Polypropylene Fiber’s Effect on the Features of Combined Cement-Based Tailing Backfill: Micro- and Macroscopic Aspects
Abstract
1. Introduction
2. Materials and Methods
2.1. Fundamental Components
2.1.1. Cement, Gold Tails and Water
2.1.2. Fiber
2.2. Preparation of Combined CTB Specimens
2.3. Three-Point Bending Test
2.4. DIC Technique
2.5. Microstructural Property Analysis
3. Results and Discussion
3.1. CCTB Bending Features
3.2. Deflection Characteristics of Composite Specimens
3.3. Failure Modes of Composite Specimens
3.4. DIC Analysis of Load Deflection and Fracture Evolution
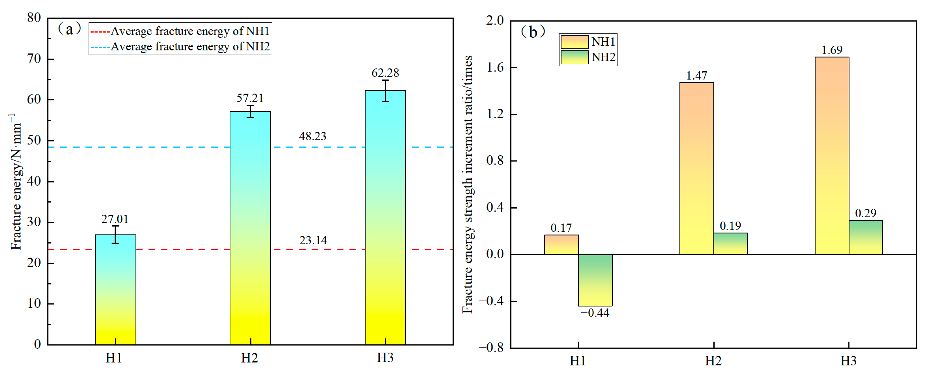
3.5. Energy Analysis of Composite Specimens
3.6. Microstructure of CCTB Samples
4. Conclusions
- The flexural strength of NH2 of CCTB specimens without fiber was maximum and the flexural strength of CCTB specimens without fiber was minimum for a 7-day curing age. The flexural strength of CCTB specimens with fibers increased with increasing c/t fraction;
- Adding fiber improved CCTB flexural properties when the c/t fraction was low, but adding fiber may also lead to a drop in the flexural features of backfilling as the c/t fraction was high;
- With PP fiber addition, CCTB’s peak deflection was improved significantly, and the increment of peak deflection showed a linear rise with increasing c/t fraction. The key reason for the low peak deflection of CCTB without fibers may be that it exhibited low ductility and high brittleness. Thus, adding fiber can shift CCTB’s rupture behavior from brittle to ductile;
- The failure of the composite backfill starts from the bottom center, and the key reason for rupture is the stress concentration at the bottom. When failure was reached, the strain rate generated by CCTB with fibers was larger than that of CCTB without fibers. Adding PP fibers effectively deterred crack expansion, and the fiber bridging impact on cracks effectively enriched CCTB flexural features;
- The energy dissipated by CCTB samples exhibited a nonlinear progress tendency with growing deflection. With the addition of PP fiber, the energy consumption of specimens increased, and the energy consumption capacity became stronger, which can help prevent brittle damage.
