Next Article in Journal
RETRACTED: Exploration of the Subsurface Three-Dimensional Structure in Rare Earth Ore Areas Using Electrical Resistivity Tomography: A Case Study in Changting, Fujian, China
Previous Article in Journal
Flotation Enrichment of Micro- and Nanosilica Formed During the Production of Silicon and Ferrosilicon
 
 
Font Type:
Arial Georgia Verdana
Font Size:
Aa Aa Aa
Line Spacing:
Column Width:
Background:
Article

Geophysical Methods Applied to the Mineralization Discovery of Rare-Earth Elements at the Fazenda Buriti Alkaline Complex, Goiás Alkaline Province, Brazil

by
Fabrício Pereira dos Santos
1,*,
Marcelo Henrique Leão-Santos
1,2,
Welitom Rodrigues Borges
1 and
Patrícia Caixeta Borges
3
1
Instituto de Geociências, Universidade de Brasília, Brasília 70910-900, DF, Brazil
2
Faculdade de Planaltina, Universidade de Brasília, Brasília 73345-010, DF, Brazil
3
Natural History Museum, University of Oslo, P.O. Box 1172 Blindern, 0318 Oslo, Norway
*
Author to whom correspondence should be addressed.
Minerals 2024, 14(11), 1163; https://doi.org/10.3390/min14111163
Submission received: 29 September 2024 / Revised: 4 November 2024 / Accepted: 12 November 2024 / Published: 17 November 2024
(This article belongs to the Section Mineral Exploration Methods and Applications)

Abstract

In this case study, exploratory techniques were applied for the selection of potential targets for rare-earth elements (REEs) in the Fazenda Buriti Mafic–Ultramafic Complex, part of the Goiás Alkaline Province. The results of the processing and interpretation of aeromagnetic and radiometric data associated with the direct measurements of magnetic susceptibility and radiometry in rock samples collected in the study area allowed for the characterization and delimitation of the geological units. The application of Boolean logic in the radiometric data of uranium (U), thorium (Th), and the U/Th ratio allowed for the generation of a prospective map with the delimitation of two exploration targets. A 100 m deep exploratory drill hole was drilled at the main target, intercepting REE mineralization and validating the developed prospective technique. The results contributed to the detailing of a 1:25,000 scale geological map and the interpretation of shallow and deep magnetic structures. Petrophysical data allowed for the estimation of the magnetite content in the main units of the study area. The delimitation of targets with the applied method proved to be efficient after positive geochemical results for REE from the drilled rocks. The total sum of ∑REEs reached 19,629 ppm in the superficial part of the hole and 3,560 ppm in the fresh rock. Mineralogical results in two follow-up drill core samples indicated that monazite was the main REE mineral. Total REE ranged from 34,746 ppm in HG1 to 30,017 ppm in HG2, with LREEs in its majority. The bulk and clay XRD analyses indicated that monazite consisted of 5.7% (HG1) and 5.1% (HG2). The mineral abundance from the TIMA-X analysis indicated 4.2% (HG1) and 4.4% (HG2) in monazite content.

1. Introduction

The technological advancements in recent years have reinforced society’s dependence on the exploration of new rare-earth element (REE) deposits and, for this reason, studies focused on discovering Greenfield sources are essential to meet the future demands for these metals [1,2]. The Brazilian alkaline complexes stand out as important areas for metal prospecting, particularly for REEs, given their existing reserves [3].
Brazil was already one of the world leaders in REE exports from 1885 to 1952, the period in which it explored monazite sands on its coast [4]. Currently, reserves and occurrences of mineralization in the country are classified as primary in carbonatite/alkaline complexes, and differentiated granites, and as secondary in river/marine placer deposits and residual and supergene enrichment [3]. Table 1 lists the main Brazilian deposits, classified according to occurrence process, association, and type.
Data on annual REE production in 2022 and 2023 indicate China, United States, Australia, and Myanmar as the main producers [5]. Table 2 shows that China dominates REE production with 240 thousand tons (t) in 2023. Next, the United States recorded 43 thousand t and Australia with 18 thousand t, followed by Myanmar with 38 thousand t. In 2022 and 2023, Brazil had limited production compared to the leading countries, with 80 t. With reserves of 21 million t, the country has the potential to develop its production, which would increase its share of the REE market.
REE deposits in Brazil, such as Catalão, for example, are rich in bastnaesite and monazite, similar to the China and the United States deposits. Despite this, the infrastructure for processing REE oxides in Brazil is still incipient and contrasts with China, which dominates both extraction and processing. The need for improvements in processing capacity, in addition to incentive policies, can position Brazil as a relevant competitor in the global production of REEs.
In Brazil, the main REE deposits occur in association with igneous rocks, especially in carbonatite/alkaline complexes, in addition to differentiated granites [3,4]. The mafic–ultramafic intrusions of the alkaline provinces stand out as important areas for REE exploration. Therefore, the Goiás Alkaline Province (GAP) needs studies focusing on the potential for exploring these elements.
The alkaline magmatism that occurred during the Cretaceous with the Atlantic Ocean opening event resulted in alkaline provinces of economic mineral interest in Brazil [6]. The Alto Paranaiba Igneous Province (APIP) and the GAP, located along the Az 125° Lineament (Figure 1), are associated with this event [7,8]. The U-Pb ages obtained in perovskite indicate ages of 75 to 81 Ma for the intrusions of these provinces, with more recent ultramafic magmatism in the east along the northern edge of the Paraná Basin [9].
In the APIP, there are operating mines and deposits (Araxá, Salitre, Tapira, Catalão I, and II) related to alkaline–carbonatite complexes with niobium, phosphate, rare-earth elements, and diamonds in kimberlite mineralizations [10,11,12]. Nevertheless, the GAP has important nickel deposits, such as Morro do Engenho and Santa Fé [13,14]. And due to its mineral potential, the GAP still requires further exploration.
The GAP comprises intrusive mafic–ultramafic alkaline complexes, volcanic and subvolcanic alkaline rocks, which have been widely studied and described using geophysical and geological data [8,15,16,17]. The use of geophysical methods and modeling has provided information that helps us to understand, for example, the placement of intrusive bodies in the GAP [18]. However, the intrusive complexes of this province lack research with a focus on mineral exploration and the evaluation of targets for mineral resources and deposits, especially REE.
The most common minerals that carry REEs are bastnaesite [(Ce, La) (CO3) F] and monazite [(Ce, La, Nd, Th) PO4] which are associated with light REEs and xenotime (YPO4) in heavy REEs. Typically, monazite forms deposits by alteration and disaggregation of source rocks, where transport and deposition occur in coastal strips and alluvium. Bastnaesite is found in contact or alteration zones of alkaline rocks. Xenotime occurs as an accessory mineral of acidic or alkaline rocks, especially pegmatites [4]. Monazite has a strong radiometric response, where uranium and thorium can be used as key elements to identify deposits [19].
Aerial geophysical data have provided valuable information for prospecting deposits with economic concentrations of REEs [20,21]. In the past, the search for uranium deposits was the main application of the radiometric method, and thus REE deposits were also discovered [19,22]. The radiometric method has been proven to be quite efficient in researching REEs due to the high concentrations of uranium and thorium in the composition of the main REE-bearing minerals, such as monazite, xenotime, and allanite, amongst others [22,23]. Furthermore, the use of magnetometric data facilitates the characterization of intrusive bodies and structures associated with REE prospecting.
This study uses the interpretation of airborne geophysical data, geological mapping data as a way to contribute to the geological cartography of the region, petrophysical measurements on rock samples to delimit targets using statistics, and the application of Boolean logic for REE prospecting. The study area is located in the Fazenda Buriti mafic–ultramafic complex, near the city of Iporá, Goiás, Brazil. The primary objective is to assist in the development of geophysical methods and techniques utilized in mineral prospecting in the GAP.

2. Geological Context

2.1. Tocantins Province (TP)

The study area is located within the South American geotectonic framework and situated in TP. Composed of Neoproterozoic mobile belts, this province is structured by a Meso-Neoproterozoic tectonic inversion of the marginal basins during the Brazilian Cycle. It also contains a reworked core of around 900–450 Ma [24,25,26,27]. The TP is structurally grouped into the following three regions: the central part, with the Goiás Massif; the eastern part with the Uruaçu and Brasília Fold belts, and the western portion, the Paraguay–Araguaia Fold Belt [24].
The Brasília Fold Belt of the Neoproterozoic age is inserted in the TP and is mainly composed of supracrustal volcano-sedimentary rocks, granites, and subordinate basic-ultramafic bodies [28].

2.2. The Brasilia Fold and Thrust Belt

The Brasília Fold and Thrust Belt consist of a Neoproterozoic orogen located in central Brazil (Figure 2). Its formation dates to the amalgamation process during the convergence of the Amazonas, São Francisco–Congo, and Paranapanema cratons, as well as smaller allochthonous blocks [29]. The Brasília Fold Belt is a component of the orogenic system that is a part of the TP, and it is located on the western margin of the São Francisco Craton. The Brasília Belt is divided into several geological terrains that are gathered into an almost homogeneous evolutionary framework, regional west-dipping thrusts, reverse faults, and nappes mark the limits between the main stratigraphic units and clearly indicate tectonic transport towards the east [29].
The Brasília Belt can be tectonically subdivided into the following: an external zone, in the east, consisting of a thick sequence of metasedimentary and sedimentary units and parts of its basement (Canastra Group, Paranoá Group, Vazante Formation, and Ibiá Formation); an internal zone, comprising allochthonous units of phyllites and associated rocks (Araxá Group), as well as remaining parts of the basement and the metamorphic core of the orogen, known as the Anápolis–Itauçu granulite complex; the Goiás Massif, interpreted as an allochthonous sialic block composed of Archean and Paleoproterozoic granite–greenstone terrains, ortho-gneissic terrains, and the Serra da Mesa and Araxá Groups; and finally, the Goiás Magmatic, Arc with Neoproterozoic ortho-gneissic terrains and volcano-sedimentary sequences [30,31]. This juvenile crust encompasses the study area of this research and will be described next.
Figure 2. Geology of the central-eastern sector of the Tocantins Province, with an emphasis on the Brasília Belt and the study area marked with a yellow dot (modified from [31]).
Figure 2. Geology of the central-eastern sector of the Tocantins Province, with an emphasis on the Brasília Belt and the study area marked with a yellow dot (modified from [31]).
Minerals 14 01163 g002

2.3. The Goiás Magmatic Arc

The Goiás Magmatic Arc is considered one of the most significant events of juvenile crustal accretion along the Gondwana junction and is one of the most important tectonic units of the Brasília Fold Belt [29]. With a main NNE direction and extending hundreds of kilometers, it can be divided into two units. Its northern part is known as the Mara Rosa Arc, and its southern exposure, separated by the Goiás Massif, is called the Arenópolis Arc. Its development began around 900 Ma in the form of intra-oceanic island arcs, with the closing of the Goiás–Farusiano Ocean between 630 Ma and 600 Ma as the final magmatic event [29,32,33].
The Goiás Magmatic Arc comprises supracrustal sequences, with calc-alkaline metavolcanic rocks, feldspar mica schists, quartzites, and marbles [29]. Calc-alkaline and plutonic rocks with variable metamorphism and deformation are found, ranging in composition from gabbros to granites, with extensive volume of tonalites. These units host an extensive post-tectonic bimodal granitic intrusion. Thus, the occurrence of orthogneisses is mostly as meta-diorites, meta-tonalites, and meta-granodiorites.
In the study area, located in the south–southwest region of the state of Goiás, the following two geological units formed in different contexts from the TP are also present: the PB, a sedimentary cover exposed along the edges of the Brasilia Belt, and the GAP, with volcanic, subvolcanic, and plutonic rocks.

