Sono- and Zeolite-Assisted Electrocoagulation for Compost Wastewater Treatment: Does Ultrasound Power Make a Difference?
Abstract
1. Introduction
2. Materials and Methods
3. Results
3.1. Treatment Efficiency of ECZ and Sono-ECZ Hybrid Process at Different Electrode Materials and US Intensity
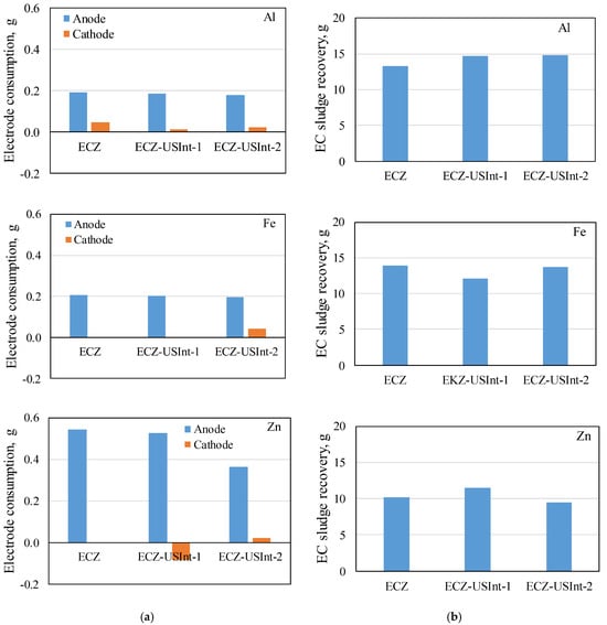
3.2. Analysis of Electrode Mass Change and EC Sludge Recovery
3.3. Light Microscopic Analysis of the Electrode Surface
3.4. Settling Velocity
3.5. The Operational Cost of Sono-Assisted Zeolite-Based EC Hybrid Processes
3.6. Taguchi Optimisation
4. Conclusions
Author Contributions
Funding
Data Availability Statement
Conflicts of Interest
References
- Zajac, O.; Zielinska, M.; Zubrowska-Sudol, M. Enhancing wastewater treatment efficiency: A hybrid technology perspective with energy-saving strategies. Bioresour. Technol. 2024, 399, 130593. [Google Scholar] [CrossRef] [PubMed]
- Boinpally, S.; Kolla, A.; Kainthola, J.; Kodali, R.; Vemuri, J. A state-of-the-art review of the electrocoagulation technology for wastewater treatment. Water Cycle 2023, 4, 26–36. [Google Scholar] [CrossRef]
- Mao, Y.; Zhao, Y.; Cotterill, S. Examining Current and Future Applications of Electrocoagulation in Wastewater Treatment. Water 2023, 15, 1455. [Google Scholar] [CrossRef]
- Roberge, P.R. Handbook of Corrosion Engineering, 3rd ed.; McGraw Hill: Toronto, ON, Canada, 2019. [Google Scholar]
- Vachtsevanos, G.; Natarajan, K.A.; Rajamani, R.; Standborn, P. Corrosion Processes Sensing, Monitoring, Data Analytics, Prevention/Protection, Diagnosis/Prognosis and Maintenance Strategies; Springer Nature: Cham, Switzerland, 2020. [Google Scholar]
- Svilović, S.; Vukojević Medvidović, N.; Vrsalović, L.; Midenjak, A. Treatment Efficiency of Electrocoagulatin Combined with Different Size of Natural Zeolite Particles. Kem. Ind. 2024, 73, 101–108. [Google Scholar] [CrossRef]
- Ingelson, M.; Yasri, N.; Roberts, E.P.L. Electrode passivation, faradaic efficiency, and performance enhancement strategies in electrocoagulation—A review. Water Res. 2020, 180, 116433. [Google Scholar] [CrossRef]
- Rakhmania Kamyab, H.; Yuzir, M.A.; Abdullah, N.; Quan, L.M.; Riyadi, F.A.; Marzouki, R. Recent Applications of the Electrocoagulation Process on Agro-Based Industrial Wastewater: A Review. Sustainability 2022, 14, 1985. [Google Scholar] [CrossRef]
- Chow, H.; Pham, A.L.-T. Mitigating Electrode Fouling in Electrocoagulation by Means of Polarity Reversal: The Effects of Electrode Type, Current Density, and Polarity Reversal Frequency. Water Res. 2021, 197, 117074. [Google Scholar] [CrossRef]
- Yang, Z.; Xu, H.; Zeng, G.; Luo, Y.; Yang, X.; Huang, J.; Wang, L.-K.; Song, P. The behavior of dissolution/passivation and the transformation of passive films during electrocoagulation: Influences of initial pH, Cr(VI) concentration, and alternating pulsed current. Electrochim. Acta 2015, 153, 149–158. [Google Scholar] [CrossRef]
