The Tepsi Ultrabasic Intrusion, the Northern Part of the Lapland–Belomorian Belt, Kola Peninsula, Russia
Abstract
1. Introduction
2. Regional Geology
3. Materials, Samples, and Methods
4. Results
4.1. Geological Investigation
4.2. Compositional Variations
Spinifex-Textured Hypermagnesian Clinopyroxene
4.3. Accessory Minerals, Ore Assemblages, and Rare Species
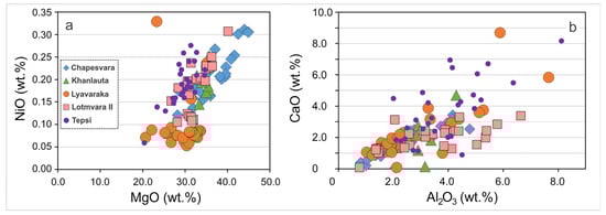
4.4. Whole-Rock Chemistry
5. Discussion
6. Concluding Statements
Supplementary Materials
Author Contributions
Funding
Data Availability Statement
Acknowledgments
Conflicts of Interest
References
- Fedorov, E.S. On a new group of igneous rocks. Proc. Moscow Agricult. Inst. 1896, 1, 12–29. (In Russian) [Google Scholar]
- Sharkov, E.V.; Snyder, G.A.; Taylor, L.A.; Zinger, T.F. An Early Proterozoic large igneous province in the Eastern Baltic Shield: Evidence from the mafic Drusite Complex, Belomorian Mobile Belt, Russia. Int. Geol. Rev. 1999, 41, 73–93. [Google Scholar] [CrossRef]
- Sharkov, E.V.; Krassivskaya, I.S.; Chistyakov, A.V. Belomorian drusite (coronite) complex, Baltic Shield, Russia: An example of dispersed intrusive magmatism in early Paleoproterozoic mobile zones. Russ. J. Earth Sci. 2004, 6, 185–215. [Google Scholar] [CrossRef]
- Malov, N.D. Structural-petrological and specific metallogenic features of drusites in the north-western Belomorye. Vestn St Petersbg. Univ. Earth Sci. 2015, 7, 73–84. (In Russian) [Google Scholar]
- Terekhov, E.N. Lapland–Belomorian mobile belt as an example of the root zone of the Paleoproterozoic rift system of the Baltic Shield. Litosfera 2007, 6, 15–39. (In Russian) [Google Scholar]
- Barkov, A.Y.; Laajoki, K.V.O.; Karavaev, S.S. First Occurrences of Pd-Pt Minerals in the Kovdozero Mafic-Ultramafic Complex, NE Fennoscandian Shield. In Mineral Deposits; Papunen, H., Ed.; Balkema: Rotterdam, The Netherlands, 1997; pp. 393–394. [Google Scholar]
- Murashov, D.F. Ultrabasic intrusions of the Serpentinite Belt (Pados-Tundra and other). In Geology of the USSR, Murmanskaya oblast, Geological Description; Gosgeoltekhizdat Publisher: Moscow, Russia, 1958; Volume 27, pp. 318–321. (In Russian) [Google Scholar]
- Mamontov, V.P.; Dokuchaeva, V.S. The geology and ore potential of the Pados-Tundra massif in the Kola Peninsula. Otechestvennaya Geol. 2005, 6, 52–60. (In Russian) [Google Scholar]
- Barkov, A.Y.; Nikiforov, A.A.; Halkoaho, T.A.A.; Konnunaho, J.P. The origin of spheroidal patterns of weathering in the Pados-Tundra mafic-ultramafic complex, Kola Peninsula, Russia. Bull. Geol. Soc. Finl. 2016, 88, 105–113. [Google Scholar] [CrossRef]
- Barkov, A.Y.; Nikiforov, A.A.; Martin, R.F. The structure and cryptic layering of the Pados-Tundra ultramafic complex, Serpentinite Belt, Kola Peninsula, Russia. Bull. Geol. Soc. Finl. 2017, 89, 35–56. [Google Scholar] [CrossRef]
- Barkov, A.Y.; Nikiforov, A.A.; Tolstykh, N.D.; Shvedov, G.I.; Korolyuk, V.N. Compounds of Ru–Se–S, alloys of Os–Ir, framboidal Ru nanophases, and laurite–clinochlore intergrowths in the Pados-Tundra complex, Kola Peninsula, Russia. Eur. J. Miner. 2017, 29, 613–621. [Google Scholar] [CrossRef]