2.4. The Paraná Basin (PB)

In the study area, the PB corresponds to sandstones from the Furnas and Ponta Grossa formations. This sedimentary unit consists of an extensive South American intracratonic basin, of the Neo-Ordovician to Late Cretaceous age developed over a continental crust filled with sedimentary and volcanic rocks [28].
The sandstones are white to cream in color, with medium to coarse grain, friable, feldspathic, kaolinitic, and micaceous. They are interbedded with secondary levels of conglomerates, conglomeratic sandstones, and siltstones.
During the Late Cretaceous, alkaline magmatism occurred on the edges of the basin, responsible for the occurrence of chimneys of ultrabasic and intermediate rocks, some of which were within the basin itself [24]. The magmatism at the edges of the PB stands out for having originated in the GAP.

2.5. Goiás Alkaline Province

The GAP is located in the central portion of the TP and consists of various lithological types, including volcanic, sub-volcanic, and plutonic rocks [26,27]. It stands out as one of the most important tectonic units of the Brasília Belt due to its mineral economic importance and geological context [29].
The GAP is composed of eleven complexes, in which plutonic complexes occur in the northern portion, sub-volcanic alkaline rocks in the central portion, and volcanic rocks in the southern portion [34]. Figure 3 illustrates the following geological complexes: Morro do Engenho, Santa Fé, Montes Claros de Goiás, Diorama, Córrego dos Bois, Morro do Macaco, Fazenda Buriti, Arenópolis, Amorinópolis, Águas Emendadas, and Santo Antônio da Barra. Its occurrence is defined along an N30°E trend of approximately 250 km, which extends from the Araguaiana–Santa Fé region, to the Iporá in the center, and the Santo Antônio da Barra–Rio Verde area in the south [28].
Among the alkaline rocks of GAP, which are in the northern region of Iporá, the Fazenda Buriti Alkaline Complex stands out as the target of this study, occupying an area of about 35 km2, where clinopyroxenites, melagabbros, syenogabbros, olivine syenites, dunites, peridotites, pyroxenites, essexites, teralites, alkaline gabbros, nepheline syenites, phonolites, trachytes, and lamprophyres outcrop [15,34,35,36,37]. A more detailed description of the complex and its evolution is available in the Results section.
The local geology is presented in Section 4.1 and results from the compilation of data from previous mappings, interpretation of airborne geophysical data, and further data provided by the Appia Rare Earths & Uranium Corp, Toronto, ON, Canada.

3. Materials and Methods

The magnetic and radiometric geophysical products were developed using data from the first phase of the Airborne Geophysical Survey of the State of Goiás [38] and the Table 3 shows the characteristics of the dataset. This survey involved systematic flight lines at specific altitudes and spacings to ensure detailed magnetic and radiometric measurements. The altitude data were derived from a Digital Elevation Model (DEM) generated from PALSAR sensor images, with a spatial resolution of 12.5 m [39]. The DEM provided essential topographic information and supported a precise interpretation of the geophysical anomalies relative to terrain variations.
Table 3. Main attributes of the airborne geophysical survey [38].
Table 3. Main attributes of the airborne geophysical survey [38].
AttributeCharacteristics
Total area58,834 km2
Survey date19 June 2004 to 24 November 2004
AircraftCessna 404 Titan
Direction and spacing between of Flight LinesNS and 500 m
Direction and spacing between of Tie LinesEW and 5000 m
Average flight height and flight speed100 m and 294 km/h
Measurement range0.1 s (mag) and 1.0 s (gamma)
Magnetometer (cesium vapor)Scintrex CS-2, Canada—0.001 nT resolution
Gamma-ray spectrometerExploranium GR-820, Mississauga, ON, Canada
Volume of Nal detector crystals2560 in3 (down) and 512 in3 (up)
Coordinate SystemSouth American 1969 UTM Zone 22S
The geological information was compiled using data from the survey conducted by Appia Rare Earths & Uranium Corp. at a scale of 1:20,000 and the map of geophysical units of the Fazenda Buriti Alkaline Complex [40] at a scale of 1:25,000. The company’s mapping was performed with lines in the east–west direction and, during the geological mapping, 15 rock samples were collected to be subject to the direct measurements of magnetic susceptibility and radiometry.
The Geosoft Oasis Montaj 2022.1 software was used to process the airborne magnetometry and radiometry data. The preprocessing steps for the airborne data were considered according to the original data [38]. After analyzing the magnetic and radiometric profiles, the data were interpolated using the bidirectional algorithm in regular meshes with a cell size of ¼ of the spacing between the survey lines (125 m) [41].
The magnetic data were used for the interpretation of lithological contacts and magnetic structures. The total magnetic field intensity (TMI) data were subjected to geomagnetic correction using the International Geomagnetic Reference Field (IGRF) [42]. This step resulted in a grid with Residual Magnetic Anomalies used for applied filters. First-order derivative filters, dX, dY, and dZ, were applied to the residual magnetic anomalies [43]. A Total Gradient (TG) filter was also used to enhance the edges of the magnetic anomalies [44,45], and the Inclination of Total Gradient Amplitude (ITGA) was used to highlight the lower amplitude anomalies [46,47].
To aid in the interpretation of the magnetic lineaments, a signal separation filter was used, assuming that the recorded magnetic field is the sum of the regional field, residual field, and noise component [48,49]. The regional and residual magnetic field separation filtering were performed using the matched filter extension of the Geosoft Oasis Montaj software [48]. The use of this tool favored the classification of deeper lineaments as first order and shallower ones as second order.
The radiometric data were associated with geological information to provide an overview of the geophysical behavior of each lithology. Maps of the percentual of the potassium (K), equivalent concentrations of thorium (eTh) and uranium (eU), and ternary compositions in RGB (K, eTh, and eU) were produced. The U/Th ratio were calculated to highlight the relative concentrations of these radioelements [19]. The F-parameter (Equation (1)) was estimated to verify the possible zones of hydrothermal alteration [50,51].
F - parameter = K × U / T h
For the delimitation of prospective targets, the U, Th channels, and the U/Th ratio were initially considered input themes using the ESRI ArcMap 10.8.1 program. The software allowed for the integration of themes, as it has robust tools for spatial analysis, in addition to compatibility with several geospatial data formats. In each theme, the statistical elements of position and variability, average (μ), and standard deviation (σ), respectively, were calculated. By considering the data from each theme in a Gaussian distribution curve, it is possible to select anomalies using thresholds. Using the expressions μ + σ (first threshold), μ + 2σ (second threshold), and μ + 3σ (third threshold), the anomalous thresholds were calculated [52]. In this way, in each theme, the first threshold concentrated 13.6% of the anomalous values, the second threshold concentrated 2.1%, and the third threshold concentrated 0.1%. These probabilistic thresholds for anomaly detection are illustrated in Figure 4, where the bell-shaped curve of the normal distribution highlights the concentration of values around the mean and the decrease in frequency as the data deviate further from the center.
The calculation of the first, second, and third thresholds originated binary images for each theme. Subsequently, the Boolean operator OR was used on the themes to group the first, second, and third thresholds into three distinct output layers [53]. The output layers were overlaid on a prospective map for target definition.
Figure 4. Normal distribution (Gaussian) and anomalous thresholds defined based on the average (μ) and standard deviation (σ). The area under the curve shows the percentage that each threshold represents (modified from [54]).
Figure 4. Normal distribution (Gaussian) and anomalous thresholds defined based on the average (μ) and standard deviation (σ). The area under the curve shows the percentage that each threshold represents (modified from [54]).
Minerals 14 01163 g004
Afterwards, field verification of the anomalies identified as prospective targets was carried out using geological mapping, geochemical sampling in a grid, and drilling with diamond core bit drilling in anomalous areas. This article will not address these steps, only the geochemical results of the borehole samplings carried out to validate the target definition.
The drill cores were sampled for the geochemical analysis of rare-earth elements at 1 m intervals, down to a depth of 100 m. The diamond drill hole was drilled vertically, with an inclination of 90 degrees and no azimuth. Table 4 presents a summary of the samples taken along the borehole, together with a brief description of the lithology. Geochemical analyses were performed with Lithium Metaborate Fusion Determination—Rare Earths—using an Inductively Coupled Plasma Mass Spectrometer (ICP-MS) and were performed by SGS GEOSOL Laboratório Ltd.a, Vespasiano, Brazil.
In a follow up phase, two drill core samples, HG1 and HG2, were riffled and polished mounts were prepared for the mineralogical analysis with TIMA-X (Tescan Integrated Mineral Analyzer, Czech Republic), clay X-ray diffraction (XRD), and heavy liquid separation (HLS) at an SG of 2.9 g/cm3.
Magnetic susceptibility measurements on rock samples were performed using the KT-20 Susceptibility Meter from Terraplus, Canada. The measurements were taken using the Measure Mode configuration, where the following three steps were followed: an outdoor reading, a reading on the sample, and another outdoor reading. Three consecutive readings were taken at each sampling point, and the average of these was used as the final magnetic susceptibility value. The average magnetic susceptibility values (κ) can be used to approximate the percentage of magnetite volume (Vm) in these rocks [55] according to Equation (2):
κ = 33   V m 10 3   S I
Direct radiometric measurements on the samples were carried out using the RS-125 gamma spectrometer (Radiation Solutions Inc., Mississauga, ON, Canada). The exposure time for each sample was set to 120 s in order to reduce the contributions of background radiation from the site.