- Moradi, M.; Vasseghian, Y.; Arabzade, H.; Khaneghah, A.M. Various wastewaters treatment by sono-electrocoagulation process: A comprehensive review of operational parameters and future outlook. Chemosphere 2020, 263, 128314. [Google Scholar] [CrossRef]
- Li, J.; Song, C.; Su, Y.; Long, H.; Huang, T.; Yeabah, T.O.; Wu, W. A study on influential factors of high-phosphorus wastewater treated by electrocoagulation–ultrasound. Environ. Sci. Pollut. Res. 2013, 20, 5397–5404. [Google Scholar] [CrossRef]
- Șenilă, M.; Neag, E.; Tănăselia, C.; Șenilă, L. Removal of Cesium and Strontium Ions from Aqueous Solutions by Thermally Treated Natural Zeolite. Materials 2023, 16, 2965. [Google Scholar] [CrossRef] [PubMed]
- Król, M. Natural vs. Synthetic Zeolites. Crystals 2020, 10, 622. [Google Scholar] [CrossRef]
- Jagaba, A.H.; Kutty, S.R.M.; Hayder, G.; Latiff, A.A.A.; Aziz, N.A.A.; Umaru, I.; Ghaleb, A.A.S.; Abubakar, S.; Lawal, I.M.; Nasara, M.A. Sustainable use of natural and chemical coagulants for contaminants removal from palm oil mill effluent: A comparative analysis. Ain Shams Eng. J. 2020, 11, 951–960. [Google Scholar] [CrossRef]
- Abouelenien, F.; Trabik, Y.A.; Shukry, M.; El-Sharnouby, M.; Sayed, S.; Gaber, A.; Elsaidy, N.R. A Pilot Model for the Treatment of Slaughterhouse Wastewater Using Zeolite or Psidium-Leaf Powder as a Natural Coagulant, Followed by Filtration with Rice Straw, in Comparison with an Inorganic Coagulant. Processes 2022, 10, 887. [Google Scholar] [CrossRef]
- Cui, H.; Yin, L.; Huang, X.; Yu, Z.; Zhang, Z.; Dai, Z. Zeolite fly ash-enhanced coagulation treatment of oil recovery wastewater from polymer flooding. Environ. Sci. Pollut. Res. 2022, 29, 90318–90327. [Google Scholar] [CrossRef]
- Vianney, M.J.M.; Muthukumar, K. Studies on Dye Decolorization by Ultrasound Assisted Electrocoagulation. Clean–Soil Air Water 2015, 44, 232–238. [Google Scholar] [CrossRef]
- He, C.-C.; Hu, C.-Y.; Lo, S.-L. Evaluation of sono-electrocoagulation for the removal of Reactive Blue 19 passive film removed by ultrasound. Sep. Purif. Technol. 2016, 165, 107–113. [Google Scholar] [CrossRef]
- Savun-Hekimoğlu, B. A Review on Sonochemistry and Its Environmental Applications. Acoustics 2020, 2, 766–775. [Google Scholar] [CrossRef]
- Al-Yaqoobi, A.; Naeemah, M.; Algharrawi, K. Treatment of dairy wastewater by electrocoagulation and ultrasonic-assisted electrocoagulation methods. Environ. Eng. Manag. J. 2021, 20, 949–957. [Google Scholar] [CrossRef]
- Smoković, D.; Posavčić, H.; Licht, K.; Halkijević, I. Ultrasound assisted electrocoagulation removal of heavy metals from water. In Proceedings of the 17th International Conference on Water Management and Hydraulic Engineering (WMHE 2022/Michał, Szydłowski (ur.), Sopot, Poland, 14–18 September 2022; pp. 184–190. [Google Scholar]
