Abstract
A significant amount of pegmatite has been discovered on the northwest margin of the Qaidam basin. Among this, the Jiaolesayi pegmatite, located in the northwestern margin of the Quanji Massif (Oulongbuluke micro-continent), shows rare element mineralization potential. Detailed field investigations, along with mineralogical, geochemical, and zircon U-Pb geochronological studies, were carried out on the pegmatite. The results show that the Jiaolesayi pegmatite is syenite, without obvious compositional zoning in the outcrop. It exhibits a peraluminous, high-K calc-alkaline nature with strong depletions in Eu, Sr, Ba, Ti, and P, and high contents of Nb, Ta, Y, Ti, U, Th, and heavy rare earth elements (HREEs), which are primarily concentrated in allanite-(Ce), euxenite-(Y), limonite, thorite, and zircon. The geochemical and mineralogical features of the syenite pegmatite indicate it belongs to the euxenite-type in the rare element class (REE) of the NYF family, with the characteristic accessory mineral being euxenite-(Y). Its 10,000 Ga/Al ratios (2.46 to 2.96), Zr + Nb + Ce + Y contents (998 to 6202 ppm), Y/Nb ratios (0.62 to 0.75), and Yb/Ta ratios (0.80 to 1.49) show an affinity with A1-type granite. Zircons from the syenite sample yielded a weighted mean 206Pb/238U age of 413.6 ± 1.4 Ma, while the elevated U and Th concentrations in the zircons and Th/U ratios (0.04 to 0.16) suggest the possible influence of hydrothermal processes in the late-stage fractional crystallization. In the context of the regional tectonic evolution, the syenite pegmatite may have formed from a basic alkaline magma derived from an OIB-like melt with minor crustal contamination, under the post-collisional extension setting.
1. Introduction
Competition among countries for strategic resources such as lithium (Li), niobium (Nb), tantalum (Ta), and rare earth elements (REEs) is intensifying due to their critical role in emerging technologies and industries [1]. About 1%–2% of all pegmatites contain these rare elements, making these pegmatite deposits have significant economic value [2]. Pegmatites are primarily classified into two chemical families based on their distinctive rare element enrichment: the LCT (Lithium–Cesium–Tantalum) family and the NYF (Niobium–Yttrium–Fluorine) family [3,4]. Recent studies [5,6,7] have also proposed a mixed family (LCT + NYF) for pegmatites exhibiting characteristics of both.
Despite advancements in classification, LCT pegmatites dominate in both quantity and subtype diversity among rare element pegmatites. They also represent the most significant type of rare earth deposits and have become a primary focus of research [8]. LCT pegmatites are enriched in Li, Cs, and Ta, exhibit peraluminous features, and show compositional affinity with S-type granites [9]. They are believed to form during the late-stage crystallization differentiation of granitic melts, primarily in late orogenic and post-orogenic settings [4]. Globally renowned deposits such as Bikita [10] in Zimbabwe; Tanco [11] in Canada; Greenbushes [12] in Australia; and Dahongliutan [13] in China all belong to the LCT family. In contrast, NYF pegmatite signatures are relatively obscure. Pegmatites that fit this type enrich Nb, Ta, Y, Zr, U, Th, HREEs, and F. They often contain exotic minerals such as gadolinite, euxenite-(Y), polycrase-(Y), aeschynite-(Y), samarskite, thorite, allanite-(Ce), or fergusonite [14,15,16,17,18], and rarely exhibit regional zoning patterns [8,19,20]. NYF pegmatites typically show subaluminous or peraluminous characteristics, are closely associated with A-type granites, and form under non-orogenic settings [4]. NYF pegmatites also hold significant value for rare element resources, for instance, the Strange Lake deposit in Canada hosts over one million tons of high-grade REEs, ZrO2, Nb2O5, and BeO [21].
Since 2020, researchers have discovered over two hundred pegmatites with rare element mineralization potential in the western Quanji Massif, the northwest margin of the Qaidam basin (Figure 1C–E). These pegmatites were identified in the Niubiziliang, Dachaigou, and Jiaolesayi areas using remote sensing interpretation and identification technology [13,22]. Many pegmatites exhibit Nb, Ta, Rb, and HREE mineralization. The largest continuous vein verified in the field extends approximately 7 km. Previous researchers [23] reported a small Nb-Ta deposit in the Jiaolesayi area, but detailed studies were not conducted. Recently, the authors found several rare element-bearing pegmatites while examining the Nb-Ta deposit. Besides known Nb-Ta enrichment, the newly discovered pegmatites also significantly enrich Zr, Y, U, Th, and HREEs, showing the characteristics of NYF pegmatite. Therefore, through petrological, mineralogical, and geochemical analyses, combined with electron probe microanalysis (EPMA) and zircon U-Pb dating, this study aims to determine the geological features, mineral assemblages, possible petrogenesis, and geochronology of newly discovered rare element-bearing pegmatites in Jiaolesayi.
Figure 1.
(A) Location of the study area (based on Google Earth image). (B) Geological map of the northwest margin of Quanji Massif. Figure 2 is shown as red rectangle. (C–E) Remote sensing images of pegmatites in Niubiziliang, Dachaigou, and Jiaolesayi (unpublished images from Xi’an Center of China Geological Survey, 2020).
2. Geological Background
2.1. Regional Geology
The Jiaolesayi area is on the north margin of the Quanji Massif (Figure 1B), close to the Altun Tagh Fault which marks the northern margin of the Qinghai–Tibet Plateau [24]. The Quanji Massif, also known as the Oulongbuluke micro-continent, is one of several micro-massifs situated between the North China Craton (NCC) and Tarim Craton (TC) [25,26,27]. It extends WNW-ESE for nearly 500 km and measures about 50–100 km wide. Bounded by the Qilian orogenic belt to the northeast and the early Paleozoic north Qaidam high- to ultrahigh-pressure (HP-UHP) belt to the southwest [28,29] (Figure 1A), the Quanji Massif features a Paleoproterozoic medium to high-grade metamorphosed crystalline basement overlain by unmetamorphosed Neoproterozoic to Mesozoic strata [25,28,30,31,32]. This typical cratonic double-layered structure along with similarities to the Tarim Craton in terms of stratigraphic sequences, magmatic evolution, and metamorphic histories [33], suggests that this narrow ancient cratonic fragment was once part of the TC [26,34].
The metamorphic basement of the Quanji Massif is mainly composed of the Delingha complex and the Dakendaban Group paragneisses. The Delingha complex is primarily a suite of metamorphosed granitoids with ca. 2.41 Ga [35] amphibolite enclaves, grouped into Quanjishan, Delingha, Mohe, and Hudesheng granitoid plutons [36,37]. The Dakendaban Group comprises amphibolite-facies volcano-sedimentary rocks for its lower subgroup and metasedimentary rocks for its upper subgroup. The primary rock types include graphite–marble, sillimanite–garnet–biotite–quartz schist, graphite–biotite–quartz schist, amphibolite–plagioclase schist, garnet–biotite–plagioclase gneiss, and some garnet–amphibole pyroxene granulite lenses [38]. These aluminum-rich metamorphic rocks are identified as khondalite-series and have suffered multiple regional and dynamic metamorphic events [39,40]. The unconformably overlaying sedimentary cover, the Quanji Group, mainly consists of quartz sandstone with minor tuff beds [29]. Its maximum deposition age is determined at ca.1.73 Ga [41]. The long-term left-lateral strike-slip activity [42] of the Altun Tagh Fault has induced significant structural deformations in the adjacent Quanji Massif, resulting in intense deformation of the rocks. Combined with multiple metamorphic events, the original geological features within the rocks have been completely altered. The orientation of structural fabric within the Dakendaban Group is notably shifted from predominantly N-S to NEE-SWW as it approaches the Altun Tagh Fault.