4. Results and Discussions

4.1. Local Geology

After interpreting the radiometric and magnetic data, as well as the available geological information from the previous works [40,56], and the data from this study, a geological map at a 1:25,000 scale was produced. The identified units and their associated lithologies are presented in Figure 5, which correspond to Neoproterozoic metamorphic syn-tectonic rocks and late to post-tectonic igneous rocks of the Arenópolis Magmatic Arc, sedimentary rocks of the PB, and Cretaceous plutonic and subvolcanic intrusions of the GAP. Concerning the previous geological map [40], the main contribution of this work refers to a reinterpretation of the southern contact of the plutonic intrusion with the mylonitic gneisses, as well as the demarcation of a hydrothermal alteration zone, with the occurrence of breccia with pyroxenite fragments in the northern portion of the intrusive Complex.
The oldest unit identified in the study area corresponds to the Arenópolis Magmatic Arc, comprising mylonitized porphyritic monzogranites and meta-syenogranites. This unit was dated using the Rb–Sr method at 688 ± 35 Ma [57]. The unit was intruded by plutonic, volcanic, and subvolcanic rocks belonging to GAP and covered by sedimentary rocks of the Furnas Formation. The majority of the outcrops were located in the southwestern portion of the study area, where mylonitic gneisses (Figure 6D), metagranites (Figure 6C), and granitic to tonalitic gneisses (Figure 6A,B) were predominant. The outcrops occurred along drainages, where boulders and rounded blocks could be seen.
Two structures are commonly found in these rocks, indicating the distinct phases of deformation. The first refers to the regional deformation of the Arenópolis Magmatic Arc during the orogen formation, indicating low- to medium-grade metamorphism, with incipient foliation and banding. This first deformation phase has an NW–SE direction with dips between 50° and 70°. The second phase records structures with NNW–SSE shear deformation and a subvertical dip and are associated with the formation of mylonites.
The Iporá Granite is found in the form of blocks, boulders, metric to the decametric slab outcrops, in meadows and drainages (Figure 7A,B), composing the higher altitude portions and forming rounded hills. It is characterized by the presence of biotite granites, granodiorites, and quartz syenite without deformation or with little deformation, as well as occasionally intruded by centimetric to metric alkaline dykes (Figure 7C).
Macroscopically, the rocks in this unit are composed of varying amounts of quartz, potassium feldspar, plagioclase, biotite, hornblende, magnetite, and accessory minerals. They have a granular texture with fine- to coarse-grained equigranular fabric and/or porphyritic texture with coarse to very coarse potassium feldspar crystals that reach a few centimeters in length. (Figure 7D).
As can be seen in Figure 5, the western part of the area is characterized by the occurrence of sandstones from the PB (Furnas and Ponta Grossa formations), which mostly overlie the rocks of the Arenópolis Magmatic Arc and the Iporá Granite. However, they are intruded by the plutonic and subvolcanic rocks of the GAP.
The sandstones occur as blocks and boulders of a centimeter to decameter dimensions, and in a few occurrences, as outcrops on slopes and streams (Figure 8A,B). The lithology is represented by cream-colored, beige to purplish sandstones with fine to medium grain size (Figure 8D), sometimes poorly selected, composed of quartz, micas, feldspars, clay minerals, and iron oxide. Some outcrops have conglomeratic levels with immature quartz crystals. Primary sedimentary structures such as parallel bedding and stratifications are observed (Figure 8C). Purplish-colored ferruginous sandstones are not uncommon.
The lithotypes belonging to GAP occur as plutonic and subvolcanic intrusions with differentiated lithologies and dimensions. In the study area, this province is distinguished by the Fazenda Buriti plutonic intrusion, which consists predominantly of gabbros, pyroxenites, and syenites in the central region, and subvolcanic rocks in the form of sills with about 2 to 5 km in length to the northwest, which consists of microsyenites and trachytes. Throughout the area, there are also alkali dykes ranging from centimeter- to meter-scale in size, with a great variety of compositional and textural features.
The Fazenda Buriti Alkaline Complex extends over an area of approximately 35 km2 with intrusive alkaline rocks, as well as hydrothermal alkaline breccia with pyroxenite fragments.
Macroscopically, the rocks are mostly dark in color, with a mesocumulatic to orthocumulatic texture, coarse to very coarse crystals, and sometimes fine portions (Figure 9A,B). They contain clinopyroxene, plagioclase as an intercumulus fraction without well-defined crystals, coarse-grained magnetite, subhedral, oxidized, fine olivine, amphibole, alkali feldspar and, in some rocks, feldspathoids (nepheline).
The compositions vary, encompassing pyroxenite with or without olivine, alkaline gabbro, and nepheline syenite. There are metric outcrops with igneous bedding, where very thick cumulative pyroxene crystals are seated parallel at the base of the layers—plane-parallel and decimetric thickness bedding. Syenites occur in smaller volumes, mapped as “felsic pockets” in the middle of mafic rocks, where mafic autoliths are found (Figure 9D).
The alkaline hydrothermal breccia occurs with pyroxenite fragments dispersed in a syenitic matrix ranging from centimeters to meters. In the drill hole that intercepted the breccia, hydrothermal alterations such as potassification, carbonation, and sulfidation were observed. Chloritization also occurs, with the alteration of mafic minerals such as pyroxene, amphibole, and biotite (Figure 9C).
Microscopically, the breccia with pyroxenite fragments is composed of zoned pyroxene crystals (titane–augite), around 1 cm in size, with smaller crystals of magnetite, pyrrhotite, and disseminated sulfides. The modal composition is 81% Augite (titane–augite), 11% opaque minerals (11% magnetite and traces of pyrite), 4% Fe/Ti oxides, 2% biotite, 1% apatite, 1% carbonate, and minor zeolite (Figure 10).
The subvolcanic intrusion outcropping in the western portion of the study area is defined as a grayish-colored microsyenite with equigranular to porphyritic texture, which intrudes sandstones of the Furnas Formation (Figure 11A,B). The microsyenite is composed of potassium feldspar phenocrysts, plagioclase, and pyroxene. It has a grain size that varies from fine to medium and a matrix with biotite, oxides, and quartz.
Light to dark gray trachytes are found cutting through sandstones at the northwest. The dimensions of the intrusive bodies vary from centimeters to tens of meters. With a porphyritic texture, they are composed of euhedral phenocrysts of feldspar and pyroxene, with fine to medium-grained interstitial biotite in a fine to very fine matrix.
Dikes ranging from centimeters to tens of meters in size are found within the lithologies of the study area. They usually have grayish color and porphyritic texture with phenocrysts that vary from fine to coarse embedded in a very fine to an aphanitic matrix. Compositions include feldspars (plagioclase and/or potassium feldspar), amphiboles, pyroxenes, magnetite, biotite, and carbonates.
Thus, in chronological order, the following events occurred in the study area: (I) Neoproterozoic volcano-sedimentary sequences were developed in a magmatic arc environment, which were later metamorphosed and deformed, constituting the Arenópolis Magmatic Arc. (II) The late post-collisional magmatic event resulted in the emplacement of the Iporá Granite. (III) Period of low tectonic activity, characterized by sedimentary coverings of the Silurian–Devonian age, Furnas Formation, and Ponta Grossa Formation of the PB. And last, (IV) alkaline magmatism intruded the mentioned units above and originated the GAP during the Cretaceous.

4.2. Petrophysics

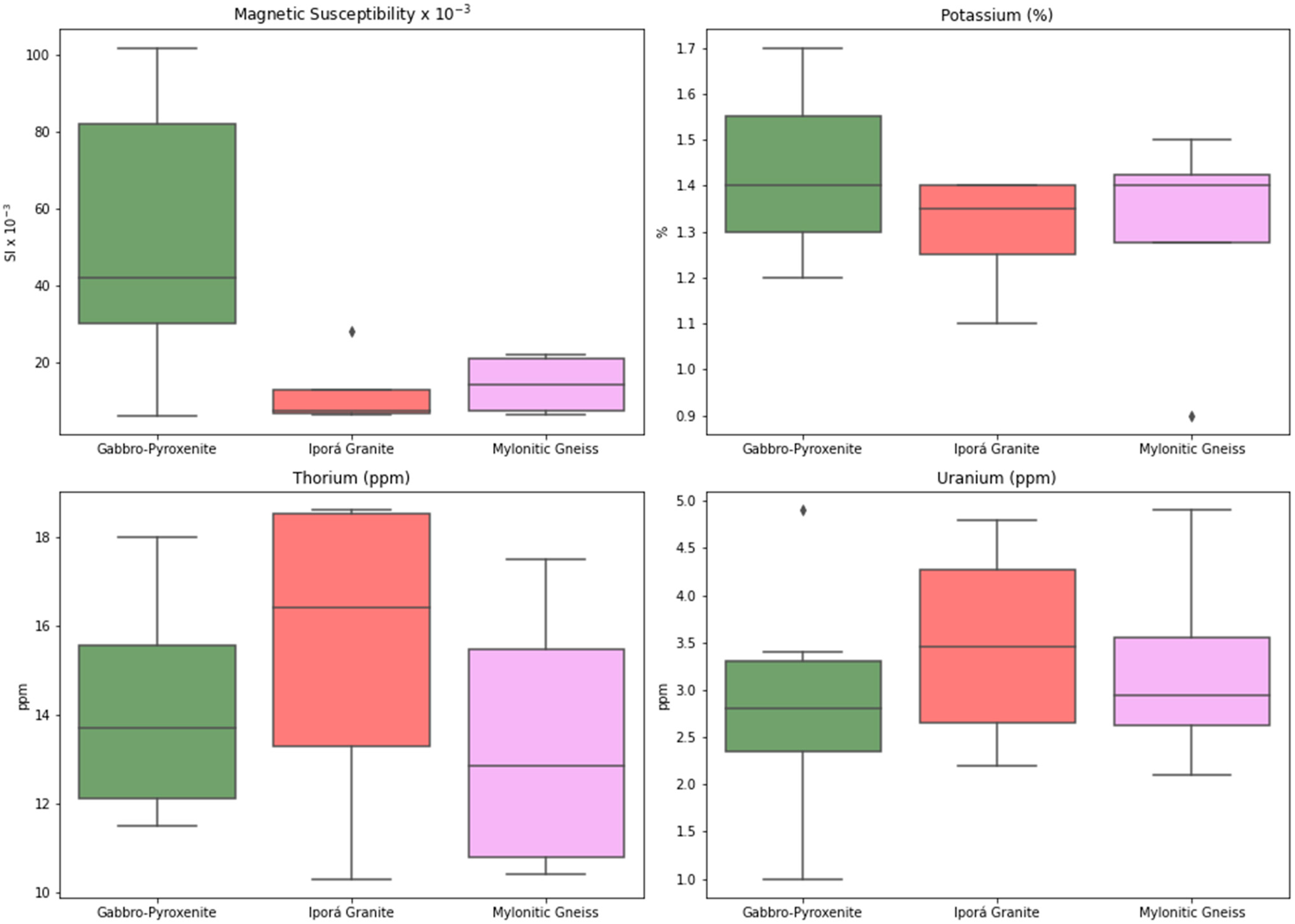
Petrophysical readings were conducted on rock samples from the Mylonitic Gneiss (GM), Iporá Granite (GI), and Gabbro–Pyroxenite (GP) units. The number of samples read enabled comparisons to be made. Readings were taken from four samples of GM, four samples of GI, and seven samples of GP.
As seen in Figure 12, the minimum values of recorded magnetic susceptibility (10−3 SI) were very close for all three units (6.3-GM; 6.4-GI; 6.2-GP). The maximum values highlight the contrast between GP and the other units (22.03-GM; 28.17-GI; 102-GP). However, the variability of GP was high, reinforced by the larger number of readings compared to the other units, suggesting variations in the magnetite content. The average values found (14.2 in-GM, 12.4 in-GI, 53.5 in-GP) were used to approximate the percentage of magnetite volume in these rocks. The percentage of magnetite volume found was 0.43% in GM, 0.38% in GI, and 1.62% in GP.
The value of the average volume of magnetite found for the gabbro–pyroxenites (1.62%) contrasts with the value indicated for opaque minerals (11%) in the modal composition of the thin section (Figure 10). Even if the approach is different, this contrast suggests that the average volume may be underestimated.
The statistical analysis of the magnetic susceptibility measurements accurately characterized the petrophysical signatures of the contrast between the host units dominated by gneisses and granites and the alkaline mafic–ultramafic intrusion dominated by magnetic gabbros and pyroxenites. Both the averages and medians, as well as the 25th to 75th percentile range, support the contrast between the units.
The average content of radioelements directly measured in the GP samples was close to that expected for mafic and ultramafic rocks (1.4-K; 14.1-Th; 2.9-U) and remained within the range of concentrations recorded in the airborne data (Figure 12). The content of radioelements is extremely low in the mafic and ultramafic rocks [19]. The average concentrations recorded for the GI (1.3-K; 15.4-Th; 3.5-U) and GM (1.5-K; 13.4-Th; 3.2-U) followed expectations for these lithologies, but the GI rocks have higher concentrations of Th and a higher average of U.