- Svilović, S.; Vukojević Medvidović, N.; Vrsalović, L.; Gudić, S.; Mikulandra, A.-M. Ultrasonically Assisted Electrocoagulation Combined with Zeolite in Compost Wastewater Treatment. Processes 2024, 12, 951. [Google Scholar] [CrossRef]
- Svilović, S.; Vukojević Medvidović, N.; Vrsalović, L.; Kulić, A. Combining natural zeolite and electrocoagulation with different electrode materials–electrode surface analysis and Taguchi optimization. Appl. Surf. Sci. Adv. 2020, 12, 100330. [Google Scholar] [CrossRef]
- Vukojević Medvidović, N.; Vrsalović, L.; Svilović, S.; Magaš, K.; Jozić, D.; Čović, A. Electrocoagulation Combined with Synthetic Zeolite—Does the Size of Zeolite Particles Matter? Minerals 2023, 13, 1141. [Google Scholar] [CrossRef]
- Concha, A.F. Kynch Theory of Sedimentation. Fluid Mech. Its Appl. 2014, 105, 97–118. [Google Scholar]
- Ozturk, E.; Bal, N. Evaluation of ammonia–Nitrogen removal efficiency from aqueous solutions by ultrasonic irradiation in short sonication periods. Ultrason. Sonochem. 2015, 26, 422–427. [Google Scholar] [CrossRef]
- Wen, H.; Cheng, D.; Chen, Y.; Yue, W.; Zhang, Z. Review on ultrasonic technology enhanced biological treatment of wastewater. Sci. Total Environ. 2024, 925, 71260. [Google Scholar] [CrossRef]
- Asgharian, F.; Khosravi-Nikou, M.R.; Anvaripour, B.; Danaee, I. Electrocoagulation and ultrasonic removal of humic acid from wastewater. Environ. Prog. Sustain. Energy 2016, 36, 822–829. [Google Scholar] [CrossRef]
- Wang, J.; Wang, Z.; Vieira, C.L.Z.; Wolfson, J.M.; Pingtian, G.; Huang, S. Review on the treatment of organic pollutants in water by ultrasonic technology. Ultrason Sonochem. 2019, 55, 273–278. [Google Scholar] [CrossRef]
- Al-Rubaiey, N.A.; Al-Barazanjy, M.G. Ultrasonic technique in treating wastewater by electrocoagulation. Eng. Technol. J. 2018, 36, 54–62. [Google Scholar] [CrossRef]
- Özyonar, F.; Gökkuş, Ö.; Sabuni, M. Removal of disperse and reactive dyes from aqueous solutions using ultrasound-assisted electrocoagulation. Chemosphere 2020, 258, 127325. [Google Scholar] [CrossRef]
- Croatian Regulation on Emission Limits Values in Wastewater, NN 26/2020 (In Croatian). Available online: https://narodne-novine.nn.hr/clanci/sluzbeni/2020_03_26_622.html (accessed on 10 September 2024).
- Roy, D.; Azaïs, A.; Benkaraache, S.; Drogui, P.; Tyag, R.D. Composting leachate: Characterization, treatment, and future perspectives. Rev Environ. Sci. Biotechnol. 2018, 17, 323–349. [Google Scholar] [CrossRef]
- Chatterjee, N.; Flury, M.; Hinman, C.; Cogger, C.G. Chemical and Physical Characteristics of Compost Leachates—A Review, Report, Washington State Department of Transportation; Washington State University: Pullman, WA, USA, 2013. Available online: https://www.wsdot.wa.gov/research/reports/fullreports/819.1.pdf (accessed on 10 September 2024).