The Silurian diorite is the only known massive intrusion in Jiaolesayi, as Mesozoic–Cenozoic sediments covered almost half of the area (Figure 2). Additionally, there are several small granites, granodiorite, alkali feldspar granite, granitic pegmatites, and quartz veins, including the previously reported Nb-Ta-bearing pegmatite, intruded in the Dakendaban Group and the Silurian diorite. Most of their ages remain uncertain due to the limited investigation, while the early studies suggested these veins formed during the Yanshanian Movement [23], without detailed geochronology data. However, this hypothesis has yet to be verified.
Figure 2.
Simplified geological map of Jiaolesayi.
2.2. Geological Characteristics of Jiaolesayi Pegmatite and Sample Description
Jiaolesayi pegmatites are generally exposed as lenses intruded into the garnet–biotite–plagioclase gneiss and marble of the Dakendaban Group, with clear boundaries and no signs of migmatization or anatexis. Four primary outcrops are located within a 2 km range from west to east, with widths ranging from 10 to 80 m (Figure 2). The previously reported Nb-Ta deposit is at the western end (Figure 3A,B), while the newly found pegmatite is at the eastern end. Pervasive joints and brittle fractures are well-developed in the pegmatite due to the activities of the Altun Tagh Fault (Figure 3C). Since the newly discovered pegmatite is close to the regional NEE-NSS trending faults, its northern margin exhibits brecciation and has developed some quartz veins that indicate hydrothermal activities caused by later tectonic activities (Figure 3E). Magnetites are widespread in the pegmatite, with a maximum grain size exceeding 3 cm (Figure 3D), and exhibit strong magnetic properties. No obvious mineral zoning features were observed in the pegmatite outcrops, distinguishing them from the significant zoning patterns of LCT-type pegmatite.
Figure 3.
Photographs and photomicrographs of pegmatite outcrops and rock samples from Jiaolesayi. (A) Previous reported Nb-Ta deposit, represented by the blue star in Figure 2. (B) Newly discovered pegmatite, represented by the green star in Figure 2, a person in the yellow circle as a scale. (C) Conjugated joints and brittle fractures developed in the flesh-red pegmatite. (D) Graphic structure and magnetite aggregates in the pegmatite. (E) Quartz veins intruded into the brecciated pegmatite. (F) Perthitic texture of perthite under a polarizing microscope. (G,H) Photomicrographs of graphic structure under a polarizing microscope. (I) Pegmatite with sericitization under a polarizing microscope. Abbreviations: Afs—alkali feldspar; Mc—mica; Or—orthoclase; Pl—plagioclase; Pth—perthite; Qz—quartz; Ser—sericite.
To investigate the rare element mineralization of the pegmatite, eight fresh pegmatite samples (D3301-1 to D3301-8) were collected from the newly discovered outcrop (Figure 2). All samples underwent bulk rock major and trace element analyses. D3301-1 was selected for zircon U-Pb dating. D3301-1 and D3301-4 were chosen for petrographic observation and EPMA analyses. These samples are generally flesh-red or brick-red in color, displaying a massive structure (Figure 3C) and typical graphic texture (Figure 3D). They mainly consist of fine- to coarse-grained, subhedral-to-euhedral alkali feldspar, orthoclase, quartz, mica, biotite, and plagioclase. The maximum grain size of orthoclase is about 8.3 cm, and quartz exceeds 10 cm. In the photomicrographs, quartz, alkali feldspar, and orthoclase exhibit typical graphic structures (Figure 3G,H), and sericite indicates the sericitization of plagioclase (Figure 3I). Accessory minerals including magnetite, allanite, zircon, limonite, pyrite, and thorite are observed under a reflecting microscope.
3. Analytical Methods
3.1. Major and Trace Element Analyses
Major element compositions were determined using a Zetium X-ray fluorescence spectrometer (XRF) manufactured by Malvern Panalytical Ltd., Almelo, The Netherlands, at the Yanduzhongshi Geological Analysis Laboratories Ltd., Beijing, China. The analytical errors for major elements were better than 1%. Trace elements of these samples were analyzed using an Aurora M90 inductively coupled mass spectrometer (ICP-MS) manufactured by Analytik Jena Ltd., Jena, Germany, with an analytical uncertainty better than 5%. The obtained trace element values in the GSR-2 standard are all consistent with their recommended values.
3.2. LA-ICP-MS Zircon U-Pb Dating
Zircon U-Pb dating and element analysis were conducted using a Coherent GeoLasPro 193 nm laser ablation system, Saxonburg, PA, USA, coupled to an Agilent 7700× ICP-MS at the Key Laboratory for the Study of Focused Magmatism and Giant Ore Deposits, Xi’an Center of Geological Survey (CGS), China. Helium was the carrier gas, and argon was used as the make-up gas to adjust sensitivity. The laser beam is focused at 36 µm. Each analysis included a background acquisition of approximately 10 s (gas blank), 40 s of sample signal acquisition, and 10 s for rinsing. U-Pb dating employed 91,500 and GJ-1 zircon standards, with common lead correction based on measured 204Pb [43]. Trace element compositions of zircons were calibrated using artificial synthetic silicate glass NIST610 of the American National Standard Substance Bureau as an external standard, with Si as the internal standard. Data analysis and element concentration calculations were performed using Glitter (ver. 4.4) [44]. The recommended element content values for NIST glass are sourced from the GeoReM database (http://georem.mpch-mainz.gwdg.de accessed on 28 March 2022). Detailed analytical procedures were described by Li [45].
3.3. EPMA Analysis
Mineral compositions were determined using a JEOL JXA-8230 Electron Probe Micro Analyzer (EPMA), Tokyo, Japan, equipped with four wavelength-dispersive spectrometers at the Yanduzhongshi Geological Analysis Laboratories Ltd., Beijing, China. Before the analyses, the samples were coated with a ca. 20 nm thin conductive carbon film. The analyses include an accelerating voltage of 15 kV, a beam current of 20 nA, and a 5 µm spot size. Natural minerals and synthetic oxides were used as standards. Data were corrected online using a modified ZAF (atomic number, absorption, fluorescence) correction procedure. Detailed EPMA methods are based on Yang [46].
4. Results
4.1. Major and Trace Elements
Whole-rock major and trace element compositions of the Jiaolesayi pegmatite samples are listed in Supplementary Table S1.
