Complexation of REE in Hydrothermal Fluids and Its Significance on REE Mineralization
Abstract
1. Introduction
2. Geochemical Character of REEs
3. Occurrence of REEs
4. Types of REE Deposits
5. REE Complexes in Various Hydrothermal Fluids
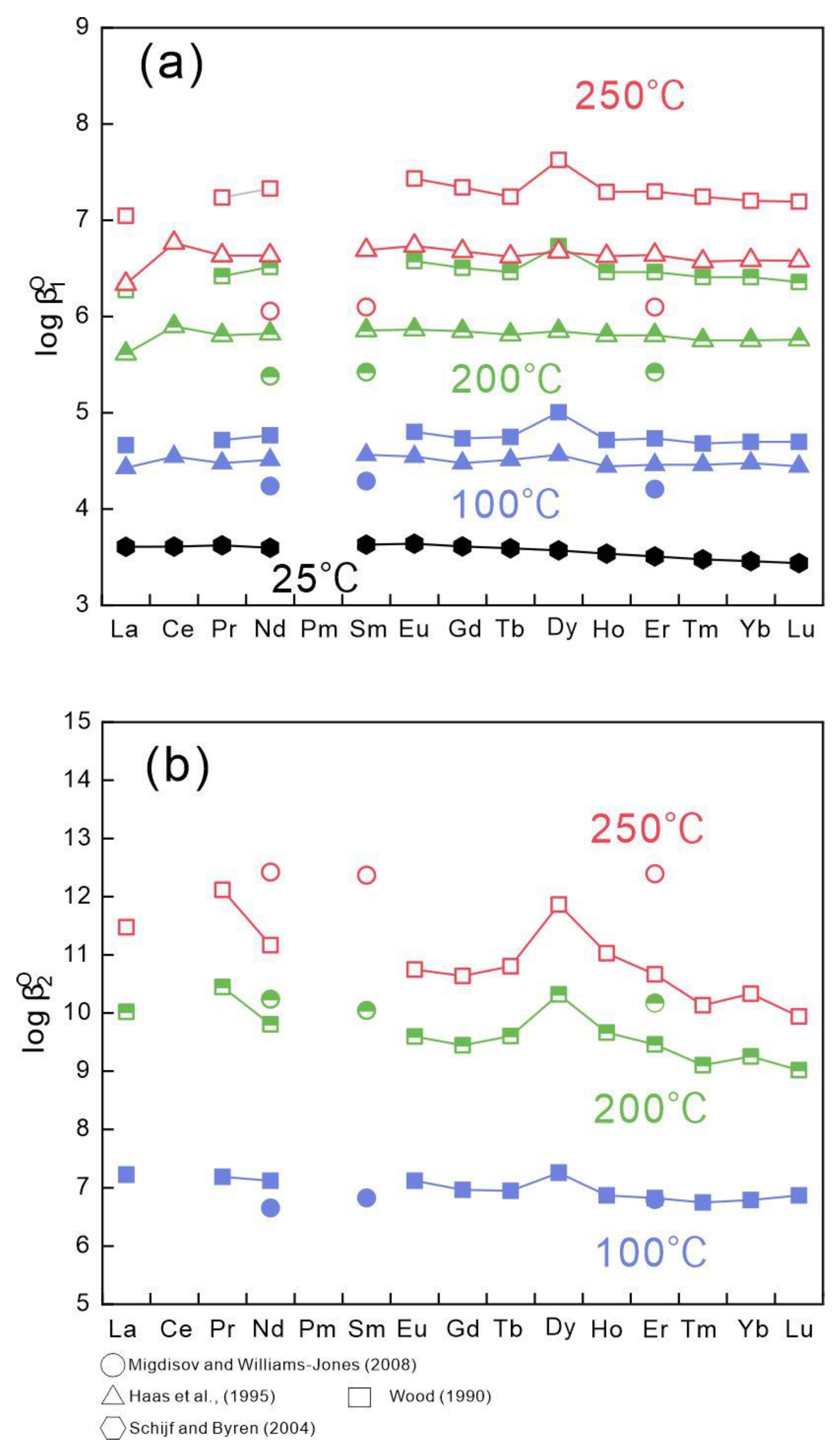
5.1. REE Fluoride Complexes
5.2. REE Chloride Complex
5.3. REE Sulfate Complex
5.4. REE Carbonate Complexes
5.5. REE Phosphate Complexes
5.6. REE Hydroxyl Complexes
5.7. REE Organic Complexes
6. Geological Implications
7. Prospects for Future Research
8. Conclusions
- (1)
- Zero or weak hydrolysis of REE ions suggests that the predominant forms of REEs in solution are REE ions or hydrated ions in low-temperature and acidic–weakly basic fluids.
- (2)
- Cl−, , and OH− are the main ligands for transporting REEs, while F−, , and are the ligands for depositing REEs. Organic matter may also be a complexing ligand for the transport of REEs.
- (3)
- The REE transport abilities of different ligands with similar concentrations under high-temperature (T > 300 °C) acidic or alkaline conditions follow the order: Cl− ≈ > F− ≈ > > OH− (acidic conditions); OH− > ≈ Cl− > F− (alkaline conditions). REE-OH complexes may exhibit greater transport abilities for REEs under alkaline conditions.
- (4)
- The transport of REEs is affected by the ligand types and environmental factors such as temperature, pressure, pH, and the ligand activity in fluids. A scenario with high temperature, low pH, high ligand content, and high salinity will enhance the dissolution and transport of REEs in hydrothermal fluids.
Author Contributions
Funding
Data Availability Statement
Conflicts of Interest
References
- Gupta, C.K.; Krishnamurthy, N. Extractive metallurgy of rare earths. Int. Mater. Rev. 1992, 37, 197–248. [Google Scholar] [CrossRef]
- Connelly, N.G.; Damhus, T.; Hartshorn, R.M.; Hutton, A.T. Nomenclature of Inorganic Chemistry IUPAC Recommendations 2005; The Royal Society of Chemistry: Cambridge, UK, 2005; p. 366. Available online: http://web.archive.org/web/20080527204340/http:/www.iupac.org/publications/books/rbook/Red_Book_2005.pdf (accessed on 1 July 2022).
