Mechanical Characteristics and Macro–Microscopic Response Mechanisms of Cemented Paste Backfill under Different Curing Temperatures
Abstract
1. Introduction
2. Materials and Methods
2.1. Materials
2.2. Experimental Equipment and Test Method
3. Results and Discussion
3.1. Macroscopic Mechanical Characteristics Analysis
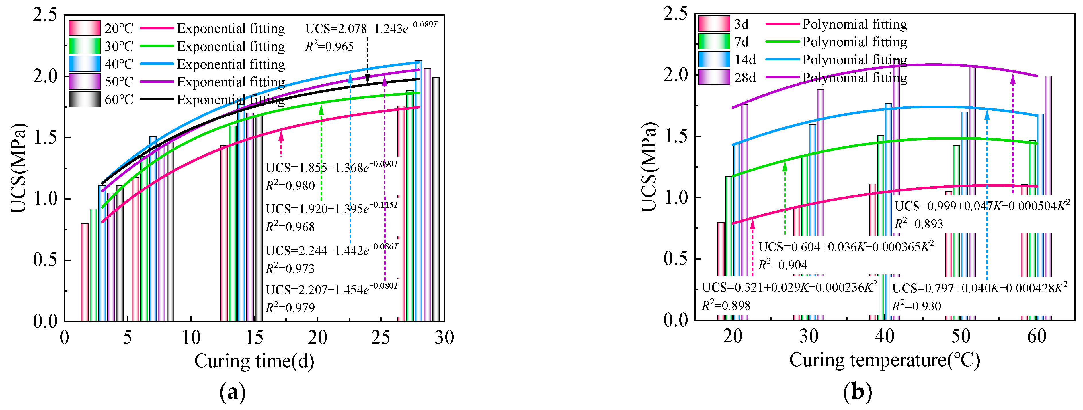
3.1.1. Mechanical Characteristic
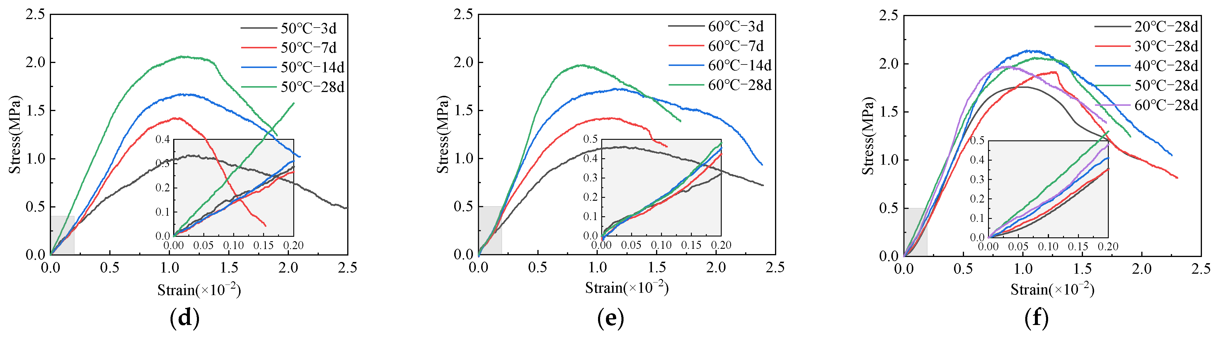
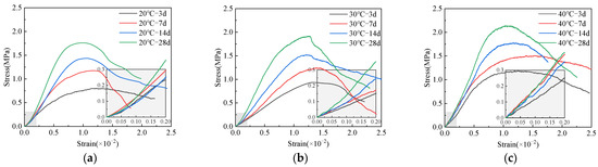
3.1.2. Stress–Strain Curves
3.2. Analysis of AE Results
3.2.1. AE Characteristic
3.2.2. AE Spatiotemporal Localization
3.2.3. AE Damage Evolution
3.3. Analysis of Hydration Products
3.3.1. Compressional Wave Velocity
3.3.2. Porosity Characteristics
3.3.3. Microscopic Structure
3.4. Macro–Microscopic Response Mechanism
4. Conclusions
- (1)
- The UCS and elastic modulus significantly correlate with the curing time, exhibiting an exponential growth pattern represented by the function y = aebx + c. As the curing time increases, the mechanical parameters show a positive and proportional increase. Similarly, the impact of curing temperature follows a polynomial function, described by the equation y = ax2 + bx + c. Notably, the mechanical properties peak at a curing temperature of 40 °C.