Author Contributions
Funding
Data Availability Statement
Conflicts of Interest
References
- Atienza, M.; Lufin, M.; Soto, J. Mining linkages in the Chilean copper supply network and regional economic development. Resour. Policy 2021, 70, 101154. [Google Scholar] [CrossRef]
- Sari, M.; Yilmaz, E.; Kasap, T. Long-term ageing characteristics of cemented paste backfill: Usability of sand as a partial substitute of hazardous tailings. J. Clean. Prod. 2023, 401, 136723. [Google Scholar] [CrossRef]
- Szamałek, K.; Zglinicki, K.; Mazurek, S.; Szuflicki, M.; Rameignies, I.S.; Tymiński, M. The role of mineral resources knowledge in the economic planning and development in Poland. Resour. Policy 2021, 74, 102354. [Google Scholar] [CrossRef]
- Mardonova, M.; Han, Y.-S. Environmental, hydrological, and social impacts of coal and nonmetal minerals mining operations. J. Environ. Manag. 2023, 332, 117387. [Google Scholar] [CrossRef]
- Li, H.; Yao, J.; Min, N.; Duran, R. Comprehensive assessment of environmental and health risks of metal(loid)s pollution from non-ferrous metal mining and smelting activities. J. Clean. Prod. 2022, 375, 134049. [Google Scholar] [CrossRef]
- Wu, X.; Wang, S.; Gao, E.; Chang, L.; Ji, C.; Ma, S.; Li, T. Failure mechanism and stability control of surrounding rock in mining roadway with gentle slope and close distance. Eng. Fail. Anal. 2023, 152, 107489. [Google Scholar] [CrossRef]
- Zhang, Z.-X. Lost-ore mining—A supplementary mining method to sublevel caving. Int. J. Rock Mech. Min. Sci. 2023, 168, 105420. [Google Scholar] [CrossRef]
- Sun, Q.; Wei, X.; Wen, Z. Preparation and strength formation mechanism of surface paste disposal materials in coal mine collapse pits. J. Mater. Res. Technol. 2022, 17, 1221–1231. [Google Scholar] [CrossRef]
- Salmi, E.; Nazem, M.; Karakus, M. Numerical analysis of a large landslide induced by coal mining subsidence. Eng. Geol. 2017, 217, 141–152. [Google Scholar] [CrossRef]
- Wolkersdorfer, C.; Walter, S.; Mugova, E. Perceptions on mine water and mine flooding—An example from abandoned West German hard coal mining regions. Resour. Policy 2022, 79, 103035. [Google Scholar] [CrossRef]
- Chang, M.; Dou, X.; Tang, L.; Xu, H. Risk assessment of multi-disaster in Mining Area of Guizhou, China. Int. J. Disaster Risk Reduct. 2022, 78, 103128. [Google Scholar] [CrossRef]
- Wang, Y.; Wang, Z.; Wu, A.; Wang, L.; Na, Q.; Cao, C.; Yang, G. Experimental research and numerical simulation of the multi-field performance of cemented paste backfill: Review and future perspectives. Int. J. Miner. Metall. Mater. 2023, 30, 193–208. [Google Scholar] [CrossRef]
- He, X.; Yuhua, Z.; Qaidi, S.; Isleem, H.F.; Zaid, O.; Althoey, F.; Ahmad, J. Mine tailings-based geopolymers: A comprehensive review. Ceram. Int. 2022, 48, 24192–24212. [Google Scholar] [CrossRef]
- Niu, H.; Wang, J.; Jing, Z.; Liu, B. Identification and management of land use conflicts in mining cities: A case study of Shuozhou in China. Resour. Policy 2023, 81, 103301. [Google Scholar] [CrossRef]
- Zhang, X.; Nie, W.; Peng, H.; Chen, D.; Du, T.; Yang, B.; Niu, W. Onboard air curtain dust removal method for longwall mining: Environmental pollution prevention. J. Environ. Chem. Eng. 2021, 9, 106387. [Google Scholar] [CrossRef]
- Ali, M.; Pal, I. Assessment of workers’ safety behavior in the extractive industries: The case of underground coal mining in Pakistan. Extr. Ind. Soc. 2022, 10, 101087. [Google Scholar] [CrossRef]