- Henderson, P. (Ed.) General geochemical properties and abundances of the rare earth elements. In Rare Earth Elements Geochemistry; Elsevier: Amsterdam, The Netherlands, 1984; pp. 1–32. [Google Scholar]
- Wang, Z.G. Geochemistry of Rare Earth Elements; Science Press: Beijing, China, 1989; pp. 1–496. (In Chinese) [Google Scholar]
- Brugger, J.; Lahaye, Y.; Costa, S.; Lambert, D.; Bateman, R. Inhomogeneous distribution of REE in scheelite and dynamics of Archaean hydrothermal systems (Mt. Charlotte and Drysdale gold deposits, Western Australia). Contrib. Mineral. Petrol. 2000, 139, 251–264. [Google Scholar] [CrossRef]
- Hatch, G.P. Dynamics in the global market for rare earths. Elements 2012, 8, 341–346. [Google Scholar] [CrossRef]
- Verplanck, P.L. The role of fluids in the formation of rare earth element deposits. Procedia Earth Planet. Sci. 2017, 17, 758–761. [Google Scholar] [CrossRef]
- Goodenough, K.M.; Wall, F.; Merriman, D. The rare earth elements: Demand, global resources, and challenges for resourcing future generations. Nat. Resour. Res. 2018, 27, 201–216. [Google Scholar] [CrossRef]
- Chakhmouradian, A.R.; Wall, F. Rare earth elements: Minerals, mines, magnets (and more). Elements 2012, 8, 333–340. [Google Scholar] [CrossRef]
- Linnen, R.; Samson, I.M.; Williams-Jones, A.E.; Chakhmouradian, A.R. Geochemistry of the rare-earth element, Nb, Ta, Hf and Zr deposits. In Treatise on Geochemistry, 2nd ed.; Elsevier: Amsterdam, The Netherlands, 2014; Volume 13, pp. 543–568. [Google Scholar] [CrossRef]
- Weng, Z.; Jowitt, S.M.; Mudd, G.M.; Haque, N. A detailed assessment of global rare earth element resources: Opportunities and challenges. Econ. Geol. 2015, 110, 1925–1952. [Google Scholar] [CrossRef]
- Jha, M.K.; Kumari, A.; Panda, R.; Kumar, J.R.; Yoo, K.; Lee, J.Y. Review on hydrometallurgical recovery of rare earth metals. Hydrometallurgy 2016, 165, 2–26. [Google Scholar] [CrossRef]
- Wall, F.; Rollat, A.; Pell, R.S. Responsible sourcing of critical metals. Elements 2017, 13, 313–318. [Google Scholar] [CrossRef]
- Wall, F.; Pell, R. Responsible sourcing of rare earths: Exploration-stage intervention including life cycle assessment. In Handbook on the Physics and Chemistry of Rare Earths; Elsevier: Amsterdam, The Netherlands, 2020; Volume 58, pp. 155–194. [Google Scholar]
- Chen, W.; Jiang, S.Y. How did carbonatite-related rare earth element deposits form? Earth Sci. 2022, 47, 3891–3893. [Google Scholar]
- Song, W.; Xu, C.; Smith, M.P.; Kynicky, J.; Yang, J.; Liu, T.; Jing, D. Origin of heavy rare earth element enrichment in carbonatites. Geochim. Cosmochim. Acta 2023, 362, 115–126. [Google Scholar] [CrossRef]
- Nassar, N.T.; Du, X.; Graedel, T.E. Criticality of the rare earth elements. J. Ind. Ecol. 2015, 19, 1044–1054. [Google Scholar] [CrossRef]
- Balaram, V. Rare earth elements: A review of applications, occurrence, exploration, analysis, recycling, and environmental impact. Geosci. Front. 2019, 10, 1285–1303. [Google Scholar] [CrossRef]
- European Commission. Communication from the Commission to the European Parliament, the Council, the European Economic and Social Committee and the Committee of the Regions on the 2017 List of Critical Raw Materials for the EU; Publications Office of the European Union: Brussels, Germany, 2017; 8p. [Google Scholar]
- European Commission. Criticality Assessments, Deloitte Sustainability, British Geological Survey, Bureau de Recherches Géologiques et Minières, Netherlands Organisation for Applied Scientific Research. In Study on the Review of the List of Critical Raw Materials; Publications Office of the European Union: Brussels, Germany, 2017; 92p. [Google Scholar]
- European Commission. Communication from the Commission to the European Parliament the Council, the European Economic and Social Committee and the Committee of the Regions. In Critical Raw Materials Resilience: Charting a Path towards Greater Security and Sustainability; Publications Office of the European Union: Brussels, Germany, 2020; 23p. [Google Scholar]
- United States Geological Survey USGS. Draft Critical Mineral List—Summary of Methodology and Background Information—U.S. Geological Survey Technical Input Document in Response to Secretarial Order No. 3359; USGS: Reston, VA, USA, 2018; 15p. [Google Scholar]
- Haxel, G. Rare Earth Elements: Critical Resources for High Technology; U.S. Department of the Interior, U.S. Geological Survey: Reston, VA, USA, 2002; Volume 87. [Google Scholar]
- USDOE. Critical Mineral Strategies; U.S. Department of Energy: Washington, DC, USA, 2010; 165p. [Google Scholar]
- Hoenderdaal, S.; Espinoza, L.T.; Marscheider-Weidemann, F.; Graus, W. Can a dysprosium shortage threaten green energy technologies? Energy 2013, 49, 344–355. [Google Scholar] [CrossRef]
- Humphries, M. Rare Earth Elements: The Global Supply Chain; U.S. Congressional Research Service: Washington, DC, USA, 2013. [Google Scholar]
- Ding, X.; Sun, W.D.; Chen, W.F.; Chen, P.R.; Sun, T.; Sun, S.J.; Lin, C.T.; Chen, F.K. Multiple Mesozoic magma processes formed the 240-185 Ma composite Weishan pluton, South China: Evidence from geochronology, geochemistry, and Sr-Nd isotopes. Int. Geol. Rev. 2015, 57, 1189–1217. [Google Scholar] [CrossRef]
- Hoshino, M.; Sanematsu, K.; Watanabe, Y. REE mineralogy and resources. Handb. Phys. Chem. Rare Earths 2016, 49, 129–291. [Google Scholar] [CrossRef]
- Wang, Y.; Hu, B.Q.; Wang, Q.; Li, Y.G.; Sun, Z.X.; Guo, G.L. Occurrence characteristic of HREE in Zoujiashan Uranium Deposit. J. Jilin Univ. Erath Sci. Ed. 2018, 48, 719–735. [Google Scholar]
- Smith, M.P.; Henderson, P. Preliminary fluid inclusion constraints on fluid evolution in the Bayan Obo Fe-REE-Nb deposit, Inner Mongolia, China. Econ. Geol. 2000, 95, 1371–1388. [Google Scholar] [CrossRef]
- Li, X.; Zhou, M.F. Multiple stages of hydrothermal REE remobilization recorded in fluorapatite in the Paleoproterozoic Yinachang Fe–Cu–(REE) deposit, Southwest China. Geochim. Cosmochim. Acta 2015, 166, 53–73. [Google Scholar] [CrossRef]
- Fan, H.R.; Yang, K.F.; Hu, F.F.; Liu, S.; Wang, K.Y. The giant Bayan Obo REE-Nb-Fe deposit, China: Controversy and ore genesis. Geosci. Front. 2016, 7, 335–344. [Google Scholar] [CrossRef]
- Li, X.C.; Zhou, M.F. The nature and origin of hydrothermal REE mineralization in the Sin Quyen deposit, northwestern Vietnam. Econ. Geol. 2018, 113, 645–673. [Google Scholar] [CrossRef]
- Migdisov, A.; Williams-Jones, A.E.; Brugger, J.; Caporuscio, F.A. Hydrothermal transport, deposition, and fractionation of the REE: Experimental data and thermodynamic calculations. Chem. Geol. 2016, 439, 13–42. [Google Scholar] [CrossRef]
- Jordens, A.; Cheng, Y.P.; Waters, K.E. A review of the beneficiation of rare earth element bearing minerals. Miner. Eng. 2013, 41, 97–114. [Google Scholar] [CrossRef]
- Hedrick, J.B. Minerals Yearbook: Volume I—Metals and Minerals; USGS: Reston, VA, USA, 2000; p. 62.1. [Google Scholar]
- Rudnick, R.L.; Gao, S. Composition of the continental crust. In Treatise on Geochemistry, 3rd ed.; Holland, H.D., Turekian, K.K., Eds.; Elsevier Pergamon: Oxford, UK, 2003; p. 56. [Google Scholar]
