Abstract
Surface wettability is determined by the attraction of a liquid phase to a solid surface. It is typically quantified by using contact angle measurements at mineral surfaces in the case of the flotation of mineral particles. Contact angle research to describe wettability has been investigated at different scales by sessile drop measurements, molecular dynamic simulation, and atomic force microscopy. In this study, the density functional theory (DFT) was employed for predicting the surface free energy and contact angles of a well-known hydrophobic phyllosilicate mineral talc and a well-known hydrophilic phyllosilicate mineral muscovite based on the calculated interfacial energy and surface charge. The results revealed that the predicted contact angle at the atomic scale was larger than the experimental value, and identified two interactions: electrostatic interaction and hydrogen bonding, between the hydrophilic muscovite surface and the water layer, while a water-exclusion zone of 3.346 Å was found between the hydrophobic talc surface and the first water layer. This investigation gives a new perspective for wettability determination at the atomic scale.
1. Introduction
Contact angle measurements have wide applications in many fields, especially in the field of flotation, where the contact angle measurement is used to describe mineral wettability, which is an important factor for the flotation separation of different minerals. In the laboratory situation, the sessile drop for contact angle measurement at the macroscale is widely adopted to describe mineral wetting behavior [1]. The sessile drop contact angle measurement involves dispensing a water droplet onto the substrate surface, and then capturing an image of the droplet. Based on the captured image, the contact angle is determined, while, investigations of contact angle at the microscopic scale focus on the physicochemical properties of the region near the contact line [2]. Surface wettability is determined by the attraction of a liquid phase to the solid surface. Besides the composition and properties of the liquid phase, the structure and composition of the solid surface affect contact angle measurement. To design meaningful contact angle measurements and interpret the experimental results is complex [3]. In this study, water adsorption energy and the surface charge of the solid–liquid interface are included to estimate the contact angle for selected mineral surfaces at an atomic level.
Recent developments in wettability prediction at a multiscale are now possible using different methods. The molecular dynamic simulation (MDS) can be used to calculate the contact angles at the nanoscale; for example, a water nanodrop at the pyrite surface was found to have a 22° contact angle [4]. Such developments have improved our understanding of interfacial water structure. However, choosing tens of suitable parameters in the force potential model for interatomic interaction characterization is still a challenging task [5]. The Van Oss–Chaudgury–Good theory has been widely used for the surface wettability prediction, especially for low-surface-energy materials [6]. In the field of electronic structure calculation, density functional theory (DFT) has been proven to be reliable for recognizing intermolecular interactions at solid/liquid and solid/air interfaces [7]. DFT calculations provide a high level of accuracy in predicting material properties, electronic distributions, and potential energy surfaces. The Cambridge Serial Total Energy Package (CASTEP) is a powerful software package used for performing first-principle quantum mechanical calculations on materials. It includes various functionalities, including the capability to perform ab initio molecular dynamic (aiMD) simulations. There is a possibility of performing molecular dynamics (MDs) calculations at the DFT level, which is an intriguing approach that can combine the benefits of the high accuracy provided by DFT and the dynamic nature of MD simulations, which include kinetic energy effects. The combination of MD simulation with DFT provides the possibility of improving the accuracy of the results derived from its dynamic properties [8].
With the great advantage of DFT calculation based on the intrinsic electronic configurations of atoms, systematic DFT studies have been effectively employed in many fields, such as in the flotation process for revealing interactions between flotation reagents and mineral surfaces [9,10]. Inherent properties, such as adsorption energy, charge transfer, and bond strength are intuitively acquired through the computational data and images [11,12]. Lu et al. [5] presented an approach for surface wettability prediction for various polar liquid molecules and solid surface ions based on the interaction energy of the liquid–solid surface.