- Barkov, A.Y.; Korolyuk, V.N.; Barkova, L.P.; Martin, R.F. Double-front crystallization in the Chapesvara ultramafic subvolcanic complex, Serpentinite Belt, Kola Peninsula, Russia. Minerals 2019, 10, 14. [Google Scholar] [CrossRef]
- Serov, P.A.; Bayanova, T.B.; Steshenko, E.N.; Kunakkuzin, E.L.; Borisenko, E.S. Metallogenic setting and evolution of the Pados-Tundra Cr-bearing ultramafic complex, Kola Peninsula: Evidence from Sm–Nd and U–Pb isotopes. Minerals 2020, 10, 186. [Google Scholar] [CrossRef]
- Barkov, A.Y.; Martin, R.F.; Izokh, A.E.; Nikiforov, A.A.; Korolyuk, V.N. Ultramagnesian olivine in the Monchepluton (Fo96) and Pados-Tundra (Fo93) layered intrusions (Kola Peninsula). Russ. Geol. Geophys. 2021, 62, 324–338. [Google Scholar] [CrossRef]
- Barkov, A.Y.; Nikiforov, A.A.; Barkova, L.P.; Korolyuk, V.N.; Martin, R.F. Zones of PGE–chromite mineralization in relation to crystallization of the Pados-Tundra ultramafic complex, Serpentinite Belt, Kola Peninsula, Russia. Minerals 2021, 11, 68. [Google Scholar] [CrossRef]
- Barkov, A.Y.; Nikiforov, A.A.; Barkova, L.P.; Izokh, A.E.; Korolyuk, V.N. Komatiitic Subvolcanic Rocks in the Mount Khanlauta Massif, Serpentinite Belt (Kola Peninsula). Russ. Geol. Geophys. 2022, 63, 981–1000. [Google Scholar] [CrossRef]
- Barkov, A.Y.; Nikiforov, A.A.; Korolyuk, V.N.; Martin, R.F. The Lyavaraka ultrabasic complex, Serpentinite Belt, Kola Peninsula, Russia. Geosciences 2022, 12, 323. [Google Scholar] [CrossRef]
- Barkov, A.Y.; Nikiforov, A.A.; Korolyuk, V.N.; Barkova, L.P.; Martin, R.F. The chromian spinels of the Lyavaraka ultrabasic complex, Serpentinite belt, Kola Peninsula, Russia: Patterns of zoning, hypermagnesian compositions, and early oxidation. Can. Miner. 2021, 59, 1–17. [Google Scholar] [CrossRef]
- Barkov, A.Y.; Nikiforov, A.A.; Korolyuk, V.N.; Martin, R.F. Mineral–geochemical and geotectonic features of the Lotmvara-II ultrabasic sill, Serpentinite Belt (Kola Peninsula). Russ. Geol. Geophys. 2023, 64, 1161–1178. [Google Scholar] [CrossRef]
- Barkov, A.Y.; Nikiforov, A.A.; Martin, R.F.; Korolyuk, V.N. Corona-type textures in ultrabasic complexes of the Serpentinite Belt, Kola Peninsula, Russia. Minerals 2023, 13, 115. [Google Scholar] [CrossRef]
- Barkov, A.Y.; Nikiforov, A.A.; Sharkov, E.V.; Silyanov, S.A. The ultrabasic massif Yanisvaara and some features of the Serpentinite and Lapland-Belomorian belts, Fennoscandian Shield. In Proceedings of the Ultramafic—Mafic Complexes: Geology, Structure, Ore Potential, Proceedings of VIII All-Russian Conference, Novosibirsk, Russia, 30 August–8 September 2023; Institute of Geology and Mineralogy, SB RAS: Novosibirsk, Russia, 2023; pp. 20–22. (In Russian). [Google Scholar]
- Lindh, A.; Eskelinen, J.; Luukas, J.; Kousa, J.; Nironen, M. The Bedrock of Finland 1:200,000 Map Modified from the General Map 1:1 Million/National Land Survey of Finland; Geological Survey of Finland: Espoo, Finland, 2014. [Google Scholar]
- Nironen, M.; Kousa, J.; Luukas, J.; Lahtinen, R. (Eds.) Geological Map of Finland-Bedrock 1:1000000, 2nd ed.; Geological Survey of Finland: Espoo, Finland, 2016. [Google Scholar]
- Puchtel, I.S.; Haase, K.M.; Hofmann, A.W.; Chauvel, C.; Kulikov, V.S.; Garbe-Schönberg, C.-D.; Nemchin, A.A. Petrology and geochemistry of crustally contaminated komatiitic basalts from the Vetreny Belt, southeastern Baltic Shield: Evidence for an early Proterozoic mantle plume beneath rifted Archean continental lithosphere. Geochim. Cosmochim. Acta 1997, 61, 1205–1222. [Google Scholar] [CrossRef]