4.3. Magnetometry

The regional and residual magnetic fields separation with the Matched Filtering tool favored the interpretation of magnetic structures in the study area. The filter tool emphasized the frequency content of signals corresponding to the depth of each magnetic source in the model. First-order lineaments, interpreted in the data layer corresponding to the regional field, reached estimated source depths of 650 m, and second-order lineaments, interpreted in the data layer of the residual field, reached estimated source depths of 280 m (Figure 13).
The ITGA, dX, dY, and dZ maps were used to enhance the interpretation of magnetic lineaments. In the ITGA map and the dX map (Figure 13A,C), an N–S lineament was observed that cuts the entire magnetic body, which may be associated with a geological structure that possibly controls the Cachoeirinha stream. The NE direction lineaments may be associated with areas of structural weakness in the relief, well-marked by the Buriti and Furado Bonito streams. Likewise, NW-trending lineaments may be associated with structures that control drainage directions in the study area.
The first- and second-order lineaments have main EW and NE directions, following the structures mapped in the area’s literature [18,40,56]. The ITGA products, dY and dZ derivatives (Figure 13A,D,E), show the directional pattern of these structures, as well as possible breaks associated with the edges of the alkaline intrusion. The dY emphasizes the EW and NE structures in more detail, as seen in Figure 13D. In the dZ, it is possible to identify high frequencies indicating the existence of shallower, fragmented, outcropping magnetic bodies along the alkaline intrusion.
The block diagram in Figure 13B shows the Total Gradient (TG) associated with elevations, stream systems, and interpreted lineaments. In the figure, the NE and SW edges of the relief are higher than the intrusion, which are associated with the Iporá Granite and gneisses, respectively [40]. The magnetic contrasts between the units are evident, with a highlight on the gabbroic rocks in the center of the area, with an average of 5.5 nT/m and peaks of 17 nT/m. The response indicates what is expected for rocks with high Fe content, although this element can be divided into non-magnetic silicate minerals such as olivines, pyroxenes, and amphiboles in mafic and ultramafic rocks [58].

4.4. Gammaespectrometry

Table 5 shows the minimum and maximum values of each lithology in the study area, as well as the average values of each radioelement extracted from their respective regular grids. The average concentration values differ from those recorded in petrophysics, however, a larger number of direct readings on rock samples with greater spatial distribution are needed to characterize these units. The values extracted with the help of the grid indicate average concentrations of K, Th, and U for the types of rocks in evidence as a first step in characterizing these units.
Variations between the minimum and maximum values within the same lithology occur due to weathering and pedogenesis processes that alter the concentrations of the source rock, which can cause loss or enrichment of radioelements [59]. In places where the rock is exposed at the surface, the concentrations are closer to the original values of the rock matrix.
The lowest average values of radioelements are associated with the gabbros and pyroxenites of the alkaline intrusion due to their mafic–ultramafic ferromagnesian to calcic composition. The average radioelement values of the sandstone of the Furnas Formation are also low due to its abundant quartz composition. The detrital–lateritic covers have intermediate average values due to supergenic concentrations by the weathering processes.
The igneous rocks, trachyte, syenite, microsyenite, and metamorphic mylonitic gneiss have higher values of K due to the presence of potassic feldspar in their compositions. The intrusive rocks, nepheline syenite and granite, have high average counting values due to their felsic compositions, with higher concentrations of K, Th, and U.
The highest average concentration values are associated with volcanic breccia and the hydrothermal alteration zone. In the case of the hydrothermal alteration zone, these values suggest that alteration processes by fluids are enriched in the concentrations of K, Th, and U. These hydrothermal processes may be the source of REE mineralization and mark the radiometric signatures in the study area.
Figure 14A shows the distribution of K along the lithological contacts. The gabbros and pyroxenites are well marked with low counts and show a potassium signature with average values of 0.6%, according to Table 5. The highest K abundances are observed in the microsyenite and outcrops of the Iporá Granite, where the felsic composition has a significant influence on the concentrations of K, Th, and U [19]. Trachyte, syenite, nepheline syenite, and gneiss have intermediate K values due to the presence of potassium feldspar.
The eTh, represented in Figure 14B, with the geological contacts, shows high concentrations in the mapped hydrothermal alteration zone, where the average values are the highest found in the study area, 50 ppm, with maximum values of 53 ppm, according to Table 5. Higher concentrations are also observed in the Iporá Granite and nepheline syenite outcrop areas where the average concentration values are 28 ppm and 32 ppm, respectively, due to their granitic compositions and high topographic regions that concentrate Th as a resistant mineral.
The behavior of eU in the study area follows that of eTh, according to Figure 14C. Elevated concentrations of eU are observed in the hydrothermal breccia (fluid enrichment), in the Iporá Granite, and the nepheline syenite (granitic compositions). Gabbros and pyroxenites, as well as mylonitic gneisses, have low concentrations of this radioelement.
Figure 14D correlates the lithological contours and the ternary map in RGB composition (K, eTh, and eU), overlaid on the shaded relief model. In this figure, it is possible to observe the color contrasts between the felsic and mafic–ultramafic rock types in the study area. In the felsic rocks of the Iporá Granite, the lighter colors indicate a higher concentration of radioelements, especially in the higher areas where these rocks outcrop. In the regions of slope and low topography of this lithology in the southeastern portion of the area, K is leached, which decreases the concentration of this radioelement. In the mafic–ultramafic rocks that make up the Fazenda Buriti complex, radioelements have a low concentration, which favors the identification of rocks such as gabbros and pyroxenites in dark colors.
Figure 14. Radiometric and calculated ratios maps, lithological contacts, and drainage. (A): Potassium (K) concentrations; (B): Equivalent concentrations of Thorium (eTh); (C): Equivalent concentrations of Uranium (eU); (D): Block diagram with 3.5 vertical exaggerations, with RGB ternary image (K-eTh-eU) associated with elevations. (E): Estimated F-parameter [50,51], and; (F): U/Th ratio. Altitude data [39].
Figure 14. Radiometric and calculated ratios maps, lithological contacts, and drainage. (A): Potassium (K) concentrations; (B): Equivalent concentrations of Thorium (eTh); (C): Equivalent concentrations of Uranium (eU); (D): Block diagram with 3.5 vertical exaggerations, with RGB ternary image (K-eTh-eU) associated with elevations. (E): Estimated F-parameter [50,51], and; (F): U/Th ratio. Altitude data [39].
Minerals 14 01163 g014
To highlight features not evident in the primary maps, radiometric data were calculated using simple arithmetic operations [19] and by estimating the F-parameter [50,51]. The estimated F-parameter (Figure 14E) did not favor the identification of possible hydrothermal zones but highlighted the concentrations of K, mainly in the mylonitic gneisses and microsyenite. When applying the F-parameter, it is assumed that the K concentrations would follow those of U [51]. As is evident in the map of K (Figure 14A) and the map of eU (Figure 14C), this tendency does not occur. However, the low values of the F-parameter accurately delimited the boundaries of the contacts of the Fazenda Buriti alkaline intrusion. The eU/eTh ratio (Figure 14F) shows the enrichment of U at the expense of losses of Th concentrations. This relationship can be observed in some regions, such as the E–NE of the study area, where the Iporá Granite outcrops can be found.