- (2)
- In the uniaxial compression test, increased curing time and curing temperature facilitated the transition of shear cracks to tensile cracks. The predominant crack mode observed was a combination of tension and shear. With the increase in curing temperature, the impact of the tensile cracks became more pronounced.
- (3)
- The fractal dimension of the pores exhibited a strong linear correlation with the UCS and elastic modulus. When the pore fractal dimension decreases, it indicates that the microscopic compactness is stronger and the porosity is reduced, so the mechanical parameters are improved. The fractal dimension of the pores provided a reliable representation of the macroscopic mechanical properties.
- (4)
- Dividing the analysis into two stages based on a curing temperature of 40 °C, the first stage shows that an increase in curing temperature effectively enhances the compactness, improving the mechanical parameters. In the second stage, the excessively high rate of hydration reaction results in a deterioration of the filling quality of hydration products between the tailings particles, causing a weakening effect on the mechanical parameters.
Author Contributions
Funding
Data Availability Statement
Acknowledgments
Conflicts of Interest
References
- Nguyen, N.M.; Pham, D.T. Tendencies of mining technology development in relation to deep mines. Min. Sci. Technol. 2019, 4, 16–22. [Google Scholar] [CrossRef]
- He, Z.Q.; Xie, H.P.; Gao, M.Z.; Chen, L.; Yu, B.; Hu, Y.Q.; Yang, J.P. Design and verification of a deep rock corer with retaining the in situ temperature. Adv. Civ. Eng. 2020, 2020, 8894286. [Google Scholar] [CrossRef]
- Li, P.; Cai, M.F. Challenges and new insights for exploitation of deep underground metal mineral resources. Trans. Nonferrous Met. Soc. China 2021, 31, 3478–3505. [Google Scholar] [CrossRef]
- Cai, M.F.; Li, P.; Tan, W.H.; Ren, F. Key engineering technologies to achieve green, intelligent, and sustainable development of deep metal mines in China. Engineering 2021, 7, 1513–1517. [Google Scholar] [CrossRef]
- Li, J.G.; Zhan, K. Intelligent mining technology for an underground metal mine based on unmanned equipment. Engineering 2018, 4, 381–391. [Google Scholar] [CrossRef]
- Yin, S.H.; Shao, Y.J.; Wu, A.X.; Wang, H.J.; Liu, X.H.; Wang, Y. A systematic review of paste technology in metal mines for cleaner production in China. J. Clean. Prod. 2020, 247, 119590. [Google Scholar] [CrossRef]
- Sasmito, A.P.; Kurnia, J.C.; Birgersson, E.; Mujumdar, A.S. Computational evaluation of thermal management strategies in an underground mine. Appl. Therm. Eng. 2015, 90, 1144–1150. [Google Scholar] [CrossRef]
- Qi, C.C.; Fourie, A. Cemented paste backfill for mineral tailings management: Review and future perspectives. Miner. Eng. 2019, 144, 106025. [Google Scholar] [CrossRef]
- Rankine, R.M.; Sivakugan, N. Geotechnical properties of cemented paste backfill from Cannington Mine, Australia. Geotech. Geol. Eng. 2007, 25, 383–393. [Google Scholar] [CrossRef]