- Kulikov, V.S.; Bychkova, Y.V.; Kulikova, V.V.; Ernst, R. The Vetreny Poyas (Windy Belt) subprovince or southeastern Fennoscandia: An essential component of the ca. 2.5–2.4 Ga Sumian large igneous provinces. Precambrian Res. 2010, 183, 589–601. [Google Scholar] [CrossRef]
- Amelin, Y.V.; Heaman, L.M.; Semenov, V.S. U–Pb geochronology of layered mafic intrusions in the eastern Baltic Shield: Implications for the timing and duration of Paleoproterozoic continental rifting. Precamb. Res. 1995, 75, 31–46. [Google Scholar] [CrossRef]
- Mindlina, A.A. The Geological Map of the USSR on the Scale of 1:200 000; Shukevich, A.M., Ed.; Kola Series (R-35-XXXV, XXXVI); North-Western Geological Department, Ministry of Geology and Subsoil Protection of the USSR; Gosgeoltekhizdat Publisher: Moscow, Russia, 1959. [Google Scholar]
- Vrachinskaya, M.M.; Karpinskaya, N.V. The Geological Map of the USSR on the Scale of 1:200 000; Shurkin, K.A., Ed.; Kola Series (Q-36-IX); North-Western Geological Department, Ministry of Geology and Subsoil Protection of the USSR; Gosgeoltekhizdat Publisher: Moscow, Russia, 1959. [Google Scholar]
- Nikolaeva, K.A.; Smirnova, V.S. The Geological Map of the USSR on the Scale of 1:200 000; Shurkin, K.A., Ed.; Kola Series (Q-36-VIII); North-Western Geological Department, Ministry of Geology and Subsoil Protection of the USSR; Gosgeoltekhizdat Publisher: Moscow, Russia, 1960. [Google Scholar]
- Belyaev, K.D. The Geological Map of the USSR on the Scale of 1:200 000; Polferov, D.V., Ed.; Kola Series (R-36 XXXI, XXXII); North-Western Geological Department, Ministry of Geology and Subsoil Protection of the USSR; Gosgeoltekhizdat Publisher: Moscow, Russia, 1962. [Google Scholar]
- Lunina, O.P.; Roginskaya, B.I. The Geological Map of the USSR on the Scale of 1:200 000; Shurkin, K.A., Ed.; Kola Series (Q-36-I); North-Western Geological Department, Ministry of Geology and Subsoil Protection of the USSR; Gosgeoltekhizdat Publisher: Moscow, Russia, 1962. [Google Scholar]
- Solodkaya, R.I. The Geological Map of the USSR on the Scale of 1:200 000; Perevozchikova, V.A., Ed.; Kola Series (Q-36-II); North-western Geological Department, Ministry of Geology and Subsoil Protection of the USSR; Gosgeoltekhizdat Publisher: Moscow, Russia, 1963. [Google Scholar]
- Leontyeva, O.P.; Belonin, M.D. The Geological Map of the USSR on the Scale of 1:200 000; Shurkin, K.A., Ed.; Kola Series (Q-35-VI); North-Western Geological Department, Ministry of Geology and Subsoil Protection of the USSR; Gosgeoltekhizdat Publisher: Moscow, Russia, 1964. [Google Scholar]
- Popova, V.A. The Geological Map of the USSR on the Scale of 1:200 000; Robonen, V.I., Ed.; Kola Series (Q-36-VII); North-Western Geological Department, Ministry of Geology and Subsoil Protection of the USSR; Gosgeoltekhizdat Publisher: Moscow, Russia, 1964. [Google Scholar]
- Spirov, V.N. Geological Map (1:10000) of the Detailed Mapping Area at River Khlebnaya; an Account of the Western Kola Geological Party for the Years 1968–1971; Unpublished Report; The Allarechensky Geological Party, North-Western Territorial Geological Department, Murmansk Geological-Prospecting Expedition; the U.S.S.R. Ministry of Geology: Murmansk, Russia, 1972. (In Russian) [Google Scholar]