- Kaung, P.F.; Semikin, A.A.; Khayrutdinov, A.M.; Dekhtyarenko, A.A. Recycling of industrial waste is a paradigm of resource provision for sustainable development. Sustain. Dev. Mt. Territ. 2023, 15, 385–397. [Google Scholar] [CrossRef]
- Yang, L.; Li, J.; Liu, H.; Jiao, H.; Yin, S.; Chen, X.; Yu, Y. Systematic review of mixing technology for recycling waste tailings as cemented paste backfill in mines in China. Int. J. Miner. Metall. Mater. 2023, 30, 1430–1443. [Google Scholar] [CrossRef]
- Kovalski, E.R.; Kongar-Syuryun, C.B.; Petrov, D.N. Challenges and prospects for several-stage stoping in potash minining. Sustain. Dev. Mt. Territ. 2023, 15, 349–364. [Google Scholar] [CrossRef]
- Kongar-Syuryun, C.B.; Aleksakhin, A.V.; Eliseeva, E.N.; Zhaglovskaya, A.V.; Klyuev, R.V.; Petrusevich, D.A. Modern technologies providing a full cycle of geo-resources development. Resources 2023, 12, 50. [Google Scholar] [CrossRef]
- Cheng, A.; Zhou, C.; Huang, S.; Zhang, Y.; Pei, M. Study on the nonlinear deformation characteristics and constitutive model of cemented tailings backfill considering compaction hardening and strain softening. J. Mater. Res. Technol. 2022, 19, 4627–4644. [Google Scholar] [CrossRef]
- Holmberg, B.; Cui, L. Multiphysics processes in the interfacial transition zone of fiber-reinforced cementitious composites under induced curing pressure and implications for mine backfill materials: A critical review. Int. J. Miner. Metall. Mater. 2023, 30, 1474–1489. [Google Scholar] [CrossRef]
- Fang, K.; Yang, J.; Wang, Y. Comparison of the mode I fracture toughness of different cemented paste backfill-related structures: Effects of mixing recipe. Eng. Fract. Mech. 2022, 270, 108579. [Google Scholar] [CrossRef]
- Guo, Z.; Qiu, J.; Kirichek, A.; Zhou, H.; Liu, C.; Yang, L. Recycling waste tyre polymer for production of fibre reinforced cemented tailings backfill in green mining. Sci. Total Environ. 2024, 908, 168320. [Google Scholar] [CrossRef] [PubMed]
- Wang, Y.; Na, Q.; Zhang, L.F. Monitoring of in-situ properties for cemented tailings backfill that under drainage condition. Constr. Build. Mater. 2022, 356, 129254. [Google Scholar] [CrossRef]
- Hou, Y.; Yin, S.; Yang, S.; Chen, X.; Du, H. Mechanical properties, damage evolution and energy dissipation of cemented tailings backfill under impact loading. J. Build. Eng. 2023, 66, 105912. [Google Scholar] [CrossRef]
- Saedi, A.; Jamshidi-Zanjani, A.; Darban, A.K. A review of additives used in the cemented paste tailings: Environmental aspects and application. J. Environ. Manag. 2021, 289, 112501. [Google Scholar] [CrossRef]
- Zhang, X.; Xue, X.; Ding, D.; Gu, Y.; Sun, P. Feasibility of uranium tailings for cemented backfill and its environmental effects. Sci. Total Environ. 2023, 863, 160863. [Google Scholar] [CrossRef]
- Xu, W.B.; Cao, Y.; Liu, B.H. Strength efficiency evaluation of cemented tailings backfill with different stratified structures. Eng. Struct. 2019, 180, 18–28. [Google Scholar] [CrossRef]
- Cui, L.; McAdie, A. Experimental study on evolutive fracture behavior and properties of sulfate-rich fiber-reinforced cemented paste backfill under pure mode-I, mode-II, and mode-III loadings. Int. J. Rock Mech. Min. Sci. 2023, 169, 105434. [Google Scholar] [CrossRef]