Talc and muscovite were selected for this study because these two minerals are major gangue minerals in many base metal ores, including sulfide ores. It is well known that these two minerals have a significant effect on the flotation process. For example, during copper ore flotation, talc can float with copper minerals, significantly affecting the copper grade and recovery of the concentrate. On the other hand, muscovite affects the pulp phase by influencing the pulp rheology [13]. The hydrophilic mineral muscovite and the hydrophobic mineral talc are both phyllosilicate minerals whose fresh and smooth surfaces are easy to prepare [14], and they are extensively used for contact angle study with or without coating [15]. The sessile drop method is often used to make direct measurements of the contact angle to determine preferential wetting by oil and/or water. Also, in some cases, drop size has been found to have a significant effect on the experimentally measured contact angle [3]. In previous research, the effect of drop size, both micron size and nano-size, was studied by the sessile drop [16] and atomic force microscopy (AFM) on these two phyllosilicate mineral surfaces [17]. Also, MD simulation was used to determine the contact angle at the nanoscale. In comparison with MD simulation, DFT calculations require fewer input parameters, meaning they are less affected by empirical parameters [18].
In the present study, contact angles of muscovite and talc were to be determined at the atomic scale, in terms of interfacial energy and surface charge, to provide further insight into the effect of charge distribution on the contact angle by DFT calculation. Models of different layers of liquid, including polar liquid water and nonpolar liquid hexane, were prepared and examined at the surfaces of muscovite and talc. The interfacial energy and surface charge distribution of different liquid layers would be analyzed to disclose their relationships with surface wettability. This study is interesting in that it offers a novel method for surface wettability identification based on molecular layer interfacial energy and surface charge. The results would be a reference for the determination of contact angles at the atomic scale.
2. Methodologies
2.1. Computational Details
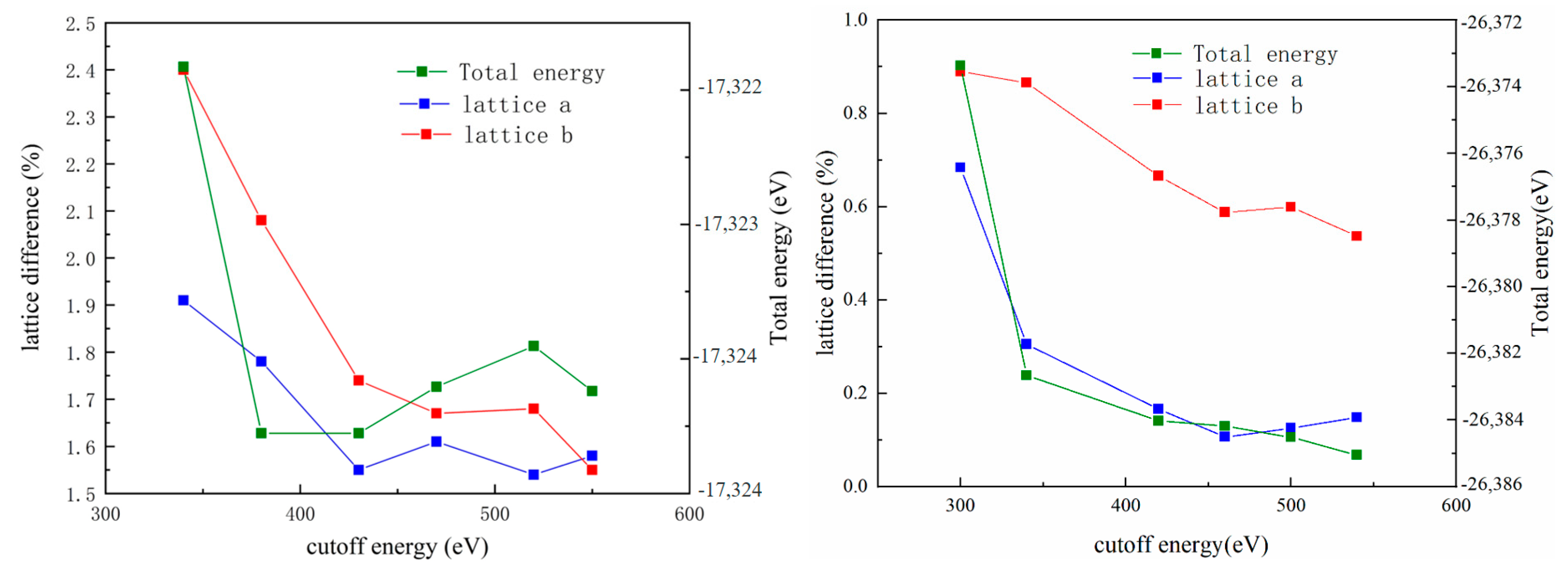
All the calculations performed in the present study use the module package CASTEP in the software of Materials Studio 9.0, based on density functional theory (DFT) using a plane-wave expansion of the wave functions and ultra-soft pseudopotentials. The generalized gradient approximations (GGAs), including PBE, RPBE, PW91, WC, and PBESOL, were used for the exchange-correlation functional. After the convergence test, the GGA-RPBE and GGA-PW91 were selected to optimize the talc and muscovite crystals, and the results are presented in Table 1, according to the rule for minimal impact on lattice parameters and total energy. The initial crystals of