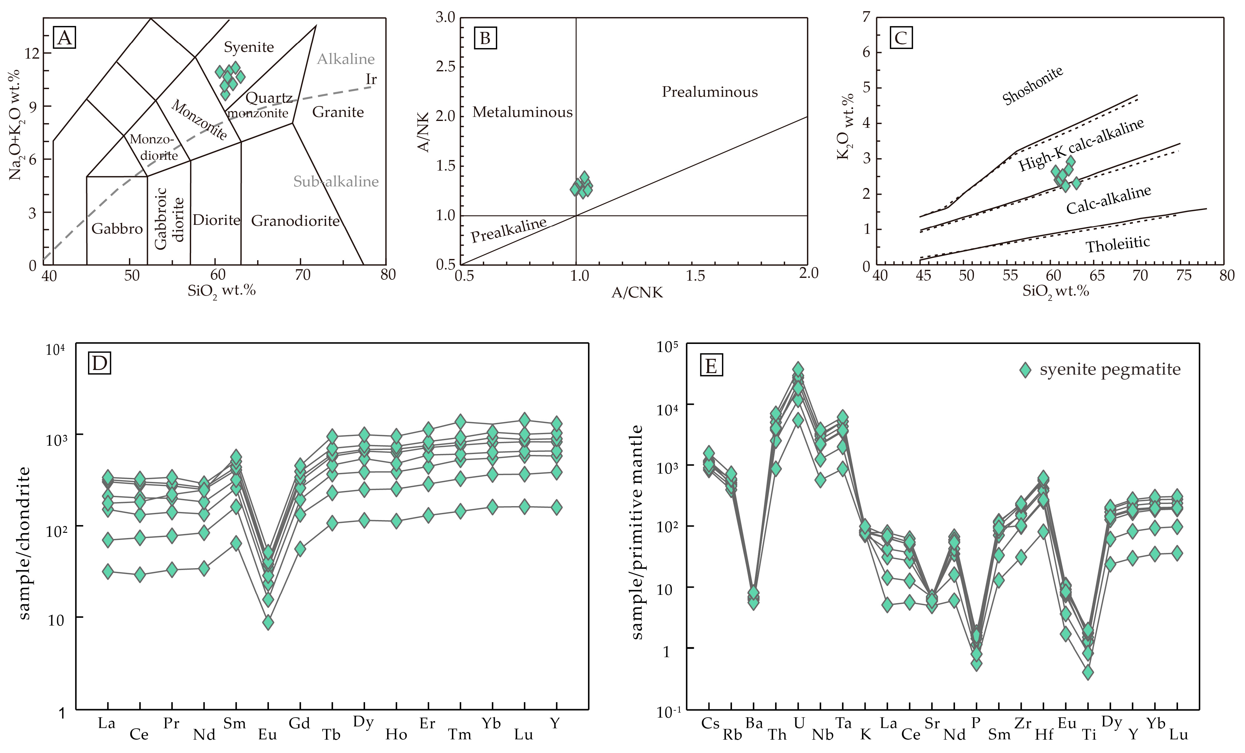
The Jiaolesayi pegmatite samples (D3301-1 to D3301-8) have medium SiO2 (60.61~63.02 wt.%) and Al2O3 (20.53~21.14 wt.%) contents, both in a narrow range, and high total alkali abundances (Na2O + K2O = 9.82~11.26 wt.%), with low MgO (0.07~0.18 wt.%), FeOT (1.04~2.68 wt.%), MnO (0.04~0.05 wt.%), TiO2 (0.09~0.35 wt.%), and P2O5 (<0.01~0.10 wt.%) contents. All samples plot in the syenite field of the TAS diagram (Figure 4A) and show weakly peraluminous characteristics in the A/NK vs. A/CNK diagram (A/CNK values of 1.00~1.05) (Figure 4B). They are located in the high-K calc-alkaline field in the K2O vs. SiO2 diagram (Figure 4C).
Figure 4.
Classification diagrams for the Jiaolesayi pegmatite. (A) Total alkalis (Na2O + K2O) vs. SiO2 (TAS) diagram after Middlemost [47]; (B) (A/NK) vs. (A/CNK) diagram, solid lines are after Peccerillo [48]; (C) K2O vs. SiO2 diagram after Rickwood [49], and (D) Chondrite-normalized REE patterns. (E) Primitive mantle-normalized trace element spider diagrams for the Jiaolesayi pegmatite samples. Normalizing data for the chondrite and primitive mantle are from Sun and McDonough [50]. Symbols: green diamond—syenite pegmatite samples.
The chondrite-normalized rare earth element (REE) patterns (Figure 4D) of the syenite pegmatite samples exhibit a medium left-sloping REE distribution, showing strong enrichment of HREEs, with (La/Yb)N ratios ranging from 0.14 to 0.37, and pronounced negative Eu anomalies (Eu/Eu* = 0.09–0.15). The ΣREE (total REE concentrations) of all samples range from 162 to 1286 ppm. On the primitive mantle-normalized trace element spider diagrams (Figure 4E), all samples exhibit similar wave-like patterns, characterized by pronounced negative anomalies of Ba, Sr, P, and Ti, and strong enrichment in large ion lithophile elements (LILEs, e.g., Cs and Rb) and high field strength elements (HFSEs, e.g., Nb, Ta, Zr, Hf, U, and Th).
4.2. Zircon U-Pb Geochronology
Zircons from the syenite pegmatite sample D3301-1 are subhedral to euhedral, transparent, and dark brown (Figure 5A). Most of them are incomplete crystal fragments. The complete ones have lengths ranging from 100 to 300 μm and widths from 50 to 150 μm, with a length/width ratio between 3:1 and 1.5:1. Core mantling structures and weak oscillatory zoning in the rims are visible. Their cathodoluminescence (CL) images are opaque and spongy (Figure 5A), which is common when zircons contain elevated rare elements [51]. The uranium (U) concentrations of the zircons range from 5795 to 12,393 ppm, thorium (Th) contents vary from 268 to 1169 ppm, and the Th/U ratios range from 0.04 to 0.16, indicating the possible influence of metamorphism or hydrothermal processes [52]. Therefore, the obtained data have been carefully checked, and 24 out of 30 concordant data points were chosen, resulting in a weighted mean 206Pb/238U age of 413.6 ± 1.4 Ma with a mean square weighted deviation (MSWD) of 1.2 (Figure 5B). Zircon data are listed in Supplementary Table S2.
Figure 5.
(A) Photomicrographs (cross-polarized light) and cathodoluminescence images of all tested zircons from Jiaolesayi pegmatite. (B) U-Pb Concordia diagram of sample D3301-1.
4.3. EPMA Analysis
Under reflected light microscopy, some anhedral to euhedral, transparent dark brown, columnar, or needle-like minerals were observed in samples D3301-1 and D3301-4. They are embedded in the blocky K-feldspar and quartz with a grain size of 100 to 500 μm (Figure 6A–C,G). EPMA later identified these minerals as euxenite-(Y). Their chemical compositions mainly consist of Nb2O5 (28.88 to 32.64 wt.%), TiO2 (21.97 to 24.11 wt.%), Y2O3 (15.65 to 21.20 wt.%), UO2 (5.52 to 11.88 wt.%), ΣREE (7.16 to 8.70 wt.%), ThO2 (3.06 to 4.22 wt.%), and Ta2O5 (1.05 to 2.57 wt.%). Other typical minerals in NYF pegmatites, including zircon, thorite, limonite, and allanite-(Ce), were also observed and identified (Figure 6C–G). The thorite is translucent yellow-brown, subhedral, with a grain size over 200 μm and ThO2 content up to 71.96 wt.%. The allanite-(Ce) is significantly enriched in REE (ΣREE content 20.54 to 24.95 wt.%) with Ce2O3 up to 12.00 wt.%. The limonite may be the oxidized product of pyrite from the late mineralization period. These HREE-bearing minerals could explain the significant enrichment of HREE in the chondrite-normalized REE patterns.
Figure 6.