- Mullane, J.M.; Flury, M.; Iqbal, H.; Freeze, P.M.; Hinman, C.; Cogger, C.G.; Shi, Z. Intermittent rainstorms cause pulses of nitrogen, phosphorus, and copper in leachate from compost in bioretention systems. Sci. Total Environ. 2015, 537, 294–303. [Google Scholar] [CrossRef] [PubMed]
- Rezaei, H.; Narooie, M.R.; Khosravi, R.; Mohammadi, M.J.; Sharafi, H.; Biglari, H. Humic Acid Removal by Electrocoagulation Process from Natural Aqueous Environments. Int. J. Electrochem. Sci. 2018, 13, 2379–2389. [Google Scholar] [CrossRef] [PubMed]
- Koparal, A.; Yildiz, Y.; Keskinler, B.; Demircioglu, N. Effect of initial pH on the removal of humic substances from wastewater by electrocoagulation. Sep. Purif. Technol. 2008, 59, 175–182. [Google Scholar] [CrossRef]
- Kourdali, S.; Badis, A.; Saiba, A.; Boucherit, A.; Boutoumi, H. Humic acid removal by electrocoagulation using aluminium sacrificial anode under influencing operational parameters. Desalin. Water Treat. 2013, 52, 5442–5453. [Google Scholar] [CrossRef]
- Mahvi, A.H.; Maleki, A.; Rezaee, R.; Safari, M. Reduction of humic substances in water by application of ultrasound waves and ultraviolet irradiation. Iran J. Environ. Health Sci. Eng. 2009, 6, 233–240. [Google Scholar]
- Vukojević Medvidović, N.; Vrsalović, L.; Svilović, S.; Bilušić, A.; Jozić, D. Electrocoagulation treatment of compost leachate using aluminium alloy, carbon steel and zinc anode. Appl. Surf. Sci. Adv. 2023, 15, 100404. [Google Scholar] [CrossRef]
- Wu, Z.; Zhao, Y.; Fan, J.; Gao, C.; Yuan, X.; Wang, G.; Zhang, Q. Dual effects of ultrasound on fabrication of anodic aluminium oxide. Ultrason. Sonochem. 2023, 96, 106431. [Google Scholar] [CrossRef]
- Gao, Z.; Cao, J.; Muhammad Muzammal, H.; Wang, C.; Sun, H.; Chong, D.; Ma, H.; Wang, Y. Ultrasound assisted large scale fabrication of superhydrophilic anodized SnOx films with highly uniformed nanoporous arrays. Mater. Chem. Phys. 2020, 242, 122540. [Google Scholar] [CrossRef]
- Paulo, V.; Neves-Araujoa, J.; Padron-Hernandeza, E. Fast and Room-temperature Synthesis of Porous Alumina Films in Ultrasonic Assisted Bath Inducing Superficial Cavitations. Port. Electrochim. Acta 2019, 37, 123–129. [Google Scholar] [CrossRef]
- Chellam, S.; Sari, M.A. Aluminum electrocoagulation as pretreatment during microfiltration of surface water containing NOM: A review of fouling, NOM, DBP, and virus control. J. Hazard. Mater. 2016, 304, 490–501. [Google Scholar] [CrossRef]
- Ozyonar, F.; Karagozoglu, B. Operating cost analysis and treatment of domestic wastewater by electrocoagulation using aluminium electrodes. Pol. J. Environ. Stud. 2011, 20, 173–179. [Google Scholar]
- Ebba, M.; Asaithambi, P.; Alemayehu, E. Investigation on operating parameters and cost using an electrocoagulation process for wastewater treatment. Appl. Water Sci. 2021, 11, 175. [Google Scholar] [CrossRef]
- Available online: https://www.indexmundi.com/commodities/?commodity=aluminum (accessed on 10 September 2024).
- Available online: https://markets.businessinsider.com/commodities/aluminum-price (accessed on 10 September 2024).
- Available online: https://www.sambhavpipes.com/carbon-steel-plate.html (accessed on 10 September 2024).
- Available online: https://dang-shop.com/proizvod.aspx?sifraID=01%20a (accessed on 10 September 2024).
