Interpretable Machine Learning for Geochemical Anomaly Delineation in the Yuanbo Nang District, Gansu Province, China
Abstract
1. Introduction
2. Material and Methods
2.1. Study Area
2.2. Random Forest
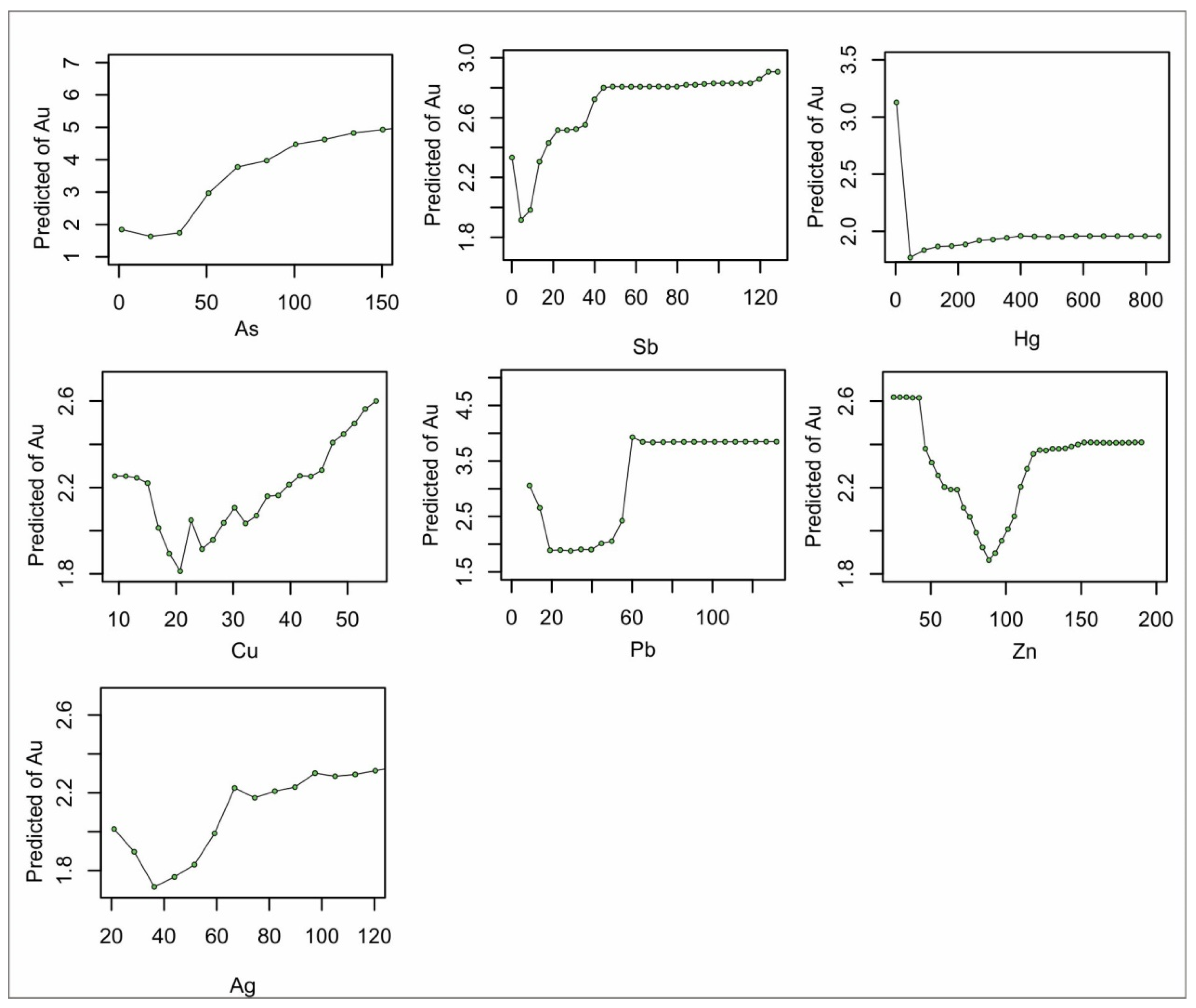
2.3. Partial Dependence Plot (PDP)
2.4. Accumulated Local Effect (ALE) Plot
2.5. SHAP Analysis
3. Results and Discussion
3.1. Regression by RF Modeling
3.2. Classification by RF Modeling
4. Conclusions
Author Contributions
Funding
Data Availability Statement
Acknowledgments
Conflicts of Interest
References
- Goldberg, I.S.; Abramson, G.Y.; Los, V.L. Exploration Criteria for Appraising Geochemical Anomalies through Mapping Geochemical Systems. Geochem. Case Hist. Geochmical Explor. Methods 2007, 963–968. [Google Scholar]
- Rose, A.W.; Hawkes, H.E.; Webb, J.S. Geochemistry in Mineral Exploration, 2nd ed.; Academic Press: London, UK, 1979; p. 657. [Google Scholar]
- Grigoryan, S. Primary geochemical halos in prospecting and exploration of hydrothermal deposits. Int. Geol. Rev. 1974, 16, 12–25. [Google Scholar] [CrossRef]
- Reimann, C.; Filzmoser, P.; Garrett, R.G. Background and threshold: Critical comparison of methods of determination. Sci. Total Environ. 2005, 346, 1–16. [Google Scholar] [CrossRef]
- Grunsky, E.C.; Grunsky, E.C.; Caritat, P.D.; Caritat, P.D. State-of-the-art analysis of geochemical data for mineral exploration. Geochem. Explor. Environ. Anal. 2019, 20, 217–232. [Google Scholar] [CrossRef]
- Cheng, Q.; Agterberg, F.P.; Bonham-Carter, G.F. A spatial analysis method for geochemical anomaly separation. J. Geochem. Explor. 1996, 56, 183–195. [Google Scholar] [CrossRef]
- Grunsky, E.C.; Agterberg, F.P. Spatial and multivariate analysis of geochemical data from metavolcanic rocks in the Ben Nevis area, Ontario. Math. Geol. 1988, 20, 825–861. [Google Scholar] [CrossRef]
- Jimenez-Espinosa, R.; Sousa, A.J.; Chica-Olmo, M. Identification of geochemical anomalies using principal component analysis and factorial kriging analysis. J. Geochem. Explor. 1993, 46, 245–256. [Google Scholar] [CrossRef]