Photomicrographs under a reflecting microscope. (A) Typical subhedral euxenite-(Y) grain. (B) Short columnar euxenite-(Y) aggregates. (C) Thorite and anhedral euxenite-(Y). (D) Zircon, euxenite-(Y), and later-formed limonite in between. (E) A partial enlargement of Figure (D). (F) Image (E) in plane-polarized light. (G) An allanite-(Ce) grain. (H,I) Euhedral euxenite-(Y) grains and the EPMA test locations. (J) Limonite pseudomorph with residual pyrite in the core. (K,L) BSE images of euhedral euxenite-(Y) grains. Abbreviations: Aln-(Ce)—allanite-(Ce); Eux—euxenite-(Y); Lm—limonite; Py—pyrite; Thr—thorite; Zr—zircon.
In the BSE images (Figure 6K,L), euhedral euxenite-(Y) grains appear almost homogenous without any obvious zoning. Some cracks and fractures are well-developed, extending into the host minerals (Figure 6H,I). High concentrations of UO2 and ThO2 in the euxenite-(Y) could produce radiogenic helium, which may form nano-bubbles within the crystal. These bubbles can contain pressures up to 500 MPa, causing fractures in the euxenite-(Y) and the surrounding minerals [53]. Detailed EPMA data are listed in Supplementary Table S3.
5. Discussion
5.1. Pegmatite Classification and Petrogenetic Type
Pegmatites are categorized based on their distinctive characteristics, such as the host rock’s metamorphic environment, mineralogy, element composition, and internal structure [14]. Since the subdivision of pegmatite classes was first proposed in 1979 [54], the classification of granitic pegmatites has become increasingly complex and detailed. The acknowledged LCT and NYF families have now been extended into the class–subclass-type–subtype hierarchy to describe their specific features and diversities [14].
In the rare element class of the NYF family, euxenite-type pegmatites typically contain aeschynite-group minerals (AGMs) and euxenite-group minerals (EGMs). These Y, REE, Nb, Ta, and Ti-bearing minerals share a common formula of AB2O6 and exhibit similar mineralogical characteristics, making them indistinguishable in hand specimens or under the microscope. Therefore, canonical discrimination analysis is used to distinguish between the AGMs and EGMs [55,56].
In the syenite pegmatite samples, those columnar, or needle-like minerals, with chemical compositions acquired by the EPMA (N = 9), were plotted in the EGM field (Figure 7A) and identified as euxenite-(Y) in the triangular discriminant graph (Figure 7B). According to the classification of Černý and Ercit [4], the geochemical and mineralogical features of syenite pegmatite indicate its affinity to the euxenite-type in the rare element class (REE) of the NYF family, with the characteristic accessory mineral being euxenite-(Y).
Figure 7.
(A) Canonical discrimination analysis of AGM and EGM and (B) triangular discriminant graph after Škoda [55]; (C) FeO*/MgO vs. Zr + Nb + Ce + Y; (D) ternary plot of Nb-Y-Ce after Eby [57] and (E) Zr vs. 10,000 Ga/Al, A-type granite discrimination diagrams after Whalen [58]. Symbols: pink squares—AGM, grey squares—EGM from Škoda [55], orange crosses—EPMA data in this study (Supplementary Table S3).
Most NYF pegmatites are associated with A-type granite, sharing similar features with their granite origin. While the definition and petrogenesis of A-type granite, first proposed in 1979 [59], remain debated [60], there is consensus on certain characteristics based on previous studies. These characteristics include high Fe*, K2O, Ga/Al ratios, enrichment in fluorine, high field strength elements (HFSEs), REEs, and low concentrations of Al2O3, Sr, Ba, Ti, P, with pronounced negative Eu anomalies [61,62,63,64].
However, whether syenite belongs to the A-type granite remains controversial due to its relatively low SO2 content. The Jiaolesayi syenite pegmatite’s SO2 content ranges from 60.61 to 63.2 wt.%, within the SO2 content range (60.4 to 79.8%) of the initial definition of the A-type granite [57]. Moreover, the syenite pegmatites are significantly enriched in HSFEs and REEs, exhibiting low tetrad effect in REE patterns (Figure 4D), and displaying some non-CHARAC (CHArge- and RAdius-Controlled) trace element ratios such as Zr/Hf (11.83 to 14.60), Nb/Ta (11.24 to 19.17), K/Rb (42.51 to 57.50), and La/Nb (0.01 to 0.04) [65]. Their 10000 Ga/Al ratios range from 2.46 to 2.96, and Zr + Nb + Ce + Y contents range from 998 to 6202 ppm, typical of A-type granite [57,62,64,66] (Figure 7C,E). Combined with their peraluminous, high-K calc-alkaline nature (Figure 4C), and the high content of Nb-Ta, low Y/Nb (0.62 to 0.75) and Yb/Ta (0.80 to 1.49) ratios, the Jiaolesayi pegmatites can be classified as A1-type granite in the ternary plot of Nb-Y-Ce after Eby [56] (Figure 7D). In some instances, Ga enrichments could be observed in the highly fractionated S- and I-type granites [67]. However, the Jiaolesayi syenite pegmatites have a shallow content of P2O5 (0.01~0.10 wt.%), which is significantly different from the fractionated S-type granite [68,69]. Their enrichment of HFSEs distinguishes them from the HFSE-depleted I-type granite [57]. Therefore, we consider the Jiaolesayi syenite pegmatites indicative of A1-type affinity [60].
5.2. Petrogenesis and Tectonic Setting
Granitic pegmatites are primarily formed by fractional crystallization of granitic magmas or by anatexis during high-grade metamorphism [70]. Although the Jiaolesayi pegmatites occur within the amphibolite- to granulite-facies metamorphosed Dakendaban Group, no migmatization or anatexis veins are observed along the contact boundaries, distinguishing them from pegmatites of anatexis origin [71]. Additionally, the syenite pegmatites have very low MgO (<0.18%) and P2O5 (<0.10%) contents, along with strong negative anomalies in Eu, Sr, P, and Ti, indicating intensive crystal fractionation [66,72]. Therefore, the Jiaolesayi syenite pegmatites are likely formed by fractional crystallization of their parental magma.
Generally, syenite/trachytic rocks are considered to form through three possible processes: fractional crystallization of the mantle-derived magma [73,74], anatexis of the thickened lower crust [75], and mixing of mafic and felsic magmas [76]. To reveal the geochemical signatures of the parental magma, incompatible element ratios such as Nb/Yb, Th/Yb, Y/Nb, and Yb/Ta are used as geochemical indicators due to their resistance to fractionation during partial melting and fractional crystallization [77].
As shown in Figure 8, the syenite pegmatite samples fall into the MORB-OIB array in the Nb/Yb vs. Th/Yb plot and the OIB-A1-type granite field, exhibiting OIB-like geochemical properties. This suggests a possible mantle-derived parental magma. The enrichment of incompatible elements (e.g., Nb, Ta) in the syenite pegmatite, with high Nb/La ratios (27 to 67), also supports a mantle-deep source [72,78]. Furthermore, melts derived from lower crust typically have high Sr/Y ratios (>40) [79], while the Jiaolesayi syenite pegmatites show low Sr/Y ratios (0.07 to 0.65), suggesting insignificant crustal material involvement. The elevated Nb and Ta contents also indicate minor crustal contamination, as Nb and Ta would significantly decrease during the crustal contamination process [80].
Figure 8.