- Yin, S.; Yan, Z.; Chen, X.; Yan, R.; Chen, D.; Chen, J.; Li, G. Active roof-contact: The future development of cemented paste backfill. Constr. Build. Mater. 2023, 370, 130657. [Google Scholar] [CrossRef]
- Vennes, I.; Mitri, H.; Chinnasane, D.R.; Yao, M. Large-scale destress blasting for seismicity control in hard rock mines: A case study. Int. J. Min. Sci. Technol. 2020, 30, 141–149. [Google Scholar] [CrossRef]
- Zhao, K.; Yang, J.; Yu, X.; Yan, Y.; Zhao, K.; Lai, Y.; Wu, J. Damage evolution process of fiber-reinforced backfill based on acoustic emission three-dimensional localization. Compos. Struct. 2023, 309, 116723. [Google Scholar] [CrossRef]
- Wang, J.; Yu, Q.; Xiang, Z.; Fu, J.; Wang, L.; Song, W. Influence of basalt fiber on pore structure, mechanical performance and damage evolution of cemented tailings backfill. J. Mater. Res. Technol. 2023, 27, 5227–5242. [Google Scholar] [CrossRef]
- Shen, Z.; Liu, W.; Zhang, Q. Tensile behavior of high-performance interlayer hybrid composites of polypropylene and glass fiber for civil engineering. Constr. Build. Mater. 2023, 403, 133017. [Google Scholar] [CrossRef]
- Chen, X.; Shi, X.; Zhou, J.; Chen, Q.; Li, E.; Du, X. Compressive behavior and microstructural properties of tailings polypropylene fibre-reinforced cemented paste backfill. Constr. Build. Mater. 2018, 190, 211–221. [Google Scholar] [CrossRef]
- Chakilam, S.; Cui, L. Effect of polypropylene fiber content and fiber length on the saturated hydraulic conductivity of hydrating cemented paste backfill. Constr. Build. Mater. 2020, 262, 120854. [Google Scholar] [CrossRef]
- Yang, J.; Zhao, K.; Yu, X.; Yan, Y.; He, Z.; Zhou, Y.; Lai, Y. Fracture evolution of fiber-reinforced backfill based on acoustic emission fractal dimension and b-value. Cem. Concr. Compos. 2022, 134, 104739. [Google Scholar] [CrossRef]
- Yin, S.; Hou, Y.; Chen, X.; Zhang, M.; Du, H.; Gao, C. Mechanical behavior, failure pattern and damage evolution of fiber-reinforced cemented sulfur tailings backfill under uniaxial loading. Constr. Build. Mater. 2022, 332, 127248. [Google Scholar] [CrossRef]
- Xue, X.; Gu, Y.; Zhang, X.; Wu, S.; Sun, P.; Cui, J.; Wang, X. Mechanical behavior and microscopic mechanism of fiber reinforced coarse aggregate cemented backfill. Constr. Build. Mater. 2023, 366, 130093. [Google Scholar] [CrossRef]
- Li, J.J.; Cao, S.; Yilmaz, E. Analyzing the microstructure of cemented fills adding polypropylene-glass fibers with X-ray micro-computed tomography. J. Mater. Res. Technol. 2023, 27, 2627–2640. [Google Scholar] [CrossRef]
- Yi, X.W.; Ma, G.W.; Fourie, A. Centrifuge model studies on the stability of fibre-reinforced cemented paste backfill stopes. Geotext. Geomembr. 2018, 46, 396–401. [Google Scholar] [CrossRef]
- Hao, J.; Zhou, Z.; Chen, Z.; Zhou, Y.; Wang, J. Damage characterization and microscopic mechanism of steel slag-cemented paste backfill under uniaxial compression. Constr. Build. Mater. 2023, 409, 134175. [Google Scholar] [CrossRef]
- Zhao, K.; Lai, Y.; He, Z.; Liu, W.; Zhao, R.; Wang, Y.; Tian, X.; Nie, J. Study on energy dissipation and acoustic emission characteristics of fiber tailings cemented backfill with different ash-sand ratios. Process Saf. Environ. Prot. 2023, 174, 983–996. [Google Scholar] [CrossRef]
- Qi, C.; Fourie, A. Cemented paste backfill for mineral tailings management: Review and future perspectives. Miner. Eng. 2019, 144, 106025. [Google Scholar] [CrossRef]