- Zuo, R.; Carranza, E.J.M.; Wang, J. Spatial analysis and visualization of exploration geochemical data. Earth-Sci. Rev. 2016, 158, 9–18. [Google Scholar] [CrossRef]
- Zuo, R.; Wang, J. Fractal/multifractal modeling of geochemical data: A review. J. Geochem. Explor. 2016, 164, 33–41. [Google Scholar] [CrossRef]
- Cheng, Q.; Agterberg, F.; Ballantyne, S. The separation of geochemical anomalies from background by fractal methods. J. Geochem. Explor. 1994, 51, 109–130. [Google Scholar] [CrossRef]
- Ford, A.; Blenkinsop, T.G. Combining fractal analysis of mineral deposit clustering with weights of evidence to evaluate patterns of mineralization: Application to copper deposits of the Mount Isa Inlier, NW Queensland, Australia. Ore Geol. Rev. 2008, 33, 435–450. [Google Scholar] [CrossRef]
- Wang, H.; Zuo, R. A comparative study of trend surface analysis and spectrum–area multifractal model to identify geochemical anomalies. J. Geochem. Explor. 2015, 155, 84–90. [Google Scholar] [CrossRef]
- Tian, M.; Wang, X.; Nie, L.; Zhang, C. Recognition of geochemical anomalies based on geographically weighted regression: A case study across the boundary areas of China and Mongolia. J. Geochem. Explor. 2018, 190, 381–389. [Google Scholar] [CrossRef]
- Yin, B.; Zuo, R.; Xiong, Y.; Li, Y.-S.; Yang, W. Knowledge discovery of geochemical patterns from a data-driven perspective. J. Geochem. Explor. 2021, 231, 106872. [Google Scholar] [CrossRef]
- Zhang, S.; Xiao, K.; Carranza, E.J.M.; Yang, F.; Zhao, Z. Integration of auto-encoder network with density-based spatial clustering for geochemical anomaly detection for mineral exploration. Comput. Geosci. 2019, 130, 43–56. [Google Scholar] [CrossRef]
- Gonbadi, A.M.; Tabatabaei, S.H.; Carranza, E.J.M. Supervised geochemical anomaly detection by pattern recognition. J. Geochem. Explor. 2015, 157, 81–91. [Google Scholar] [CrossRef]