(A) Plots of Nb/Yb vs. Th/Yb, after Wang [78], and (B) plots of Y/Nb vs. Yb/Ta, after Eby [56]. Black squares represent the three end-members in the MORB-OIB array. Abbreviations: OIB, oceanic island basalt; IAB, island arc basalt; N-MORB, normal middle oceanic ridge basalt; E-MORB, enriched middle oceanic ridge basalt; A1, A1 type granite; A2, A2 type granite.
Combined with the restricted SiO2 content, high alkali, and weakly peraluminous nature, the syenite pegmatite is likely formed from a basic alkaline magma derived from OIB-like melt, with minor crustal contamination. However, constraints on the magma source provided by incompatible elements are limited. It is necessary to combine these with isotopic characteristics of elements such as Pb, Nd, and Hf to more accurately reveal the magma source and the processes of magma evolution.
Previous studies suggest that the North Qaidam UHP continental subduction belt formed at ca. 440 to 420 Ma, during the transition from subduction to continental collision between the Qaidam and Central Qilian Block [81,82]. The Quanji Massif, located on the northern margin of the Qaidam Block, experienced post-collisional extension at ca. 415 Ma. This is indicated by the formation of the Subei pluton, which formed through low-pressure processes accompanied by a significant influx of mantle-derived OIB-like magma during the crustal thinning [83]. Therefore, under the same tectonic regime, the parental magma of the Jiaolesayi syenite pegmatite could have been derived from the same source, explaining the OIB-like geochemical signature in the syenite pegmatite, and experienced the protracted fractional crystallization with minor crustal contamination.
5.3. Implications for REE Mineralization in the Northwest Margin of the Qaidam Basin
NYF-type pegmatites have significant metallogenic potential to form rare earth/rare element deposits. The Jiaolesayi syenite pegmatite is the first reported NYF-type pegmatite in the western Quanji Massif in the northern margin of the Qaidam basin. The characteristic accessory minerals in the pegmatite, such as euxenite-(Y) and thorite, can be used to extract Nb, Ta, U, and other rare earth elements, providing great economic value. During 410–420 Ma, the Quanji Massif was under an extensional tectonic setting, providing a favorable geological environment for the formation of NYF-type pegmatites. The discovery of the Jiaolesayi syenite pegmatite has indicative significance for the exploration of rare earth/rare element mineralization in the northern margin of the Qaidam basin.
6. Conclusions
The Jiaolesayi syenite pegmatite contains high contents of Nb, Ta, Y, Ti, U, Th, and HREE, forming typical rare element-bearing minerals such as allanite-(Ce), euxenite-(Y), limonite, thorite, and zircon. The geochemical and mineralogical features of the syenite indicate it belongs to the euxenite-type in the rare element class (REE) of the NYF family, with the characteristic accessory mineral being euxenite-(Y) and showing an affinity with A1-type granite. The syenite pegmatite may have formed from a basic alkaline magma derived from an OIB-like melt, with minor crustal contamination, under the post-collisional extension setting at ca. 413.6 ± 1.4 Ma.
Supplementary Materials
The following supporting information can be downloaded at: https://www.mdpi.com/article/10.3390/min14080805/s1, Table S1: Bulk rock major and trace element geochemical data for Jiaolesayi pegmatite; Table S2: The LA-ICP-MS analytical results of U-Pb isotopes for zircons of Jiaolesayi pegmatite; Table S3: EPMA compositions of minerals from the pegmatite samples in Jiaolesayi.
Author Contributions
Conceptualization, L.Z. and X.P.; methodology, Y.G. and M.L.; software, Y.W.; validation, N.D., Y.Z. and Y.J.; formal analysis, K.C.; investigation, L.Z., Y.J., N.D., Y.Z. and J.W.; data curation, Y.J.; writing—original draft preparation, L.Z.; writing—review and editing, Z.L.; visualization, L.Z.; funding acquisition, L.Z. All authors have read and agreed to the published version of the manuscript.
Funding
This research was financially supported by the Natural Science Basis Research Program of Shaanxi (Grant No. 2023-JC-QN-0342), the China Geology Survey project (Grant No. DD20211551 and DD20243309), and the Youth Innovation Team of Shaanxi Universities (Grant No. 2022-36).
Data Availability Statement
The authors confirm that the data supporting the findings of this study are available within the article.
Acknowledgments
The authors thank Zonghui Li and Huanhuan Wu of the Xi’an Center of Mineral Resources Survey, CGS, for their guidance, and appreciate all the editors and reviewers for their constructive suggestions.
Conflicts of Interest
The authors declare no conflict of interest.
References
- Linnen, R.L.; Van Lichtervelde, M.; Cerny, P. Granitic Pegmatites as Sources of Strategic Metals. Elements 2012, 8, 275–280. [Google Scholar] [CrossRef]
- London, D. A petrologic assessment of internal zonation in granitic pegmatites. Lithos 2014, 184–187, 74–104. [Google Scholar] [CrossRef]
- Černý, P. Rare-element granitic pegmatites. Part I: Anatomy and internal evolution of pegmatite deposits. Geosci. Can. 1991, 18, 49–67. [Google Scholar]
- Černý, P.; Ercit, T.S. The classification of granitic pegmatites revisited. Can. Mineral. 2005, 43, 2005–2026. [Google Scholar] [CrossRef]
- Müller, A.; Romer, R.L.; Pedersen, R.-B. The Sveconorwegian pegmatite province–thousands of pegmatites without parental granites. Can. Mineral. 2017, 55, 283–315. [Google Scholar] [CrossRef]
- Turlin, F.; André-Mayer, A.-S.; Moukhsil, A.; Vanderhaeghe, O.; Gervais, F.; Solgadi, F.; Groulier, P.-A.; Poujol, M. Unusual LREE-rich, peraluminous, monazite-or allanite-bearing pegmatitic granite in the central Grenville Province, Québec. Ore Geol. Rev. 2017, 89, 627–667. [Google Scholar] [CrossRef]
- Bonzi, W.M.-E.; Van Lichtervelde, M.; Vanderhaeghe, O.; André-Mayer, A.-S.; Salvi, S.; Wenmenga, U. Insights from mineral trace chemistry on the origin of NYF and mixed LCT+ NYF pegmatites and their mineralization at Mangodara, SW Burkina Faso. Miner. Depos. 2023, 58, 75–104. [Google Scholar] [CrossRef]
