Leveraging Domain Expertise in Machine Learning for Critical Metal Prospecting in the Oslo Rift: A Case Study for Fe-Ti-P-Rare Earth Element Mineralization
Abstract
1. Introduction
2. Geological Background of the Study Area
3. Data
4. Methodology and Workflow
4.1. Training Data Sampling Strategy
4.2. Feature Engineering
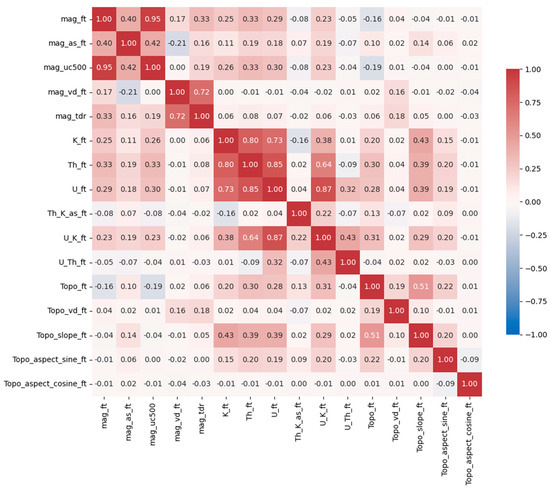
4.3. Feature Selection
4.4. Classification Model
5. Results and Discussion
5.1. Area 1 of 3: Kodal
5.2. Area 2 of 3: Siljan
5.3. Area 3 of 3: Contact between B1-Basalt and Monzonite/Syenites
6. Conclusions
Supplementary Materials
Author Contributions
Funding
Data Availability Statement
Acknowledgments
Conflicts of Interest
References
- Blengini, G.A.; Nuss, P.; Dewulf, J.; Nita, V.; Peirò, L.T.; Vidal-Legaz, B.; Ciupagea, C.; Mancini, L.; Blagoeva, D.; Pennington, D.; et al. EU methodology for critical raw materials assessment: Policy needs and proposed solutions for incremental improvements. Resour. Policy 2017, 53, 12–19. [Google Scholar] [CrossRef]
- McNulty, B.A.; Jowitt, S.M. Barriers to and uncertainties in understanding and quantifying global critical mineral and element supply. Science 2021, 24, 102809. [Google Scholar] [CrossRef] [PubMed]
- EU Regulation Proposal. Regulation of the European Parliament and of the Council Establishing a Framework for ENSURING a secure and Sustainable Supply of Critical Raw Materials and Amending Regulations (EU) 168/2013, (EU) 2018/858, 2018/1724 and (EU) 2019/1020. Brussels 2023, Annex II, 16p. Available online: https://eur-lex.europa.eu/legal-content/EN/ALL/?uri=CELEX:52023PC0160 (accessed on 20 March 2023).
- Decrée, S.; Coint, N.; Debaille, V.; Hagen-Peter, G.; Leduc, T.; Schiellerup, H. The Potential for REEs in Igneous-related Apatite Deposits in Europe. In Geological Society; Special Publications: London, UK, 2022; Volume 526. [Google Scholar]
- Ihlen, P.M.; Schiellerup, H.; Gautneb, H.; Skår, Ø. Characterization of apatite resources in Norway and their REE potential—A review. Ore Geol. Rev. 2014, 58, 126–147. [Google Scholar] [CrossRef]
- Coint, N.; Mansur, E.; Keiding, J.K.; Skår, Ø. Trace elements in ilmenite, titanomagnetite and apatite unravel the petrogenesis of Fe-Ti-P (+/-Zr) rich rocks and associated nelsonite from the Raftsund intrusion, Vesterålen-Lofoten AMCG suite, Northern Norway. Lithos 2023, 460, 107389. [Google Scholar] [CrossRef]
- Kodal Minerals plc. Group Annual Report and Financial Statements for the Year Ended 31 March 2014; Kodal Minerals plc: London, UK, 2014; 55p. [Google Scholar]
- Zuo, R.G.; Carranza, E.J.M. Support vector machine: A tool for mapping mineral prospectivity. Comput. Geosci. 2011, 37, 1967–1975. [Google Scholar] [CrossRef]
- Harris, J.R.; Grunsky, E.C. Predictive lithological mapping of Canada’s North using Random Forest classification applied to geophysical and geochemical data. Comput. Geosci. 2015, 80, 9–25. [Google Scholar] [CrossRef]
- Carranza, E.J.M.; Laborte, A.G. Data-driven predictive mapping of gold prospectivity, Baguio district, Philippines: Application of Random Forests algorithm. Ore Geol. Rev. 2015, 71, 777–787. [Google Scholar] [CrossRef]
- Zuo, R.G.; Xiong, Y.H.; Wang, J.; Carranza, E.J.M. Deep learning and its application in geochemical mapping. Earth-Sci. Rev. 2019, 192, 1–14. [Google Scholar] [CrossRef]
- Chudasama, B.; Torppa, J.; Nykänen, V.; Kinnunen, J.; Lerssi, J.; Salmirinne, H. Target-scale prospectivity modeling for gold mineralization within the Rajapalot Au-Co project area in northern Fennoscandian Shield, Finland. Part 1: Application of knowledge-driven- and machine learning-based-hybrid- expert systems for exploration targeting and addressing model-based uncertainties. Ore Geol. Rev. 2022, 147, 104937. [Google Scholar]