- Weng, Z.H.; Jowitt, S.M.; Mudd, G.M.; Haque, N. Assessing rare earth element mineral deposit types and links to environmental impacts. Appl. Earth Sci. 2013, 122, 83–96. [Google Scholar] [CrossRef]
- Sverjensky, D.A. Europium redox equilibria in aqueous solution. Earth Planet. Sci. Lett. 1984, 67, 70–78. [Google Scholar] [CrossRef]
- Duan, Q.F. The Research of the Metallogenic Regularity of Stratabound Zinc-Lead Deposits from Sinian-Cambrian in the Western Hunan and Western Hubei. Ph.D. Thesis, University of Geosciences, Wuhan, China, 2014. [Google Scholar]
- Sun, W.D.; Liang, H.Y.; Ling, M.X.; Zhan, M.Z.; Ding, X.; Zhang, H.; Yang, X.Y.; Li, Y.L.; Ireland, T.R.; Wei, Q.R.; et al. The link between reduced porphyry copper deposits and oxidized magmas. Geochim. Cosmochim. Acta 2013, 103, 263–275. [Google Scholar] [CrossRef]
- Sun, W.D.; Huang, R.F.; Li, H.; Hu, Y.B.; Zhang, C.C.; Sun, S.J.; Zhang, L.P.; Ding, X.; Li, C.Y.; Zartman, R.E.; et al. Porphyry deposits and oxidized magmas. Ore Geol. Rev. 2015, 65 Pt 1, 97–131. [Google Scholar] [CrossRef]
- Javanmard, S.R.; Tahmasbi, Z.; Ding, X.; Khalaji, A.A.; Hetherington, C.J. Geochemistry of garnet in pegmatites from the Boroujerd intrusive complex, Sanandaj-Sirjan zone, western Iran: Implications for the origin of pegmatite melts. Mineral. Petrol. 2018, 112, 837–856. [Google Scholar] [CrossRef]
- Ding, X.; Lundstrom, C.; Huang, F.; Li, J.; Zhang, Z.M.; Sun, X.M.; Liang, J.L.; Sun, W.D. Nature and experimental constraints on formation of the continental crust based on niobium-tantalum fractionation. Int. Geol. Rev. 2009, 51, 473–501. [Google Scholar] [CrossRef]
- Chang, A.F.; Ding, X. Thermodiffusion driven element and isotopic fractionations: A considerable component differentiation mechanism in silicate system. Acta Petrol. Sin. 2020, 36, 99–112. [Google Scholar]
- Jiang, Z.H.; Ding, X.; Song, M.S.; Ling, M.X. Thermodiffusion of major and trace elements in dried aluminosilicate glass. Ceram. Int. 2022, 48, 28404–28412. [Google Scholar] [CrossRef]
- She, H.D.; Fan, H.R.; Hu, F.F. Migration and precipitation of rare earth elements in the hydrothermal fluids. Acta Petrol. Sin. 2018, 34, 3567–3581. [Google Scholar]
- Spedding, F.H. Contributions of the rare earths to science and technology. In Symposium on the Effects of Rare Earths on the Properties of Metals and Alloys; ASM: Cincinnati, OH, USA, 1975; pp. 1–11. [Google Scholar]
- Mariano, A.N. Economic geology of rare earth elements. Rev. Mineral. Geochem. 1989, 21, 309–337. [Google Scholar]
- Kanazawa, Y.; Kamitani, M. Rare earth minerals and resources in the world. J. Alloys Compd. 2006, 408, 1339–1343. [Google Scholar] [CrossRef]
- Haque, N.; Hughes, A.; Lim, S.; Vernon, C. Rare earth elements: Overview of mining, mineralogy, uses, sustainability and environmental impact. Resources 2014, 3, 614–635. [Google Scholar] [CrossRef]
- Kumari, A.; Panda, R.; Jha, M.K.; Kumar, J.R.; Lee, J.Y. Process development to recover rare earth metals from monazite mineral: A review. Miner. Eng. 2015, 79, 102–115. [Google Scholar] [CrossRef]
- RØnsbo, J.G. Coupled substitutions involving REEs and Na and Si in apatites in alkaline rocks from the Ilimaussaq intrusion, South Greenland, and the petrological implications. Am. Mineral. 1989, 74, 896–901. [Google Scholar]
- Wood, S.A. The aqueous geochemistry of the rare-earth elements and yttrium: 1. Review of available low-temperature data for inorganic complexes and the inorganic REE speciation of natural waters. Chem. Geol. 1990, 82, 159–186. [Google Scholar] [CrossRef]
- Fleet, M.E.; Pan, Y. Site preference of rare earth elements in fluorapatite. Am. Mineral. 1995, 80, 329–335. [Google Scholar] [CrossRef]
- Liang, T.; Wang, D.H.; Qu, W.J. REE geochemistry of calcites in the Dachang tin-polymetallic deposit, Guangxi. Acta Petrol. Sin. 2007, 2310, 2493–2503. [Google Scholar]
- Tang, Y.Y.; Bi, X.W.; He, L.P. Geochemical characteristics of trace elements, fluid inclusions and carbon-oxygen isotopes of calcites in the Jinding Zn-Pb deposit, Lanping, China. Acta Petrol. Sin. 2011, 279, 2635–2645. [Google Scholar]
- Hughes, J.M.; Rakovan, J.F. Structurally robust, chemically diverse: Apatite and apatite supergroup minerals. Elements 2015, 11, 165–170. [Google Scholar] [CrossRef]
- Hu, Y.S.; Ye, L.; Wei, C. REE geochemistry of the hydrothermal calcites from the Huayuan orefield, in the western Hunan, China. Acta Mineral. Sin. 2020, 40, 441–449. [Google Scholar]
- Simandl, G.J. Geology and market-dependent significance of rare earth element resources. Miner. Depos. 2014, 49, 889–904. [Google Scholar] [CrossRef]
- Xu, C.; Kynický, J.; Smith, M.P.; Kopriva, A.; Brtnický, M.; Urubek, T.; Song, W. Origin of heavy rare earth mineralization in South China. Nat. Commun. 2017, 8, 14598. [Google Scholar] [CrossRef] [PubMed]
- Williams-Jones, A.E.; Vasyukova, O.V. The Econ. Geol. of scandium, the runt of the rare earth element litter. Econ. Geol. 2018, 113, 973–988. [Google Scholar] [CrossRef]
- Dostal, J. Rare metal deposits associated with alkaline/peralkaline igneous rocks. In Rare Earth and Critical Elements in Ore Deposits; Society of Economic Geologists: Littleton, CO, USA, 2016. [Google Scholar]
- Anthony, J.W.; Bideaux, R.A.; Bladh, K.W. Handbook of Mineralogy, Mineralogical Society of America; Mineralogical Society of America: Chantilly, VA, USA, 2001. [Google Scholar]
- Ding, X.; Hu, Y.H.; Zhang, H.; Li, C.Y.; Ling, M.X.; Sun, W.D. Major Nb/Ta fractionation recorded in garnet amphibolite facies metagabbro. J. Geol. 2013, 121, 255–274. [Google Scholar] [CrossRef]
- Long, K.R.; Van Gosen, B.S.; Foley, N.K.; Cordier, D. The Principal Rare Earth Elements Deposits of the United States—A Summary of Domestic Deposits and a Global Perspective—U.S. Geological Survey Scientific Investigations Report 2010–5220; USGS: Reston, VA, USA, 2010; pp. 1–104. [Google Scholar]
- Wang, J.; Li, L.; Santosh, M.; Yan, G.Y.; Shen, J.F.; Yuan, M.W.; Li, S.R. Multistage ore formation in the world’s largest REE-Nb-Fe deposit of Bayan Obo, North China Craton: New insights and implications. Ore Geol. Rev. 2023, 164, 105817. [Google Scholar] [CrossRef]
- Gysi, A.P.; Williams-Jones, A.E. The thermodynamic properties of bastnäsite-(Ce) and parisite-(Ce). Chem. Geol. 2015, 392, 87–101. [Google Scholar] [CrossRef]
- Wall, F. Rare earth elements. In Critical Metals Handbook; John Wiley & Sons: Hoboken, NJ, USA, 2014; pp. 312–339. [Google Scholar]
- Wei, C.W.; Xu, C.; Fu, W. Research advances in experimental petrology and geochemistry of rare earth elements in magmatic and hydrothermal systems. Acta Petrol. Sin. 2022, 3802, 455–471. [Google Scholar]
- Cheng, Z.; Zhang, Z.; Aibai, A.; Kong, W.; Holtz, F. The role of magmatic and post-magmatic hydrothermal processes on rare-earth element mineralization: A study of the Bachu carbonatites from the Tarim Large Igneous Province, NW China. Lithos 2018, 314, 71–87. [Google Scholar] [CrossRef]
- Ding, X.; Su, K.; Yan, H.; Liang, J.; Sun, W. Effect of F-rich fluids on the A-type magmatism and related metal mobilization: New insights from the Fogang-Nankunshan-Yajishan igneous rocks in southeast China. J. Earth Sci. 2022, 33, 591–608. [Google Scholar] [CrossRef]
- Dostal, J. Rare earth element deposits of alkaline igneous rocks. Resources 2017, 6, 34. [Google Scholar] [CrossRef]
