DBC can function as a marker for the collector’s adsorption at different active sites on mineral surfaces. This discovery could significantly benefit the development of flotation reagents.

4. Conclusions

This study investigates the influence of the active site electronic structures on the adsorption characteristics of mineral surfaces using flotation tests, thermodynamic data fitting, and density functional theory (DFT) simulations. Micro-flotation experiments reveal that pyrite exhibits a higher adsorption capacity for ethylxanthate compared to arsenopyrite, with adsorption enthalpies of 59.25 kJ/mol and 38.99 kJ/mol, respectively.
The findings concerning the bond lengths and adsorption energies indicate that ethylxanthate exhibits superior adsorption on pyrite surfaces. The Covalent Orbital Hamilton Population (COHP) analysis shows that ethylxanthate forms stronger bonds with pyrite than with arsenopyrite. The density of states (DOSs) and Mulliken charge evaluations reveal that, during the adsorption process, electron transfer occurs more frequently within the Fe d orbitals of pyrite compared to arsenopyrite.
Further investigation using the d-band center (DBC) theory indicates that the adsorption capacity of Fe on pyrite surfaces is greater than that on arsenopyrite because the DBC of the Fe atoms on pyrite is closer to the Fermi level. This study demonstrates that ethylxanthate adsorbs more readily on pyrite surfaces. Therefore, in flotation process design, floating pyrite while depressing arsenopyrite flotation proves to be a more advantageous approach.

Author Contributions

Methodology, C.L.; Software, C.L. and Z.G.; Formal analysis, C.L. and T.L.; Investigation, G.W.; Resources, T.L.; Data curation, Q.C. and T.L.; Writing—review and editing, T.L. and Z.Z.; Visualization, Z.G. and Z.Z.; Supervision, Q.C. and G.W.; Project administration, Z.Z., Y.Z. and G.W.; Funding acquisition, Y.Z. All authors have read and agreed to the published version of the manuscript.

Funding

This research was funded by the National Natural Science Foundation of China, grants: U20A20269. The interface regulation mechanism of efficient flotation separation of complicated nonferrous metal resources and the design of targeted reagent molecules. The authors acknowledge the Beijing Super Cloud Center (BSCC) for providing HPC resources that have contributed to the research results reported within this paper. URL: http://www.blsc.cn/ (accessed on 18 April 2024).

Data Availability Statement

Data are contained within the article.

Conflicts of Interest

The authors declare no conflicts of interest.