- Ercit, T.S. REE-enriched granitic pegmatites. In Rare-Element Geochemistry and Mineral Deposits; Linnen, R.L., Samson, I.M., Eds.; GAC Short Course Notes; Geological Association of Canada: St. John’s, NL, Canada, 2005; Volume 17, pp. 175–199. [Google Scholar]
- Chappell, B.W.; White, A.J. Two contrasting granite types: 25 years later. Aust. J. Earth Sci. 2001, 48, 489–499. [Google Scholar] [CrossRef]
- Dittrich, T.; Seifert, T.; Schulz, B.; Hagemann, S.; Gerdes, A.; Pfänder, J. Archean Rare-Metal Pegmatites in Zimbabwe and Western Australia: Geology and Metallogeny of Pollucite Mineralisations; Springer: Berlin/Heidelberg, Germany, 2019; Volume 134. [Google Scholar]
- Stilling, A.; Ćerný, P.; Vanstone, P.J. The Tanco pegmatite at Bernic Lake, Manitoba. XVI. Zonal and bulk compositions and their petrogenetic significance. Can. Mineral. 2006, 44, 599–623. [Google Scholar] [CrossRef]
- Partington, G.; McNaughton, N.; Williams, I. A review of the geology, mineralization, and geochronology of the Greenbushes pegmatite, Western Australia. Econ. Geol. 1995, 90, 616–635. [Google Scholar] [CrossRef]
- Gao, Y.; Bagas, L.; Li, K.; Jin, M.; Liu, Y.; Teng, J. Newly Discovered Triassic Lithium Deposits in the Dahongliutan Area, NorthWest China: A Case Study for the Detection of Lithium-Bearing Pegmatite Deposits in Rugged Terrains Using Remote-Sensing Data and Images. Front. Earth Sci. 2020, 8, 591966. [Google Scholar] [CrossRef]
- Černý, P.; London, D.; Novak, M. Granitic Pegmatites as Reflections of Their Sources. Elements 2012, 8, 289–294. [Google Scholar] [CrossRef]
- Zhang, H.-X.; Jiang, S.-Y.; Yuan, F.; Liu, S.-Q. LA-(MC)-ICP-MS U-Th-Pb dating and Nd isotopes of allanite in NYF pegmatite from lesser Qingling orogenic belt, central China. Ore Geol. Rev. 2022, 145, 104893. [Google Scholar] [CrossRef]
- Simmons, W.B.; Webber, K.; Falster, A. NYF pegmatites of the South Platte district, Colorado. Can. Mineral. 1999, 37, 836–838. [Google Scholar]
- Novák, M.; Filip, J. Unusual (Na,Mg)-enriched beryl and its breakdown products (beryl ii, bazzite, bavenite) from euxenite-type nyf pegmatite related to the orogenic ultrapotassic trebíc pluton, Czech republic. Can. Mineral. 2010, 48, 615–628. [Google Scholar] [CrossRef]
- Colombo, F.; Simmons, W.; Falster, A.U.; Lira, R. Occurrence, crystal chemistry and alteration of thorite from the NYF-type miarolitic pegmatites of the El Portezuelo Granite, Papachacra (Catamarca, NW Argentina). Asoc. Geol. Argent. Ser. D Publ. Espec. 2011, 14, 65–67. [Google Scholar]
- Simmons, W.B.; Lee, M.T.; Brewster, R.H. Geochemistry and evolution of the South Platte granite-pegmatite system, Jefferson County, Colorado. Geochim. Cosmochim. Acta 1987, 51, 455–471. [Google Scholar] [CrossRef]
- Smeds, S.A. Zoning and fractionation trends of a peraluminous NYF granitic pegmatite field at Falun, south-central Sweden. GFF 1994, 116, 175–184. [Google Scholar] [CrossRef]
- Vasyukova, O.; Williams-Jones, A.E. Fluoride–silicate melt immiscibility and its role in REE ore formation: Evidence from the Strange Lake rare metal deposit, Québec-Labrador, Canada. Geochim. Cosmochim. Acta 2014, 139, 110–130. [Google Scholar] [CrossRef]
- Jin, M.S.; Gao, Y.B.; Li, C.; Song, Z.B.; Yan, Z.Q. Remote Sensing Prospecting Method for Pegmatite Type Rare Metal Deposit—Taking Dahongliutan Area in Western Kunlun for Example. Northwest. Geol. 2019, 52, 222–231. [Google Scholar]
- Yang, S.Q. Ore Body features and prospecting indicators of Jiaolesayi Nb-Ta deposit in Gansu Province. Gansu Sci. Technol. 2009, 25, 29–30. [Google Scholar]
- Liu, L.; Wang, C.; Cao, Y.-T.; Chen, D.-L.; Kang, L.; Yang, W.-Q.; Zhu, X.-H. Geochronology of multi-stage metamorphic events: Constraints on episodic zircon growth from the UHP eclogite in the South Altyn, NW China. Lithos 2012, 136, 10–26. [Google Scholar] [CrossRef]
- Lu, S.; Li, H.; Zhang, C.; Niu, G. Geological and geochronological evidence for the Precambrian evolution of the Tarim Craton and surrounding continental fragments. Precambr. Res. 2008, 160, 94–107. [Google Scholar] [CrossRef]
- Gong, S.; Chen, N.; Wang, Q.; Kusky, T.; Wang, L.; Zhang, L.; Ba, J.; Liao, F. Early Paleoproterozoic magmatism in the Quanji Massif, northeastern margin of the Qinghai–Tibet Plateau and its tectonic significance: LA-ICPMS U–Pb zircon geochronology and geochemistry. Gondwana Res. 2012, 21, 152–166. [Google Scholar] [CrossRef]
- Liao, F.; Zhang, L.; Chen, N.; Sun, M.; Santosh, M.; Wang, Q.; Mustafa, H.A. Geochronology and geochemistry of meta-mafic dykes in the Quanji Massif, NW China: Paleoproterozoic evolution of the Tarim Craton and implications for the assembly of the Columbia supercontinent. Precambr. Res. 2014, 249, 33–56. [Google Scholar] [CrossRef]
- Chen, N.; Zhang, L.; Sun, M.; Wang, Q.; Kusky, T. U–Pb and Hf isotopic compositions of detrital zircons from the paragneisses of the Quanji Massif, NW China: Implications for its early tectonic evolutionary history. J. Asian Earth Sci. 2012, 54, 110–130. [Google Scholar] [CrossRef]
- Gong, S.; He, C.; Wang, X.-C.; Chen, N.; Kusky, T. No plate tectonic shutdown in the early Paleoproterozoic: Constraints from the ca. 2.4 Ga granitoids in the Quanji Massif, NW China. J. Asian Earth Sci. 2019, 172, 221–242. [Google Scholar] [CrossRef]
- Yu, S.; Zhang, J.; Li, S.; Sun, D.; Li, Y.; Liu, X.; Guo, L.; Suo, Y.; Peng, Y.; Zhao, X. Paleoproterozoic granulite-facies metamorphism and anatexis in the Oulongbuluke Block, NW China: Respond to assembly of the Columbia supercontinent. Precambr. Res. 2017, 291, 42–62. [Google Scholar] [CrossRef]
- Yu, S.; Li, S.; Zhang, J.; Liu, Y.; Peng, Y.; Sun, D.; Li, Y. Grenvillian orogeny in the Oulongbuluke block, NW China: Constraints from an ~1.1 Ga Andean-type arc magmatism and metamorphism. Precambr. Res. 2019, 320, 424–437. [Google Scholar] [CrossRef]
- Wang, C.; Yu, S.; Sun, D.; Lv, P.; Feng, Z.; Wang, G.; Gou, J. Mesoproterozoic tectonic-thermal events in the Oulongbuluke Block, NW China: Constraints on the transition from supercontinent Columbia to Rodinia. Precambr. Res. 2021, 352, 106010. [Google Scholar] [CrossRef]