- London, D. Rare-element granitic pegmatites. Rev. Econ. Geol. 2016, 18, 165–194. [Google Scholar] [CrossRef]
- Sheard, E.R.; Williams-Jones, A.E.; Heiligmann, M.; Pederson, C.; Trueman, D.L. Controls on the concentration of zirconium, niobium, and the rare earth elements in the Thor Lake rare metal deposit, Northwest Territories, Canada. Econ. Geol. 2012, 107, 81–104. [Google Scholar] [CrossRef]
- Simandl, G.J.; Paradis, S. Carbonatites: Related ore deposits, resources, footprint, and exploration methods. Appl. Earth Sci. 2018, 127, 123–152. [Google Scholar] [CrossRef]
- Xie, Y.L.; Verplanck, P.L.; Hou, Z.; Zhong, R. Rare earth element deposits in China: A review and new understandings. In Mineral Deposits of China; Society of Economic Geologists: Littleton, CO, USA, 2019. [Google Scholar]
- Anenburg, M.; Broom-Fendley, S.; Chen, W. Formation of rare earth deposits in carbonatites. Elements 2021, 17, 327–332. [Google Scholar] [CrossRef]
- Zhang, Y.F.; Zhang, P.; Liu, J.J. New research process and prospecting of Chishan endogenetic light rare earth deposit in Weishan Country in Shandong Province. Shandong Land Resour. 2022, 38, 19–25, (In Chinese with English abstract). [Google Scholar]
- Zhan, Y.X.; Li, X.C.; Wu, B.; Yang, K.F.; Fan, H.R.; Li, X.H. The occurrence and genesis of HREE-rich minerals from the giant Bayan Obo deposit, China. Ore Geol. Rev. 2023, 157, 105438. [Google Scholar] [CrossRef]
- Feng, M.; Song, W.; Kynicky, J.; Smith, M.; Cox, C.; Kotlanova, M.; Wei, C. Primary rare earth element enrichment in carbonatites: Evidence from melt inclusions in Ulgii Khiid carbonatite, Mongolia. Ore Geol. Rev. 2020, 117, 103294. [Google Scholar] [CrossRef]
- Ling, M.X.; Liu, Y.L.; Williams, I.S.; Teng, F.Z.; Yang, X.Y.; Ding, X.; Sun, W.D. Formation of the world’s largest REE deposit through protracted fluxing of carbonatite by subduction-derived fluids. Sci. Rep. 2013, 3, 1776. [Google Scholar] [CrossRef]
- Song, W.; Xu, C.; Smith, M.P.; Chakhmouradian, A.R.; Brenna, M.; Kynický, J.; Tang, H. Genesis of the world’s largest rare earth element deposit, Bayan Obo, China: Protracted mineralization evolution over ~1 by. Geology 2018, 46, 323–326. [Google Scholar] [CrossRef]
- Liu, Y.; Chakhmouradian, A.R.; Hou, Z.; Song, W.; Kynický, J. Development of REE mineralization in the giant Maoniuping deposit (Sichuan, China): Insights from mineralogy, fluid inclusions, and trace-element geochemistry. Miner. Depos. 2019, 54, 701–718. [Google Scholar] [CrossRef]
- Zhang, W.; Chen, W.T.; Williams-Jones, A.E. An unique, fluocerite-rich REE deposit in Henan province, Central China: The missing link in magmatic-hydrothermal REE mineralizing systems? Contrib. Mineral. Petrol. 2023, 178, 34. [Google Scholar] [CrossRef]
- Kynicky, J.; Smith, M.P.; Xu, C. Diversity of rare earth deposits: The key example of China. Elements 2012, 8, 361–367. [Google Scholar] [CrossRef]
- Jaireth, S.; Hoatson, D.M.; Miezitis, Y. Geological setting and resources of the major rare-earth-element deposits in Australia. Ore Geol. Rev. 2014, 62, 72–128. [Google Scholar] [CrossRef]
- Xie, Y.L.; Hou, Z.; Goldfarb, R.J.; Guo, X.; Wang, L. Rare earth element deposits in China. In Rare Earth and Critical Elements in Ore Deposits; Society of Economic Geologists: Littleton, CO, USA, 2016. [Google Scholar]
- Borst, A.M.; Smith, M.P.; Finch, A.A.; Estrade, G.; Villanova-de-Benavent, C.; Nason, P.; Geraki, K. Adsorption of rare earth elements in regolith-hosted clay deposits. Nat. Commun. 2020, 11, 4386. [Google Scholar] [CrossRef]
- Lohmeier, S.; Machleidt, J.; Klemd, R.; Ellmies, R. Okorusu tailings—Part II: REE mineralisation, and oxygen and carbon isotope variations. S. Afr. J. Geol. 2023, 126, 315–336. [Google Scholar] [CrossRef]
- Li, J.; Peng, K.; Wang, P.; Zhang, N.; Feng, K.; Guan, D.; Yang, Q. Critical rare-earth elements mismatch global wind-power ambitions. One Earth 2020, 3, 116–125. [Google Scholar] [CrossRef]
- Nassar, N.T.; Brainard, J.; Gulley, A.; Manley, R.; Matos, G.; Lederer, G.; Fortier, S.M. Evaluating the mineral commodity supply risk of the US manufacturing sector. Sci. Adv. 2020, 6, eaay8647. [Google Scholar] [CrossRef]
- Xing, J.; Jiang, Y.; Xian, H.; Yang, W.; Yang, Y.; Tan, W.; Zhu, J. Hydrothermal alteration and the remobilization of rare earth elements during reprecipitation of nano-scale apatite in phosphorites. Lithos 2023, 444, 107113. [Google Scholar] [CrossRef]
- Bao, Z.; Zhao, Z. Geochemistry of mineralization with exchangeable REY in the weathering crusts of granitic rocks in South China. Ore Geol. Rev. 2008, 33, 519–535. [Google Scholar] [CrossRef]
- Le Maitre, R.W.; Streckeisen, A.; Zanettin, B.; Le Bas, M.J.; Bonin, B.; Bateman, P. (Eds.) Igneous Rocks: A Classification and Glossary of terms: Recommendations of the International Union of Geological Sciences Subcommission on the Systematics of Igneous Rocks; Cambridge University Press: Cambridge, UK, 2005. [Google Scholar]
- Wall, F.; Mariano, A.N. Rare earth minerals in carbonatites: A discussion centered on the Kangankunde Carbonatite, Malawi. In Rare Earth Minerals—Chemistry, Origin and Ore Deposits; Jones, A.P., Wall, F., Williams, C.T., Eds.; The Mineralogical Society Series 7; Chapman and Hall: New York, NY, USA, 1996; pp. 193–225. [Google Scholar]
- Prokopyev, I.R.; Borisenko, A.S.; Borovikov, A.A.; Pavlova, G.G. Origin of REE-rich ferrocarbonatites in southern Siberia (Russia): Implications based on melt and fluid inclusions. Mineral. Petrol. 2016, 110, 845–859. [Google Scholar] [CrossRef]
- Walter, B.F.; Steele-MacInnis, M.; Giebel, R.J.; Marks, M.A.; Markl, G. Complex carbonate-sulfate brines in fluid inclusions from carbonatites: Estimating compositions in the system H2O-Na-K-CO3-SO4-Cl. Geochim. Cosmochim. Acta 2020, 277, 224–242. [Google Scholar] [CrossRef]
- Anenburg, M.; Mavrogenes, J.A.; Frigo, C.; Wall, F. Rare earth element mobility in and around carbonatites controlled by sodium, potassium, and silica. Sci. Adv. 2020, 6, eabb6570. [Google Scholar] [CrossRef]
- Moore, M.; Chakhmouradian, A.R.; Mariano, A.N.; Sidhu, R. Evolution of rare-earth mineralization in the Bear Lodge carbonatite, Wyoming: Mineralogical and isotopic evidence. Ore Geol. Rev. 2015, 64, 499–521. [Google Scholar] [CrossRef]
- Ruberti, E.; Enrich, G.E.; Gomes, C.B.; Comin-Chiaramonti, P. Hydrothermal REE fluorocarbonate mineralization at Barra do Itapirapua, a multiple stockwork carbonatite, Southern Brazil. Can. Mineral. 2008, 46, 901–914. [Google Scholar] [CrossRef]
- Yang, K.F.; Fan, H.R.; Santosh, M.; Hu, F.F.; Wang, K.Y. Mesoproterozoic carbonatitic magmatism in the Bayan Obo deposit, Inner Mongolia, North China: Constraints for the mechanism of super accumulation of rare earth elements. Ore Geol. Rev. 2011, 40, 122–131. [Google Scholar] [CrossRef]
- Niu, H.C.; Lin, C.X. The genesis of the Mianning REE deposit, Sichuan Province. Miner. Depos. 1994, 13, 345–353. [Google Scholar]
- Bell, K.; Zaitsev, A.N.; Spratt, J.; Fröjdö, S.; Rukhlov, A.S. Elemental, lead and sulfur isotopic compositions of galena from Kola carbonatites, Russia–implications for melt and mantle evolution. Mineral. Mag. 2015, 79, 219–241. [Google Scholar] [CrossRef]