4.5. Delimitation of Prospective Targets

The result of prospect target delineation by thresholds and Boolean logic of eU, eTh, and eU/eTh ratio layers favored the identification of two potential areas for REE research and further detailed investigation. Table 6 lists the statistical values used to select anomalous thresholds within each information theme.
Figure 15 displays the step-by-step production flowchart of the prospective map (Figure 16). The figure shows how each thematic layer (eU, eTh, and eU/eTh ratio) was sequentially superimposed to map areas with anomalous concentrations. Each layer was classified according to the use of thresholds, as previously explained, based on standard deviations (μ + σ, μ + 2 × σ, μ + 3 × σ) and the average. This classification based on statistical thresholds allows for a clear differentiation of the anomalous areas, which is crucial for radiometric mapping; the higher the level, the more restrictive the anomalies detected [41].
Displayed in yellow, the first threshold (μ + σ) captures the broadest anomalous areas, where values begin to deviate from the mean. These areas represent zones of interest with lower anomalous intensity. The second threshold (μ + 2 × σ), highlighted in orange, indicates a higher anomaly concentration. It focuses on regions with values significantly above the average and suggests areas with greater potential for mineral enrichment [59]. Finally, the third threshold (μ + 3 × σ) was colored red to highlight the most restrictive anomalies. These anomalies correspond to the highest concentrations of eTh and eU, particularly where uranium enrichment relative to thorium is also notable, providing insights into potential mineralization zones [60].
This sequential approach, in which the most restrictive thresholds adopt the most intense colors, aids in the identification of enrichment halos, which helps us to understand the areas with the most intense anomalies. By superimposing each threshold, it is possible to create a gradient that represents the spatial distribution of the anomalous concentrations in each region.
Figure 16A shows a map with all the thresholds overlaid by classes, according to the average and standard deviation. The mapped lithological contacts and magnetic lineaments were correlated to facilitate the interpretation of possible targets. In total, two targets were selected based on more restrictive radiometric anomalies of eU, eTh, and eU/eTh and represented by µ + 3 × σ. These targets are located at the geological contacts of the plutonic intrusion with the Iporá Granite (Target 1) and with the mylonitic gneisses (Target 2). Target 1 points to high concentrations of eTh and eU, while Target 2 suggests a depletion of eTh relative to eU, indicating a subtle enrichment of this radioelement. Figure 16B shows a block diagram with the prospective map associated with elevations and lithological contacts in the study area. The two selected targets (Figure 16C,D) are located on the mid-slope and at the lithological contact zones.
Target 1 was chosen as the main target because it is located near the contact between the plutonic intrusion and the Iporá Granite, suggesting an enrichment of eTh and eU by contact metasomatism, as the host rock has high concentrations of these radioelements and the intrusion has low concentrations.
An exploratory drill hole was carried out at Target 1 after detailed geochemical, geophysical, and geological surveys. The drill hole aimed to investigate the continuity in the depth of the rocks and surface geochemical anomalies (Figure 17). The hole intercepted a breccia, which was described as part of the Fazenda Buriti complex, containing fragments of pyroxenite in a matrix of syenitic composition with associated hydrothermal alteration.
The values of the chemical analysis results of the low atomic number elements of the lanthanide group were grouped as light rare-earth elements (LREEs), and those of the heavier elements were grouped as heavy rare-earth elements (HREEs). The values of the chemical analysis results of both the LREEs and HREEs were also grouped as the total rare-earth element (∑REE) sum.
The geochemical analysis results showed the presence of REE in the oxidation profile in a greater concentration, as well as the source rock, the alkaline breccia, with more pronounced values of LREEs throughout the hole (Figure 17). The values reached 19,629 ppm in the ∑REE sum in the superficial part of the hole and 3,560 ppm in the fresh rock. From depths of 0 to 8 m, the total weighted average showed 12,880 ppm of ∑REEs, 11,540 ppm of LREEs, and 1,340 ppm of HREEs in the oxidation profile.
It is possible to establish a relationship between the surface Th anomaly and the enrichment of ∑REE in the oxidation profile and fresh rock, as Th and U are associated with clays, silts, and oxides, and they concentrate in the alteration profile while K is leached [61], indicating the nature of the mineralization as supergene enrichment. The high values in the pyroxenite saprolite and hydrothermal breccia suggest the occurrence of primary mineralization in the fresh rock.

4.6. Mineralogical Results

Bulk and clay XRD analysis indicated that the two follow-up drill core samples (HG1 and HG2) consisted of goethite (49.5% and 38.8%), quartz (2.7% and 31.4%), goyazite (11.3% and 4.3%), monazite (5.7% and 5.1%), hematite (4.8% and 4.9%), and muscovite (3.5% and 1.9%), respectively, as well as minor amounts (<2%–3%) of boehmite, crandallite, anatase, and bixbyite (Table 7). Clay minerals include kaolinite (12.4% and 3.1%), montmorillonite (4.3% and 2.0%), and illite (nul and 1.7%) for samples HG1 and HG2, respectively.
Mineral abundance from the TIMA-X analysis was calculated in wt% by sample and HLS (heavy liquid separation) fraction and the calculated head samples (Table 8). Monazite (4.2% to 4.4%) is the primary REE mineral followed by Ce-Oxides. Niobates (pyrochlore, columbite) and Nb-rutile are present in minor amounts. The matrix of the samples consists of goethite (57.4% and 51.2%). Kaolinite is primarily present in HG1 and quartz in HG2. A summary of the modal mineralogy and the REE and Nb minerals from both samples can be found in Figure 18 and Figure 19. The presence of polycrystalline particles, which are comprised of Fe-oxides/hydroxides and clay-sized minerals, reflects the weathered nature of the samples. Other minerals in minor amounts are also present.
Monazite was the main REE mineral in both samples. Total REEs ranged from 34,746 ppm in HG1 to 30,017 ppm in HG2, with LREEs in its majority. Thus, it is possible to establish a link between the radiometric anomalies of the Th and U channels, identified in the targets of the prospective map, with the presence of monazite in the soil oxidation profiles. This accessory mineral may contain Th concentrations higher than 1,000 ppm, which directly influences the radiometric readings [59]. This distinct radiometric response helps in the identification of anomalies associated with possible REE deposits [19].

5. Conclusions

The interpretation of geophysical and geological data allowed for the definition of lithological contact zones, particularly those related to alkaline intrusion. The magnetometric data aided in the understanding of structures and magnetic bodies. The magnetic contrasts between the Iporá Granite and the Fazenda Buriti Complex helped to delineate the contact between these lithologies to the north of the study area. The Total Gradient contributed to the delineation of the Fazenda Buriti alkaline intrusions since the filter centralized the magnetic anomaly and highlighted its edges. As a contribution to the mapping of the region, the geological map contours of the Fazenda Buriti complex were updated. The band separation filter used in the mapping of primary and secondary structures proved to be effective, as seen in the depth values of the sources found in previous studies.
The petrophysical analysis of rock samples from the three main units in the study area allowed for the estimation of an average percentage of magnetite content and served as an initial characterization of the unit’s petrophysical signatures. The value of the average volume of magnetite found for gabbro–pyroxenites was 1.62%, in contrast to the value indicated for opaque minerals (11%) in the modal composition of the thin section. A later approach with a greater spatial distribution of samples can bring greater contributions to the characterization of these units.
Geochemical results performed on the drill cores showed the total sum of ∑REE of 19,629 ppm in the superficial part of the drill hole and 3,560 ppm in the fresh rock. The total weighted average, from 0 to 8 m, reached 12,880 ppm of ∑REE, 11,540 ppm of LREEs and 1,340 ppm of HREEs in the oxidation profile.
Mineralogical results indicate that monazite was the main REE mineral. Total REEs ranged from 34,746 ppm in HG1 to 30,017 ppm in HG2, with LREEs in its majority. The bulk and clay XRD analysis indicated that monazite consisted of 5.7% and 5.1% (HG1 and HG2, respectively). The mineral abundance from the TIMA-X analysis, calculated in wt% by sample and HLS fraction and the calculated head samples, indicated 4.2% (HG1) and 4.4% (HG2) in monazite content.
The delineation of targets with the applied method proved to be efficient and easy to apply to the study area since the positive geochemical result of the hole confirmed its effectiveness. However, the method must be tested and evaluated in different geological environments to further verify its effectiveness.

Author Contributions

Conceptualization, F.P.d.S. and M.H.L.-S.; Methodology, F.P.d.S., M.H.L.-S. and W.R.B.; Writing—Original Draft Preparation, F.P.d.S. and M.H.L.-S.; Writing—Local Geology and Mineralogical Results, F.P.d.S. and P.C.B.; Writing—Review and Editing, F.P.d.S., M.H.L.-S., W.R.B. and P.C.B.; Supervision, M.H.L.-S. and W.R.B.; Project Administration, F.P.d.S. and M.H.L.-S.; Funding Acquisition, M.H.L.-S. and W.R.B. All authors have read and agreed to the published version of the manuscript.

Funding

This study was financed in part by the Coordenação de Aperfeiçoamento de Pessoal de Nível Superior—Brazil (CAPES), process 23106.098384/2022-23.

Data Availability Statement

The datasets presented in this article are not readily available because they are the property of Appia Rare Earths & Uranium Corp. Requests to access the datasets should be directed to the company.

Acknowledgments

The authors would like to thank the mineral exploration company Appia Rare Earths & Uranium Corp. for providing the geological, geochemical, and mineralogical data and the financial support for this study. The authors would also like to thank Tassos Grammatikopoulos (SGS Canada Inc.) for providing the report, “The mineralogical characterization of two composite samples from the PCH REE Project, Brazil”.

Conflicts of Interest

The authors declare no conflicts of interest.