muscovite [19] and talc [20] were obtained from the American Mineralogist Crystal Structure Database. The cutoff energies were set as 470 eV and 460 eV for talc and muscovite crystal optimization after the convergence test, as shown in Figure 1. For layered minerals like muscovite and talc, c often refers to the distance between layers in the crystal structure. Therefore, in this study the difference in lattice c was not considered. The 3 × 2 × 2 and 4 × 2 × 1 Monkhorst–Pack k-point mesh was respectively filtered for the talc and muscovite crystal optimization, and Gamma Point was selected for the bulk talc and muscovite total energy calculation to limit the effect of the vacuum slab, which causes the distance of lattice c to outdistance that of lattices a and b. The results of convergence tests for k-point are presented in Table 2.
Table 1.
Results of convergence test for the exchange-correlation functional of talc and muscovite.
Figure 1.
Results of the convergence test for the cutoff energy evaluation of talc (left) and muscovite (right).
Table 2.
Results of convergence tests of k-point for talc and muscovite.
2.2. Cleaved Surface of Talc and Muscovite
The crystals of talc and muscovite were relaxed by the parameters that were obtained from Section 2.1. The maximal difference between the experimentally measured lattice constants and DFT-relaxed crystal lattice constants were 1.66% and 0.56%, respectively.
Using the optimized bulk structure, a supercell that represents the cleaved (001) surface was created by creating a slab model where the crystal was cleaved along the (001) plane. The slab models of talc and muscovite are presented in Figure 2. In talc, Si-O atoms were exposed on the talc (001) surface, while in muscovite, K atoms were exposed on the muscovite (001) surface. A five-layered thickness was used to represent the bulk-like properties in the middle layers or the bottom layer. A 25 Å vacuum was added along the c-axis to the talc and muscovite slabs to avoid interactions between periodic images. Then, a geometry optimization of the slab model was performed to relax the surface atoms. The total energy of the relaxed slab model was calculated using DFT, which includes contributions from both the bulk-like and surface regions. The surface energy can be calculated using the formula [21]:
where: γ is the surface energy per unit area, Eslab is the total energy of the slab, n is the number of bulk unit cells in the slab, Ebulk is the total energy of the bulk unit cell, A is the surface area of the slab, and the factor of 2 accounts for the two surfaces in the slab model.
γ = (Eslab − n⋅Ebulk)/2A
Figure 2.
The (001) surface slab of talc (a) and muscovite (b) after optimization. The balls in red, yellow, white, green, and purple represent O, Si, H, Mg, and K atoms, respectively.
The results of total energy and surface energy are presented in Table 3.
Table 3.
The surface energies of talc and muscovite (001) with different atoms exposed.