- Wei, C.W.; Deng, M.; Xu, C.; Chakhmouradian, A.R.; Smith, M.P.; Kynicky, J.; Fu, B. Mineralization of the Bayan Obo rare earth element deposit by recrystallization and decarbonation. Econ. Geol. 2022, 117, 1327–1338. [Google Scholar] [CrossRef]
- Oreskes, N.; Einaudi, M.T. Origin of rare earth element-enriched hematite breccias at the Olympic Dam Cu-U-Au-Ag deposit, Roxby Downs, South Australia. Econ. Geol. 1990, 85, 1–28. [Google Scholar] [CrossRef]
- Williams, M.R.; Holwell, D.A.; Lilly, R.M.; Case, G.N.; McDonald, I. Mineralogical and fluid characteristics of the fluorite-rich Monakoff and E1 Cu–Au deposits, Cloncurry region, Queensland, Australia: Implications for regional F–Ba-rich IOCG mineralisation. Ore Geol. Rev. 2015, 64, 103–127. [Google Scholar] [CrossRef]
- Haas, J.R.; Shock, E.L.; Sassani, D.C. Rare earth elements in hydrothermal systems: Estimates of standard partial molal thermodynamic properties of aqueous complexes of the rare earth elements at high pressures and temperatures. Geochim. Cosmochim. Acta 1995, 59, 4329–4350. [Google Scholar] [CrossRef]
- Migdisov, A.A.; Williams-Jones, A.E. Hydrothermal transport and deposition of the rare earth elements by fluorine-bearing aqueous liquids. Miner. Depos. 2014, 49, 987–997. [Google Scholar] [CrossRef]
- Li, M.Y.H.; Zhou, M.F.; Williams-Jones, A.E. The genesis of regolith-hosted heavy rare earth element deposits: Insights from the world-class Zudong deposit in Jiangxi Province, South China. Econ. Geol. 2019, 114, 541–568. [Google Scholar] [CrossRef]
- Lehmann, B.; Nakai, S.I.; Höhndorf, A.; Brinckmann, J.; Dulski, P.; Hein, U.F.; Masuda, A. REE mineralization at Gakara, Burundi: Evidence for anomalous upper mantle in the western Rift Valley. Geochim. Cosmochim. Acta 1994, 58, 985–992. [Google Scholar] [CrossRef]
- Williams-Jones, A.E.; Samson, I.M.; Olivo, G.R. The genesis of hydrothermal fluorite-REE deposits in the Gallinas Mountains, New Mexico. Econ. Geol. 2000, 95, 327–341. [Google Scholar] [CrossRef]
- Gammons, C.H.; Wood, S.A.; Pedrozo, F.; Varekamp, J.C.; Nelson, B.J.; Shope, C.L.; Baffico, G. Hydrogeochemistry and rare earth element behavior in a volcanically acidified watershed in Patagonia, Argentina. Chem. Geol. 2005, 222, 249–267. [Google Scholar] [CrossRef]
- Fan, H.R.; Hu, F.F.; Yang, K.F.; Wang, K.Y. Fluid unmixing/immiscibility as an ore-forming process in the giant REE–Nb–Fe deposit, Inner Mongolian, China: Evidence from fluid inclusions. J. Geochem. Explor. 2006, 89, 104–107. [Google Scholar] [CrossRef]
- Liu, Y.; Chen, Z.; Yang, Z.; Sun, X.; Zhu, Z.; Zhang, Q. Mineralogical and geochemical studies of brecciated ores in the Dalucao REE deposit, Sichuan Province, southwestern China. Ore Geol. Rev. 2015, 70, 613–636. [Google Scholar] [CrossRef]
- Smith, M.P.; Campbell, L.S.; Kynicky, J. A review of the genesis of the world class Bayan Obo Fe–REE–Nb deposits, Inner Mongolia, China: Multistage processes and outstanding questions. Ore Geol. Rev. 2015, 64, 459–476. [Google Scholar] [CrossRef]
- Gysi, A.P.; Williams-Jones, A.E.; Collins, P. Lithogeochemical vectors for hydrothermal processes in the Strange Lake peralkaline granitic REE-Zr-Nb deposit. Econ. Geol. 2016, 111, 1241–1276. [Google Scholar] [CrossRef]
- Zhang, W.; Chen, W.T.; Mernagh, T.P.; Zhou, L. Quantifying the nature of ore-forming fluids in the Dalucao carbonatite-related REE deposit, Southwest China: Implication for the transport and deposition of REEs. Miner. Depos. 2022, 57, 935–953. [Google Scholar] [CrossRef]
- Xie, Y.; Li, Y.; Hou, Z.; Cooke, D.R.; Danyushevsky, L.; Dominy, S.C.; Yin, S. A model for carbonatite hosted REE mineralisation—The Mianning–Dechang REE belt, Western Sichuan Province, China. Ore Geol. Rev. 2015, 70, 595–612. [Google Scholar] [CrossRef]
- Gysi, A.P.; Williams-Jones, A.E. Hydrothermal mobilization of pegmatite-hosted REE and Zr at Strange Lake, Canada: A reaction path model. Geochim. Cosmochim. Acta 2013, 122, 324–352. [Google Scholar] [CrossRef]
- Williams-Jones, A.E.; Palmer, D.A.S. The evolution of aqueous–carbonic fluids in the Amba Dongar carbonatite, India: Implications for fenitisation. Chem. Geol. 2002, 185, 283–301. [Google Scholar] [CrossRef]
- Rankin, A.H.; Linnen, R.L.; Samson, I.M. Carbonatite-associated rare metal deposits: Composition and evolution of ore-forming fluids–the fluid inclusion evidence. Rare-Elem. Geochem. Miner. Depos. 2005, 17, 299–314. [Google Scholar]
- Trofanenko, J.; Williams-Jones, A.E.; Simandl, G.J.; Migdisov, A.A. The nature and origin of the REE mineralization in the Wicheeda Carbonatite, British Columbia, Canada. Econ. Geol. 2016, 111, 199–223. [Google Scholar] [CrossRef]
- Johannes Giebel, R.; Gauert, C.D.; Marks, M.A.; Costin, G.; Markl, G. Multi-stage formation of REE minerals in the Palabora Carbonatite Complex, South Africa. Am. Mineral. 2017, 102, 1218–1233. [Google Scholar] [CrossRef]
- Vasyukova, O.V.; Williams-Jones, A.E. Direct measurement of metal concentrations in fluid inclusions, a tale of hydrothermal alteration and REE ore formation from Strange Lake, Canada. Chem. Geol. 2018, 483, 385–396. [Google Scholar] [CrossRef]
- Ling, Q.C.; Liu, C.Q. Geochemical Behaviors of REE and Other Trace Elements during the Formation of Strata-bound Skarns and Related Deposits: A Case Study of the Dongguashan Cu (Au) Deposit, Anhui Province, China. Acta Geol. Sin. 2003, 77, 246–257. [Google Scholar]
- Richter, L.; Diamond, L.W.; Atanasova, P.; Banks, D.A.; Gutzmer, J. Hydrothermal formation of heavy rare earth element (HREE)–xenotime deposits at 100 °C in a sedimentary basin. Geology 2018, 46, 263–266. [Google Scholar] [CrossRef]
- Turner, D.R.; Whitfield, M.; Dickson, A.G. The equilibrium speciation of dissolved components in freshwater and sea water at 25 °C and 1 atm pressure. Geochim. Cosmochim. Acta 1981, 45, 855–881. [Google Scholar] [CrossRef]
- Shannon, R.T.; Prewitt, C.T. Effective ionic radii in oxides and fluorides. Acta Crystallogr. Sect. B Struct. Crystallogr. Cryst. Chem. 1969, 25, 925–946. [Google Scholar] [CrossRef]
- Pearson, R.G. Hard and soft acids and bases. J. Am. Chem. Soc. 1963, 85, 3533–3539. [Google Scholar] [CrossRef]
- Migdisov, A.A.; Williams-Jones, A.E.; Wagner, T. An experimental study of the solubility and speciation of the Rare Earth Elements (III) in fluoride-and chloride-bearing aqueous solutions at temperatures up to 300 °C. Geochim. Cosmochim. Acta 2009, 73, 7087–7109. [Google Scholar] [CrossRef]
- Bau, M. Rare-earth element mobility during hydrothermal and metamorphic fluid-rock interaction and the significance of the oxidation state of europium. Chem. Geol. 1991, 93, 219–230. [Google Scholar] [CrossRef]
- Williams-Jones, A.E.; Migdisov, A.A.; Samson, I.M. Hydrothermal mobilisation of the rare earth elements–a tale of “ceria” and “yttria”. Elements 2012, 8, 355–360. [Google Scholar] [CrossRef]
- Williams-Jones, A.E.; Wood, S.A. A preliminary petrogenetic grid for REE fluorocarbonates and associated minerals. Geochim. Cosmochim. Acta 1992, 56, 725–738. [Google Scholar] [CrossRef]
- Gammons, C.H.; Wood, S.A.; Williams-Jones, A.E. The aqueous geochemistry of the rare earth elements and yttrium: VI. Stability of neodymium chloride complexes from 25 to 300 °C. Geochim. Cosmochim. Acta 1996, 60, 4615–4630. [Google Scholar] [CrossRef]