References

  1. Chakhmouradian, A.R.; Wall, F. Rare Earth Elements: Minerals, Mines, Magnets (and More). Elements 2012, 8, 333–340. [Google Scholar] [CrossRef]
  2. Voncken, J.H.L. The Rare Earth Elements; SpringerBriefs in Earth Sciences; Springer International Publishing: Cham, Switzerland, 2016; ISBN 978-3-319-26807-1. [Google Scholar]
  3. Takehara, L. Avaliação do Potencial de Terras Raras no Brasil; Série Minerais Estratégicos, Informe de Recursos Minerais; CPRM—Serviço Geológico do Brasil: Brasília, Brazil, 2015; Volume 2, ISBN 978-85-7499-278-5.
  4. Lapido-Loureiro, F.E. O Brasil e a Reglobalização Da Indústria Das Terras Raras; CETEM, MCTI: Rio de Janeiro, Brazil, 2013; ISBN 978-85-8261-001-5.
  5. U.S. Geological Survey. Mineral Commodity Summaries 2024; U.S. Geological Survey: Reston, VA, USA, 2024; 212p. [CrossRef]
  6. Gibson, S.; Thompson, R.; Leonardos, O.; Dickin, A.; Mitchell, J. The Late Cretaceous Impact of the Trindade Mantle Plume: Evidence from Large-Volume, Mafic, Potassic Magmatism in SE Brazil. J. Petrol. 1995, 36, 189–229. [Google Scholar] [CrossRef]
  7. de Moraes Rocha, L.G.; Pires, A.C.B.; Carmelo, A.C.; de Araújo Filho, J.O. Geophysical Characterization of the Azimuth 125° Lineament with Aeromagnetic Data: Contributions to the Geology of Central Brazil. Precambrian Res. 2014, 249, 273–287. [Google Scholar] [CrossRef]
  8. de Moraes Rocha, L.G.; Pires, A.C.B.; Carmelo, A.C.; Oksum, E. Curie Surface of the Alkaline Provinces of Goiás (GAP) and Alto Paranaíba (APAP), Central Brazil. J. Volcanol. Geotherm. Res. 2015, 297, 28–38. [Google Scholar] [CrossRef]
  9. Sgarbi, P.B.A.; Heaman, L.M.; Gaspar, J.C. U–Pb Perovskite Ages for Brazilian Kamafugitic Rocks: Further Support for a Temporal Link to a Mantle Plume Hotspot Track. J. S. Am. Earth Sci. 2004, 16, 715–724. [Google Scholar] [CrossRef]
  10. Ribeiro, C.C. Geologia, Geometalurgia, Controles e Gênese Dos Depósitos de Fósforo, Terras Raras e Titânio Do Complexo Carbonatítico Catalão I, GO. Ph.D. Thesis, Universidade de Brasília, Instituto de Geociência, Brasília, Brazil, 2008. [Google Scholar]
  11. Araújo, I. Gênese e Controles Da Mineralização Secundária de P, Ti e ETR No Complexo Alcalino Carbonatítico de Salitre, MG. Master’s Thesis, Universidade de Brasília, Brasília, Brazil, 2015. [Google Scholar]
  12. Gomide, C.S. Geoquímica e Química Mineral de Carbonatitos e Isótopos Estáveis Em Carbonatitos Da Província Ígnea Do Alto Paranaíba. Ph.D. Thesis, Universidade de Brasília, Brasília, Brazil, 2015. [Google Scholar]
  13. Radaelli, V.A. Níquel Do Morro Do Engenho—Estado de Goiás; Informe de Recursos Minerais Série Oportunidades Minerais—Exame Atualizado de Projeto, no 02; CPRM: Goiânia, Brasil, 2000; p. 10. [Google Scholar]
  14. Radaelli, V.A. Níquel de Santa Fé—Estado de Goiás; Informe de Recursos Minerais Série Oportunidades Minerais—Exame Atualizado de Projeto, no 01; CPRM: Goiânia, Brasil, 2000; p. 10. [Google Scholar]
  15. Feitoza, L.M.; Carmelo, A.C.; Pires, A.C.B.; Huelsen, M.G.V.; de Freitas, M.E. Assinatura Geofísica Dos Complexos Alcalinos Fazenda Buriti e Arenópolis, Porção Norte Da Província Alcalina de Goiás. In Proceedings of the 12th International Congress of the Brazilian Geophysical Society & EXPOGEF, Rio de Janeiro, Brazil, 15–18 August 2011; SEG Global Meeting Abstracts. Brazilian Geophysical Society: Rio de Janeiro, Brazil, 2011; pp. 682–690. [Google Scholar] [CrossRef]
  16. Dutra, A.C.; Marangoni, Y.R.; Trindade, R.I.F. Aeromagnetic and Physical-Chemical Properties of Some Complexes from Goiás Alkaline Province. Braz. J. Geol. 2014, 44, 361–373. [Google Scholar] [CrossRef]
  17. Marangoni, Y.R.; Zhang, H.; Ferreira, H.J. Gravity and Magnetic Integrated Data Interpretation of the Corrégo Dos Bois Complex, Goiás Alkaline Province, Central Brazil. Rev. Bras. Geof. 2016, 33, 599–610. [Google Scholar] [CrossRef]
  18. Martins, E.S.F.; Vidotti, R.M. Another Way of Looking at an Alkaline Province. J. Geodyn. 2021, 143, 101811. [Google Scholar] [CrossRef]
  19. Dentith, M.C.; Mudge, S.T. Geophysics for the Mineral Exploration Geoscientist; Cambridge University Press: Cambridge, UK, 2014; ISBN 978-0-521-80951-1. [Google Scholar]
  20. McCafferty, A.E.; Stoeser, D.B.; Van Gosen, B.S. Geophysical Interpretation of U, Th, and Rare Earth Element Mineralization of the Bokan Mountain Peralkaline Granite Complex, Prince of Wales Island, Southeast Alaska. Interpretation 2014, 2, SJ47–SJ63. [Google Scholar] [CrossRef]
  21. Shah, A.K.; Bern, C.R.; Van Gosen, B.S.; Daniels, D.L.; Benzel, W.M.; Budahn, J.R.; Ellefsen, K.J.; Karst, A.; Davis, R. Rare Earth Mineral Potential in the Southeastern U.S. Coastal Plain from Integrated Geophysical, Geochemical, and Geological Approaches. Geol. Soc. Am. Bull. 2017, 129, 1140–1157. [Google Scholar] [CrossRef]
  22. Verplanck, P.L.; Van Gosen, B.S.; Seal II, R.R.; McCafferty, A.E. A Deposit Model for Carbonatite and Peralkaline Intrusion-Related Rare Earth Element Deposits; U.S. Geological Survey Scientific Investigations Report 2010-5070-J; U.S. Geological Survey: Reston, VA, USA, 2014; p. 72.
  23. Orris, G.J.; Grauch, R.I. Rare Earth Element Mines, Deposits, and Occurrences; Open-File Report 02-189; U.S. Geological Survey: Reston, VA, USA, 2002.
  24. Almeida, F.F.M.; Hasui, Y. Províncias Estruturais Brasileiras. In Atas do VIII Simpósio de Geologia do Nordeste, Campina Grande, Brazil, 1977; Sociedade Brasileira de Geologia—Núcleo Nordeste: Recife, Brazil, 1977; Volume 1, pp. 363–392. [Google Scholar]
  25. Almeida, F.F.M. Relações Tectônicas Das Rochas Alcalinas Mesozóicas Da Região Meridional Da Plataforma Sul-Americana. Rev. Bras. Geociências 1983, 13, 139–158. [Google Scholar] [CrossRef]
  26. Almeida, F.F.M. Distribuição Regional e Relações Tectônicas Do Magmatismo Pós-Paleozóico No Brasil. Rev. Bras. Geociências 1986, 16, 325–349. [Google Scholar] [CrossRef]
  27. Pimentel, M.M.; Fuck, R.A.; Botelho, N.F. Granites and the Geodynamic History of the Neoproterozoic Brasília Belt, Central Brazil: A Review. Lithos 1999, 46, 463–483. [Google Scholar] [CrossRef]
  28. Moura, C.O. de Geologia Do Sudoeste Do Estado de Goiás: Integração de Dados Geológicos e Aerogeofísicos de Alta Densidade. Master’s Thesis, Universidade de Brasília, Instituto de Geociência, Brasília, Brazil, 2007. [Google Scholar]
  29. Pimentel, M.M. The Tectonic Evolution of the Neoproterozoic Brasília Belt, Central Brazil: A Geochronological and Isotopic Approach. Braz. J. Geol. 2016, 46, 67–82. [Google Scholar] [CrossRef]
  30. Fuck, R.; Pimentel, M.; D’el-Rey Silva, L.J. Compartimentação Tectônica Na Porção Oriental Da Província Tocantins. In Congresso Brasileiro de Geologia; SBG Balneário Camboriú: Balneario Camboriu, Brazil, 1994; Volume 38, pp. 215–217. [Google Scholar]
  31. Pimentel, M.M.; Fuck, R.A.; Jost, H.; Ferreira Filho, C.F.; Araújo, S.M. The Basement of the Brasília Fold Belt and the Goiás Magmatic Arc. In Tectonic Evolution of South America; Cordani, U.G., Milani, E.J., Thomaz Filho, A., Campos, D.A., Eds.; 31st International Geological Congress: Rio de Janeiro, Brazil, 2000; pp. 195–229. Available online: https://www.researchgate.net/publication/284312910_The_basement_of_the_Brasilia_Fold_Belt_and_the_Goias_Magmatic_Arc (accessed on 28 September 2024).
  32. Pimentel, M.M.; Fuck, R.A. Neoproterozoic Crustal Accretion in Central Brazil. Geology 1992, 20, 375–379. [Google Scholar] [CrossRef]
  33. Cordani, U.G.; Pimentel, M.M.; Ganade De Araujo, C.E.; Basei, M.A.S.; Fuck, R.A.; Girardi, V.A.V. Was There an Ediacaran Clymene Ocean in Central South America? Am. J. Sci. 2013, 313, 517–539. [Google Scholar] [CrossRef]
  34. Junqueira-Brod, T.C.; Roig, H.L.; Gaspar, J.C.; Brod, J.A.; Meneses, P.R. A Província Alcalina de Goiás e a Extensão Do Seu Vulcanismo Kamafugítico. RBG 2002, 32, 559–566. [Google Scholar] [CrossRef]
  35. Junqueira-Brod, T.C.; Brod, J.A.; Gaspar, J.C.; Jost, H. Kamafugitic Diatremes: Facies Characterisation and Genesis—Examples from the Goiás Alkaline Province, Brazil. Lithos 2004, 76, 261–282. [Google Scholar] [CrossRef]
  36. Junqueira-Brod, T.C.; Gaspar, J.C.; Brod, J.A.; Jost, H.; Barbosa, E.S.R.; Kafino, C.V. Emplacement of Kamafugite Lavas from the Goiás Alkaline Province, Brazil: Constraints from Whole-Rock Simulations. J. S. Am. Earth Sci. 2005, 18, 323–335. [Google Scholar] [CrossRef]
  37. Carlson, R.W.; Araujo, A.L.N.; Junqueira-Brod, T.C.; Gaspar, J.C.; Brod, J.A.; Petrinovic, I.A.; Hollanda, M.H.B.M.; Pimentel, M.M.; Sichel, S. Chemical and Isotopic Relationships between Peridotite Xenoliths and Mafic–Ultrapotassic Rocks from Southern Brazil. Chem. Geol. 2007, 242, 415–434. [Google Scholar] [CrossRef]
  38. SGB—Serviço Geológico do Brasil. Levantamento Aerogeofísico do Estado de Goiás—1ª Etapa: Arco Magmático de Arenópolis, Complexo Anápolis-Itauçu, Seqüência Vulcano-Sedimentar de Juscelândia: Relatório Final do Levantamento e Processamento dos Dados Magnetométricos e Gamaespectrométricos; Lasa Engenharia e Prospecções: Rio de Janeiro, Brazil, 2004. [Google Scholar]
  39. ASF DAAC. PALSAR Radiometrically Terrain-Corrected Low-Resolution Dataset; Alaska Satellite Facility: Fairbanks, AK, USA, 2014. Available online: https://catalog.data.gov/dataset/alos-palsar-rtc-low-res (accessed on 29 November 2020).
  40. Feitoza, L.M. Assinatura Geofísica Das Rochas Alcalinas Da Porção Norte Da Província Alcalina de Góias. Master’s Thesis, Universidade de Brasília, Instituto de Geociência Aplicadas, Brasília, Brazil, 2011. [Google Scholar]
  41. IAEA Guidelines for Radioelement Mapping Using Gamma Ray Spectrometry Data; International Atomic Energy Agency: Vienna, Austria, 2003; ISBN 978-92-0-108303-6.
  42. Kearey, P.; Brooks, M.; Hill, I. An Introduction to Geophysical Exploration, 3rd ed.; Blackwell Science: Malden, MA, USA, 2002; ISBN 978-0-632-04929-5. [Google Scholar]
  43. Blum, M.d.L.B. Processamento E Interpretação De Dados De Geofísica Aérea No Brasil Central E Sua Aplicação À Geologia Regional E À Prospecção Mineral. Ph.D. Thesis, Universidade de Brasília, Instituto de Geociência, Brasília, Brazil, 1999. [Google Scholar]
  44. Nabighian, M.N. The analytic signal of two-dimensional magnetic bodies with polygonal cross-section: Its properties and use for automated anomaly interpretation. Geophysics 1972, 37, 507–517. [Google Scholar] [CrossRef]
  45. Li, X. Understanding 3D Analytic Signal Amplitude. Geophysics 2006, 71, L13–L16. [Google Scholar] [CrossRef]
  46. Miller, H.G.; Singh, V. Potential Field Tilt—A New Concept for Location of Potential Field Sources. J. Appl. Geophys. 1994, 32, 213–217. [Google Scholar] [CrossRef]
  47. Ellis, R.G.; de Wet, B.; Macleod, I.N. Inversion of Magnetic Data from Remanent and Induced Sources. ASEG Ext. Abstr. 2012, 2012, 1–4. [Google Scholar] [CrossRef]
  48. Cowan, D.R.; Cowan, S. Separation Filtering Applied to Aeromagnetic Data. Explor. Geophys. 1993, 24, 429–436. [Google Scholar] [CrossRef]
  49. Cowan, D.; Dentith, M. Appendix: Data Processing and Presentation. ASEG Ext. Abstr. 2003, 2003, 283–292. [Google Scholar] [CrossRef]
  50. Efimov, A.V. Multiplikativnyj Pokazatel Dlja Vydelenija Endogennych Rud Po Aerogamma–Spektrometriceskim Dannym. In Metody Rudnoj Geofiziki; Naucno-proizvodstvennoje objedinenie geofizika: Leningrad, Russia, 1978. [Google Scholar]
  51. Gnojek, I.; Přichystal, A. A New Zinc Mineralization Detected by Airborne Gamma-Ray Spectrometry in Northern Moravia (Czechoslovakia). Geoexploration 1985, 23, 491–502. [Google Scholar] [CrossRef]
  52. Rose, A.W.; Hawkes, H.E.; Webb, J.S.; Hawkes, H.E. Geochemistry in Mineral Exploration, 2nd ed.; Academic Press: London, UK; New York, NY, USA, 1979; ISBN 978-0-12-596252-0. [Google Scholar]
  53. Bonham-Carter, G. Geographic Information Systems for Geoscientists: Modelling with GIS, 1st ed.; Computer Methods in the Geosciences; Pergamon: Oxford, UK; New York, NY, USA, 1994; ISBN 978-0-08-041867-4. [Google Scholar]
  54. Salles, R.d.R. Depósito Metamórfico-Hidrotermal de U-ETR Mary Kathleen, Noroeste de Queensland, Austrália = Uma Investigação Baseada Em Assinaturas Hiperespectrais e Aeroradiométricas. Ph.D. Thesis, Universidade Estadual de Campinas, Campinas, SP, Brazil, 2010. [Google Scholar]
  55. Reeves, C. Aeromagnetic Surveys: Principles, Practice and Interpretation; Geosoft: Washington, DC, USA, 2005. [Google Scholar]
  56. Cerqueira, M.R.S. Geologia e Evolução Petrológica Do Complexo Alcalino Fazenda Buriti, Iporá/GO; Universidade de Brasília, Instituto de Geociência: Brasília, Brazil, 1995. [Google Scholar]
  57. Souza, J.O.; Gollmann, K. Carta Geológica-Geofísica: Folha SE.22-V-B-III Iporá—Escala 1:100.000; Projeto Oeste de Goiás; CPRM: Goiânia, Brasil, 2020. [Google Scholar]
  58. Isles, D.J.; Rankin, L.R. Geological Interpretation of Aeromagnetic Data; Australian Society of Exploration Geophysicists: Perth, Australia, 2013; ISBN 978-0-643-09809-1. [Google Scholar]
  59. Dickson, B.; Scott, K. Interpretation of Aerial Gamma-Ray Surveys—Adding the Geochemical Factors. AGSO J. Aust. Geol. Geophys. 1997, 17, 187–199. [Google Scholar]
  60. Minty, B. Fundamentals of Airborne Gamma-Ray Spectrometry. AGSO J. Aust. Geol. Geophys. 1997, 17, 39–50. [Google Scholar]
  61. Wilford, J.R.; Bierwirth, P.N.; Craig, M.A. Application of Airborne Gamma-Ray Spectrometry in Soil/Regolith Mapping and Applied Geomorphology. AGSO J. Aust. Geol. Geophys. 1997, 17, 201–216. [Google Scholar]
Figure 1. Map of Southern Brazil showing the main occurrences of alkaline rocks and the location of the study area (red dot). Detail for the metamorphic belts represented by BB (Brasília) and RB (Ribeira) (modified from [3]).