- Shlayfshtein, B.A. The Geological Structure and Natural Resources of Northwestern Part of the Kola Peninsula; Report of the Kolmozerskaya Geological Mapping Party (for 1981–1987 Years); The Central-Kola Geological Survey: Monchegorsk, Russia, 1987. [Google Scholar]
- Balagansky, V.V.; Gorbunov, I.A.; Mudruk, S.V. Palaeoproterozoic Lapland-Kola and Svecofennian Orogens (Baltic Shield). Her. (Vestn.) Kola Sci. Cent. RAS 2016, 3, 5–11. (In Russian) [Google Scholar]
- Nikolaeva, I.V.; Palesskii, S.V.; Koz’menko, O.A.; Anoshin, G.N. Analysis of geologic reference materials for REE and HFSE by inductively coupled plasma-mass spectrometry (ICP-MS). Geochem. Intern. 2008, 46, 1016–1022. [Google Scholar] [CrossRef]
- Morimoto, N.; Fabriès, J.; Ferguson, A.K.; Ginzburg, I.V.; Ross, M.; Seifert, F.A.; Zussman, J.; Aoki, K.; Gottardi, G. Nomenclature of pyroxenes. Miner. Mag. 1988, 52, 535–550. [Google Scholar] [CrossRef]
- Saini-Eidukat, B.; Kucha, H.; Keppler, H. Hibbingite, γ-Fe2(OH)3Cl, a new mineral from the Duluth Complex, Minnesota, with implications for the oxidation of Fe-bearing compounds and the transport of metals. Amer. Miner. 1994, 79, 555–561. [Google Scholar]
- Springer, G. Chlorine-bearing minerals and other uncommon minerals in the Strathcona deep copper zone, Sudbury District, Ontario. Can. Miner. 1989, 27, 311–313. [Google Scholar]
- Koděra, P.; Majzlan, J.; Pollok, K.; Kiefer, S.; Šimko, F.; Scholtzová, E.; Luptáková, J.; Cawthorn, G. Ferrous hydroxychlorides hibbingite [γ-Fe2(OH)3Cl] and parahibbingite [β-Fe2(OH)3Cl] as a concealed sink of Cl and H2O in ultrabasic and granitic systems. Amer. Miner. 2022, 107, 826–841. [Google Scholar] [CrossRef]
- Morse, S.A. Layered Intrusions; Cawthorn, R.G., Ed.; Developments in Petrology; Elsevier: Amsterdam, The Netherlands, 1997; Volume 15, p. 544. [Google Scholar] [CrossRef]
- Stone, W.E.; Deloule, E.; Larson, M.S.; Lesher, C.M. Evidence for hydrous high-MgO melts in the Precambrian. Geology 1997, 25, 143. [Google Scholar] [CrossRef]
- Wilson, A.H.; Shirey, S.B.; Carlson, R.W. Archaean ultra-depleted komatiites formed by hydrous melting of cratonic mantle. Nature 2003, 423, 858–861. [Google Scholar] [CrossRef]
- Barkov, A.Y.; Nikiforov, A.A.; Korolyuk, V.N.; Barkova, L.P.; Martin, R.F. Anomalous chromite–ilmenite parageneses in the Chapesvara and Lyavaraka ultramafic complexes, Kola Peninsula, Russia. Period. Miner. 2020, 89, 299–317. [Google Scholar]
- Fershtater, G.B.; Bea, F.; Montero, M.P.; Scarrow, J. Hornblende gabbro in the Urals: Types, geochemistry, and petrogenesis. Geochem. Intern. 2004, 42, 610–629. [Google Scholar]
- Eggleton, R.A.; Foudoulis, C.; Farkevisser, D. Weathering of basalt: Changes in rock chemistry and mineralogy. Clays Clay Miner. 1987, 35, 161–169. [Google Scholar] [CrossRef]
- Barkov, A.Y.; Nikiforov, A.A.; Martin, R.F.; Korolyuk, V.N.; Silyanov, S.A. Significance of hypermagnesian clinopyroxene in the Yanisvaara ultrabasic complex, Kola Peninsula, Russia. Can. J. Miner. Petrol. 2024, accepted. [Google Scholar]