2.3. Procedures for Contact Angle Calculation
The contact angle, which is the angle at which a water droplet deposited onto a solid surface does not uniformly spread along a solid surface but remains in the form of lens or puddle, was first condensed into the Young equation by Thomas Young [22]. As the research about surface wettability continued to develop, Athanase Dupre considered the work of adhesion (Wad) for two immiscible phases in contact, described as Equation (1) [23]:
where is the work of adhesion at the solid/liquid interface, , , and are the interfacial tensions at the solid/vapor, solid/liquid, and liquid/vapor interfaces, respectively, and is the contact angle. From Equation (1), the contact angle could be obtained if the and are known. When two identical materials come into contact, the contact angle is zero. Then, the energy of adhesion ( becomes the energy of cohesion . Then, the adhesion energy between the solid/liquid, , and the adhesion energy between the liquid layers, , can be calculated by use DFT. The work of adhesion WSL is the work required to break a unit area of solid–liquid interface in a vacuum. Then, the work of adhesion/cohesion is calculated by dividing the adhesion energy and cohesion energy by the surface area of a liquid molecule, as indicated in Equations (2) and (3):
Combining Equations (1)–(3), the contact angle can be written by the DFT calculated value as Equation (4):
The DFT geometry optimizations were performed to get the overall minimum energy state of liquid films on solid surfaces layer-by-layer. To decrease the effect of the interfacial energy change by calculation parameters, the same calculation parameters as the crystal optimizations were employed for the liquid films on the solid surface. The adhesion energy of th liquid layer on the solid surface covered with layers of liquids are calculated using Equation (5) [5]
where is the total energy of a solid surface and n liquid layers above the surface, is the total energy of a mineral surface with (n − 1) overlaying liquid layers, is the total energy of the th liquid monolayer, and is the number of molecules in one liquid monolayer. When is equal to one, the adhesion energy is , which is the adhesion energy between the liquid/solid interface. As is larger than one, the adhesion energy of the th liquid layer on the liquid layer-covered solid surface is the half cohesion energy between two liquid monolayers. To avoid the influence of the solid surface on liquid molecules, the averaged value of the interfacial energy from the third layer to the top layer was employed to calculate the cohesion energy between liquid layers. Thus, the contact angle can be calculated as Equation (6) [5].
The intermolecular interaction within individual liquid layers was affected by the solid surface. The cohesion energy of liquid molecules within the th liquid monolayer can be calculated using Equation (7) [5]:
where is the total energy of the th liquid monolayer, is the number of molecules in one liquid monolayer, and is the total energy of a single liquid molecule.
3. Results and Discussion
3.1. Contact Anglse of Drops on Talc and Muscovite Surfaces
Comparing the total energy amounts of different water molecular configurations (number of water molecules) on the mineral surface, four molecular configurations yielded the lowest total energy. Therefore, four water molecules behaved as one monolayer on talc (001) and muscovite (001) surfaces for the lowest energy configuration. The adsorption energy of the water layers on muscovite and the cohesion energy among the water layers are shown in Figure 3.
Figure 3.
Interfacial energy of the th water layer on (001) talc (a) and (001) muscovite (c). Cohesion energy among the water of the th water layer on (001) talc (b) and (001) muscovite (d).
As shown in Figure 3a,c, the calculated interfacial energy changed dramatically with the increase in water layers. The main differences occurred at the second water layer, and as the water layers increased, the interfacial energy changed around a constant value. It is interesting to note that the first water layer needs a higher interfacial energy to stay on the talc (001) surface due to the natural hydrophobic property of the talc surface. After that, the interfacial energy decreased, which is water adhesion between the water layer and the first layer at the talc surface. The interfacial energy remained constant. This implies that the impact of the solid surface on the water layer is limited to within three water layers, and the interfacial energy beyond the third layer is essentially the cohesion energy between two water monolayers. The energy of adhesion can be considered as the energy released when one liquid or solid surface comes into contact with another liquid or solid surface. Comparing the interfacial energy in Figure 3a,c, the negative interfacial energy always occurred at the model of water on the muscovite surface, which means the release of energy when the water layers contact the muscovite surface. A molecule will be stable at the solid surface if there are more attractive forces and fewer repulsive forces. Attractive forces lower the potential energy of the molecules, while repulsive forces increase the potential energy of the molecules. The first water layer on the muscovite surface has the biggest energy release and the most stable conformation, according to energy minimization. The attractive forces lead to the spread of water on the muscovite surface. The interfacial energy of the first water layer on the nonpolar talc surface is positive, and the value of the interfacial energy is smaller than that on the muscovite surface, which reveals the weak repulsive force.