Figure 1. Map of Southern Brazil showing the main occurrences of alkaline rocks and the location of the study area (red dot). Detail for the metamorphic belts represented by BB (Brasília) and RB (Ribeira) (modified from [3]).
Minerals 14 01163 g001
Figure 3. Goiás Alkaline Province (GAP) with the study area marked by the green polygon. Location of GAP in the Tocantins Province (modified from [34]).
Figure 3. Goiás Alkaline Province (GAP) with the study area marked by the green polygon. Location of GAP in the Tocantins Province (modified from [34]).
Minerals 14 01163 g003
Figure 5. Map of the geophysical and geological units of the Fazenda Buriti Alkaline Complex containing the location of rock samples collected, interpreted magnetic lineaments and integration of the data used to produce the map. Previous works in [40].
Figure 5. Map of the geophysical and geological units of the Fazenda Buriti Alkaline Complex containing the location of rock samples collected, interpreted magnetic lineaments and integration of the data used to produce the map. Previous works in [40].
Minerals 14 01163 g005
Figure 6. (A): In situ outcrops on a rock ledge at the margins of drainage with granitic gneiss. (B): Sigmoidal porphyroblasts of plagioclase rotated in granitic gneiss. (C): Metagranite outcrop intruded by a centimetric mafic alkaline dike with NW-SE direction. (D): Mylonite sample.
Figure 6. (A): In situ outcrops on a rock ledge at the margins of drainage with granitic gneiss. (B): Sigmoidal porphyroblasts of plagioclase rotated in granitic gneiss. (C): Metagranite outcrop intruded by a centimetric mafic alkaline dike with NW-SE direction. (D): Mylonite sample.
Minerals 14 01163 g006
Figure 7. (A,B): Decametric and metric boulders and blocks of granitic rock. (C): Granite outcrop with the intrusion of an alkaline mafic porphyritic dike. The red dashed line marks the contact between the dike and the granite. (D): Hand sample of porphyritic granite composed of very coarse phenocrysts of potassium feldspar inserted in a medium grain equigranular matrix with quartz, plagioclase, biotite, and magnetite.
Figure 7. (A,B): Decametric and metric boulders and blocks of granitic rock. (C): Granite outcrop with the intrusion of an alkaline mafic porphyritic dike. The red dashed line marks the contact between the dike and the granite. (D): Hand sample of porphyritic granite composed of very coarse phenocrysts of potassium feldspar inserted in a medium grain equigranular matrix with quartz, plagioclase, biotite, and magnetite.
Minerals 14 01163 g007
Figure 8. (AC): Decametric blocks and boulders of sandstones outcropping from the Furnas Formation showing preserved sedimentary structures. (D): well-selected fine-grained cream sandstone block—hand specimen.
Figure 8. (AC): Decametric blocks and boulders of sandstones outcropping from the Furnas Formation showing preserved sedimentary structures. (D): well-selected fine-grained cream sandstone block—hand specimen.
Minerals 14 01163 g008
Figure 9. (A): Outcrop with metric alkaline gabbro blocks in the meadow. (B): Medium-grained pyroxenite hand sample composed essentially of clinopyroxene, magnetite, olivine, and plagioclase. (C): Outcrop with alkaline breccia formed by fragments of pyroxenite/gabbro and syenite matrix. (D): Syenite sample found in a decametric “pocket” in the middle of alkaline gabbro.
Figure 9. (A): Outcrop with metric alkaline gabbro blocks in the meadow. (B): Medium-grained pyroxenite hand sample composed essentially of clinopyroxene, magnetite, olivine, and plagioclase. (C): Outcrop with alkaline breccia formed by fragments of pyroxenite/gabbro and syenite matrix. (D): Syenite sample found in a decametric “pocket” in the middle of alkaline gabbro.
Minerals 14 01163 g009
Figure 10. (A): Thin section—Pyroxenite formed by fractured and zoned phenocrysts of augite, biotite, and opaque minerals in the interstices and as inclusions. A 25× magnification with parallel polarizers. (B): Same thin section as A but with crossed polarizers. Op = opaque mineral, Aug = augite, Bt = biotite.
Figure 10. (A): Thin section—Pyroxenite formed by fractured and zoned phenocrysts of augite, biotite, and opaque minerals in the interstices and as inclusions. A 25× magnification with parallel polarizers. (B): Same thin section as A but with crossed polarizers. Op = opaque mineral, Aug = augite, Bt = biotite.
Minerals 14 01163 g010
Figure 11. (A): Blocks with microsyenite. (B): Sample of porphyritic microsyenite with a grayish color.
Figure 11. (A): Blocks with microsyenite. (B): Sample of porphyritic microsyenite with a grayish color.
Minerals 14 01163 g011
Figure 12. Box plot for the petrophysical data of magnetic susceptibility and radioelements Potassium, Thorium, and Uranium recorded in rock samples.
Figure 12. Box plot for the petrophysical data of magnetic susceptibility and radioelements Potassium, Thorium, and Uranium recorded in rock samples.
Minerals 14 01163 g012
Figure 13. Magnetic maps, interpreted magnetic lineaments, and drainage. (A): Inclination of Total Gradient Amplitude (ITGA). (B): Block diagram with 3.5 times vertical exaggerations, with the Total Gradient (TG) associated with elevations. (C): First horizontal derivative in the X direction (dX). (D): First horizontal derivative in the Y direction (dY). (E): First Vertical derivative (dZ). Elevation [39].
Figure 13. Magnetic maps, interpreted magnetic lineaments, and drainage. (A): Inclination of Total Gradient Amplitude (ITGA). (B): Block diagram with 3.5 times vertical exaggerations, with the Total Gradient (TG) associated with elevations. (C): First horizontal derivative in the X direction (dX). (D): First horizontal derivative in the Y direction (dY). (E): First Vertical derivative (dZ). Elevation [39].
Minerals 14 01163 g013
Figure 15. Flowchart for integrating eU, eTh, and eU/eTh anomalies using the arithmetic average (μ) and standard deviation (σ) for the first threshold (μ + 1 × σ), second threshold (μ + 2 × σ), and third threshold (μ + 3 × σ). Arrows indicate the direction of overlay on the prospective map.
Figure 15. Flowchart for integrating eU, eTh, and eU/eTh anomalies using the arithmetic average (μ) and standard deviation (σ) for the first threshold (μ + 1 × σ), second threshold (μ + 2 × σ), and third threshold (μ + 3 × σ). Arrows indicate the direction of overlay on the prospective map.
Minerals 14 01163 g015
Figure 16. (A): Radiometric anomalies were selected based on the average (µ) plus one standard deviation (σ), indicating targets and the location of the drill hole. (B): Block diagram with the selected anomalies over the relief. (C): Target 1. (D): Target 2. Altitude data [39].
Figure 16. (A): Radiometric anomalies were selected based on the average (µ) plus one standard deviation (σ), indicating targets and the location of the drill hole. (B): Block diagram with the selected anomalies over the relief. (C): Target 1. (D): Target 2. Altitude data [39].
Minerals 14 01163 g016
Figure 17. Drill hole log, total sum of rare-earth elements (∑REEs) in ppm (parts per million), light rare-earth elements (LREEs) sum in ppm, and heavy rare-earth elements (HREEs) sum in ppm.
Figure 17. Drill hole log, total sum of rare-earth elements (∑REEs) in ppm (parts per million), light rare-earth elements (LREEs) sum in ppm, and heavy rare-earth elements (HREEs) sum in ppm.
Minerals 14 01163 g017
Figure 18. Summary of modal mineralogy of the samples HG1 and HG2.
Figure 18. Summary of modal mineralogy of the samples HG1 and HG2.
Minerals 14 01163 g018
Figure 19. Summary of REE and Nb minerals of the samples HG1 and HG2.
Figure 19. Summary of REE and Nb minerals of the samples HG1 and HG2.
Minerals 14 01163 g019
Table 1. Main Brazilian rare-earth deposits classified according to type of occurrence [3].
Table 1. Main Brazilian rare-earth deposits classified according to type of occurrence [3].
AssociationTypesExamples
PrimaryCarbonatiteMagmatics/Veins and StockworksAraxá (MG), Catalão (GO), Seis Lagos (AM)
Peralkaline rocks undersaturated in silicaPlutons/stocks and dikesRepartimento (RR), Morro do Ferro (MG)
Granite rocksDifferentiated granitesPitinga (AM), Serra Dourada (GO), Granitos Rondonianos (RO)
SecondaryMarine placerSedimentaryBuena (RJ), Guarapari (ES), Cumuruxativa (BA)
River placerSedimentarySão Gonçalo do Sapucaí (MG), Pitinga (AM)
Clays with adsorbed ionsLaterite profileSerra Dourada (GO)
Table 2. World mine production and reserves of rare-earth elements in tons [5].
Table 2. World mine production and reserves of rare-earth elements in tons [5].
Mine ProductionsReserves
20222023
United States42,00043,0001,800,000
Australia18,00018,0005,700,000
Brazil808021,000,000
Myanmar12,00038,000NA
Canada830,000
China210,000240,00044,000,000
Greenland1,500,000
India290029006,900,000
Madagascar960960NA
Malaysia8080NA
Russia2600260010,000,000
South Africa790,000
Tanzania890,000
Thailand710071004500
Vietnam120060022,000,000
World total (rounded)300,000350,000110,000,000
Table 4. Samples collected in the drilled hole and lithological description.
Table 4. Samples collected in the drilled hole and lithological description.
Depth (m)Lithological DescriptionSamples
1 to 8Soil—oxidation profile7
8 to 18Brecciated pyroxenite saprolite11
18 to 20Altered brecciated pyroxenite2
20 to 22Brecciated pyroxenite saprolite2
22 to 38Brecciated pyroxenite16
38 to 39Breccia with massive sulphite level1
39 to 45Hydrothermal breccia with pyroxenite fragment6
45 to 51Brecciated pyroxenite6
51 to 73Hydrothermal breccia with pyroxenite fragment22
73 to 90Brecciated pyroxenite17
90 to 98Hydrothermal breccia with pyroxenite fragment8
98 to 99Brecciated pyroxenite1
99 to 100Pyroxenite1
Total samples100
Table 5. Minimum (Min), Maximum (Max), and Average (µ) values of the radioelements Potassium (K), Equivalent concentrations of Thorium (eTh) and Uranium (eU) for each rock type in the study area, extracted from airborne data. Average values are marked with warm colors for higher values and cool colors for lower values.
Table 5. Minimum (Min), Maximum (Max), and Average (µ) values of the radioelements Potassium (K), Equivalent concentrations of Thorium (eTh) and Uranium (eU) for each rock type in the study area, extracted from airborne data. Average values are marked with warm colors for higher values and cool colors for lower values.
LithologyK (%)eTh (ppm)eU (ppm)
MinMaxµMinMaxµMinMaxµ
Sandstone0.043.20.8640170.85.82.8
Trachyte, Syenite0.92.01.51726202.14.73.0
Detrital-lateritic cover0.91.71.21828243.75.54.8
Microsyenite0.43.82.11030181.84.33.0
Gabbro, Pyroxenite0.013.90.6349160.56.92.5
Nepheline Syenite0.43.11.41841322.36.55.0
Iporá Granite0.024.31.71558281.78.85.0
Mylonitic gneisses0.22.81.4328110.04.91.9
Volcanic breccia1.83.02.42250352.03.22.6
Hydrothermal alteration zone1.82.62.24653504.06.45.3
Table 6. Average (µ) and standard deviation (σ) values used in the selection of prospective targets.
Table 6. Average (µ) and standard deviation (σ) values used in the selection of prospective targets.
Layersµσµ + 1 × σµ + 2 × σµ + 3 × σ
eU ppm3.591.705.296.998.69
eTh ppm20.789.1729.9639.1348.31
eU/eTh ratio0.180.050.230.270.32
Table 7. XRD results for the HG1 and HG2.
Table 7. XRD results for the HG1 and HG2.
MineralHG1HG2
Goethite49.538.8
Quartz2.731.4
Goyazite11.34.3
Monazite5.75.1
Hematite4.84.9
Muscovite3.51.9
Boehmite1.71.8
Crandallite1.71.6
Anatase0.92.3
Bixbyite1.51.1
Clay
Kaolinite12.43.1
Montmorillonite4.32.0
Illite-1.7
Total100100
Table 8. Calculated head (wt%) modal abundance of the composites.
Table 8. Calculated head (wt%) modal abundance of the composites.
SampleHG1HG2HG1 (HLS)HG2 (HLS)
FractionHeadHeadCombinedSinkFloatCombined Sink Float
SampleSampleSampleSampleFractionSampleFractionSampleSampleFractionSampleFraction
Mass100.0100.0100.087.112.9100.057.442.6
Niobates0.300.060.610.540.620.070.540.060.050.090.010.01
Nb-rutile0.350.350.710.650.750.060.460.420.360.620.070.16
Monazite4.214.365.855.446.250.403.144.542.594.521.954.57
Ce Oxide0.210.180.280.260.300.020.120.160.090.160.070.17
Crandallite (Fe)3.203.103.903.403.910.503.862.431.272.211.162.73
Goyazite5.982.419.777.338.422.4318.94.661.081.883.588.41
Other REM0.000.000.000.000.000.000.000.000.000.000.000.00
Zircon0.010.020.050.050.050.000.010.020.010.020.000.01
Fe oxides0.000.010.000.000.000.000.000.010.010.010.000.00
Goethite57.451.256.853.361.23.5627.647.538.366.79.2021.6
Rutile0.640.650.970.870.990.100.810.950.771.350.180.41
Ilmenite0.563.790.770.690.800.080.614.243.746.510.501.18
Mn-(Fe)-(Ba)-Oxides2.151.143.483.153.610.332.553.213.065.330.150.35
Apatite0.000.010.000.000.0000.000.010.000.010.010.02
Amphibole/Pyroxene0.020.020.020.010.020.010.060.010.010.010.010.01
Quartz0.2722.20.550.140.160.423.2227.34.087.1123.354.6
Feldspars0.360.340.620.300.350.322.470.460.030.050.431.01
Fe-Ox/Smectites7.395.684.483.874.450.604.671.600.811.420.781.84
Biotite2.851.442.621.731.980.896.890.730.310.540.420.98
Kaolinite13.52.567.564.615.292.9522.90.870.360.630.511.20
Muscovite0.060.130.070.030.040.040.290.100.020.030.080.20
Other silicates0.020.040.010.010.010.000.030.070.040.080.030.06
Barite0.030.010.030.020.030.000.020.020.010.020.010.01
Sulphides0.000.000.010.000.010.000.000.000.000.000.000.00
Gibbsite0.030.030.020.010.010.010.060.020.000.000.010.03
Other0.470.330.800.700.800.110.820.580.410.720.170.40
Total100.0100.0100.087.1100.012.9100.0100.057.4100.042.6100.0
Disclaimer/Publisher’s Note: The statements, opinions and data contained in all publications are solely those of the individual author(s) and contributor(s) and not of MDPI and/or the editor(s). MDPI and/or the editor(s) disclaim responsibility for any injury to people or property resulting from any ideas, methods, instructions or products referred to in the content.