- Czamanske, G.K.; Wones, D.R. Oxidation during magmatic differentiation, Finnmarka complex, Oslo area, Norway: Part 2, the mafic silicates. J. Petrol. 1973, 14, 349–380. [Google Scholar] [CrossRef]
- Kulikov, V.S.; Bychkova, Y.V.; Kulikova, V.V. The Vetreny Belt: An Early Proterozoic tectonic and petrologic type of the southeastern Fennoscandia. In Geology of Karelia from the Archean Time to the Present, Proceedings of the All-Russian Conference Devoted to the 50th Anniversary of the Institute of Geology, Karelian Research Centre, RAS, Petrozavodsk, Russia, 24–26 May 2011; Institute of Geology, KarRC, RAS: Petrozavodsk, Russia, 2011; pp. 91–103. (In Russian) [Google Scholar]
- Remizova, A.M.; Chapina, O.S.; Semushina, N.A. Geological Map of the Murmanskaya Oblast (Q-35-VI, Q-36-I-II); OAO “Kola Geological Information and Laboratory Center”: Kovdor, Russia, 2007. [Google Scholar]
- Barkov, A.Y.; Nikiforov, A.A.; Barkova, L.P.; Martin, R.F. Occurrences of Pd–Pt bismuthotellurides and a phosphohedyphane-like phase in sulfide veins of the Monchepluton layered complex, Kola Peninsula, Russia. Minerals 2022, 12, 624. [Google Scholar] [CrossRef]
- Cawthorn, R.G.; Luvhimbe, C.; Slabbert, M. Suspected presence of hibbingite in olivine pyroxenite adjacent to the UG2 chromitite, Bushveld complex, South Africa. Can. Miner. 2009, 47, 1075–1085. [Google Scholar] [CrossRef]
- Saini-Eidukat, B.; Rudashevsky, N.S.; Polozov, A.G. Evidence for hibbingite–kempite solid solution. Miner. Mag. 1998, 62, 251–255. [Google Scholar] [CrossRef]
- Spiridonov, E.M.; Belyakov, S.N.; Ivanova, Y.A.; Egorov, K.V.; Korotaeva, N.N.; Naumov, D.I.; Yapaskurt, O.V. Hibbingite and its manganoan variety from metamorphosed pentlandite–putoranite ores at deep levels of the Oktyabrskoe deposit, Norilsk Ore Field. Geol. Ore Depos. 2022, 64, 495–502. [Google Scholar] [CrossRef]
- Sokolova, E.L.; Vorob’ev, S.A. Pyrrhotite, pentlandite and hibbingite from metakimberlites of the Udachnaya-Vostochnaya Pipe, northern Yakutia. New Data Miner. 2011, 46, 165–168. [Google Scholar]
- Craig, J.R.; Scott, S.D. Sulfide phase equilibria. In Sulfide Mineralogy; Ribbe, P.H., Ed.; Short Course Notes; Mineralogical Society of America: Chantilly, VA, USA, 1974; Volume 1, p. CS1-110. [Google Scholar]
- Kaneda, H.; Takenouchi, S.; Shoji, T. Stability of pentlandite in the Fe-Ni-Co-S system. Miner. Depos. 1986, 21, 169–180. [Google Scholar] [CrossRef]
- Shishkin, N.N.; Mitenkov, G.A.; Mikhaylova, V.A.; Karpenkov, A.M. Pentlandite from massive ores of the Talnakh and Oktyabrsky deposits (Talnakh ore junction). Dokl. Akad. Nauk SSSR 1971, 197, 431–434. (In Russian) [Google Scholar]
- Merkle, R.K.W.; von Gruenewaldt, G. Compositional variation of Co-rich pentlandite; relation to the evolution of the upper zone of the western Bushveld Complex, South Africa. Can. Miner. 1986, 24, 529–546. [Google Scholar]
- Mozgova, N.N.; Krasnov, S.G.; Batuyev, B.N.; Borodaev, Y.S.; Efimov, A.V.; Markov, V.F.; Stepanova, T.V. The first report of cobalt pentlandite from a Mid-Atlantic Ridge hydrothermal deposit. Can. Miner. 1996, 34, 23–28. [Google Scholar]


























| # | SiO2 | TiO2 | Al2O3 | Cr2O3 | FeO | MnO | MgO | CaO | NiO | Total | |||
|---|---|---|---|---|---|---|---|---|---|---|---|---|---|