- Wood, S.A. The aqueous geochemistry of the rare-earth elements and yttrium: 2. Theoretical predictions of speciation in hydrothermal solutions to 350 °C at saturation water vapor pressure. Chem. Geol. 1990, 88, 99–125. [Google Scholar] [CrossRef]
- Gammons, C.H. Complexation of the rare earth elements with aqueous chloride at 200° and 300 °C and saturated water vapor pressure. In Water-Rock Interaction, Ore Deposits, Environmental Geochemistry; The Geochemical Society: St. Louis, MO, USA, 2002; pp. 191–207. [Google Scholar]
- Migdisov, A.A.; Williams-Jones, A.E. An experimental study of the solubility and speciation of neodymium (III) fluoride in F-bearing aqueous solutions. Geochim. Cosmochim. Acta 2007, 71, 3056–3069. [Google Scholar] [CrossRef]
- Migdisov, A.A.; Williams-Jones, A.E. A spectrophotometric study of Nd III, Sm III and Er III complexation in sulfate-bearing solutions at elevated temperatures. Geochim. Cosmochim. Acta 2008, 7221, 5291–5303. [Google Scholar] [CrossRef]
- Migdisov, A.; Guo, X.; Nisbet, H.; Xu, H.; Williams-Jones, A.E. Fractionation of REE, U, and Th in natural ore-forming hydrothermal systems: Thermodynamic modeling. J. Chem. Thermodyn. 2019, 128, 305–319. [Google Scholar] [CrossRef]
- Wan, Y.; Chou, I.M.; Wang, X.; Wang, R.; Li, X. Hydrothermal sulfate surges promote rare earth element transport and mineralization. Geology 2023, 51, 449–453. [Google Scholar] [CrossRef]
- Wood, S.A.; Palmer, D.A.; Wesolowski, D.J. The aqueous geochemistry of the rare earth elements and yttrium. Part XI. The solubility of Nd OH3 and hydrolysis of Nd3+ from 30 to 290 °C at saturated water vapor pressure with in-situ pHm measurement. In Water–Rock Interactions, Ore Deposits, and Environmental Geochemistry: A Tribute to David Crerar; Special Publication; The Geochemical Society: St. Louis, MO, USA, 2002; Volume 7, pp. 229–256. [Google Scholar]
- Mayanovic, R.A.; Jayanetti, S.; Anderson, A.J.; Bassett, W.A.; Chou, I.M. The structure of Yb3+ aquo ion and chloro complexes in aqueous solutions at up to 500 °C and 270 MPa. J. Phys. Chem. A 2002, 106, 6591–6599. [Google Scholar] [CrossRef]
- Mayanovic, R.A.; Anderson, A.J.; Bassett, W.A.; Chou, I.M. On the formation and structure of rare-earth element complexes in aqueous solutions under hydrothermal conditions with new data on gadolinium aqua and chloro complexes. Chem. Geol. 2007, 239, 266–283. [Google Scholar] [CrossRef]
- Mayanovic, R.A.; Anderson, A.J.; Bassett, W.A.; Chou, I.M. Steric hindrance and the enhanced stability of light rare-earth elements in hydrothermal fluids. Am. Mineral. 2009, 94, 1487–1490. [Google Scholar] [CrossRef]
- Mayanovic, R.A.; Anderson, A.J.; Bassett, W.A.; Chou, I.M. The structure and stability of aqueous rare-earth elements in hydrothermal fluids: New results on neodymium (III) aqua and chloroaqua complexes in aqueous solutions to 500 °C and 520 MPa. Chem. Geol. 2009, 259, 30–38. [Google Scholar] [CrossRef]
- Wan, Y.; Wang, X.; Chou, I.M.; Li, X. Role of sulfate in the transport and enrichment of REE in hydrothermal systems. Earth Planet. Sci. Lett. 2021, 569, 117068. [Google Scholar] [CrossRef]
- Louvel, M.; Etschmann, B.; Guan, Q.; Testemale, D.; Brugger, J. Carbonate complexation enhances hydrothermal transport of rare earth elements in alkaline fluids. Nat. Commun. 2022, 13, 1456. [Google Scholar] [CrossRef]
- Perry, E.P.; Gysi, A.P. Rare earth elements in mineral deposits: Speciation in hydrothermal fluids and partitioning in calcite. Geofluids 2018, 2018, 5382480. [Google Scholar] [CrossRef]
- Huang, S.H.; Zhang, Z.M.; He, Y. Experimental geochemistry of rare earth elements. Geol. Geochem. 1986, 11, 29–33. [Google Scholar]
- Deng, X.H.; Chen, Y.J.; Yao, J.M.; Bagas, L.; Tang, H.S. Fluorite REE-Y (REY) geochemistry of the ca. 850 Ma Tumen molybdenite–fluorite deposit, eastern Qinling, China: Constraints on ore genesis. Ore Geol. Rev. 2014, 63, 532–543. [Google Scholar] [CrossRef]
- Bau, M.; Dulski, P. Comparative study of yttrium and rare-earth element behaviours in fluorine-rich hydrothermal fluids. Contrib. Mineral. Petrol. 1995, 119, 213–223. [Google Scholar] [CrossRef]
- Pan, Y.; Fleet, M.E. Rare earth element mobility during prograde granulite facies metamorphism: Significance of fluorine. Contrib. Mineral. Petrol. 1996, 1233, 251–262. [Google Scholar] [CrossRef]
- Petrella, L.; Williams-Jones, A.E.; Goutier, J.; Walsh, J. The nature and origin of the rare earth element mineralization in the Misery syenitic intrusion, northern Quebec, Canada. Econ. Geol. 2014, 109, 1643–1666. [Google Scholar] [CrossRef]
- Estrade, G.; Salvi, S.; Béziat, D.; Williams-Jones, A.E. The origin of skarn-hosted rare-metal mineralization in the Ambohimirahavavy alkaline complex, Madagascar. Econ. Geol. 2015, 110, 1485–1513. [Google Scholar] [CrossRef]
- Salvi, S.; Williams-Jones, A.E. The role of hydrothermal processes in concentrating high-field strength elements in the Strange Lake peralkaline complex, northeastern Canada. Geochim. Cosmochim. Acta 1996, 60, 1917–1932. [Google Scholar] [CrossRef]
- Xu, C.; Kynicky, J.; Chakhmouradian, A.R.; Campbell, I.H.; Allen, C.M. Trace-element modeling of the magmatic evolution of rare-earth-rich carbonatite from the Miaoya deposit, Central China. Lithos 2010, 118, 145–155. [Google Scholar] [CrossRef]
- Manning, D.A.C. The effect of fluorine on liquidus phase relationships in the system Qz-Ab-Or with excess water at 1 kb. Contrib. Mineral. Petrol. 1981, 76, 206–215. [Google Scholar] [CrossRef]
- Dingwell, D.B.; Scarfe, C.M.; Cronin, D.J. The effect of fluorine on viscosities in the system Na2O–Al2O3–SiO2: Implications for phonolites, trachytes and rhyolites. Am. Mineral. 1985, 70, 80–87. [Google Scholar]
- Giordano, D.; Romano, C.; Dingwell, D.B.; Poe, B.; Behrens, H. The combined effects of water and fluorine on the viscosity of silicic magmas. Geochim. Cosmochim. Acta 2004, 68, 5159–5168. [Google Scholar] [CrossRef]
- Chen, C.; Ding, X.; Li, R.; Zhang, W.Q.; Ouyang, D.J.; Yang, L.; Sun, W.D. Crystal fractionation of granitic magma during its non-transport processes: A physics-based perspective. Sci. China Earth Sci. 2018, 61, 190–204. [Google Scholar] [CrossRef]
- Rapp, J.F.; Klemme, S.; Butler, I.B.; Harley, S.L. Extremely high solubility of rutile in chloride and fluoride-bearing metamorphic fluids: An experimental investigation. Geology 2010, 38, 323–326. [Google Scholar] [CrossRef]
- He, J.J.; Ding, X.; Wang, Y.R.; Sun, W.D.; Fu, B. The effect of temperature and concentration on hydrolysis of Fluorine-rich titanium complexes in hydrothermal fluids: Constraints on titanium mobility in deep geological processes. Acta Petrol. Sin. 2015, 31, 802–810. [Google Scholar]
- Shao, T.B.; Xia, Y.; Ding, X.; Cai, Y.F.; Song, M.S. Zircon saturation model in silicate melts: A review and update. Acta Geochim. 2020, 39, 387–403. [Google Scholar] [CrossRef]
- Di, J.; Yan, H.B.; Liu, Z.Y.; Ding, X. Synthesis and characterization of anatase TiO2 microspheres self-assembled by ultrathin nanosheets. Materials 2021, 14, 2870. [Google Scholar] [CrossRef]
