Additivity Effect on Properties of Cemented Ultra-Fine Tailings Backfill Containing Sodium Silicate and Calcium Chloride
Abstract
1. Introduction
2. Materials and Methods
2.1. Materials
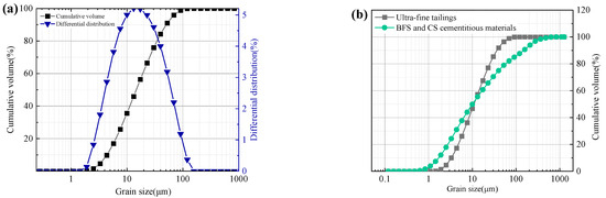
2.1.1. UT and Cementitious Materials
2.1.2. Admixtures SS and CC
2.1.3. Water
2.1.4. Preparation of UTCBS and UTCPB
2.2. Methods
2.2.1. Fluidity and Setting Time Tests
2.2.2. Rheological and Mechanical Properties Tests
2.2.3. Microstructural Characterization
3. Results and Discussion
3.1. Effect of Admixture Dosages, Mass Concentrations, and C/T Ratios on UTCBS’s Setting Time Tests
3.2. Effect of Admixture Dosages, Steady State Shear Rates, Mass Concentrations, and Holding Times on UTCBS’s Rheological Behavior
3.2.1. Mechanisms of Flocculation Structure Formation and Development in UTCBS
3.2.2. Effect of Admixture Dosages and Steady State Shear Rates on the Rheological Properties of UTCBS
3.2.3. Effect of Mass Concentrations and Holding Times on the Rheological Properties of UTCBS at Continuously Varying Shear Rates
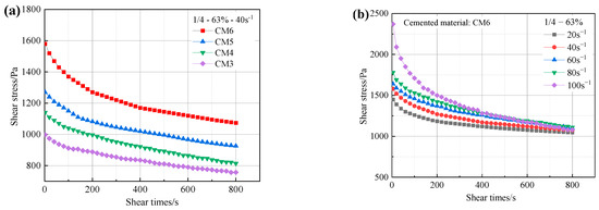
3.3. Effect of Types of Cementitious Material, Admixture Dosages, Mass Concentrations, and C/T Ratios on UTCBS’s Rheological Behavior
3.4. Hydration Mechanism of Cementitious Materials and Microstructural Analyses of UTCPB Specimens
3.4.1. XRD and Hydration Mechanism
3.4.2. SS and CC Effects on the Pore Structure of UTCPB
3.4.3. SS and CC Effects on UTCPB Pore Size Distribution
3.5. Cost Analysis of Cementitious Materials
4. Conclusions
- (1)
- A proper admixture dosage is beneficial to shorten the setting time of UTCBS, and the setting time of UTCBS in the blast furnace slag (BFS)-based cementitious system decreases as SS increases.
- (2)
- UTCBS in the rheological experiment primarily manifests as “shear thinning” characteristics. At different shear rates, the shear stress-rate curve of UTCBS can be divided into three stages: rapid growth, slow decline, and slow growth. As the hosting time increases, the second stage becomes more pronounced.
- (3)
- The BFS-based cementitious material added with SS and CC significantly improved the short-term UCS of the UTCPB. When compared to P. O42.5 cement, the UCS of UTCPB made from BFS-based cementitious materials with admixture increased by 124%, 142%, and 13% at curing ages of 3, 7, and 28 days, respectively. Moreover, compared to ordinary P. O42.5 cement, this is less expensive at 22.4%.
- (4)
- The BFS vitreous dissociates due to the strongly alkaline environment of the slurry produced by carbide slag (CS), producing C-S-H, C-A-H, Ca(OH)2, a small amount of AFt, and other hydration products. O, Al, Si, and Ca are the main elements of the amorphous gel found in hydration products. With the addition of SS and CC, some calcium silicate precipitate was produced and wrapped around the UT particles, which caused the UCS of the UTCPB to significantly increase. The porosity of UTCPB without and with admixture at the curing age of 7 days was 54.25% and 48.37%, respectively.