The cohesion energy within the th water monolayer was calculated by Equation (7), as shown in Figure 3b,c. Comparing the cohesion energy of talc and muscovite, the water layer on muscovite showed weak intermolecular interaction within the first layer, while the talc surface showed a strong interaction. There was more ion–dipole bonding at the surface of muscovite than at the surface of talc, making the muscovite surface more reactive to the water layer. As shown in Figure 3c, the strong interaction between the muscovite surface and the water monolayer depressed the intermolecular interaction. The interfacial energy of the water layers on muscovite being larger than that of the talc surface also reflects the stronger activity of the muscovite surface. The nonpolar liquid hexane on the talc and muscovite surfaces was calculated as a reference, as shown in Figure 4.
Figure 4.
Interfacial energy of the th hexane layer on (001) talc (a) and (001) muscovite (c). Cohesion energy among the hexane of the th water layer on (001) talc (b) and (001) muscovite (d).
The value of the interfacial energy of nonpolar hexane on talc and muscovite surfaces is smaller than that of polar water. The close to zero positive interfacial energy shows no significant effect between the hexane and talc surfaces, and the positive cohesion energy between the hexane molecules proves the weak interaction among the hexane molecules. The relative free movement of hexane molecules on the talc surface led to a small contact angle. The contact angle of 50.89 ± 10° of hexane on the muscovite surface, as shown in Table 4, revealed that there are more repulsive forces and less attractive forces. The value of the interfacial energy of hexane on the muscovite surface being much smaller than that of water on the muscovite surface showed that no strong interaction occurred. The influence on the charge distribution in the hexane molecules when the nonpolar hexane molecules approached the polar muscovite surface contributed to the negative interfacial energy.
Table 4.
Calculated contact angle by DFT calculation, compared with experimental and MD simulation results.
Based on Equation (6), the calculated contact angles of water and hexane on talc and the muscovite surface in terms of interfacial energy are summarized in Table 4. The AFM submicron-drop contact angle and MD-simulated nanodrop contact angle [17] are also listed in Table 4 for comparison. As shown in Table 4, the calculated contact angles were bigger than the corresponding experimental values, in agreement with the contact angle varying with drop size. Regarding any possibility, this phenomenon may have originated without consideration of surface roughness, gravity, or capillary action.
These uncertainties of DFT contact angle in Table 4 were determined based on calculations using different pseudopotential approximations, namely norm-conserving (NC), ultrasoft (US), and projector-augmented wave (PAW) sets. Even though the DFT simulation contact angle results were consistent with each other under these different approximations, there was a 3–7-degree difference.