- Yan, H.B.; He, J.J.; Liu, X.W.; Wang, H.B.; Liu, J.F.; Ding, X. Thermodynamic investigation of the hydrolysis behavior of fluorozirconate complexes at 423.15–773.15 K and 100 MPa. J. Solut. Chem. 2020, 49, 836–848. [Google Scholar] [CrossRef]
- Yan, H.B.; Di, J.; Li, J.H.; Liu, Z.Y.; Liu, J.F.; Ding, X. Synthesis of Zirconia Micro-Nanoflakes with Highly Exposed (001) Facets and Their Crystal Growth. Crystals 2021, 11, 871. [Google Scholar] [CrossRef]
- Keppler, H.; Wyllie, P.J. Partitioning of Cu, Sn, Mo, W, U, and Th between melt and aqueous fluid in the systems haplogranite-H2O− HCl and haplogranite-H2O− HF. Contrib. Mineral. Petrol. 1991, 109, 139–150. [Google Scholar] [CrossRef]
- Duan, D.; Jiang, S.Y. Significant mobilization of REE from calc-alkaline melt into fluid during fluid exsolution: Insights from magmatic amphibole composition from Tieshan skarn Fe-Cu deposit (Hubei Province, China). Ore Geol. Rev. 2023, 163, 105759. [Google Scholar] [CrossRef]
- Schijf, J.; Byrne, R.H. Determination of stability constants for the mono-and difluoro-complexes of Y and the REE, using a cation-exchange resin and ICP-MS. Polyhedron 1999, 18, 2839–2844. [Google Scholar] [CrossRef]
- Luo, Y.R.; Byrne, R.H. The ionic strength dependence of rare earth and yttrium fluoride complexation at 25 °C. J. Solut. Chem. 2000, 29, 1089–1099. [Google Scholar] [CrossRef]
- Luo, Y.R.; Byrne, R.H. The Influence of Ionic Strength on Yttrium and Rare Earth Element Complexation by Fluoride Ions in NaClO4, NaNO3 and NaCl Solutions at 25 °C. J. Solut. Chem. 2007, 36, 673–689. [Google Scholar] [CrossRef]
- Luo, Y.; Millero, F.J. Effects of temperature and ionic strength on the stabilities of the first and second fluoride complexes of yttrium and the rare earth elements. Geochim. Cosmochim. Acta 2004, 68, 4301–4308. [Google Scholar] [CrossRef]
- Hefter, G.T. Acidity constant of hydrofluoric acid. J. Solut. Chem. 1984, 13, 457–470. [Google Scholar] [CrossRef]
- Ryzhenko, B.N.; Kovalenko, N.I.; Korsakova, N.V.; Mironenko, M.V. Ionization-Constant of Hydrofluoric-Acid at 500-Degrees-C, 1-KBAR. Dokl. Akad. Nauk SSSR 1991, 317, 203–206. [Google Scholar]
- Liu, Y.; Chen, C.; Shu, X.C. The formation model of the carbonatite-syenite complex REE deposits in the east of Tibetan Plateau: A case study of Dalucao REE deposit. Acta Petrol. Sin. 2017, 337, 1978–2000. [Google Scholar]
- Loges, A.; Migdisov, A.A.; Wagner, T.; Williams-Jones, A.E.; Markl, G. An experimental study of the aqueous solubility and speciation of Y (III) fluoride at temperatures up to 250 °C. Geochim. Cosmochim. Acta 2013, 123, 403–415. [Google Scholar] [CrossRef]
- Benaouda, R.; Devey, C.W.; Badra, L.; Ennaciri, A. Light rare-earth element mineralization in hydrothermal veins related to the Jbel Boho alkaline igneous complex, AntiAtlas/Morocco: The role of fluid-carbonate interactions in the deposition of synchysite-(Ce). J. Geochem. Explor. 2017, 177, 28–44. [Google Scholar] [CrossRef]
- Pokrovski, G.S.; Borisova, A.Y.; Bychkov, A.Y. Speciation and transport of metals and metalloids in geological vapors. Rev. Mineral. Geochem. 2013, 76, 165–218. [Google Scholar] [CrossRef]
- Payne, M.R.; Gysi, A.P.; Hurtig, N.C. Hydrothermal fluorite solubility experiments and mobility of REE in acidic to alkaline solutions from 100 to 250 °C. Chem. Geol. 2023, 617, 121256. [Google Scholar] [CrossRef]
- Louvel, M.; Bordage, A.; Testemale, D.; Zhou, L.; Mavrogenes, J. Hydrothermal controls on the genesis of REE deposits: Insights from an in situ XAS study of Yb solubility and speciation in high temperature fluids (T < 400 °C). Chem. Geol. 2015, 417, 228–237. [Google Scholar] [CrossRef]
- Banks, D.A.; Yardley, B.W.D.; Campbell, A.R.; Jarvis, K.E. REE composition of an aqueous magmatic fluid: A fluid inclusion study from the Capitan Pluton, New Mexico, USA. Chem. Geol. 1994, 113, 259–272. [Google Scholar] [CrossRef]
- Xie, Y.; Hou, Z.; Yin, S.; Dominy, S.C.; Xu, J.; Tian, S.; Xu, W. Continuous carbonatitic melt–fluid evolution of a REE mineralization system: Evidence from inclusions in the Maoniuping REE Deposit, Western Sichuan, China. Ore Geol. Rev. 2009, 36, 90–105. [Google Scholar] [CrossRef]
- Lai, X.; Yang, X. Geochemical characteristics of the Bayan Obo giant REE–Nb–Fe deposit: Constraints on its genesis. J. S. Am. Earth Sci. 2013, 41, 99–112. [Google Scholar] [CrossRef]
- Verplanck, P.L.; Hitzman, M. Rare Earth and Critical Elements in Ore Deposits; Reviews in Economic Geology; Society of Economic Geologists: Littleton, CO, USA, 2016; Volume 18. [Google Scholar] [CrossRef]
- Giovannini, A.L.; Mitchell, R.H.; Neto, A.C.B.; Moura, C.A.; Pereira, V.P.; Porto, C.G. Mineralogy and geochemistry of the Morro dos Seis Lagos siderite carbonatite, Amazonas, Brazil. Lithos 2020, 360, 105433. [Google Scholar] [CrossRef]
- Chudaev, O.V.; Chelnokov, G.A.; Bragin, I.V.; Kharitonova, N.A.; Rychagov, S.N.; Nuzhdaev, A.A.; Nuzhdaev, I.A. Rare earth and major elements geochemistry of geothermal waters from Mutnovsky volcano, Kamchatka. Procedia Earth Planet. Sci. 2017, 17, 92–95. [Google Scholar] [CrossRef]
- Migdisov, A.A.; Williams-Jones, A.E. A spectrophotometric study of erbium (III) speciation in chloride solutions at elevated temperatures. Chem. Geol. 2006, 234, 17–27. [Google Scholar] [CrossRef]
- Cui, H.; Zhong, R.; Xie, Y.; Yuan, X.; Liu, W.; Brugger, J.; Yu, C. Forming sulfate-and REE-rich fluids in the presence of quartz. Geology 2020, 48, 145–148. [Google Scholar] [CrossRef]
- Schijf, J.; Byrne, R.H. Determination of SO4β1 for yttrium and the rare earth elements at I = 0.66 m and t = 25 °C—Implications for YREE solution speciation in sulfate-rich waters. Geochim. Cosmochim. Acta 2004, 68, 2825–2837. [Google Scholar] [CrossRef]
- Rudolph, W.W.; Irmer, G.A. Raman spectroscopic investigation of speciation in La2(SO4)3(aq). RSC Adv. 2015, 5, 84999–85008. [Google Scholar] [CrossRef][Green Version]
- Elliott, H.A.L.; Wall, F.; Chakhmouradian, A.R.; Siegfried, P.R.; Dahlgren, S.; Weatherley, S.; Deady, E. Fenites associated with carbonatite complexes: A review. Ore Geol. Rev. 2018, 93, 38–59. [Google Scholar] [CrossRef]
- Walter, B.F.; Giebel, R.J.; Steele-MacInnis, M.; Marks, M.A.; Kolb, J.; Markl, G. Fluids associated with carbonatitic magmatism: A critical review and implications for carbonatite magma ascent. Earth-Sci. Rev. 2021, 215, 103509. [Google Scholar] [CrossRef]
- Cantrell, K.J.; Byrne, R.H. Rare earth element complexation by carbonate and oxalate ions. Geochim. Cosmochim. Acta 1987, 51, 597–605. [Google Scholar] [CrossRef]
- Johannesson, K.H.; Stetzenbach, K.J.; Hodge, V.F. Speciation of the rare earth element neodymium in groundwaters of the Nevada Test Site and Yucca Mountain and implications for actinide solubility. Appl. Geochem. 1995, 10, 565–572. [Google Scholar] [CrossRef]
- Inguaggiato, C.; Censi, P.; Zuddas, P.; Londoño, J.M.; Chacón, Z.; Alzate, D.; D’alessandro, W. Geochemistry of REE, Zr and Hf in a wide range of pH and water composition: The Nevado del Ruiz volcano-hydrothermal system (Colombia). Chem. Geol. 2015, 417, 125–133. [Google Scholar] [CrossRef]
- Patel, A.K.; Upadhyay, D.; Mishra, B.; Pruseth, K.L. Reconstruction of hydrothermal fluid composition of the Kamthai carbonatite complex, India using lattice strain model: Implications for LREE/HREE fractionation. Lithos 2023, 444, 107097. [Google Scholar] [CrossRef]