Share and Cite

MDPI and ACS Style

dos Santos, F.P.; Leão-Santos, M.H.; Borges, W.R.; Borges, P.C. Geophysical Methods Applied to the Mineralization Discovery of Rare-Earth Elements at the Fazenda Buriti Alkaline Complex, Goiás Alkaline Province, Brazil. Minerals 2024, 14, 1163. https://doi.org/10.3390/min14111163

AMA Style

dos Santos FP, Leão-Santos MH, Borges WR, Borges PC. Geophysical Methods Applied to the Mineralization Discovery of Rare-Earth Elements at the Fazenda Buriti Alkaline Complex, Goiás Alkaline Province, Brazil. Minerals. 2024; 14(11):1163. https://doi.org/10.3390/min14111163

Chicago/Turabian Style

dos Santos, Fabrício Pereira, Marcelo Henrique Leão-Santos, Welitom Rodrigues Borges, and Patrícia Caixeta Borges. 2024. "Geophysical Methods Applied to the Mineralization Discovery of Rare-Earth Elements at the Fazenda Buriti Alkaline Complex, Goiás Alkaline Province, Brazil" Minerals 14, no. 11: 1163. https://doi.org/10.3390/min14111163

APA Style

dos Santos, F. P., Leão-Santos, M. H., Borges, W. R., & Borges, P. C. (2024). Geophysical Methods Applied to the Mineralization Discovery of Rare-Earth Elements at the Fazenda Buriti Alkaline Complex, Goiás Alkaline Province, Brazil. Minerals, 14(11), 1163. https://doi.org/10.3390/min14111163

Note that from the first issue of 2016, this journal uses article numbers instead of page numbers. See further details here.

Article Metrics

Back to TopTop