3.2. Surface Electric Charge Distribution
The polar liquid water and nonpolar liquid hexane showed different behaviors on the surfaces of muscovite and talc. In addition to the contact angle identification, the electrical charge distributions were calculated to gain more insight into the interface interactions. Figure 5 shows the distribution of the total electronic charge density on the distant isosurface. The K+ and O2− were alternative arrangements on the exposed muscovite (001) surface, where K+ shows the positive charge, and O2− shows the negative charge. The charge distribution on the water molecule was heterogeneous; two hydrogen atoms were surrounded by positive charge, while the negative charge was distributed around the hydrogen atom. Two different interactions between water molecules and the muscovite surface existed, as shown in Figure 5a: one is the O atom of H2O with the K atom of the muscovite surface, which contributes to the electrostatic interaction; the other is the hydrogen bond between the H atoms of H2O and the O atom of the muscovite surface, which led to the hydrophilicity of the muscovite surface. All the interactions contributed to the spontaneous spread of water on the muscovite surface. The water layer on the muscovite surface was the most stable structure, according to energy minimization. On the hydrophobic talc (001) surface, only the O atom was exposed, which led to the negative charge. Comparing the electrical potential of the talc and muscovite surfaces, the surface charge of talc was significantly smaller than that of muscovite. The water layer gradually migrated away from the surface during the optimization due to the electrostatic interaction until the distance reached 3.346 Å away from the talc surface, as shown in Figure 6, which was consistent with previous studies that showed a water exclusion zone and/or gas “gap” with a thickness of 3.5 Å at the hydrophobic surface [25,26].
Figure 5.
The surface electrical potential difference distribution of water on muscovite (a) and talc surfaces (c), as well as the hexane on muscovite (b) and talc (d) surfaces.
Figure 6.
The optimized water layer on the talc surface. The blue surfaces were the two nearest atoms adjacent to each other.
The nonpolar hexane layers all showed a positive charge when they were on the surfaces of muscovite and talc. The difference between the hexane on talc and muscovite surfaces is that the value of the electrical charge on muscovite is bigger than that of talc, leading to the difference in the hexane contact angle between muscovite and talc. The charge distribution of the hexane layers shows differences. The first layer of hexane has more charge distribution, which was affected by the muscovite surface charge. The interaction between different water and hexane layers becomes relatively stable when the number of layers exceeds three. These results provide further insight into the relationship between wettability and surface charge distribution.
4. Conclusions and Perspectives
In this study, a novel method was introduced to characterize the wettability of a hydrophobic talc surface and a hydrophilic muscovite surface in terms of interfacial energy and surface electrical charge from DFT calculation. The different layers of interfacial energy, polar liquid water, and nonpolar liquid hexane were used for contact angle calculation based on the Young–Dupre equation. The results indicate that the as-determined contact angles at the atomic scale were bigger than the corresponding experimental values due to the lack of surface roughness and gravity effect. The electrical potential analysis revealed that the heterogeneity of electrical charge distribution on the muscovite surface led to two interactions between the water layer and the muscovite surface: electrostatic interaction and hydrogen bonding. There was a gas “gap” of about 3 Å between the water and talc surfaces due to the electrostatic interaction. Results demonstrated contact angles of two silicate minerals at the atomic scale, which were bigger than referred values from experiments at the macroscale, providing further insights into the wettability of the mineral surface at the multiscale. It was helpful for designing and optimizing microbubble flotation and the flotation of ultrafine particles.
In this study, the semi-local (GGA) exchange-correlation functionals were used. The GGA exchange-correlation functionals do not adequately describe the long-range electron correlation effects responsible for dispersion interactions. Dispersion correction methods, such as Grimme’s DFT-D, add an empirical term to DFT energy to account for Van der Waals interactions, which are crucial for accurately describing the behavior of many molecular systems, including binding energies and molecular geometries. Therefore, it is possible to improve accuracy by incorporating dispersion corrections. In future research, dispersion correction should be considered to evaluate the accuracy [27].
In addition, the Cambridge Serial Total Energy Package (CASTEP) includes various functionalities, such as the capability to perform ab initio molecular dynamic (aiMD) simulations. The aiMD simulations offer a dynamic perspective that can capture the temporal evolution of material systems, providing insights into their behavior under realistic conditions. There is potential for further enhancing the accuracy of the obtained results.
Author Contributions
X.W.: conceptualization, methodology, formal analysis, investigation, writing—review and editing. C.Z.: investigation, methodology, formal analysis, writing—original draft. J.J.: investigation—simulation, formal analysis. L.L.: supervision, resource, writing—review. J.D.M.: project administration, resource, supervision, conceptualization, formal analysis, writing—review and editing. All authors have read and agreed to the published version of the manuscript.