- Liu, H.; Harris, J.; Sherlock, R.; Behnia, P.; Grunsky, E.; Naghizadeh, M.; Rubingh, K.; Tuba, G.; Roots, E.; Hill, G. Mineral prospectivity mapping using machine learning techniques for gold exploration in the Larder Lake area, Ontario, Canada. J. Geochem. Explor. 2023, 253, 107279. [Google Scholar] [CrossRef]
- Harris, J.R.; Naghizadeh, M.; Behnia, P.; Mathieu, L. Data-driven gold potential maps for the Chibougamau area, Abitibi greenstone belt, Canada. Ore Geol. Rev. 2022, 150, 105176. [Google Scholar] [CrossRef]
- Wang, L.J.; Peeters, L.; MacKie, E.J.; Yin, Z.; Caers, J. Unraveling the uncertainty of geological interfaces through data-knowledge-driven trend surface analayis. Comput. Geosci. 2023, 178, 105419. [Google Scholar] [CrossRef]
- Jiang, L.; Li, C.; Cai, Z.; Zhang, H. Sampled Bayesian Network Classifiers for Class-Imbalance and Cost-Sensitive Learning. In Proceedings of the IEEE 25th International Conference on Tools with Artificial Intelligence, Herndon, VA, USA, 4–6 November 2013; pp. 512–517. [Google Scholar]
- Juliani, C.J.; Ellefmo, S.L. Prospectivity Mapping of Mineral Deposits in Northern Norway Using Radial Basis Function Neural Networks. Minerals 2019, 9, 131. [Google Scholar] [CrossRef]
- Prado, E.M.G.; de Souza Filho, C.R.; Carranza, E.J.M.; Motta, J.G. Modeling of Cu-Au prospectivity in the Carajás mineral province (Brazil) through machine learning: Dealing with imbalanced training data. Ore Geol. Rev. 2020, 124, 103611. [Google Scholar] [CrossRef]
- Breiman, L. Random forests. Mach. Learn. 2001, 45, 5–32. [Google Scholar] [CrossRef]
- Cortes, C.; Vapnik, V. Support-vector networks. Mach. Learn. 1995, 20, 273–297. [Google Scholar] [CrossRef]
- Neumann, E.R.; Wilson, M.; Heeremans, M.; Ann Spencer, E.; Obst, K.; Timmerman, M.J.; Kirstein, L. Carboniferous-Permian rifting and magmatism in southern Scandinavia, the North Sea and northern Germany: A review. Geol. Soc. Lond. Spec. Publ. 2004, 223, 11–40. [Google Scholar] [CrossRef]
- Ziegler, P.A.; Schumacher, M.E.; Dèzes, P.; Van Wees, J.-D.; Cloetingh, S. Post-Variscan evolution of the lithosphere in the area of the European Cenozoic Rift System. Geol. Soc. Lond. Mem. 2006, 32, 97–112. [Google Scholar] [CrossRef]
- Larsen, B.T.; Olaussen, S.; Sundvoll, B.; Heeremans, M. The Permo-Carboniferous Oslo Rift through six stages and 65 million years. Episodes 2008, 31, 52–58. [Google Scholar] [CrossRef]
- Rämö, O.T.; Andersen, T.; Whitehouse, M.J. Timing and Petrogenesis of the Permo-Carboniferous Larvik Plutonic Complex, Oslo Rift, Norway: New Insights from U–Pb, Lu-Hf, and O Isotopes in Zircon. J. Petrol. 2022, 63, egac116. [Google Scholar] [CrossRef]
- Neumann, E.R.; Dunworth, E.A.; Sundvoll, B.A.; Tollefsrud, J.I. B1 basaltic lavas in Vestfold–Jeløya area, central Oslo rift: Derivation from initial melts formed by progressive partial melting of an enriched mantle source. Lithos 2002, 61, 21–53. [Google Scholar] [CrossRef]
- Pedersen, L.E.; Heaman, L.M.; Holm, P.M. Further Constraints on the Temporal Evolution of the Oslo Rift from Precise U-Pb Zircon Dating in the Siljan-Skrim Area. Lithos 1995, 34, 301–315. [Google Scholar] [CrossRef]
- Lindberg, P.A. Fe-Ti-P Mineralizations in the Larvikite-Lardalite Complex, Oslo Rift. NGU Bull. 1985, 402, 93–98. [Google Scholar]
- Andersen, T.E. Immiscibility as a Rock Forming Process in Shallowly Emplaced Alkalic Metaluminous Granitoids. Master’s Thesis, NTNU, Trondheim, Norway, 2021. [Google Scholar]
- Andersen, T.; Seiersten, M. Deep cumulates in a shallow intrusion- origin and crystallization history of a pyroxenite (jacupirangite SL) body in the Larvik pluton, Oslo Region, South Norway. Neues Jahrb. Mineral.-Monatshefte 1994, 1994, 255–274. [Google Scholar]
- Bergstøl, S. The jacupirangite at Kodal, Vestfold, Norway. Miner. Depos. 1972, 7, 233–246. [Google Scholar] [CrossRef]
- Baranwal, V.C. Compilation of Various Airborne Geophysical Data in the Oslofjord Area. NGU Report 2013.030. 2016. Available online: https://hdl.handle.net/11250/2664326 (accessed on 20 March 2023).