- Available online: https://www.hep.hr/elektra/poduzetnistvo/tarifne-stavke-cijene-1578/1578 (accessed on 10 September 2024).
- Kobya, M.; Hiz, H.; Senturk, E.; Aydiner, C.; Demirbas, E. Treatment of Potato Chips Manufacturing Wastewater by Electrocoagulation. Desalination 2006, 190, 201. [Google Scholar] [CrossRef]
- Eskibalci, M.F.; Ozkan, M.F. Comparison of conventional coagulation and electrocoagulation methods for dewatering of coal preparation plant. Miner. Eng. 2018, 122, 106–112. [Google Scholar] [CrossRef]
- Moosavirad, S.M. Feasibility study of coagulation system for greywater treatment and comparison of economical effects with those of electrocoagulation in mining areas. J. Adv. Environ. Health Res. 2016, 4, 190–198. [Google Scholar]
- Mouedhen, G.; Feki, M.; De Petris Wery, M.; Ayedi, H.F. Behavior of aluminum electrodes in electrocoagulation process. J. Hazard. Mater. 2008, 150, 124–135. [Google Scholar] [CrossRef]
- Svilović, S.; Mužek, M.N.; Vučenović, P.; Nuić, I. Taguchi design of optimum process parameters for sorption of copper ions using different sorbents. Water Sci. Technol. 2019, 80, 98–108. [Google Scholar] [CrossRef]
- Graça, N.S.; Rodrigues, A.E. The combined implementation of electrocoagulation and adsorption process for the treatment of the wastewaters. Clean Technol. 2022, 4, 1020–1053. [Google Scholar] [CrossRef]
- Wang, N.; Li, L.; Wang, K.; Huang, X.; Han, Y.; Ma, X.; Wang, M.; Lv, X.; Bai, X. Study and Application Status of Ultrasound in Organic Wastewater Treatment. Sustainability 2023, 15, 15524. [Google Scholar] [CrossRef]





| Exp Mark | Electrode Materials | Hybrid Process Type | US Intensity, % |
|---|---|---|---|
| A1 | Al | ECZ | - |
| A2 | Al | ECZ-USInt-1 | 20 |
| A3 | Al | ECZ-USInt-2 | 100 |
| A4 | Fe | ECZ | - |
| A5 | Fe | ECZ-USInt-1 | 20 |
| A6 | Fe | ECZ-USInt-2 | 100 |
| A7 | Zn | ECZ | - |
| A8 | Zn | ECZ-USInt-1 | 20 |
| A9 | Zn | ECZ-USInt-2 | 100 |
| Exp. Mark | Hybrid Process Type | Controllable Factors (Mark) | |||
|---|---|---|---|---|---|
| US Intensity (US), % | Electrode Materials (M) | Mixing Speed (N), rpm | Reaction Time (t), min | ||
| B1 | ECZ | 0 | Al | 150 | 10 |
| B2 | ECZ | 0 | Fe | 250 | 20 |
| B3 | ECZ | 0 | Zn | 350 | 30 |
| B4 | ECZ-USInt-1 | 20 | Al | 250 | 30 |
| B5 | ECZ-USInt-1 | 20 | Fe | 350 | 10 |
| B6 | ECZ-USInt-1 | 20 | Zn | 150 | 20 |
| B7 | ECZ-USInt-2 | 100 | Al | 350 | 20 |
| B8 | ECZ-USInt-2 | 100 | Fe | 150 | 30 |
| B9 | ECZ-USInt-2 | 100 | Zn | 250 | 10 |
| Exp Mark | COD Decrease, % | Turbidity Decrease, % | TS, g/L |
|---|---|---|---|
| ECZ, Al | 87.21 | 67.80 | 2.055 |
| ECZ-USInt-1, Al | 86.49 | 73.95 | 1.935 |