- Lu, S.; Zhao, G.; Wang, H.; Hao, G. Precambrian metamorphic basement and sedimentary cover of the North China Craton: A review. Precambr. Res. 2008, 160, 77–93. [Google Scholar] [CrossRef]
- Zhang, L.; Wang, Q.; Chen, N.; Sun, M.; Santosh, M.; Ba, J. Geochemistry and detrital zircon U–Pb and Hf isotopes of the paragneiss suite from the Quanji massif, SE Tarim Craton: Implications for Paleoproterozoic tectonics in NW China. J. Asian Earth Sci. 2014, 95, 33–50. [Google Scholar] [CrossRef]
- Lu, S.N.; Yang, C.L.; Li, H.K.; Chen, Z.K. North China Continent and Columbia Supercontinent. Earth Sci. Front. 2002, 9, 225–233, (In Chinese with English abstract). [Google Scholar]
- Gong, S.; Chen, N.; Geng, H.; Sun, M.; Zhang, L.; Wang, Q. Zircon Hf isotopes and geochemistry of the early Paleoproterozoic high-Sr low-Y quartz-diorite in the Quanji Massif, NW China: Crustal growth and tectonic implications. J. Earth Sci. 2014, 25, 74–86. [Google Scholar] [CrossRef]
- He, C.; Gong, S.; Wang, L.; Chen, N.; Santosh, M.; Wang, Q. Protracted post-collisional magmatism during plate subduction shutdown in early Paleoproterozoic: Insights from post-collisional granitoid suite in NW China. Gondwana Res. 2018, 55, 92–111. [Google Scholar] [CrossRef]
- Yusheng, W.; Jianxin, Z.; Jingsui, Y.; Zhiqin, X. Geochemistry of high-grade metamorphic rocks of the North Qaidam mountains and their geological significance. J. Asian Earth Sci. 2006, 28, 174–184. [Google Scholar] [CrossRef]
- Li, M.; Wang, C.; Li, R.; Meert, J.G.; Peng, Y.; Zhang, J. Identifying late Neoproterozoic—Early Paleozoic sediments in the South Qilian Belt, China: A peri-Gondwana connection in the northern Tibetan Plateau. Gondwana Res. 2019, 76, 173–184. [Google Scholar] [CrossRef]
- Wang, Q.; Chen, N.; Li, X.; Hao, S.; Chen, H. LA-ICPMS zircon U-Pb geochronological constraints on the tectonothermal evolution of the Early Paleoproterozoic Dakendaban Group in the Quanji Block, NW China. Chin. Sci. Bull. 2008, 53, 2849–2858. [Google Scholar] [CrossRef]
- Haijun, Z.; Xunlian, W.; Xun, W.; Hongrui, Z. U-Pb zircon ages of tuff beds from the Hongzaoshan Formation of the Quanji Group in the north margin of the Qaidam Basin, NW China, and their geological significances. Earth Sci. Front. 2016, 23, 202. [Google Scholar]
- Yue, Y.; Ritts, B.D.; Graham, S.A. Initiation and long-term slip history of the Altyn Tagh fault. Int. Geol. Rev. 2001, 43, 1087–1093. [Google Scholar] [CrossRef]
- Andersen, T. Correction of common lead in U–Pb analyses that do not report 204Pb. Chem. Geol. 2002, 192, 59–79. [Google Scholar] [CrossRef]
- Griffin, W. GLITTER: Data reduction software for laser ablation ICP-MS. In Laser Ablation ICP-MS in the Earth Sciences: Current Practices and Outstanding Issues; Mineralogical Association of Canada: Quebec, QC, Canada, 2008; pp. 308–311. [Google Scholar]
- Li, Y.; Song, S.; Yang, X.; Zhao, Z.-F.; Dong, J.; Gao, X.; Wingate, M.T.; Wang, C.; Li, M.; Jin, M. Age and composition of Neoproterozoic diabase dykes in North Altyn Tagh, northwest China: Implications for Rodinia break-up. Int. Geol. Rev. 2023, 65, 1000–1016. [Google Scholar] [CrossRef]
- Yang, S.Y. Electron Probe Microanalysis in Geosciences: Analytical Procedures and Recent Advances. Atom. Spectrosc. 2022, 43, 186–200. [Google Scholar] [CrossRef]
- Middlemost, E.A. Naming materials in the magma/igneous rock system. Earth-Sci. Rev. 1994, 37, 215–224. [Google Scholar] [CrossRef]
- Peccerillo, A.; Taylor, S. Geochemistry of Eocene calc-alkaline volcanic rocks from the Kastamonu area, northern Turkey. Contrib. Mineral. Petr. 1976, 58, 63–81. [Google Scholar] [CrossRef]
- Rickwood, P.C. Boundary lines within petrologic diagrams which use oxides of major and minor elements. Lithos 1989, 22, 247–263. [Google Scholar] [CrossRef]
- Sun, S.S.; McDonough, W.F. Chemical and isotopic systematics of oceanic basalts: Implications for mantle composition and processes. Geol. Soc. Lond. Spec. Publ. 1989, 42, 313–345. [Google Scholar] [CrossRef]
- Zhou, Q.; Qin, K.; Tang, D.; Tian, Y.; Cao, M.; Wang, C. Formation Age and Evolution Time Span of the Koktokay No. 3 Pegmatite, Altai, NW China: Evidence from U–Pb Zircon and 40Ar–39Ar Muscovite Ages. Resour. Geol. 2015, 65, 210–231. [Google Scholar] [CrossRef]
- Hoskin, P.; Black, L. Metamorphic zircon formation by solid-state recrystallization of protolith igneous zircon. J. Metamorph. Geol. 2000, 18, 423–439. [Google Scholar] [CrossRef]
- Seydoux-Guillaume, A.-M.; David, M.-L.; Alix, K.; Datas, L.; Bingen, B. Trapping of helium in nano-bubbles in euxenite: Positive identification and implications. Earth Planet. Sci. Lett. 2016, 448, 133–139. [Google Scholar] [CrossRef]
- Ginsburg, A.; Timofeyev, I.; Feldman, L. Principles of Geology of the Granitic Pegmatites; Nedra: Moscow, Russia, 1979; Volume 296. [Google Scholar]
- Škoda, R.; Novák, M. Y, REE, Nb, Ta, Ti-oxide (AB2O6) minerals from REL–REE euxenite-subtype pegmatites of the Třebíč Pluton, Czech Republic; substitutions and fractionation trends. Lithos 2007, 95, 43–57. [Google Scholar] [CrossRef]
- Szuszkiewicz, A.; Pieczka, A.; Szełęg, E.; Turniak, K.; Ilnicki, S.; Nejbert, K. The euxenite-group minerals and products of their alteration in the hybrid Julianna granitic pegmatite, Piława Górna, Sudetes, southwestern Poland. Can. Mineral. 2016, 54, 879–898. [Google Scholar] [CrossRef]
- Eby, G.N. Chemical subdivision of the A-type granitoids: Petrogenetic and tectonic implications. Geology 1992, 20, 641–644. [Google Scholar] [CrossRef]
- Whalen, J.B.; Currie, K.L.; Chappell, B.W. A-type granites: Geochemical characteristics, discrimination and petrogenesis. Contrib. Mineral. Petr. 1987, 95, 407–419. [Google Scholar] [CrossRef]
- Loiselle, M. Characteristics and origin of anorogenic granites. Geol. Soc. Am. 1979, 11, 468. [Google Scholar]
- Bonin, B. A-type granites and related rocks: Evolution of a concept, problems and prospects. Lithos 2007, 97, 1–29. [Google Scholar] [CrossRef]
- King, P.L.; White, A.; Chappell, B.; Allen, C. Characterization and origin of aluminous A-type granites from the Lachlan Fold Belt, southeastern Australia. J. Petrol. 1997, 38, 371–391. [Google Scholar] [CrossRef]