Funding
This work was supported as part of MUSE, an Energy Frontier Research Center funded by the U.S. Department of Energy, Office of Science, Basic Energy Sciences at the University of Utah, under award #DE-SC0019285.
Data Availability Statement
The raw data supporting the conclusions of this article will be made available by the authors on request.
Acknowledgments
The authors acknowledge financial support from the National Natural Science Foundation of China (52174243) for supporting Chen Zhang’s research at the University of Utah.
Conflicts of Interest
The authors declare no conflicts of interest.
References
- Drelich, J.; Miller, J.D. A systematic comparison of sessile-drop and captive-bubble contact angle methods. In Proceedings of the 1995 SME Annual Meeting, Denver, CO, USA, 6–9 March 1995. [Google Scholar]
- Decker, E.L.; Frank, B.; Suo, Y.; Garoff, S. Physics of contact angle measurement. Colloids Surf. A Physicochem. Eng. Asp. 1999, 156, 177–189. [Google Scholar] [CrossRef]
- Drelich, J.; Boinovich, L.; Chibowski, E.; Volpe, C.D.; Hołysz, L.; Marmur, A.; Siboni, S. Contact angles: History of over 200 years of open questions. Surf. Innov. 2020, 8, 3–27. [Google Scholar] [CrossRef]
- Santiso, E.E.; Herdes, C.; Muller, E.A. On the Calculation of Solid-Fluid Contact Angles from Molecular Dynamics. Entropy 2013, 15, 3734–3745. [Google Scholar] [CrossRef]
- Lu, J.Y.; Ge, Q.; Li, H.; Raza, A.; Zhang, T.J. Direct Prediction of Calcite Surface Wettability with First-Principles Quantum Simulation. J. Phys. Chem. Lett. 2017, 8, 5309–5316. [Google Scholar] [CrossRef] [PubMed]
- Hakim, T.; Lekchiri, S.; Latrache, H.; Afilal, M.E.A.; Zahir, H. Study of Initial Adhesion of a Bacterium to Different Support Materials before and after Conditioning Film of Olive Oil-Mill Wastewater. Adv. Biosci. Biotechnol. 2020, 11, 391–404. [Google Scholar] [CrossRef]
- Wei, N.; Lv, C.; Xu, Z. Wetting of graphene oxide: A molecular dynamics study. Langmuir 2014, 30, 3572–3578. [Google Scholar] [CrossRef] [PubMed]
- Vidossich, P.; De Vivo, M. The role of first principles simulations in studying (bio)catalytic processes. Chem. Catal. 2021, 1, 69–87. [Google Scholar] [CrossRef]
- Cui, W.; Chen, J. Insight into mineral flotation fundamentals through the DFT method. Int. J. Min. Sci. Technol. 2021, 31, 983–994. [Google Scholar] [CrossRef]
- Tang, X.; Chen, J.; Chen, Y.; Krivovichev, S.V. Application of Quantum Chemistry in the Study of Flotation Reagents. Minerals 2023, 13, 1487. [Google Scholar] [CrossRef]
- Li, L.; Zhang, C.; Yuan, Z.; Hao, H.; Zhao, C. Density Functional Theory and Atomic Force Microscopy Study of Oleate Functioned on Siderite Surface. Minerals 2018, 8, 33. [Google Scholar] [CrossRef]
- Andersson, M.P.; Sakuma, H.; Stipp, S.L.S. Strontium, Nickel, Cadmium, and Lead Substitution into Calcite, Studied by Density Functional Theory. Langmuir 2014, 30, 6129–6133. [Google Scholar] [CrossRef] [PubMed]
- Farrokhpay, S.; Ndlovu, B.; Bradshaw, D. Behavior of talc and mica in copper ore flo-tation. Appl. Clay Sci. 2018, 160, 270–275. [Google Scholar] [CrossRef]