- Yu, Z.; Shi, X.Z.; Chen, X.; Zhou, J.; Qi, C.C.; Chen, Q.S.; Rao, D.J. Artificial intelligence model for studying unconfined compressive performance of fiber-reinforced cemented paste backfill. Trans. Nonferrous Met. Soc. China 2021, 31, 1087–1102. [Google Scholar] [CrossRef]
- Chen, X.; Jiao, H.; Liu, J.; Yang, Y.; Chen, X.; Yang, L.; Zhang, W.; Yang, T. The Influence of Multi-Size Basalt Fiber on Cemented Paste Backfill Mechanical Properties and Meso-Structure Characteristics. Minerals 2023, 13, 1215. [Google Scholar] [CrossRef]
- Wang, A.A.; Cao, S.; Yilmaz, E. Effect of height to diameter ratio on dynamic characteristics of cemented tailings backfills with fiber reinforcement through impact loading. Constr. Build. Mater. 2022, 322, 126448. [Google Scholar] [CrossRef]
- Li, J.J.; Cao, S.; Song, W.D. Distribution development of pore/crack expansion and particle structure of cemented solid-waste composites based on CT and 3D. Constr. Build. Mater. 2023, 376, 130966. [Google Scholar] [CrossRef]
- Huang, Z.Q.; Cao, S.; Qin, S.W. Research on the mechanical properties of 3D printing polymer reinforced cemented tailings backfill under uniaxial compression. Geotech. Geol. Eng. 2022, 40, 3255–3266. [Google Scholar] [CrossRef]
- Yang, J.; Zhao, K.; Yu, X.; Yan, Y.; He, Z.; Lai, Y.; Zhou, Y. Crack classification of fiber-reinforced backfill based on Gaussian mixed moving average filtering method. Cem. Concr. Compos. 2022, 134, 104740. [Google Scholar] [CrossRef]
- Zhou, N.; Du, E.; Zhang, J.; Zhu, C.; Zhou, H. Mechanical properties improvement of Sand-Based cemented backfill body by adding glass fibers of different lengths and ratios. Constr. Build. Mater. 2021, 280, 122408. [Google Scholar] [CrossRef]
- Sun, W.; Gao, T.; Zhao, J.; Cheng, H. Research on fracture behavior and reinforcement mechanism of fiber-reinforced locally layered backfill: Experiments and models. Constr. Build. Mater. 2023, 366, 130186. [Google Scholar] [CrossRef]
- Wang, Y.; Yu, Z.; Wang, H. Experimental investigation on some performance of rubber fiber modified cemented paste backfill. Constr. Build. Mater. 2021, 271, 121586. [Google Scholar] [CrossRef]
- Wang, S.; Song, X.; Chen, Q.; Wang, X.; Wei, M.; Ke, Y.; Luo, Z. Mechanical properties of cemented tailings backfill containing alkalized rice straw of various lengths. J. Environ. Manag. 2020, 276, 111124. [Google Scholar] [CrossRef]
- Liu, W.; Yu, H.; Wang, S.; Wei, M.; Wang, X.; Tao, T.; Song, X. Evolution mechanism of mechanical properties of cemented tailings backfill with partial replacement of cement by rice straw ash at different binder content. Powder Technol. 2023, 419, 118344. [Google Scholar] [CrossRef]
- Ermolovich, E.A.; Ivannikov, A.L.; Khayrutdinov, M.M.; Kongar-Syuryun, C.B.; Tyulyaeva, Y.S. Creation of a nanomodified backfill based on the waste from enrichment of water-soluble ores. Materials 2022, 15, 3689. [Google Scholar] [CrossRef] [PubMed]
- Libos, I.L.S.; Cui, L.; Liu, X. Effect of curing temperature on time-dependent shear behavior and properties of polypropylene fiber-reinforced cemented paste backfill. Constr. Build. Mater. 2021, 311, 125302. [Google Scholar] [CrossRef]
- Qin, S.W.; Cao, S.; Yilmaz, E.; Li, J.J. Influence of types and shapes of 3D printed polymeric lattice on ductility performance of cementitious backfill composites. Constr. Build. Mater. 2021, 307, 124973. [Google Scholar] [CrossRef]