- Collins, W.J.; Beams, S.D.; White, A.; Chappell, B. Nature and origin of A-type granites with particular reference to southeastern Australia. Contrib. Mineral. Petr. 1982, 80, 189–200. [Google Scholar] [CrossRef]
- Creaser, R.A.; Price, R.C.; Wormald, R.J. A-type granites revisited: Assessment of a residual-source model. Geology 1991, 19, 163–166. [Google Scholar] [CrossRef]
- Eby, G.N. The A-type granitoids: A review of their occurrence and chemical characteristics and speculations on their petrogenesis. Lithos 1990, 26, 115–134. [Google Scholar] [CrossRef]
- Bau, M. Controls on the fractionation of isovalent trace elements in magmatic and aqueous systems: Evidence from Y/Ho, Zr/Hf, and lanthanide tetrad effect. Contrib. Mineral. Petr 1996, 123, 323–333. [Google Scholar] [CrossRef]
- Li, X.H.; Li, Z.X.; Li, W.X.; Liu, Y.; Yuan, C.; Wei, G.; Qi, C. U–Pb zircon, geochemical and Sr–Nd–Hf isotopic constraints on age and origin of Jurassic I-and A-type granites from central Guangdong, SE China: A major igneous event in response to foundering of a subducted flat-slab? Lithos 2007, 96, 186–204. [Google Scholar] [CrossRef]
- Myint, A.Z.; Cai, Y.; Robb, L.; Yonezu, K. Petrogenesis of Sn–W mineralized granites in the Dawei and Mawchi, regions of Myanmar. Geol. J. 2024, 59, 1186–1198. [Google Scholar] [CrossRef]
- Champion, D.C.; Bultitude, R.J. The geochemical and SrNd isotopic characteristics of Paleozoic fractionated S-types granites of north Queensland: Implications for S-type granite petrogenesis. Lithos 2013, 162, 37–56. [Google Scholar] [CrossRef]
- Meng, X.; Zhang, D.; Zhang, R.; Wang, J.; Zhang, F.; Yu, Z.; Noel, W.C.; Zhou, T. Geochronology and geochemical characteristics of ore-forming granite in Maopengdian Sn deposit, northern Jiangxi Province. Ore Geol. Rev. 2022, 149, 105098. [Google Scholar] [CrossRef]
- Zhou, Q.F.; Qin, K.Z.; Zhu, L.Q.; Zhao, J.X. Overview of magmatic differentiation and anatexis: Insights into pegmatite genesis. Earth Sci. Front. 2023, 30, 26–39. [Google Scholar]
- Simmons, W.; Falster, A.; Webber, K.; Roda-Robles, E.; Boudreaux, A.P.; Grassi, L.R.; Freeman, G. Bulk composition of Mt. Mica pegmatite, Maine, USA: Implications for the origin of an LCT type pegmatite by anatexis. Can. Mineral. 2016, 54, 1053–1070. [Google Scholar] [CrossRef]
- Li, X.-H.; Chen, Z.; Liu, D.; Li, W.-X. Jurassic gabbro-granite-syenite suites from Southern Jiangxi Province, SE China: Age, origin, and tectonic significance. Int. Geol. Rev. 2003, 45, 898–921. [Google Scholar] [CrossRef]
- Ackerman, L.; Ulrych, J.; Řanda, Z.; Erban, V.; Hegner, E.; Magna, T.; Balogh, K.; Frána, J.; Lang, M.; Novák, J.K. Geochemical characteristics and petrogenesis of phonolites and trachytic rocks from the České Středohoří Volcanic Complex, the Ohře Rift, Bohemian Massif. Lithos 2015, 224, 256–271. [Google Scholar] [CrossRef]
- Kumar, K.V.; Frost, C.D.; Frost, B.R.; Chamberlain, K.R. The Chimakurti, Errakonda, and Uppalapadu plutons, Eastern Ghats Belt, India: An unusual association of tholeiitic and alkaline magmatism. Lithos 2007, 97, 30–57. [Google Scholar]
- Chen, J.-l.; Xu, J.-f.; Kang, Z.-q.; Jie, L. Origin of Cenozoic alkaline potassic volcanic rocks at KonglongXiang, Lhasa terrane, Tibetan Plateau: Products of partial melting of a mafic lower-crustal source? Chem. Geol. 2010, 273, 286–299. [Google Scholar] [CrossRef]
- Lucassen, F.; Pudlo, D.; Franz, G.; Romer, R.L.; Dulski, P. Cenozoic intra-plate magmatism in the Darfur volcanic province: Mantle source, phonolite-trachyte genesis and relation to other volcanic provinces in NE Africa. Int. J. Earth Sci. 2013, 102, 183–205. [Google Scholar] [CrossRef]
- Weaver, B.L. The origin of ocean island basalt end-member compositions: Trace element and isotopic constraints. Earth Planet. Sci. Lett. 1991, 104, 381–397. [Google Scholar] [CrossRef]
- Wang, K.; Wang, L.-X.; Ma, C.-Q.; Zhu, Y.-X.; She, Z.-B.; Deng, X.; Chen, Q. Mineralogy and geochemistry of the Zhuxi Nb-rich trachytic rocks, South Qinling (China): Insights into the niobium mineralization during magmatic-hydrothermal processes. Ore Geol. Rev. 2021, 138, 104346. [Google Scholar] [CrossRef]
- Ding, L.-X.; Ma, C.-Q.; Li, J.-W.; Robinson, P.T.; Deng, X.-D.; Zhang, C.; Xu, W.-C. Timing and genesis of the adakitic and shoshonitic intrusions in the Laoniushan complex, southern margin of the North China Craton: Implications for post-collisional magmatism associated with the Qinling Orogen. Lithos 2011, 126, 212–232. [Google Scholar] [CrossRef]
- Wu, H.; Huang, H.; Zhang, Z.; Wang, T.; Guo, L.; Gao, Y.; Zhang, Z. Highly differentiated trachytic magma linked with rare metal mineralization: A case study from the Shuanghekou Nb deposit, South Qinling. Lithos 2023, 438, 106990. [Google Scholar] [CrossRef]
- Song, S.; Niu, Y.; Su, L.; Zhang, C.; Zhang, L. Continental orogenesis from ocean subduction, continent collision/subduction, to orogen collapse, and orogen recycling: The example of the North Qaidam UHPM belt, NW China. Earth-Sci. Rev. 2014, 129, 59–84. [Google Scholar] [CrossRef]
- Zhang, J.; Yu, S.; Mattinson, C.G. Early Paleozoic polyphase metamorphism in northern Tibet, China. Gondwana Res. 2017, 41, 267–289. [Google Scholar] [CrossRef]
- Wang, C.; Li, R.S.; Smithies, R.H.; Li, M.; Peng, Y.; Chen, F.N.; He, S.P. Early Paleozoic felsic magmatic evolution of the western Central Qilian belt, Northwestern China, and constraints on convergent margin processes. Gondwana Res. 2017, 41, 301–324. [Google Scholar] [CrossRef]
Disclaimer/Publisher’s Note: The statements, opinions and data contained in all publications are solely those of the individual author(s) and contributor(s) and not of MDPI and/or the editor(s). MDPI and/or the editor(s) disclaim responsibility for any injury to people or property resulting from any ideas, methods, instructions or products referred to in the content. |
© 2024 by the authors. Licensee MDPI, Basel, Switzerland. This article is an open access article distributed under the terms and conditions of the Creative Commons Attribution (CC BY) license (https://creativecommons.org/licenses/by/4.0/).