- Yin, X.; Gupta, V.; Du, H.; Wang, X.; Miller, J.D. Surface charge and wetting characteristics of layered silicate minerals. Adv. Colloid Interface Sci. 2012, 179–182, 43–50. [Google Scholar] [CrossRef]
- Kaggwa, G.B.; Huynh, L.; Ralston, J.; Bremmell, K. The influence of polymer structure and morphology on talc wettability. Langmuir 2006, 22, 3221–3227. [Google Scholar] [CrossRef]
- Drelich, J.; Miller, J.D.; Good, R.J. The Effect of Drop (Bubble) Size on Advancing and Receding Contact Angles for Heterogeneous and Rough Solid Surfaces as Observed with Sessile-Drop and Captive-Bubble Techniques. J. Colloid Interface Sci. 1996, 179, 37–50. [Google Scholar] [CrossRef]
- Chen, Z.; Wang, X.; Li, L.; Jin, J.; Polson, R.; Miller, J.D. Multiscale water drop contact angles at selected silic surfaces. Physicochem. Probl. Minrt. Process. 2022, 58, 152154. [Google Scholar]
- Bursch, M.; Mewes, J.M.; Hansen, A.; Grimme, S. Best-Practice DFT Protocols for Basic Molecular Computational Chemistry. Angew. Chem. 2022, 134, e202205735. [Google Scholar] [CrossRef]
- Guggenheim, S.; Chang, Y.H.; Groos, A.F.K.V. Muscovite dehydroxylation; high-temperature studies. Am. Mineral. 1987, 73, 537–550. [Google Scholar]
- Perdikatsis, B.; Burzlaff, H. Strukturverfeinerung am Talk Mg3[(OH)2Si4O10], Zeitschrift für Kristallographie. Cryst. Mater. 2010, 156, 177–186. [Google Scholar] [CrossRef]
- Stuart, N.M.; Sohlberg, K. A Method of Calculating Surface Energies for asymmetric slab models. Phys. Chem. Chem. Phys. 2023, 25, 13351–13358. [Google Scholar] [CrossRef]
- Young, T. An Essay on the Cohesion of Fluids. Philos. Trans. R. Soc. Lond. 1805, 95, 65–87. [Google Scholar]
- Good, R.J. Contact angle, wetting, and adhesion: A critical review. J. Adhes. Sci. Technol. 1992, 6, 1269–1302. [Google Scholar] [CrossRef]
- Jin, J.; Wang, X.; Zhang, C.; Schenter, G.S.; Miller, J.D. Hexane Attachment/Detachment at Silica and Alumina Surfaces in Water. to be submitted for publication.
- Wang, X.; Yin, X.; Nalaskowski, J.; Du, H.; Miller, J.D. Molecular fatre of water films created with bubbles at silica surface. Suface Innov. 2015, 3, 20–25. [Google Scholar]
- Mezger, M.; Reichert, H.; Schoder, S.; Okasinski, J.; Schröder, H.; Dosch, H.; Palms, D.; Ralston, J.; Honkimäki, V. Highresolution in situ X-ray study of the hydrophobic gap at the water-octadecyl-trichlorosilane interface. Proc. Natl. Acad. Sci. USA 2006, 103, 18401–18404. [Google Scholar] [CrossRef] [PubMed]
- Johnson, E.R.; DiLabio, G.A. Dispersion interactions in density-functional theory. Chem. Phys. Lett. 2006, 419, 333–339. [Google Scholar] [CrossRef]
Disclaimer/Publisher’s Note: The statements, opinions and data contained in all publications are solely those of the individual author(s) and contributor(s) and not of MDPI and/or the editor(s). MDPI and/or the editor(s) disclaim responsibility for any injury to people or property resulting from any ideas, methods, instructions or products referred to in the content. |
© 2024 by the authors. Licensee MDPI, Basel, Switzerland. This article is an open access article distributed under the terms and conditions of the Creative Commons Attribution (CC BY) license (https://creativecommons.org/licenses/by/4.0/).