- Coint, N.; Keiding, J.K.; Ihlen, P.M. Evidence for silicate–liquid immiscibility in monzonites and petrogenesis of associated Fe–Ti–P-rich rocks: Example from the Raftsund Intrusion, Lofoten, Northern Norway. J. Petrol. 2020, 61, egaa045. [Google Scholar] [CrossRef]
- He, H.; Garcia, E.A. Learning from Imbalanced Data. IEEE Trans. Knowl. Data Eng. 2009, 21, 1263–1284. [Google Scholar]
- Prati, R.C.; Batista, G.E.A.P.A.; Silva, D.F. Class imbalance revisited: A new experimental setup to assess the performance of treatment methods. Knowl. Inf. Syst. 2015, 45, 247–270. [Google Scholar] [CrossRef]
- Blakely, R.J. Potential Theory in Gravity and Magnetic Applications; Cambridge University Press: Cambridge, UK, 1996. [Google Scholar]
- Lentz, D. Radioelement distribution in U, Th, Mo, and rare-earth-element pegmatites, skarns, and veins in a portion of the Grenville Province, Ontario and Quebec. Can. J. Earth Sci. 1991, 28, 1–12. [Google Scholar] [CrossRef]
- Dentith, M.C.; Mudge, S.T. Geophysics for the Mineral Exploration Geoscientist; Cambridge University Press: Cambridge, UK, 2014. [Google Scholar]
- Guyon, I.; Elisseeff, A. An introduction to variable and feature selection. J. Mach. Learn. Res. 2003, 3, 1157–1182. [Google Scholar]
- Kodal Minerals plc. Kodal Project Exploration Report-2016; Kodal Minerals plc: London, UK, 2016; 22p. [Google Scholar]












Disclaimer/Publisher’s Note: The statements, opinions and data contained in all publications are solely those of the individual author(s) and contributor(s) and not of MDPI and/or the editor(s). MDPI and/or the editor(s) disclaim responsibility for any injury to people or property resulting from any ideas, methods, instructions or products referred to in the content. |
© 2024 by the authors. Licensee MDPI, Basel, Switzerland. This article is an open access article distributed under the terms and conditions of the Creative Commons Attribution (CC BY) license (https://creativecommons.org/licenses/by/4.0/).
Share and Cite
Wang, Y.; Coint, N.; Mansur, E.T.; Acosta-Gongora, P.; Miranda, A.C.R.; Nasuti, A.; Baranwal, V.C. Leveraging Domain Expertise in Machine Learning for Critical Metal Prospecting in the Oslo Rift: A Case Study for Fe-Ti-P-Rare Earth Element Mineralization. Minerals 2024, 14, 377. https://doi.org/10.3390/min14040377
Wang Y, Coint N, Mansur ET, Acosta-Gongora P, Miranda ACR, Nasuti A, Baranwal VC. Leveraging Domain Expertise in Machine Learning for Critical Metal Prospecting in the Oslo Rift: A Case Study for Fe-Ti-P-Rare Earth Element Mineralization. Minerals. 2024; 14(4):377. https://doi.org/10.3390/min14040377
Chicago/Turabian StyleWang, Ying, Nolwenn Coint, Eduardo Teixeira Mansur, Pedro Acosta-Gongora, Ana Carolina Rodrigues Miranda, Aziz Nasuti, and Vikas Chand Baranwal. 2024. "Leveraging Domain Expertise in Machine Learning for Critical Metal Prospecting in the Oslo Rift: A Case Study for Fe-Ti-P-Rare Earth Element Mineralization" Minerals 14, no. 4: 377. https://doi.org/10.3390/min14040377
APA StyleWang, Y., Coint, N., Mansur, E. T., Acosta-Gongora, P., Miranda, A. C. R., Nasuti, A., & Baranwal, V. C. (2024). Leveraging Domain Expertise in Machine Learning for Critical Metal Prospecting in the Oslo Rift: A Case Study for Fe-Ti-P-Rare Earth Element Mineralization. Minerals, 14(4), 377. https://doi.org/10.3390/min14040377