| ECZ-USInt-2, Al | 86.97 | 7.62 | 2.040 |
| ECZ, Fe | 85.28 | 98.45 | 2.015 |
| ECZ-USInt-1, Fe | 85.52 | 81.94 | 2.030 |
| ECZ-USInt-2, Fe | 88.90 | 97.95 | 2.030 |
| ECZ, Zn | 81.90 | 53.11 | - |
| ECZ-USInt-1, Zn | 82.63 | 76.52 | 2.015 |
| ECZ-USInt-2, Zn | 81.42 | −9.47 | 2.245 |
| Experiment Mark | U, V | Cenergy, kWh/m3 | Celectrode, kg/m3 | Celectrode, (Faraday) kg/m3 | Operating Cost eur/m3 |
|---|---|---|---|---|---|
| ECZ, Al | 21.63 | 18.78 | 0.39 | 0.29 | 2.822 |
| ECZ-USInt-1, Al | 21.59 | 18.74 | 0.37 | 0.29 | 2.772 |
| ECZ-USInt-2, Al | 20.35 | 17.67 | 0.36 | 0.29 | 2.639 |
| ECZ, Fe | 15.37 | 5.87 | 0.41 | 0.40 | 0.977 |
| ECZ-USInt-1, Fe | 12.32 | 4.71 | 0.40 | 0.40 | 0.847 |
| ECZ-USInt-2, Fe | 10.11 | 3.86 | 0.39 | 0.40 | 0.750 |
| ECZ, Zn | 18.74 | 14.07 | 1.09 | 0.92 | 2.546 |
| ECZ-USInt-1, Zn | 20.30 | 14.78 | 1.05 | 0.92 | 2.580 |
| ECZ-USInt-2, Zn | 20.73 | 15.57 | 0.73 | 0.92 | 2.341 |
| Experimental Conditions | COD Decrease, % | Settling Velocity, cm/min | Loss of Electrodes Mass, g | Voltage, V |
|---|---|---|---|---|
| ECZ, Al, 150 rpm, 10 min | 79.34 | 2.857 | 0.0614 | 22.05 |
| ECZ, Fe, 250 rpm, 20 min | 84.92 | 1.426 | 0.1417 | 12.05 |
| ECZ, Zn, 350 rpm, 30 min | 82.55 | 1.452 | 0.5453 | 20.7 |
| ECZ-USInt-1, Al, 250 rpm, 30 min | 87.64 | 1.177 | 0.1658 | 9.07 |
| ECZ-USInt-1, Fe, 350 rpm, 10 min | 77.58 | 0.017 | 0.0802 | 14.51 |
| ECZ-USInt-1, Zn, 150 rpm, 20 min | 78.12 | 0.025 | 0.3080 | 17.47 |
| ECZ-USInt-2, Al, 350 rpm, 20 min | 86.69 | 0.007 | 0.1294 | 16.28 |
| ECZ-USInt-2, Fe, 150 rpm, 30 min | 86.55 | 0.966 | 0.2199 | 17.12 |
| ECZ-USInt-2, Zn, 250 rpm, 10 min | 77.23 | 0.007 | 0.2077 | 18.53 |
| Experimental Conditions | S/NLB Ratio COD Decrease | S/NLB Ratio Settling Velocity | S/NSB Ratio Loss of Electrodes Mass | S/NSB Ratio Voltage |
|---|---|---|---|---|
| ECZ, Al, 150 rpm, 10 min | 37.989 | 9.118 | 24.237 | −26.87 |
| ECZ, Fe, 250 rpm, 20 min | 38.580 | 3.082 | 16.973 | −21.62 |
| ECZ, Zn, 350 rpm, 30 min | 38.334 | 3.239 | 5.267 | −26.32 |
| ECZ-USInt-1, Al, 250 rpm, 30 min | 38.854 | 1.416 | 15.608 | −19.15 |
| ECZ-USInt-1, Fe, 350 rpm, 10 min | 37.795 | −35.391 | 21.917 | −23.23 |
| ECZ-USInt-1, Zn, 150 rpm, 20 min | 37.855 | −32.041 | 10.229 | −24.85 |
| ECZ-USInt-2, Al, 350 rpm, 20 min | 38.759 | −43.098 | 17.761 | −24.23 |
| ECZ-USInt-2, Fe, 150 rpm, 30 min | 38.745 | −0.301 | 13.156 | −24.67 |
| ECZ-USInt-2, Zn, 250 rpm, 10 min | 37.756 | −43.098 | 13.651 | −25.36 |
| COD Decrease | Settling Velocity | |||||||
| Factor | US | M | N | t | US | M | N | t |
| Level 1 | 38.30 | 38.53 | 38.20 | 37.85 | 5.147 | −10.855 | −7.741 | −23.124 |
| Level 2 | 38.17 | 38.37 | 38.40 | 38.40 | −22.006 | −10.870 | −12.867 | −24.019 |