- Hao, W.; Liu, J.; Kanwal, H. Compressive properties of cementitious composites reinforced by 3D printed PA 6 lattice. Polym. Test. 2023, 117, 107811. [Google Scholar] [CrossRef]
- Gao, T.; Sun, W.; Liu, Z.; Cheng, H. Investigation on fracture characteristics and failure pattern of inclined layered cemented tailings backfill. Constr. Build. Mater. 2022, 343, 128110. [Google Scholar] [CrossRef]
- Cao, S.; Song, W.D. Effect of filling interval time on the mechanical strength and ultrasonic properties of cemented coarse tailing backfill. Int. J. Miner. Process. 2017, 166, 62–68. [Google Scholar] [CrossRef]
- Ma, G.W.; Li, Z.J.; Yi, X.W.; Guo, L.J. Macro-meso experiment of fiber-reinforced cement paste filling material. J. Beijing Univ. Technol. 2016, 42, 406–412. [Google Scholar]
- Zhang, H.; Cao, S.; Yilmaz, E. Carbon nanotube reinforced cementitious tailings composites: Links to mechanical and microstructural characteristics. Constr. Build. Mater. 2023, 365, 130123. [Google Scholar] [CrossRef]
- Xue, G.L.; Yilmaz, E.; Song, W.D.; Yilmaz, E. Influence of fiber reinforcement on mechanical behavior and micro-structural properties of cemented tailings backfill. Constr. Build. Mater. 2019, 213, 275–285. [Google Scholar] [CrossRef]













| Chemical Composition | SO2 | Al2O3 | CaO | Fe2O3 | MgO | K2O | SO3 |
|---|---|---|---|---|---|---|---|
| Tailings (%) | 19.1 | 6.3 | 56.4 | 7.1 | 7.9 | 1.3 | 0.7 |
| OPC 42.5R (%) | 24.6 | 9 | 52.2 | 4.1 | 3.5 | 0.9 | 4.1 |
| Group | Upper Layer | Lower Layer | ||||
|---|---|---|---|---|---|---|
| C/T Ratio | Thickness (mm) | Fiber (wt%) | C/T Ratio | Thickness (mm) | Fiber (wt%) | |
| NH1 | 1:8 | 20 | 0 | 1:8 | 20 | 0 |
| NH2 | 1:8 | 20 | 0 | 1:4 | 20 | 0 |
| H1 | 1:8 | 20 | 0 | 1:8 | 20 | 0.6 |
| H2 | 1:8 | 20 | 0 | 1:6 | 20 | 0.6 |
| H3 | 1:8 | 20 | 0 | 1:4 | 20 | 0.6 |
Disclaimer/Publisher’s Note: The statements, opinions and data contained in all publications are solely those of the individual author(s) and contributor(s) and not of MDPI and/or the editor(s). MDPI and/or the editor(s) disclaim responsibility for any injury to people or property resulting from any ideas, methods, instructions or products referred to in the content. |
© 2024 by the authors. Licensee MDPI, Basel, Switzerland. This article is an open access article distributed under the terms and conditions of the Creative Commons Attribution (CC BY) license (https://creativecommons.org/licenses/by/4.0/).
Share and Cite
Li, X.; Cao, S.; Yilmaz, E. Polypropylene Fiber’s Effect on the Features of Combined Cement-Based Tailing Backfill: Micro- and Macroscopic Aspects. Minerals 2024, 14, 212. https://doi.org/10.3390/min14030212
Li X, Cao S, Yilmaz E. Polypropylene Fiber’s Effect on the Features of Combined Cement-Based Tailing Backfill: Micro- and Macroscopic Aspects. Minerals. 2024; 14(3):212. https://doi.org/10.3390/min14030212
Chicago/Turabian StyleLi, Xihao, Shuai Cao, and Erol Yilmaz. 2024. "Polypropylene Fiber’s Effect on the Features of Combined Cement-Based Tailing Backfill: Micro- and Macroscopic Aspects" Minerals 14, no. 3: 212. https://doi.org/10.3390/min14030212
APA StyleLi, X., Cao, S., & Yilmaz, E. (2024). Polypropylene Fiber’s Effect on the Features of Combined Cement-Based Tailing Backfill: Micro- and Macroscopic Aspects. Minerals, 14(3), 212. https://doi.org/10.3390/min14030212