- Nisbet, H.; Migdisov, A.A.; Goncharov, V.; van Hinsberg, V.; Williams-Jones, A.E.; Xu, H.; Guo, X. The solubility and speciation of Nd in carbonate-bearing hydrothermal fluids up to 250 °C. Chem. Geol. 2022, 611, 121122. [Google Scholar] [CrossRef]
- Guzmics, T.; Mitchell, R.H.; Szabó, C.; Berkesi, M.; Milke, R.; Abart, R. Carbonatite melt inclusions in coexisting magnetite, apatite and monticellite in Kerimasi calciocarbonatite, Tanzania: Melt evolution and petrogenesis. Contrib. Mineral. Petrol. 2011, 161, 177–196. [Google Scholar] [CrossRef]
- Weidendorfer, D.; Schmidt, M.W.; Mattsson, H.B. A common origin of carbonatite magmas. Geology 2017, 45, 507–510. [Google Scholar] [CrossRef]
- Chayka, I.F.; Kamenetsky, V.S.; Vladykin, N.V.; Kontonikas-Charos, A.; Prokopyev, I.R.; Stepanov, S.Y.; Krasheninnikov, S.P. Origin of alkali-rich volcanic and alkali-poor intrusive carbonatites from a common parental magma. Sci. Rep. 2021, 11, 17627. [Google Scholar] [CrossRef] [PubMed]
- Anenburg, M.; Mavrogenes, J.A. Carbonatitic versus hydrothermal origin for fluorapatite REE-Th deposits: Experimental study of REE transport and crustal “antiskarn” metasomatism. Am. J. Sci. 2018, 318, 335–366. [Google Scholar] [CrossRef]
- Gysi, A.P.; Williams-Jones, A.E.; Harlov, D. The solubility of xenotime-(Y) and other HREE phosphates (DyPO4, ErPO4 and YbPO4) in aqueous solutions from 100 to 250 °C and psat. Chem. Geol. 2015, 401, 83–95. [Google Scholar] [CrossRef]
- Pourtier, E.; Devidal, J.L.; Gibert, F. Solubility measurements of synthetic neodymium monazite as a function of temperature at 2 kbars, and aqueous neodymium speciation in equilibrium with monazite. Geochim. Cosmochim. Acta 2010, 74, 1872–1891. [Google Scholar] [CrossRef]
- Song, W.; Xu, C.; Veksler, I.V.; Kynicky, J. Experimental study of REE, Ba, Sr, Mo and W partitioning between carbonatitic melt and aqueous fluid with implications for rare metal mineralization. Contrib. Mineral. Petrol. 2016, 171, 1–12. [Google Scholar] [CrossRef]
- Lecumberri-Sanchez, P.; Bouabdellah, M.; Zemri, O. Transport of rare earth elements by hydrocarbon-bearing brines: Implications for ore deposition and the use of REEs as fluid source tracers. Chem. Geol. 2018, 479, 204–215. [Google Scholar] [CrossRef]
- Twyman, J.D.; Gittins, J. Alkalic Carbonatite Magmas: Parental or Derivative? Special Publications; Geological Society: London, UK, 1987; Volume 30, pp. 85–94. [Google Scholar] [CrossRef]
- Chakhmouradian, A.R.; Zaitsev, A.N. Rare earth mineralization in igneous rocks: Sources and processes. Elements 2012, 8, 347–353. [Google Scholar] [CrossRef]
- Watanabe, Y.; Kon, Y.; Echigo, T.; Kamei, A. Differential fractionation of rare earth elements in oxidized and reduced granitic rocks: Implication for heavy rare earth enriched ion adsorption mineralization. Resour. Geol. 2017, 67, 35–52. [Google Scholar] [CrossRef]
- Bernard, C.; Estrade, G.; Salvi, S.; Béziat, D.; Smith, M. Alkali pyroxenes and amphiboles: A window on rare earth elements and other high field strength elements behavior through the magmatic-hydrothermal transition of peralkaline granitic systems. Contrib. Mineral. Petrol. 2020, 175, 1–27. [Google Scholar] [CrossRef]
- Verplanck, P.L.; Mariano, A.N.; Mariano, A. Rare earth element ore geology of carbonatites. In Rare Earth and Critical Elements in Ore Deposits; Society of Economic Geologists: Littleton, CO, USA, 2016. [Google Scholar] [CrossRef]
- Brugger, J.; Liu, W.; Etschmann, B.; Mei, Y.; Sherman, D.M.; Testemale, D. A review of the coordination chemistry of hydrothermal systems, or do coordination changes make ore deposits? Chem. Geol. 2016, 447, 219–253. [Google Scholar] [CrossRef]
- Gysi, A.P.; Harlov, D.; Miron, G.D. The solubility of monazite (CePO4), SmPO4, and GdPO4 in aqueous solutions from 100 to 250 °C. Geochim. Cosmochim. Acta 2018, 242, 143–164. [Google Scholar] [CrossRef]
- Ellis, A.J. The effect of temperature on the ionization of hydrofluoric acid. J. Chem. Soc. 1963, 823, 4300–4304. [Google Scholar] [CrossRef]
- Mei, Y.; Sherman, D.M.; Liu, W.; Etschmann, B.; Testemale, D.; Brugger, J. Zinc complexation in chloride-rich hydrothermal fluids (25–600 °C): A thermodynamic model derived from ab initio molecular dynamics. Geochim. Cosmochim. Acta 2015, 150, 265–284. [Google Scholar] [CrossRef]
- Yan, H.B.; Ding, X.; Ling, M.X.; Li, C.Y.; Harlov, D.; Sun, W.D. Three late-Mesozoic fluorite deposit belts in southeast China and links to subduction of the (paleo)-Pacific plate. Ore Geol. Rev. 2021, 129, 103865. [Google Scholar] [CrossRef]







| Element | Atomic Number | IPUAC Classification | Average Crust (ppm) 2 |
|---|---|---|---|
| La | 57 | Light | 31 |
| Ce | 58 | Light | 63 |
| Pr | 59 | Light | 7.1 |
| Nd | 60 | Light | 27 |
| Pm | 61 | Light | - |
| Sm | 62 | Light | 4.7 |
| Eu | 63 | Light | 1 |
| Gd | 64 | Light | 4 |
| Tb | 65 | Heavy | 0.7 |
| Dy | 66 | Heavy | 3.9 |
| Ho | 67 | Heavy | 0.83 |
| Er | 68 | Heavy | 2.3 |
| Tm | 69 | Heavy | 0.3 |
| Yb | 70 | Heavy | 2 |
| Lu | 71 | Heavy | 0.31 |
| Y | 39 | Heavy | 39 |
| Sc | 21 | None | 14 |
| Mineral | Chemical Formula |
|---|---|
| Bastnäsite | (Ce, La, Nd, Y…) CO3F |
| Parisite | Ce2Ca (CO3)3F2 |
| Monazite | (Ce, La) PO4 |
| Xenotime | YPO4 |
| Fluocerite | (Ce, La) F3 |
| Eudialyte | Na4(Ca,Ce)2(Fe2+,Mn2+,Y)ZrSi8O22(OH,Cl)2 |
| Pyrochlore | (Ca, Na, REE)2Nb2O6(OH, F) 1 |
| Vitusite | Na3(Ce, La, Nd) (PO4)2 1 |
| Fergusonite | Y (Nb, Ta) O3 |
| Perovskite | (Ca, REE) TiO3 1 |
| Ilmenite | Y2(SiO4) (CO3) |
| Gadolinite | (Y, Ce)2Fe2+Be2Si2O10 |
| Ancylite | Sr (Ce, La) (CO3)2OH·H2O 1 |
| Apatite | (Ca, REE, Sr, Na, K)3Ca2(PO4)3(F, OH) |
| Doverite | YCaF (CO3)2 1 |
| Jervisite | NaScSi2O6 |
| Kolbeckite | ScPO4 · 2H2O |
| Pretulite | ScPO4 |
| Thortveitite | Sc2Si2O7 |
Disclaimer/Publisher’s Note: The statements, opinions and data contained in all publications are solely those of the individual author(s) and contributor(s) and not of MDPI and/or the editor(s). MDPI and/or the editor(s) disclaim responsibility for any injury to people or property resulting from any ideas, methods, instructions or products referred to in the content. |
© 2024 by the authors. Licensee MDPI, Basel, Switzerland. This article is an open access article distributed under the terms and conditions of the Creative Commons Attribution (CC BY) license (https://creativecommons.org/licenses/by/4.0/).
Share and Cite
Di, J.; Ding, X. Complexation of REE in Hydrothermal Fluids and Its Significance on REE Mineralization. Minerals 2024, 14, 531. https://doi.org/10.3390/min14060531
Di J, Ding X. Complexation of REE in Hydrothermal Fluids and Its Significance on REE Mineralization. Minerals. 2024; 14(6):531. https://doi.org/10.3390/min14060531
Chicago/Turabian StyleDi, Jian, and Xing Ding. 2024. "Complexation of REE in Hydrothermal Fluids and Its Significance on REE Mineralization" Minerals 14, no. 6: 531. https://doi.org/10.3390/min14060531
APA StyleDi, J., & Ding, X. (2024). Complexation of REE in Hydrothermal Fluids and Its Significance on REE Mineralization. Minerals, 14(6), 531. https://doi.org/10.3390/min14060531