5. Limitations and Future Study
Author Contributions
Funding
Data Availability Statement
Acknowledgments
Conflicts of Interest
Appendix A
| Acronyms | Full Names | Acronyms | Full Names |
|---|---|---|---|
| BFS | Blast furnace slag | CBS | Cemented backfill slurry |
| CC | Calcium chloride | CS | Carbide slag |
| C/T ratio | Cement-tailings ratio | CPB | Cemented paste backfill |
| MIP | Mercury intrusion porosimetry | SS | Sodium silicate |
| UCS | Uniaxial compressive strength | UT | Ultra-fine tailings |
| UTCBS | Ultra-fine tailings cemented backfill slurry | UTCPB | Ultra-fine tailings cemented paste backfill |
| SEM | Scanning electron microscopy | XRD | X-ray energy dispersive spectrometry |
| EDS | Energy dispersive spectrometer | - | - |
References
- Sun, W.; Wu, A.; Hou, K.; Yang, Y.; Liu, L.; Wen, Y. Real-time observation of meso-fracture process in backfill body during mine subsidence using X-ray CT under uniaxial compressive conditions. Constr. Build. Mater. 2016, 113, 153–162. [Google Scholar] [CrossRef]
- Xue, H.L.; Gan, D.Q.; Zhang, Y.Z.; Liu, Z.Y. Rheological behavior of ultrafine-tailings cemented paste backfill in high-temperature mining conditions. Constr. Build. Mater. 2020, 253, 119212. [Google Scholar] [CrossRef]
- Xiao, C.C.; Wang, X.M.; Chen, Q.S.; Bin, F.; Wang, Y.H.; Wei, W. Strength investigation of the silt-based cemented paste backfill using lab experiments and deep neural network. Adv. Mater. Sci. Eng. 2020, 2020, 6695539. [Google Scholar] [CrossRef]
- Qi, C.C.; Chen, Q.S.; Fourie, A.; Zhang, Q.L. An intelligent modeling framework for mechanical properties of cemented paste backfill. Miner. Eng. 2018, 123, 16–27. [Google Scholar] [CrossRef]
- Hu, Y.F.; Li, K.Q.; Zhang, B.; Han, B. Investigation of the strength of concrete-like material with waste rock and aeolian sand as aggregate by machine learning. J. Comput. Des. Eng. 2022, 9, 2134–2150. [Google Scholar] [CrossRef]
- Zhang, B.; Li, K.Q.; Hu, Y.F.; Ji, K.; Han, B. Prediction of Backfill Strength Based on Support Vector Regression Improved by Grey Wolf Optimization. J. Shanghai Jiaotong Univ. 2023, 28, 686–694. [Google Scholar] [CrossRef]
- Chen, Y.; Zhang, Y.; Chen, T.; Zhao, Y.L.; Bao, S.X. Preparation of eco-friendly construction bricks from hematite tailings. Constr. Build. Mater. 2011, 25, 2107–2111. [Google Scholar] [CrossRef]
- Shettima, A.U.; Hussin, M.W.; Ahmad, Y.; Mirza, J. Evaluation of iron ore tailings as replacement for fine aggregate in concrete. Constr. Build. Mater. 2016, 120, 72–79. [Google Scholar] [CrossRef]
- Chen, L.H.; Li, Q.; Jiang, T. Comprehensive Utilization of Tailings in Quartz Vein-Hosted Gold Deposits. Minerals 2022, 12, 1481. [Google Scholar] [CrossRef]
- Wang, Q.; Li, J.J.; Zhu, X.N.; Yao, G.; Wu, P.; Wang, Z.M.; Lyu, X.J.; Hu, S.G.; Qiu, J.; Chen, P.; et al. Approach to the management of gold ore tailings via its application in cement production. J. Clean. Prod. 2022, 269, 122303. [Google Scholar] [CrossRef]
- Deng, A.J.; Li, C.H.; Yu, Q.D.; Wang, H.C.; Fan, D.D. Phosphate Removal from Swine Waste Water with Unburned Red Mud Ceramsite. IOP Conf. Ser. Earth Environ. Sci. 2019, 252, 032036. [Google Scholar] [CrossRef]
- Das, S.K.; Kundu, T.; Dash, N.; Angadi, S.I. Separation behavior of Falcon concentrator for the recovery of ultrafine scheelite particles from the gold mine tailings. Purif. Technol. 2023, 309, 123065. [Google Scholar] [CrossRef]