| 1 | 55.30 | 1.24 | 0.04 | 17.98 | 26.03 | 100.59 | |||||||
| 2 | 55.26 | 1.18 | 0.15 | 17.82 | 25.66 | 100.07 | |||||||
| 3 | 54.83 | 1.00 | 0.21 | 17.73 | 26.01 | 99.78 | |||||||
| 4 | 53.55 | 0.09 | 1.12 | 18.02 | 25.29 | 98.07 | |||||||
| 5 | 54.07 | 0.09 | 1.71 | 0.16 | 18.16 | 24.94 | 0.05 | 99.13 | |||||
| 6 | 54.15 | 0.12 | 1.18 | 0.18 | 17.52 | 25.19 | 98.34 | ||||||
| 7 | 55.23 | 0.07 | 1.85 | 0.21 | 17.73 | 26.01 | 101.10 | ||||||
| 8 | 53.98 | 2.98 | 0.45 | 20.50 | 22.32 | 100.23 | |||||||
| 9 | 54.07 | 0.07 | 2.08 | 0.24 | 19.47 | 23.15 | 99.08 | ||||||
| 10 | 53.78 | 2.38 | 0.14 | 21.38 | 21.14 | 0.15 | 98.82 | ||||||
| 11 | 54.97 | 0.05 | 1.02 | 0.09 | 18.04 | 26.27 | 100.44 | ||||||
| 12 | 55.79 | 0.03 | 1.55 | 0.19 | 18.31 | 25.96 | 101.83 | ||||||
| 13 | 55.63 | 1.09 | 0.04 | 18.81 | 25.41 | 0.10 | 100.98 | ||||||
| 14 | 55.13 | 1.57 | 0.93 | 18.19 | 24.88 | 0.42 | 100.70 | ||||||
| 15 | 55.29 | 0.07 | 1.26 | 0.04 | 19.67 | 23.89 | 100.22 | ||||||
| 16 | 55.15 | 0.04 | 1.71 | 0.34 | 17.95 | 25.77 | 0.05 | 100.96 | |||||
| 17 | 54.77 | 0.09 | 1.81 | 0.12 | 19.71 | 23.62 | 0.23 | 100.12 | |||||
| 18 | 55.20 | 1.71 | 0.15 | 19.25 | 24.75 | 101.06 | |||||||
| 19 | 56.00 | 1.23 | 0.09 | 18.73 | 26.11 | 0.22 | 102.16 | ||||||
| 20 | 54.67 | 0.07 | 1.76 | 0.29 | 19.35 | 24.32 | 0.06 | 100.46 | |||||
| 21 | 55.41 | 1.48 | 0.08 | 20.18 | 22.83 | 0.11 | 99.98 | ||||||
| 22 | 56.14 | 0.79 | 0.12 | 18.47 | 26.02 | 0.14 | 101.54 | ||||||
| 23 | 54.50 | 0.05 | 1.48 | 0.29 | 19.97 | 24.02 | 100.31 | ||||||
| 24 | 54.48 | 1.88 | 0.13 | 20.49 | 24.00 | 0.16 | 100.98 | ||||||
| 25 | 55.33 | 0.04 | 2.15 | 0.39 | 19.15 | 23.88 | 100.94 | ||||||
| 26 | 54.73 | 0.15 | 2.30 | 0.22 | 19.85 | 23.35 | 100.60 | ||||||
| 27 | 54.98 | 1.24 | 0.10 | 18.67 | 25.53 | 100.52 | |||||||
| 28 | 55.57 | 1.36 | 0.10 | 18.28 | 25.74 | 0.05 | 101.05 | ||||||
| 29 | 55.00 | 0.05 | 1.70 | 0.15 | 17.11 | 25.91 | 99.92 | ||||||
| 30 | 54.82 | 0.08 | 1.75 | 0.19 | 18.00 | 25.55 | 0.04 | 100.39 | |||||
| 31 | 54.79 | 0.09 | 1.49 | 0.10 | 18.28 | 25.26 | 0.19 | 100.01 | |||||
| 32 | 55.01 | 1.58 | 17.65 | 25.89 | 0.06 | 100.13 | |||||||
| 33 | 55.40 | 0.20 | 2.19 | 0.16 | 20.32 | 23.16 | 0.21 | 101.43 | |||||
| 34 | 54.17 | 0.03 | 0.02 | 2.74 | 0.40 | 16.88 | 25.49 | 0.10 | 99.73 | ||||
| 35 | 54.56 | 0.05 | 2.44 | 0.41 | 17.35 | 25.51 | 0.07 | 100.32 | |||||
| 36 | 55.29 | 0.04 | 0.08 | 2.07 | 0.58 | 17.27 | 25.77 | 0.08 | 101.10 | ||||
| 37 | 55.31 | 0.17 | 1.25 | 0.15 | 18.24 | 25.76 | 100.88 | ||||||
| 38 | 55.44 | 0.10 | 0.02 | 1.67 | 0.21 | 17.63 | 25.83 | 0.11 | 100.90 | ||||
| 39 | 54.48 | 0.14 | 0.22 | 0.11 | 2.24 | 0.35 | 18.30 | 24.98 | 100.82 | ||||
| 40 | 54.60 | 0.14 | 0.08 | 2.42 | 18.10 | 25.37 | 0.25 | 100.71 | |||||
| # | Si | Ti | Al | Cr | Fe | Mn | Mg | Ca | Ni | Wo | En | Fs | Mg# |
| 1 | 1.99 | 0.000 | 0.000 | 0.000 | 0.04 | 0.001 | 0.97 | 1.00 | 0.000 | 50.0 | 48.1 | 1.9 | 96.2 |
| 2 | 2.00 | 0.000 | 0.000 | 0.000 | 0.04 | 0.005 | 0.96 | 1.00 | 0.000 | 49.8 | 48.2 | 2.0 | 96.0 |
| 3 | 1.99 | 0.000 | 0.000 | 0.000 | 0.03 | 0.006 | 0.96 | 1.01 | 0.000 | 50.4 | 47.8 | 1.8 | 96.3 |
| 4 | 1.97 | 0.000 | 0.000 | 0.003 | 0.03 | 0.000 | 0.99 | 1.00 | 0.000 | 49.4 | 48.9 | 1.7 | 96.6 |