References

  1. Alonso, D.L.; Latorre, S.; Castillo, E.; Brandao, P.F.B. Environmental occurrence of arsenic in Colombia: A review. Environ. Pollut. 2014, 186, 272–281. [Google Scholar] [CrossRef]
  2. Ma, X.; Bruckard, W.J. Rejection of arsenic minerals in sulfide flotation—A literature review. Int. J. Miner. Process. 2009, 93, 89–94. [Google Scholar] [CrossRef]
  3. Guo, L.; Hu, Z.; Du, Y.; Zhang, T.C.; Du, D. Mechanochemical activation on selective leaching of arsenic from copper smelting flue dusts. J. Hazard. Mater. 2021, 414, 125436. [Google Scholar] [CrossRef] [PubMed]
  4. Bruckard, W.J.; Davey, K.J.; Jorgensen, F.R.A.; Wright, S.; Brew, D.R.M.; Haque, N.; Vance, E.R. Development and evaluation of an early removal process for the beneficiation of arsenic-bearing copper ores. Miner. Eng. 2010, 23, 1167–1173. [Google Scholar] [CrossRef]
  5. Zhang, J.; Li, Y.; Chen, J. Water-oxygen interaction on marcasite (1 0 1) surface: DFT calculation. Int. J. Min. Sci. Technol. 2022, 32, 191–199. [Google Scholar] [CrossRef]
  6. Chen, J.; Li, Y. Orbital symmetry matching study on the interactions of flotation reagents with mineral surfaces. Miner. Eng. 2022, 179, 107469. [Google Scholar] [CrossRef]
  7. Chen, Y.; Chen, J.; Guo, J. A DFT study on the effect of lattice impurities on sphalerite’s electronic structures and floatability. Miner. Eng. 2010, 23, 1120–1130. [Google Scholar] [CrossRef]
  8. Chen, J.; Wang, J.; Li, Y.; Liu, M.; Liu, Y.; Zhao, G.; Cui, W. Effects of surface spatial structures and electronic properties of chalcopyrite and pyrite on Z-200 selectivity. Miner. Eng. 2021, 163, 106803. [Google Scholar] [CrossRef]
  9. Long, X.; Chen, J.; Chen, Y. Adsorption of ethyl xanthate on ZnS (110) surface in the presence of water molecules: A DFT study. Appl. Surf. Sci. 2016, 370, 11–18. [Google Scholar] [CrossRef]
  10. Greeley, J.; Stephens, I.E.L.; Bondarenko, A.S.; Johansson, T.P.; Hansen, H.A.; Jaramillo, T.F.; Rossmeisl, J.; Chorkendorff, I.N.J.K.; Nørskov, J.K. Alloys of platinum and early transition metals as oxygen reduction electrocatalysts. Nat. Chem. 2009, 1, 552–556. [Google Scholar] [CrossRef]
  11. Takigawa, I.; Shimizu, K.; Tsuda, K.; Takakusagi, S. Machine-learning prediction of the DBC for metals and bimetals. RSC Adv. 2016, 6, 52587–52595. [Google Scholar] [CrossRef]
  12. Hammer, B.; Nørskov, J.K. Theoretical surface science and catalysis—Calculations and concepts. Adv. Catal. 2000, 45, 71–129. [Google Scholar]
  13. Nørskov, J.K.; Bligaard, T.; Rossmeisl, J.; Christensen, C.H. Towards the computational design of solid catalysts. Nat. Chem. 2009, 1, 37–46. [Google Scholar] [CrossRef] [PubMed]
  14. Vojvodic, A.; Nørskov, J.K.; Abild-Pedersen, F. Electronic structure effects in transition metal surface chemistry. Top. Catal. 2014, 57, 25–32. [Google Scholar] [CrossRef]
  15. Jones, R.O.; Gunnarsson, O. The density functional formalism, its applications and prospects. Rev. Mod. Phys. 1989, 61, 689. [Google Scholar] [CrossRef]
  16. Marzari, N.; Vanderbilt, D.; Payne, M.C. Ensemble density-functional theory for ab initio molecular dynamics of metals and finite-temperature insulators. Phys. Rev. Lett. 1997, 79, 1337. [Google Scholar] [CrossRef]
  17. Perdew, J.P.; Chevary, J.A.; Vosko, S.H.; Jackson, K.A.; Pederson, M.R.; Singh, D.J.; Fiolhais, C. Atoms, molecules, solids, and surfaces: Applications of the generalized gradient approximation for exchange and correlation. Phys. Rev. B 1992, 46, 6671. [Google Scholar] [CrossRef]
  18. Anisimov, V.I.; Zaanen, J.; Andersen, O.K. Band Theory and Mott Insulators: Hubbard U Instead of Stoner I. Phys. Rev. B 1991, 44, 943–954. [Google Scholar] [CrossRef]
  19. Anisimov, V.I.; Aryasetiawan, F.; Lichtenstein, A.I. First-principles calculations of the electronic structure and spectra of strongly correlated systems: The LDA+U method. Phys. Condens. Matter 1997, 9, 767–808. [Google Scholar] [CrossRef]
  20. Vanderbilt, D. Soft self-consistent pseudopotentials in a generalized eigenvalue formalism. Phys. Rev. B 1990, 41, 7892–7895. [Google Scholar] [CrossRef]
  21. Bayliss, P. Crystal chemistry and crystallography of some minerals within the pyrite group. Am. Mineral. 1989, 74, 1168–1176. [Google Scholar]
  22. Morimoto, N.; Clark, L.A. Arsenopyrite crystal-chemical relations. Am. Mineral. J. Earth Planet. Mater. 1961, 46, 1448–1469. [Google Scholar]
  23. Dai, P.; Wei, Z.; Chen, L.; Liu, Y. Adsorption of butyl xanthate on arsenopyrite (0 0 1) and Cu2+-activated arsenopyrite (0 0 1) surfaces: A DFT study. Chem. Phys. 2022, 562, 111668. [Google Scholar] [CrossRef]
  24. Galvez-Martinez, S.; Escamilla-Roa, E.; Zorzano, M.P.; Mateo-Marti, E. Ar+ ion bombardment dictates glycine adsorption on pyrite (1 0 0) surface: X-ray photoemission spectroscopy and DFT approach. Appl. Surf. Sci. 2020, 530, 147182. [Google Scholar] [CrossRef]
  25. Jiao, S.; Fu, X.; Huang, H. Descriptors for the evaluation of electrocatalytic reactions: D-band theory and beyond. Adv. Funct. Mater. 2022, 32, 2107651. [Google Scholar] [CrossRef]
  26. Langmuir, I. The adsorption of gases on plane surfaces of glass, mica, and platinum. J. Am. Chem. Soc. 1918, 40, 1361–1403. [Google Scholar] [CrossRef]