- Chen, Y.; Wu, W. Application of one-class support vector machine to quickly identify multivariate anomalies from geochemical exploration data. Geochem. Explor. Environ. Anal. 2017, 17, 231–238. [Google Scholar] [CrossRef]
- Saeed, W.; Omlin, C.W.P. Explainable AI (XAI): A Systematic Meta-Survey of Current Challenges and Future Opportunities. arXiv 2021, arXiv:abs/2111.06420. [Google Scholar] [CrossRef]
- Mao, J.; Qiu, Y.; Goldfarb, R.J.; Zhang, Z.; Garwin, S.L.; Fengshou, R. Geology, distribution, and classification of gold deposits in the western Qinling belt, central China. Miner. Depos. 2002, 37, 352–377. [Google Scholar] [CrossRef]
- Shi, Y.X.; Li, K.N.; Shi, H.L.; Jin, D.G.; Liang, Z.L. Report on the prospect survey of gold mines in Xiahe-Hezuo district; Third Institute Geological and Mineral Exploration of Gansu Provincial Bureau of Geology and Mineral Resources: Gansu, China, 2017; p. 155. (In Chinese) [Google Scholar]
- Wang, J.; Zuo, R.; Xiong, Y. Mapping mineral prospectivity via semi-supervised random forest. Nat. Resour. Res. 2019, 29, 189–202. [Google Scholar] [CrossRef]
- Breiman, L. Random forests. Mach. Learn. 2001, 45, 5–32. [Google Scholar] [CrossRef]
- Breiman, L.; Friedman, J.; Olshen, R.A.; Stone, C.J. Classification and Regression Trees; Chapman & Hall: New York, NY, USA, 1984. [Google Scholar]
- Rasaei, Z.; Bogaert, P. Spatial filtering and Bayesian data fusion for mapping soil properties: A case study combining legacy and remotely sensed data in Iran. Geoderma 2019, 344, 50–62. [Google Scholar] [CrossRef]
- Khanal, S.K.; Fulton, J.P.; Klopfenstein, A.; Douridas, N.; Shearer, S.A. Integration of high resolution remotely sensed data and machine learning techniques for spatial prediction of soil properties and corn yield. Comput. Electron. Agric. 2018, 153, 213–225. [Google Scholar] [CrossRef]
- Molnar, C. Interpretable Machine Learning: A Guide for Making Black Box Models Explainable; Lulu.com.: Morrisville, NC, USA, 2019; Available online: https://www.bookstack.cn/read/interpretable-ml-book/8935d4eb447a2642.md (accessed on 2 February 2024).