| 5 | 1.97 | 0.000 | 0.000 | 0.003 | 0.05 | 0.005 | 0.99 | 0.98 | 0.001 | 48.3 | 48.9 | 2.8 | 94.5 |
| 6 | 2.00 | 0.003 | 0.000 | 0.000 | 0.04 | 0.006 | 0.96 | 1.00 | 0.000 | 49.7 | 48.2 | 2.1 | 95.8 |
| 7 | 1.98 | 0.002 | 0.000 | 0.000 | 0.06 | 0.006 | 0.95 | 1.00 | 0.000 | 49.7 | 47.2 | 3.1 | 93.9 |
| 8 | 1.94 | 0.000 | 0.000 | 0.000 | 0.09 | 0.014 | 1.10 | 0.86 | 0.000 | 41.7 | 53.3 | 5.0 | 91.4 |
| 9 | 1.97 | 0.002 | 0.000 | 0.000 | 0.06 | 0.007 | 1.06 | 0.90 | 0.000 | 44.5 | 52.0 | 3.5 | 93.7 |
| 10 | 1.95 | 0.000 | 0.000 | 0.000 | 0.07 | 0.004 | 1.15 | 0.82 | 0.004 | 40.0 | 56.3 | 3.7 | 93.8 |
| 11 | 1.98 | 0.001 | 0.000 | 0.000 | 0.03 | 0.003 | 0.97 | 1.01 | 0.000 | 50.3 | 48.1 | 1.7 | 96.7 |
| 12 | 1.99 | 0.000 | 0.000 | 0.001 | 0.05 | 0.006 | 0.97 | 0.99 | 0.000 | 49.2 | 48.3 | 2.6 | 94.9 |
| 13 | 1.99 | 0.000 | 0.000 | 0.000 | 0.03 | 0.001 | 1.00 | 0.97 | 0.003 | 48.4 | 49.9 | 1.7 | 96.7 |
| 14 | 1.98 | 0.000 | 0.000 | 0.000 | 0.05 | 0.028 | 0.97 | 0.96 | 0.012 | 47.7 | 48.5 | 3.8 | 92.8 |
| 15 | 1.99 | 0.000 | 0.000 | 0.002 | 0.04 | 0.001 | 1.05 | 0.92 | 0.000 | 45.7 | 52.4 | 1.9 | 96.4 |
| 16 | 1.98 | 0.001 | 0.000 | 0.000 | 0.05 | 0.010 | 0.96 | 0.99 | 0.001 | 49.2 | 47.7 | 3.1 | 94.0 |
| 17 | 1.97 | 0.002 | 0.000 | 0.000 | 0.05 | 0.004 | 1.06 | 0.91 | 0.007 | 44.9 | 52.2 | 2.9 | 94.8 |
| 18 | 1.97 | 0.000 | 0.000 | 0.000 | 0.05 | 0.005 | 1.03 | 0.95 | 0.000 | 46.7 | 50.6 | 2.7 | 94.9 |
| 19 | 1.98 | 0.000 | 0.000 | 0.000 | 0.04 | 0.003 | 0.99 | 0.99 | 0.006 | 49.1 | 49.0 | 1.9 | 96.2 |
| 20 | 1.96 | 0.002 | 0.000 | 0.000 | 0.05 | 0.009 | 1.04 | 0.94 | 0.002 | 46.0 | 50.9 | 3.0 | 94.4 |
| 21 | 1.99 | 0.000 | 0.000 | 0.000 | 0.04 | 0.002 | 1.08 | 0.88 | 0.003 | 43.8 | 53.9 | 2.3 | 95.8 |
| 22 | 2.00 | 0.000 | 0.000 | 0.000 | 0.02 | 0.004 | 0.98 | 0.99 | 0.004 | 49.6 | 49.0 | 1.4 | 97.3 |
| 23 | 1.95 | 0.000 | 0.000 | 0.001 | 0.04 | 0.009 | 1.07 | 0.92 | 0.000 | 45.2 | 52.2 | 2.6 | 95.3 |
| 24 | 1.94 | 0.000 | 0.000 | 0.000 | 0.06 | 0.004 | 1.09 | 0.91 | 0.005 | 44.4 | 52.7 | 2.9 | 94.8 |
| 25 | 1.98 | 0.001 | 0.000 | 0.000 | 0.06 | 0.012 | 1.02 | 0.92 | 0.000 | 45.5 | 50.7 | 3.8 | 93.1 |
| 26 | 1.96 | 0.000 | 0.000 | 0.004 | 0.07 | 0.007 | 1.06 | 0.90 | 0.000 | 44.1 | 52.2 | 3.7 | 93.3 |
| 27 | 1.98 | 0.000 | 0.000 | 0.000 | 0.04 | 0.003 | 1.00 | 0.98 | 0.000 | 48.6 | 49.4 | 2.0 | 96.1 |
| 28 | 1.99 | 0.000 | 0.000 | 0.000 | 0.04 | 0.003 | 0.98 | 0.99 | 0.001 | 49.2 | 48.6 | 2.2 | 95.7 |
| 29 | 2.00 | 0.000 | 0.000 | 0.001 | 0.05 | 0.005 | 0.93 | 1.01 | 0.000 | 50.6 | 46.5 | 2.8 | 94.3 |
| 30 | 1.98 | 0.002 | 0.000 | 0.000 | 0.05 | 0.006 | 0.97 | 0.99 | 0.001 | 49.0 | 48.1 | 2.9 | 94.3 |
| 31 | 1.98 | 0.002 | 0.000 | 0.000 | 0.05 | 0.003 | 0.99 | 0.98 | 0.006 | 48.6 | 49.0 | 2.4 | 95.3 |
| 32 | 1.99 | 0.000 | 0.000 | 0.000 | 0.05 | 0.000 | 0.95 | 1.00 | 0.002 | 50.1 | 47.5 | 2.4 | 95.2 |
| 33 | 1.96 | 0.000 | 0.000 | 0.006 | 0.06 | 0.005 | 1.07 | 0.88 | 0.006 | 43.5 | 53.1 | 3.4 | 93.9 |
| 34 | 1.98 | 0.001 | 0.000 | 0.001 | 0.08 | 0.012 | 0.92 | 1.00 | 0.003 | 49.6 | 45.7 | 4.8 | 90.5 |
| 35 | 1.98 | 0.000 | 0.000 | 0.001 | 0.07 | 0.013 | 0.94 | 0.99 | 0.002 | 49.2 | 46.5 | 4.3 | 91.5 |
| 36 | 1.99 | 0.001 | 0.000 | 0.002 | 0.06 | 0.018 | 0.93 | 0.99 | 0.002 | 49.7 | 46.3 | 4.0 | 92.1 |