  27. Chen, W.Y.; Huang, H.M.; Lin, C.C.; Lin, F.Y.; Chan, Y.C. Effect of temperature on hydrophobic interaction between proteins and hydrophobic adsorbents: Studies by isothermal titration calorimetry and the van’t Hoff equation. Langmuir 2003, 19, 9395–9403. [Google Scholar] [CrossRef]
  28. Luo, Y.; Ou, L.; Chen, J.; Zhang, G.; Jin, S.; Xia, Y.; Zhu, B.; Zhou, H. DFT insights into the sulfidation mechanism of Fe-impurity smithsonite. Miner. Eng. 2021, 170, 107057. [Google Scholar] [CrossRef]
  29. Nelson, R.; Ertural, C.; George, J.; Deringer, V.L.; Hautier, G.; Dronskowski, R. LOBSTER: Local orbital projections, atomic charges, and chemical-bonding analysis from projector-augmented-wave-based density-functional theory. J. Comput. Chem. 2020, 41, 1931–1940. [Google Scholar] [CrossRef]
  30. Nelson, E.; Wasson, J.; Kirk, J.; Keller, A.; Clark, D.; Dietrich, A.; Stewart, A.; Zubkoff, M. Assessment of function in routine clinical practice: Description of the COOP Chart method and preliminary findings. J. Chronic Dis. 1987, 40, 55S–63S. [Google Scholar] [CrossRef]
  31. Fang, Y.; Sun, H.; Peng, W.; Yuan, Q.; Zhao, C. Effect of surface [Cu4O] moieties on the activity of Cu-based catalysts. ACS Catal. 2022, 12, 5162–5173. [Google Scholar] [CrossRef]
  32. Nørskov, J.K.; Studt, F.; Abild-Pedersen, F.; Bligaard, T. Fundamental Concepts in Heterogeneous Catalysis; John Wiley & Sons: Hoboken, NJ, USA, 2014. [Google Scholar]
Figure 1. XRD patterns of (a) pyrite and (b) arsenopyrite.
Figure 1. XRD patterns of (a) pyrite and (b) arsenopyrite.
Minerals 14 00749 g001
Figure 2. Equilibrium geometries of (a) pyrite and (b) arsenopyrite.
Figure 2. Equilibrium geometries of (a) pyrite and (b) arsenopyrite.
Minerals 14 00749 g002
Figure 3. Equilibrium geometries of the (a) pyrite (1 0 0) surface, (b) arsenopyrite (0 0 1) surface, and (c) ethylxanthate.
Figure 3. Equilibrium geometries of the (a) pyrite (1 0 0) surface, (b) arsenopyrite (0 0 1) surface, and (c) ethylxanthate.
Minerals 14 00749 g003
Figure 4. Effects of different reagent dosages at (a) pH = 7.12, CMIBC = 2 mg/L and (b) pH CMIBC = 2 mg/L, Ccollcetor = 4 mg/L on the flotation recovery of arsenopyrite and pyrite.
Figure 4. Effects of different reagent dosages at (a) pH = 7.12, CMIBC = 2 mg/L and (b) pH CMIBC = 2 mg/L, Ccollcetor = 4 mg/L on the flotation recovery of arsenopyrite and pyrite.
Minerals 14 00749 g004
Figure 5. Adsorption isotherms of ethylxanthate on (a) pyrite surfaces and (b) arsenopyrite surfaces (t = 6 h and pH = 8.0).
Figure 5. Adsorption isotherms of ethylxanthate on (a) pyrite surfaces and (b) arsenopyrite surfaces (t = 6 h and pH = 8.0).
Minerals 14 00749 g005
Figure 6. Adsorption model of ethylxanthate on the surface of (a) pyrite and (b) arsenopyrite.
Figure 6. Adsorption model of ethylxanthate on the surface of (a) pyrite and (b) arsenopyrite.
Minerals 14 00749 g006
Figure 7. Molecular orbital model.
Figure 7. Molecular orbital model.
Minerals 14 00749 g007
Figure 8. COHP curves of ethylxanthate adsorption on the mineral. The Fermi level is set at 0 eV.
Figure 8. COHP curves of ethylxanthate adsorption on the mineral. The Fermi level is set at 0 eV.
Minerals 14 00749 g008
Figure 9. DOS of the S of the ethylxanthate, pyrite (a) and arsenopyrite (b) surface Fe before and after.
Figure 9. DOS of the S of the ethylxanthate, pyrite (a) and arsenopyrite (b) surface Fe before and after.
Minerals 14 00749 g009
Figure 10. Relationship between adsorption energy and DBC.
Figure 10. Relationship between adsorption energy and DBC.
Minerals 14 00749 g010
Table 1. The parameters of the adsorption thermodynamics.
Table 1. The parameters of the adsorption thermodynamics.
ΔH (kJ·mol−1)ΔS (J·mol−1K−1)ΔG (kJ·mol−1)
293.15 K298.15 K303.15 K308.15 K
Pyrite59.25276.45−21.79−23.17−24.55−25.94
Arsenopyrite38.99191.38−17.11−18.06−19.03−19.98
Table 2. The COHP of ethylxanthate adsorbed on the pyrite (1 0 0) surface and arsenopyrite (0 0 1) surface.
Table 2. The COHP of ethylxanthate adsorbed on the pyrite (1 0 0) surface and arsenopyrite (0 0 1) surface.
AdsorbateMineral SurfaceBondCOHP/HaBond Order
EthylxanthatePyrite (1 0 0)S1-Fe1−0.0640.57
S2-Fe2−0.0620.49
Arsenopyrite (0 0 1)S3-Fe3−0.0480.42
S4-Fe4−0.0420.40
Table 3. Changes in the Mulliken charges before and after the adsorption of ethylxanthate on the pyrite and arsenopyrite.
Table 3. Changes in the Mulliken charges before and after the adsorption of ethylxanthate on the pyrite and arsenopyrite.
Adsorption StateAtomspdTotalCharge
PyriteBeforeFe10.2770.4856.8557.6170.383
After0.2890.5056.9567.750.250
Change0.0120.020.1010.133
BeforeFe20.2770.4856.8557.6170.383
After0.2860.5036.9437.7320.268
Change0.0090.0180.0880.115
Xanthe (adsorbed on pyrite) BeforeS1.864.4606.31−0.31
After1.814.1505.960.04
Change−0.05−0.290−0.35
ArsenopyriteBeforeFe30.3440.5486.9267.8180.182
After0.3650.5616.9447.870.130
Change0.0210.0130.0180.052
BeforeFe40.4080.5056.9217.8340.166
After0.4250.5216.9537.8990.100
Change0.0170.0160.0320.065
Xanthe (adsorbed on arsenopyrite)BeforeS1.864.4606.31−0.31
After1.824.1906.01−0.01
Change−0.04−0.270−0.30
Disclaimer/Publisher’s Note: The statements, opinions and data contained in all publications are solely those of the individual author(s) and contributor(s) and not of MDPI and/or the editor(s). MDPI and/or the editor(s) disclaim responsibility for any injury to people or property resulting from any ideas, methods, instructions or products referred to in the content.