- Zhang, C.; Fu, J.X.; Song, W.D.; Kang, M.C.; Li, T.; Wang, N.W. Analysis on mechanical behavior and failure characteristics of layered cemented paste backfill(LCPB) under triaxial compression. Constr. Build. Mater. 2022, 324, 126631. [Google Scholar] [CrossRef]
- Fall, M.; Pokharel, M. Coupled effects of sulphate and temperature on the strength development of cemented tailings backfills: Portland cement-paste backfill. Cem. Concr. Compos. 2010, 32, 819–828. [Google Scholar] [CrossRef]
- Fall, M.; Samb, S.S. Effect of high temperature on strength and microstructural properties of cemented paste backfill. Fire Saf. J. 2009, 44, 642–651. [Google Scholar] [CrossRef]
- Zhang, C.; Fu, J.X.; Song, W.D.; Du, C.F.; Fu, H.T. High-volume ultrafine fly ash-cement slurry mechanical properties and strength development model establishment. Constr. Build. Mater. 2021, 277, 122350. [Google Scholar] [CrossRef]
- Sari, M.; Yilmaz, E.; Kasap, T. Long-term ageing characteristics of cemented paste backfill: Usability of sand as a partial substitute of hazardous tailings. J. Clean. Prod. 2023, 401, 136723. [Google Scholar] [CrossRef]
- Zhao, Y.; Taheri, A.; Karakus, M.; Deng, A.; Guo, L. The Effect of Curing under Applied Stress on the Mechanical Performance of Cement Paste Backfill. Minerals 2021, 11, 1107. [Google Scholar] [CrossRef]
- Zhao, Y.; Taheri, A.; Soltani, A.; Karakus, M.; Deng, A. Strength Development and Strain Localization Behavior of Cemented Paste Backfills Using Portland Cement and Fly Ash. Materials 2019, 12, 3282. [Google Scholar] [CrossRef] [PubMed]
- Zhang, J.; Deng, H.; Taheri, A.; Deng, J.; Ke, B. Effects of Superplasticizer on the Hydration, Consistency, and Strength Development of Cemented Paste Backfill. Minerals 2018, 8, 381. [Google Scholar] [CrossRef]
- Cui, L.; Fall, M. Multiphysics modeling and simulation of strength development and distribution in cemented tailings backfill structures. Int. J. Concr. Struct. Mater. 2018, 12, 25. [Google Scholar] [CrossRef]
- Liu, Q.S.; Liu, D.F.; Tian, Y.C.; Liu, X.Y. Numerical simulation of stress-strain behaviour of cemented paste backfill in triaxial compression. Eng. Geol. 2017, 231, 165–175. [Google Scholar] [CrossRef]
- Fall, M.; Célestin, J.C.; Pokharel, M.; Touré, M. A contribution to understanding the effects of curing temperature on the mechanical properties of mine cemented tailings backfill. Eng. Geol. 2010, 114, 397–413. [Google Scholar] [CrossRef]
- Pokharel, M.; Fall, M. Coupled thermochemical effects on the strength development of slag-paste backfill materials. J. Mater. Civ. Eng. 2011, 23, 511–525. [Google Scholar] [CrossRef]
- Bull, A.J.; Fall, M. Curing temperature dependency of the release of arsenic from cemented paste backfill made with Portland cement. J. Environ. Manag. 2020, 269, 110772. [Google Scholar] [CrossRef]
- Han, B.; Zhang, S.Y.; Sun, W. Impact of temperature on the strength development of the tailing-waste rock backfill of a gold mine. Adv. Civ. Eng. 2019, 2019, 4379606. [Google Scholar] [CrossRef]