| Level 3 | 38.42 | 37.98 | 38.30 | 38.64 | −28.832 | −23.967 | −25.083 | −1.451 |
| Loss of Electrode mass | Voltage | |||||||
| Factor | US | M | N | t | US | M | N | t |
| Level 1 | 15.49 | 19.20 | 15.88 | 19.94 | −24.94 | −24.42 | −25.46 | −25.15 |
| Level 2 | 15.92 | 17.35 | 15.41 | 14.99 | −22.41 | −23.14 | −22.04 | −23.57 |
| Level 3 | 14.86 | 9.72 | 14.98 | 11.34 | −24.75 | −25.51 | −24.60 | −23.38 |
| COD Decrease | Settling Velocity | |||||||
| Factor | US | M | N | t | US | M | N | t |
| Optimal level | 3 | 1 | 2 | 3 | 1 | 1 | 1 | 3 |
| pC, % | 5.81 | 29.54 | 3.65 | 61.00 | 48.32 | 8.56 | 11.87 | 31.25 |
| Rank | 3 | 2 | 4 | 1 | 1 | 4 | 3 | 2 |
| Loss of Electrode mass | Voltage | |||||||
| Factor | US | M | N | t | US | M | N | t |
| Optimal level | 2 | 1 | 1 | 1 | 2 | 2 | 2 | 3 |
| pC, % | 0.64 | 56.99 | 0.45 | 41.92 | 25.64 | 21.27 | 40.82 | 12.27 |
| Rank | 3 | 1 | 4 | 2 | 2 | 3 | 1 | 4 |
Disclaimer/Publisher’s Note: The statements, opinions and data contained in all publications are solely those of the individual author(s) and contributor(s) and not of MDPI and/or the editor(s). MDPI and/or the editor(s) disclaim responsibility for any injury to people or property resulting from any ideas, methods, instructions or products referred to in the content. |
© 2024 by the authors. Licensee MDPI, Basel, Switzerland. This article is an open access article distributed under the terms and conditions of the Creative Commons Attribution (CC BY) license (https://creativecommons.org/licenses/by/4.0/).
Share and Cite
Vukojević Medvidović, N.; Vrsalović, L.; Svilović, S.; Gudić, S.; Čule, I. Sono- and Zeolite-Assisted Electrocoagulation for Compost Wastewater Treatment: Does Ultrasound Power Make a Difference? Minerals 2024, 14, 1190. https://doi.org/10.3390/min14121190
Vukojević Medvidović N, Vrsalović L, Svilović S, Gudić S, Čule I. Sono- and Zeolite-Assisted Electrocoagulation for Compost Wastewater Treatment: Does Ultrasound Power Make a Difference? Minerals. 2024; 14(12):1190. https://doi.org/10.3390/min14121190
Chicago/Turabian StyleVukojević Medvidović, Nediljka, Ladislav Vrsalović, Sandra Svilović, Senka Gudić, and Ivona Čule. 2024. "Sono- and Zeolite-Assisted Electrocoagulation for Compost Wastewater Treatment: Does Ultrasound Power Make a Difference?" Minerals 14, no. 12: 1190. https://doi.org/10.3390/min14121190
APA StyleVukojević Medvidović, N., Vrsalović, L., Svilović, S., Gudić, S., & Čule, I. (2024). Sono- and Zeolite-Assisted Electrocoagulation for Compost Wastewater Treatment: Does Ultrasound Power Make a Difference? Minerals, 14(12), 1190. https://doi.org/10.3390/min14121190