Share and Cite

MDPI and ACS Style

Cui, Q.; Liu, C.; Gao, Z.; Lu, T.; Zhao, Z.; Zhu, Y.; Wu, G. First Principle Study of the Relationship between Electronic Properties and Adsorption Energy: Xanthate Adsorption on Pyrite and Arsenopyrite. Minerals 2024, 14, 749. https://doi.org/10.3390/min14080749

AMA Style

Cui Q, Liu C, Gao Z, Lu T, Zhao Z, Zhu Y, Wu G. First Principle Study of the Relationship between Electronic Properties and Adsorption Energy: Xanthate Adsorption on Pyrite and Arsenopyrite. Minerals. 2024; 14(8):749. https://doi.org/10.3390/min14080749

Chicago/Turabian Style

Cui, Qiang, Chongjun Liu, Zehui Gao, Tong Lu, Zhiqiang Zhao, Yangge Zhu, and Guiye Wu. 2024. "First Principle Study of the Relationship between Electronic Properties and Adsorption Energy: Xanthate Adsorption on Pyrite and Arsenopyrite" Minerals 14, no. 8: 749. https://doi.org/10.3390/min14080749

APA Style

Cui, Q., Liu, C., Gao, Z., Lu, T., Zhao, Z., Zhu, Y., & Wu, G. (2024). First Principle Study of the Relationship between Electronic Properties and Adsorption Energy: Xanthate Adsorption on Pyrite and Arsenopyrite. Minerals, 14(8), 749. https://doi.org/10.3390/min14080749

Note that from the first issue of 2016, this journal uses article numbers instead of page numbers. See further details here.

Article Metrics

Back to TopTop