- Wu, A.X.; Wang, Y.; Zhou, B.; Shen, J. Effect of initial backfill temperature on the deformation behavior of early age cemented paste backfill that contains sodium silicate. Adv. Mater. Sci. Eng. 2016, 2016, 8481090. [Google Scholar] [CrossRef]
- Chen, S.M.; Wu, A.X.; Wang, Y.M.; Wang, W. Coupled effects of curing stress and curing temperature on mechanical and physical properties of cemented paste backfill. Constr. Build. Mater. 2021, 273, 121746. [Google Scholar] [CrossRef]
- Chen, S.M.; Yilmaz, E.; Xiang, Z.G.; Wang, Y.M. Curing conditions effect on pore structure, compressive strength and elastic modulus of cementitious tailings backfills. Powder Technol. 2023, 422, 118458. [Google Scholar] [CrossRef]
- Xu, W.B.; Li, Q.L.; Zhang, Y.L. Influence of temperature on compressive strength, microstructure properties and failure pattern of fiber-reinforced cemented tailings backfill. Constr. Build. Mater. 2019, 222, 776–785. [Google Scholar] [CrossRef]
- Libos, I.L.S.; Cui, L.; Liu, X.R. Effect of curing temperature on time-dependent shear behavior and properties of polypropylene fiber-reinforced cemented paste backfill. Constr. Build. Mater. 2021, 311, 125302. [Google Scholar] [CrossRef]
- Jia, Z.Q.; Xie, H.P.; Zhang, R.; Li, C.; Wang, M.; Gao, M.; Zhang, Z.; Zhang, Z. Acoustic emission characteristics and damage evolution of coal at different depths under triaxial compression. Rock Mech. Rock Eng. 2020, 53, 2063–2076. [Google Scholar] [CrossRef]
- Li, Q.G.; Qian, Y.N.; Hu, Q.T.; Jiang, Z.Z.; Xu, Y.C.; Shang, X.Y.; Ling, F.P.; Liu, R.H.; Li, W.X. Acoustic emission response mechanism of hydraulic fracturing in different coal and rock: A laboratory study. Rock Mech. Rock Eng. 2022, 55, 4657–4672. [Google Scholar] [CrossRef]
- Xue, G.L.; Yilmaz, E. Strength, acoustic, and fractal behavior of fiber reinforced cemented tailings backfill subjected to triaxial compression loads. Constr. Build. Mater. 2022, 338, 127667. [Google Scholar] [CrossRef]
- Xue, G.L.; Yilmaz, E.; Song, W.D.; Cao, S. Fiber length effect on strength properties of polypropylene fiber reinforced cemented tailings backfill specimens with different sizes. Constr. Build. Mater. 2020, 241, 118113. [Google Scholar] [CrossRef]
- Zhou, Y.; Yin, S.H.; Zhao, K.; Wang, L.; Liu, L. Understanding the static rate dependence of early fracture behavior of cemented paste backfill using digital image correlation and acoustic emission techniques. Eng. Fract. Mech. 2023, 283, 109209. [Google Scholar] [CrossRef]
- Wang, J.; Fu, J.X.; Song, W.D.; Zhang, Y.F. Mechanical properties, damage evolution, and constitutive model of rock-encased backfill under uniaxial compression. Constr. Build. Mater. 2021, 285, 122898. [Google Scholar] [CrossRef]
- Wang, J.; Fu, J.X.; Song, W.D.; Zhang, Y.F.; Wang, Y. Mechanical behavior, acoustic emission properties and damage evolution of cemented paste backfill considering structural feature. Constr. Build. Mater. 2020, 261, 119958. [Google Scholar] [CrossRef]
- JCMS-III B5706; Monitoring Method for Active Cracks in Concrete by Acoustic Emission. Federation of Construction Material Industries: Tokyo, Japan, 2003.