- Khouia, Y.A.; Benzaazoua, M.; Elghali, A.; Chopard, A.; Demers, I. Feasibility of reprocessing gold tailings: Integrated management approach for the control of contaminated neutral mine drainage. Miner. Eng. 2022, 187, 107821. [Google Scholar] [CrossRef]
- Hosseini, S.M.; Vakilchap, F.; Baniasadi, M.; Mousavi, S.M.; Darban, A.K.; Farnaud, S. Green recovery of cerium and strontium from gold mine tailings using an adapted acidophilic bacterium in one-step bioleaching approach. J. Taiwan Inst. Chem. E 2022, 138, 104482. [Google Scholar] [CrossRef]
- Wang, H.; Dowd, P.A.; Xu, C.S. A reaction rate model for pyrite oxidation considering the influence of water content and temperature. Miner. Eng. 2019, 134, 345–355. [Google Scholar] [CrossRef]
- Deng, D.Q.; Liu, L.; Yao, Z.L.; Song, K.I.; Lao, D.Z. A practice of ultra-fine tailings disposal as filling material in a gold mine. J. Environ. Manag. 2017, 196, 100–109. [Google Scholar] [CrossRef] [PubMed]
- Ke, X.; Zhou, X.; Wang, X.S.; Wang, T.; Hou, H.B.; Zhou, M. Effect of tailings fineness on the pore structure development of cemented paste backfill. Constr. Build. Mater. 2016, 126, 345–350. [Google Scholar] [CrossRef]
- Ke, X.; Hou, H.B.; Zhou, M.; Wang, Y.; Zhou, X. Effect of particle gradation on properties of fresh and hardened cemented paste backfill. Constr. Build. Mater. 2015, 96, 378–382. [Google Scholar] [CrossRef]
- Wang, B.W.; Li, Q.L.; Dong, P.B.; Gan, S.; Yang, L.; Wang, R.Z. Performance investigation of blast furnace slag based cemented paste backfill under low temperature and low atmospheric pressure. Constr. Build. Mater. 2023, 363, 129744. [Google Scholar] [CrossRef]
- Lobato, N.C.C.; Villegas, E.A.; Mansur, M.B. Management of solid wastes from steelmaking and galvanizing processes: A brief review. Resour. Conserv. Recycl. 2015, 102, 49–57. [Google Scholar] [CrossRef]
- Sun, Y.; Zhao, Y.L.; Qiu, J.P.; Zhang, S.Y.; Sun, X.G.; Gu, X.W. Preparation and characterization of a new alkali-activated binder for superfine-tailings mine backfill. Environ. Sci. Pollut. Res. 2022, 29, 73115–73130. [Google Scholar] [CrossRef] [PubMed]
- Zhou, Y.; Fall, M. Investigation on rheological properties of cemented paste fill with chloride-bearing antifreeze additives in sub-zero environments. Cold Reg. Sci. Technol. 2022, 196, 103506. [Google Scholar] [CrossRef]
- Yilmaz, E.; Belem, T.; Benzaazoua, M. Study of physico-chemical and mechanical characteristics of consolidated and unconsolidated cemented paste backfills. Miner. Resour. Manag. 2013, 29, 81–100. [Google Scholar] [CrossRef]
- Xue, G.; Yilmaz, E.; Song, W.D.; Cao, S. Fiber length effect on strength properties of polypropylene fiber reinforced cemented tailings backfill specimens with different sizes. Constr. Build. Mater. 2020, 241, 118113. [Google Scholar] [CrossRef]
- Cao, S.; Yilmaz, E.; Yin, Z.Y.; Xue, G.L.; Song, W.D.; Sun, L.J. CT scanning of internal crack mechanism and strength behavior of cement-fiber-tailings matrix composites. Cem. Concr. Compos. 2011, 116, 103865. [Google Scholar] [CrossRef]
- Liu, L.; Fang, Z.Y.; Wang, M.; Qi, C.C.; Zhao, Y.J.; Huan, C. Experimental and numerical study on rheological properties of ice-containing cement paste backfill slurry. Powder Technol. 2020, 370, 206–214. [Google Scholar] [CrossRef]
- Kermani, M.; Hassani, F.P.; Aflaki, E.; Benzaazoua, M.; Nokken, M. Evaluation of the effect of sodium silicate addition to mine backfill, Gelfill—Part 2: Effects of mixing time and curing temperature. J. Rock Mech. Geotech. Eng. 2015, 7, 668–673. [Google Scholar] [CrossRef]