| 37 | 1.99 | 0.005 | 0.000 | 0.000 | 0.04 | 0.005 | 0.98 | 0.99 | 0.000 | 49.3 | 48.6 | 2.1 | 95.9 |
| 38 | 2.00 | 0.003 | 0.000 | 0.001 | 0.05 | 0.006 | 0.95 | 1.00 | 0.003 | 49.8 | 47.3 | 2.8 | 94.3 |
| 39 | 1.96 | 0.004 | 0.009 | 0.003 | 0.07 | 0.011 | 0.98 | 0.96 | 0.000 | 47.6 | 48.5 | 3.9 | 92.6 |
| 40 | 1.96 | 0.004 | 0.000 | 0.002 | 0.07 | 0.000 | 0.97 | 0.98 | 0.007 | 48.4 | 48.0 | 3.6 | 93.0 |
| # | Mineral | RA * | # | Mineral | RA * | # | Mineral | RA * |
|---|---|---|---|---|---|---|---|---|
| 1 | Magnetite (chromian) | M | 14 | Chalcopyrite | M | 28 | Westerveldite | R |
| 2 | Chromite | M | 15 | Pentlandite (With diffuse zones of Pd-Bi–enrichment) | M | 29 | Orcelite | R |
| 3 | Hercynite | R | 16 | Cobaltpentlandite | S | 30 | Arsenopyrite | R |
| 4 | Hematite | M | 17 | Pyrrhotite | M | 31 | Molybdenite | R |
| 5 | Ilmenite (magnesian and manganoan) | M | 18 | Troilite | M | 32 | Altaite | R |
| 6 | Rutile | R | 19, 20 | Heazlewoodite, Millerite | S | 33 | Hessite | R |
| 7 | Titanite | R | 21 | Cubanite | R | 34 | Ni-Fe-(Co) alloy (awaruite) | R |
| 8 | Hydroxylapatite | M | 22 | Bornite | S | 35 | Au-Ag alloy | R |
| 9 | Fluorapatite | S | 23 | Digenite | R | 36 | Bismuth (oxidized) | R |
| 10 | Chlorapatite | S | 24 | Sphalerite (or wurtzite) | S | 37 | Scheelite | R |
| 11 | Monazite-(Ce) | R | 25 | Parkerite | S | 38 | Hibbingite (or parahibbingite) | R |
| 12 | Xenotime-(Y) | R | 26 | Maucherite (and cobaltiferous variety: Ni8Co3As8) | S | 39 | Iridarsenite? (Ir,Pt)(As,S)2 | R |
| 13 | Zircon | R | 27 | Baryte | S | 40 | Tomamaeite? PtCu3 | R |
Disclaimer/Publisher’s Note: The statements, opinions and data contained in all publications are solely those of the individual author(s) and contributor(s) and not of MDPI and/or the editor(s). MDPI and/or the editor(s) disclaim responsibility for any injury to people or property resulting from any ideas, methods, instructions or products referred to in the content. |
© 2024 by the authors. Licensee MDPI, Basel, Switzerland. This article is an open access article distributed under the terms and conditions of the Creative Commons Attribution (CC BY) license (https://creativecommons.org/licenses/by/4.0/).
Share and Cite
Barkov, A.Y.; Nikiforov, A.A.; Martin, R.F.; Silyanov, S.A.; Lobastov, B.M. The Tepsi Ultrabasic Intrusion, the Northern Part of the Lapland–Belomorian Belt, Kola Peninsula, Russia. Minerals 2024, 14, 685. https://doi.org/10.3390/min14070685
Barkov AY, Nikiforov AA, Martin RF, Silyanov SA, Lobastov BM. The Tepsi Ultrabasic Intrusion, the Northern Part of the Lapland–Belomorian Belt, Kola Peninsula, Russia. Minerals. 2024; 14(7):685. https://doi.org/10.3390/min14070685
Chicago/Turabian StyleBarkov, Andrei Y., Andrey A. Nikiforov, Robert F. Martin, Sergey A. Silyanov, and Boris M. Lobastov. 2024. "The Tepsi Ultrabasic Intrusion, the Northern Part of the Lapland–Belomorian Belt, Kola Peninsula, Russia" Minerals 14, no. 7: 685. https://doi.org/10.3390/min14070685
APA StyleBarkov, A. Y., Nikiforov, A. A., Martin, R. F., Silyanov, S. A., & Lobastov, B. M. (2024). The Tepsi Ultrabasic Intrusion, the Northern Part of the Lapland–Belomorian Belt, Kola Peninsula, Russia. Minerals, 14(7), 685. https://doi.org/10.3390/min14070685