- Ohno, K.; Ohtsu, M. Crack classification in concrete based on acoustic emission. Constr. Build. Mater. 2010, 24, 2339–2346. [Google Scholar] [CrossRef]
- Aldahdooh, M.A.A.; Bunnori, N.M. Crack classification in reinforced concrete beams with varying thicknesses by mean of acoustic emission signal features. Constr. Build. Mater. 2013, 45, 282–288. [Google Scholar] [CrossRef]
- Soulioti, D.; Barkoula, N.M.; Paipetis, A.; Matikas, T.E.; Shiotani, T.; Aggelis, D.G. Acoustic emission behavior of steel fibre reinforced concrete under bending. Constr. Build. Mater. 2009, 23, 3532–3536. [Google Scholar] [CrossRef]
- Ohtsu, M. Simplified moment tensor analysis and unified decomposition of acoustic emission source: Application to in situ hydrofracturing test. J. Geophys. Res. Solid Earth 1991, 96, 6211–6221. [Google Scholar] [CrossRef]
- Liu, L.; Fang, Z.Y.; Qi, C.C.; Zhang, B.; Guo, L.; Song, K.I. Experimental investigation on the relationship between pore characteristics and unconfined compressive strength of cemented paste backfill. Constr. Build. Mater. 2018, 179, 254–264. [Google Scholar] [CrossRef]
- Saedi, A.; Jamshidi-Zanjani, A.; Mohseni, M.; Darban, A.K.; Nejati, H. Mechanical activation of lead-zinc mine tailings as a substitution for cement in concrete construction. Constr. Build. Mater. 2023, 364, 129973. [Google Scholar] [CrossRef]
- Zhao, K.; Yu, X.; Zhu, S.T.; Yan, Y.; Zhou, Y.; He, Z.; Song, Y.; Huang, M. Acoustic emission fractal characteristics and mechanical damage mechanism of cemented paste backfill prepared with tantalum niobium mine tailings. Constr. Build. Mater. 2020, 258, 119720. [Google Scholar] [CrossRef]
- Wang, J.; Zhang, C.; Fu, J.X.; Song, W.; Zhang, Y. Effect of water saturation on mechanical characteristics and damage behavior of cemented paste backfill. J. Mater. Res. Technol. 2021, 15, 6624–6639. [Google Scholar] [CrossRef]




























| Material | SiO2 | Al2O3 | K2O | CaO | Fe2O3 | Na2O | TiO2 | MgO | SO3 | Others |
|---|---|---|---|---|---|---|---|---|---|---|
| Tailings | 71.16 | 13.40 | 5.54 | 3.70 | 2.04 | 1.94 | 0.59 | 0.55 | 0.26 | 0.82 |
| Cement | 22.40 | 4.52 | 0.44 | 64.90 | 3.21 | 0.03 | 0.56 | 1.08 | 1.82 | 1.04 |
| Curing Time | 3 d | 7 d | 14 d | 28 d |
|---|---|---|---|---|
| 20 °C | 1.821 | 1.769 | 1.706 | 1.607 |
| 30 °C | 1.799 | 1.696 | 1.677 | 1.575 |
| 40 °C | 1.712 | 1.662 | 1.598 | 1.513 |
| 50 °C | 1.758 | 1.695 | 1.599 | 1.524 |
| 60 °C | 1.746 | 1.684 | 1.596 | 1.540 |
Disclaimer/Publisher’s Note: The statements, opinions and data contained in all publications are solely those of the individual author(s) and contributor(s) and not of MDPI and/or the editor(s). MDPI and/or the editor(s) disclaim responsibility for any injury to people or property resulting from any ideas, methods, instructions or products referred to in the content. |
© 2024 by the authors. Licensee MDPI, Basel, Switzerland. This article is an open access article distributed under the terms and conditions of the Creative Commons Attribution (CC BY) license (https://creativecommons.org/licenses/by/4.0/).
Share and Cite
Zhang, C.; Taheri, A.; Du, C.; Xia, W.; Tan, Y. Mechanical Characteristics and Macro–Microscopic Response Mechanisms of Cemented Paste Backfill under Different Curing Temperatures. Minerals 2024, 14, 433. https://doi.org/10.3390/min14040433
Zhang C, Taheri A, Du C, Xia W, Tan Y. Mechanical Characteristics and Macro–Microscopic Response Mechanisms of Cemented Paste Backfill under Different Curing Temperatures. Minerals. 2024; 14(4):433. https://doi.org/10.3390/min14040433
Chicago/Turabian StyleZhang, Chao, Abbas Taheri, Cuifeng Du, Wenhao Xia, and Yuye Tan. 2024. "Mechanical Characteristics and Macro–Microscopic Response Mechanisms of Cemented Paste Backfill under Different Curing Temperatures" Minerals 14, no. 4: 433. https://doi.org/10.3390/min14040433
APA StyleZhang, C., Taheri, A., Du, C., Xia, W., & Tan, Y. (2024). Mechanical Characteristics and Macro–Microscopic Response Mechanisms of Cemented Paste Backfill under Different Curing Temperatures. Minerals, 14(4), 433. https://doi.org/10.3390/min14040433