- Hewlett, P.; Liska, M. (Eds.) Lea’s Chemistry of Cement and Concrete; Butterworth-Heinemann: Oxford, UK, 2019. [Google Scholar]
- Zhang, W.Q.; Dong, C.W.; Huang, P.; Sun, Q.; Li, M.; Chai, J. Experimental study on the characteristics of activated coal gangue and coal gangue-based geopolymer. Energies 2020, 13, 2504. [Google Scholar] [CrossRef]
- Guo, Z.B.; Sun, X.G.; Zhang, X.W.; Qiu, J.P.; Jiang, H.Q.; Zhao, Y.L.; Wu, P.Q.; Zhang, Q. Effect of superplasticizer on rheology and thixotropy of superfine-tailings cemented paste backfill: Experiment and modelling. Constr. Build. Mater. 2022, 316, 125693. [Google Scholar] [CrossRef]
- Wu, A.X.; Yang, S.K.; Wang, H.J.; Jiao, H.Z.; Xiao, Y.T. Status and Trends of Ultra-fine unclassified tailings backfill paste disposal technology. Min. Technol. 2011, 3, 4–8. (In Chinese) [Google Scholar]
- Fu, Z.G.; Li, H.; Deng, J.H.; Qiao, D.P.; Wang, J.X. Bivariate rheological model of ultrafine tailings backfill slurry based on structural parameter and its applications. Chin. J. Nonferrous Metals 2021, 31, 1672–1685. (In Chinese) [Google Scholar]
- Senapati, P.K.; Mishra, B.K.; Parida, A. Modeling of viscosity for power plant ash slurry at higher concentrations: Effect of solids volume fraction, particle size and hydrodynamic interactions. Powder Technol. 2010, 197, 1–8. [Google Scholar] [CrossRef]
- Asavadorndeja, P.; Glawe, U. Electrokinetic strengthening of soft clay using the anode depolarization method. Bull. Eng. Geol. Environ. 2005, 3, 237–245. [Google Scholar] [CrossRef]
- Johnson, S.B.; Franks, G.V.; Scales, P.J.; Boger, D.V.; Healy, T.W. Surface chemistry–rheology relationships in concentrated mineral suspensions. Int. J. Miner. Process. 2000, 58, 267–304. [Google Scholar] [CrossRef]
- Guo, L.J.; Li, W.C.; Yang, X.C.; Xu, W.Y. Sodium silicate gel effect on cemented tailing backfill that contains lead-zinc smelting slag at early ages. Adv. Mater. Sci. Eng. 2018, 2018, 8502057. [Google Scholar] [CrossRef]
- Uchikawa, H.; Uchida, S. The hydration of 11CaO · 7Al2O3 · CaF2 AT 20 °C. Cem. Concr. Res. 1972, 6, 681–695. [Google Scholar] [CrossRef]
- Zhang, M.G.; Li, K.Q.; Ni, W.; Zhang, S.Q.; Liu, Z.Y.; Wang, K.; Wei, X.L.; Yu, Y. Preparation of mine backfilling from steel slag-based non-clinker combined with ultra-fine tailing. Constr. Build. Mater. 2022, 320, 126248. [Google Scholar] [CrossRef]
- Dong, L.; Gao, Q.; Nan, S.Q.; Du, J.Q. Performance and hydration mechanism of new super fine cemented whole-tailings backfilling materials. J. Cent. South Univ. 2013, 4, 1571–1577. (In Chinese) [Google Scholar]
- Stojanovia, D.D.; Vajgand, V.J. Studies of the mechanism of formation of calcium silicate compounds by titration based on emission and atomic absorption spectroscopy. Spectrochim. Acta 1984, 6, 767–775. [Google Scholar] [CrossRef]
- Lin, Z.S.; Xing, W.H.; Chen, W. Cementitious Material Science; Wuhan University of Technology Publishing House: Wuhan, China, 2018; pp. 62–63. (In Chinese) [Google Scholar]
- Brough, A.R.; Atkinson, A. Sodium silicate-based, alkaliactivated slag mortars: Part I. Strength, hydration and microstructure. Cem. Concr. Res. 2022, 6, 865–879. [Google Scholar]
- Ravikumar, D.; Neithalath, N. Effects of activator characteristics on the reaction product formation in slag binders activated using alkali silicate powder and NaOH. Cem. Concr. Compos. 2012, 7, 809–818. [Google Scholar] [CrossRef]