- Lundberg, S.M.; Lee, S.-I. A Unified Approach to Interpreting Model Predictions. arXiv 2017, arXiv:abs/1705.07874. [Google Scholar]
- Shapley, L. A value for n-person games. In The Shapley Value: Essays in Honor of Lloyd, S. Shapley; Roth, A., Ed.; Cambridge University Press: Cambridge, UK, 1988; pp. 31–40. [Google Scholar] [CrossRef]
- Ribeiro, M.T.; Singh, S.; Guestrin, C. Why Should I Trust You? Explaining the Predictions of Any Classifier. In Proceedings of the 22nd ACM SIGKDD International Conference on Knowledge Discovery and Data Mining, San Francisco, CA, USA, 13–17 August 2016; Association for Computing Machinery: New York, NY, USA, 2016; pp. 1135–1144. [Google Scholar]
- Ma, S.; Tourani, R. Predictive and Causal Implications of using Shapley Value for Model Interpretation. J. Mach. Learn. Res. 2020, arXiv:2008.05052. [Google Scholar]
- Carranza, E.J.M.; Laborte, A.G. Data-Driven Predictive Modeling of Mineral Prospectivity Using Random Forests: A Case Study in Catanduanes Island (Philippines). Nat. Resour. Res. 2015, 25, 35–50. [Google Scholar] [CrossRef]
- Zuo, R.; Wang, Z. Effects of Random Negative Training Samples on Mineral Prospectivity Mapping. Nat. Resour. Res. 2020, 29, 3443–3455. [Google Scholar] [CrossRef]
- Levinson, A.A. Introduction to Exploration Geochemistry; Applied Publishing Ltd.: Calgary, AB, Canada, 1974; p. 611. [Google Scholar]
- Zhang, S.; Xiao, K.; Carranza, E.J.M.; Yang, F. Maximum Entropy and Random Forest Modeling of Mineral Potential: Analysis of Gold Prospectivity in the Hezuo–Meiwu District, West Qinling Orogen, China. Nat. Resour. Res. 2018, 28, 645–664. [Google Scholar] [CrossRef]
- Yousefi, M.; Carranza, E.J.M. Prediction–area (P–A) plot and C–A fractal analysis to classify and evaluate evidential maps for mineral prospectivity modeling. Comput. Geosci. 2015, 79, 69–81. [Google Scholar] [CrossRef]














| Variables | As | Sb | Hg | Cu | Pb | Zn | Ag |
|---|---|---|---|---|---|---|---|
| %IncMSE | 5.13 | 3.61 | 0.94 | 1.54 | 0.37 | 1.91 | 0.02 |
| IncNodePurity | 2914 | 1590 | 1381 | 1269 | 1206 | 1124 | 1134 |
Disclaimer/Publisher’s Note: The statements, opinions and data contained in all publications are solely those of the individual author(s) and contributor(s) and not of MDPI and/or the editor(s). MDPI and/or the editor(s) disclaim responsibility for any injury to people or property resulting from any ideas, methods, instructions or products referred to in the content. |
© 2024 by the authors. Licensee MDPI, Basel, Switzerland. This article is an open access article distributed under the terms and conditions of the Creative Commons Attribution (CC BY) license (https://creativecommons.org/licenses/by/4.0/).
Share and Cite
Zhang, S.; Carranza, E.J.M.; Fu, C.; Zhang, W.; Qin, X. Interpretable Machine Learning for Geochemical Anomaly Delineation in the Yuanbo Nang District, Gansu Province, China. Minerals 2024, 14, 500. https://doi.org/10.3390/min14050500
Zhang S, Carranza EJM, Fu C, Zhang W, Qin X. Interpretable Machine Learning for Geochemical Anomaly Delineation in the Yuanbo Nang District, Gansu Province, China. Minerals. 2024; 14(5):500. https://doi.org/10.3390/min14050500
Chicago/Turabian StyleZhang, Shuai, Emmanuel John M. Carranza, Changliang Fu, Wenzhi Zhang, and Xiang Qin. 2024. "Interpretable Machine Learning for Geochemical Anomaly Delineation in the Yuanbo Nang District, Gansu Province, China" Minerals 14, no. 5: 500. https://doi.org/10.3390/min14050500
APA StyleZhang, S., Carranza, E. J. M., Fu, C., Zhang, W., & Qin, X. (2024). Interpretable Machine Learning for Geochemical Anomaly Delineation in the Yuanbo Nang District, Gansu Province, China. Minerals, 14(5), 500. https://doi.org/10.3390/min14050500