| Parameter | Cc | Cu | D10 | D30 | D50 | D60 | D90 | Ss (m2/g) |
|---|---|---|---|---|---|---|---|---|
| UT | 0.76 | 3.98 | 3.32 | 5.75 | 10.92 | 13.18 | 36.44 | 0.8 |
| BFS and CS | 0.58 | 9.12 | 1.91 | 4.34 | 11.48 | 17.38 | 158.49 | 1.28 |
| Content (wt.%) | SiO2 | Al2O3 | K2O | CaO | Na2O | Fe2O3 | MgO | SO3 | TiO2 | MnO | Other |
|---|---|---|---|---|---|---|---|---|---|---|---|
| UT | 64.97 | 18.29 | 5.64 | 3.17 | 2.84 | 2.47 | 0.93 | 0.44 | 0.33 | - | 0.92 |
| BFS | 28.51 | 16.63 | - | 37.85 | 1.4 | 1.52 | 8.9 | 2.31 | 0.78 | 0.57 | 1.53 |
| CS | 5.29 | 2.66 | - | 87.45 | 0.77 | 0.64 | 1.06 | 1.38 | 0.19 | 0.09 | 0.47 |
| Appearance | SiO2/% | Na2O/% | Modulus | Density | Reference Standards |
|---|---|---|---|---|---|
| liquid | 28.5 | 9.07 | 3.24 | 1.391 | GB/T 4209-2022 |
| No | BFS | CS | SS | CC | P. O32.5 Cement | P. O42.5 Cement |
|---|---|---|---|---|---|---|
| CM1 | - | - | - | - | 100% | - |
| CM2 | - | - | - | - | - | 100% |
| CM3 | 80% | 20% | - | - | - | - |
| CM4 | 78.44% | 19.6% | 0.98% | 0.98% | - | - |
| CM5 | 77.67% | 19.42% | 1.94% | 0.97% | - | - |
| CM6 | 76.92% | 19.24% | 2.88% | 0.96% | - | - |
| Experimental Projects | Cementitious Materials | C/T Ratio (A) | Mass Concentration (B) | Curing Age (Days) |
|---|---|---|---|---|
| Setting time | CM3, CM4, CM5, CM6 | 1/4, 1/6, 1/8, 1/10 | 63%, 61%, 59%, 57% | - |
| rheology | CM3, CM4, CM5, CM6 | 1/4 | 63%, 61%, 59%, 57% | - |
| UCS | CM1, CM2,CM3, CM4, CM5, CM6 | 1/4, 1/6, 1/8 | 63%, 61%, 59%, 57% | 3, 7, 28 |
| SEM | CM3, CM6 | 1/4 | 63% | 7 |
| SEM (net paste) | CM6 | - | 63% | 7 |
| XRD (net paste) | CM3, CM6 | - | 63% | 3, 7 |
| MIP | CM3, CM6 | 1/4 | 63% | 7 |
Disclaimer/Publisher’s Note: The statements, opinions and data contained in all publications are solely those of the individual author(s) and contributor(s) and not of MDPI and/or the editor(s). MDPI and/or the editor(s) disclaim responsibility for any injury to people or property resulting from any ideas, methods, instructions or products referred to in the content. |
© 2024 by the authors. Licensee MDPI, Basel, Switzerland. This article is an open access article distributed under the terms and conditions of the Creative Commons Attribution (CC BY) license (https://creativecommons.org/licenses/by/4.0/).
Share and Cite
Wang, B.; Gan, S.; Yang, L.; Zhao, Z.; Wei, Z.; Wang, J. Additivity Effect on Properties of Cemented Ultra-Fine Tailings Backfill Containing Sodium Silicate and Calcium Chloride. Minerals 2024, 14, 154. https://doi.org/10.3390/min14020154
Wang B, Gan S, Yang L, Zhao Z, Wei Z, Wang J. Additivity Effect on Properties of Cemented Ultra-Fine Tailings Backfill Containing Sodium Silicate and Calcium Chloride. Minerals. 2024; 14(2):154. https://doi.org/10.3390/min14020154
Chicago/Turabian StyleWang, Bingwen, Su Gan, Lei Yang, Zhongqi Zhao, Zhao Wei, and Jiachen Wang. 2024. "Additivity Effect on Properties of Cemented Ultra-Fine Tailings Backfill Containing Sodium Silicate and Calcium Chloride" Minerals 14, no. 2: 154. https://doi.org/10.3390/min14020154
APA StyleWang, B., Gan, S., Yang, L., Zhao, Z., Wei, Z., & Wang, J. (2024). Additivity Effect on Properties of Cemented Ultra-Fine Tailings Backfill Containing Sodium Silicate and Calcium Chloride. Minerals, 14(2), 154. https://doi.org/10.3390/min14020154
