Next Article in Journal
Adsorption of Ciprofloxacin and Lidocaine by Non-Fibrous Raw Mg-Clays: The Role of Composition and Texture
Next Article in Special Issue
Influence of Particle Size on Flotation Separation of Ilmenite and Forsterite
Previous Article in Journal
Study on the Rheological and Thixotropic Properties of Fiber-Reinforced Cemented Paste Backfill Containing Blast Furnace Slag
Previous Article in Special Issue
New Insights into the Depressive Mechanism of Sodium Silicate on Bastnaesite, Parisite, and Fluorite: Experimental and DFT Study
 
 
Font Type:
Arial Georgia Verdana
Font Size:
Aa Aa Aa
Line Spacing:
Column Width:
Background:
Review

Review on the Challenges of Magnesium Removal in Nickel Sulfide Ore Flotation and Advances in Serpentinite Depressor

1
School of Minerals Processing and Bioengineering, Central South University, Changsha 410083, China
2
School of Marxism, Central South University, Changsha 410083, China
3
National Key Laboratory for the Development and Comprehensive Utilization of Nickel-Cobalt Associated Resources, Jinchang 620302, China
4
Centre for Minerals Research, University of Cape Town, Cape Town 7700, South Africa
*
Author to whom correspondence should be addressed.
Minerals 2024, 14(10), 965; https://doi.org/10.3390/min14100965
Submission received: 24 August 2024 / Revised: 12 September 2024 / Accepted: 20 September 2024 / Published: 25 September 2024

Abstract

Nickel is an important raw metal material in industry, which has been identified as a strategic mineral resource by the Chinese Ministry of Land and Resources. Nickel sulfide ore accounts for 40% of all nickel ores worldwide. However, magnesium silicate gangue minerals in sulfide nickel ores, particularly serpentine, pose significant challenges to the flotation of nickel sulfide ores. The presence of magnesium silicate gangue leads to a series of issues, including increased energy consumption in subsequent smelting processes, accelerated equipment wastage, and increased SO2 emissions, which severely impact the comprehensive utilization of nickel resources in sulfide nickel ores. In this regard, flotation depressants are the most direct and effective method to reduce adverse influences caused by magnesium silicate gangue in the flotation of nickel sulfide ore concentrate. Based on the characteristics of the typical magnesium-containing nickel sulfide ore, this review illustrates the difficulties of the depression of magnesium silicate gangue during the flotation of nickel sulfide ore and gives an overview of the common depressants from six aspects (chelation depressants, dispersion depressants, flocculation depressants, depressants for grinding, depressants for slurry adjustment and combination depressants). Each section summarizes the relevant depression mechanisms and analyzes the advantages and disadvantages of various reagents, providing a reference for designing depressants specifically targeting serpentine.

1. Introduction

Due to its excellent ductility, chemical stability and mechanical strength, nickel is widely used in stainless steel, electroplating, chemistry and other fields [1]. Currently, the important role of nickel resources in global development is becoming increasingly prominent, and nickel resources have been clearly identified as strategic mineral resources by different countries such as China, Japan, United States and across the European Union. According to reports from the United States Geological Survey (USGS), as of 2022, globally identified nickel reserves have exceeded 100 million tons, with a year-on-year growth rate of approximately 5.26% [2]. However, the rapid industrialization and the growing demand for electronic battery manufacturing have significantly increased global nickel consumption, meaning that the available primary nickel resources will soon be insufficient to meet demand. As a result, the current nickel supply chain is diversifying, with a focus on low-grade nickel resources that were previously considered economically unviable [3].
The extraction process of nickel from nickel sulfide ore is economically simple, and as a result, nickel sulfide ore is the major source of nickel resources worldwide [4]. Due to the scarcity and rapid depletion of high-grade nickel sulfide deposits, the majority of raw materials in the field of mineral processing are low-grade nickel sulfide ores containing large amounts of gangue minerals. Among these gangue minerals, due to the mineral phase transition of olivine and pyroxene, the content of typical magnesium silicate gangue minerals (such as serpentine, talc, chlorite, etc.) accounts for more than 70% [5], which are intergrown with pentlandite (the primary nickel-bearing mineral in nickel sulfide ore) and require fine grinding for monomer dissociation [6,7]. However, due to a low Mohs hardness (<2.5), magnesium silicate gangue minerals are easily decomposed into ultrafine particles (approximately smaller than 10 µm) during fine grinding. Ultrafine magnesium silicate gangue particles interfere with the enrichment of nickel concentrate and also lead to a series of subsequent problems: increased energy consumption in concentrate smelting, greater equipment wear, increased sulfur dioxide emissions, and increased difficulty in slag phase separation, severely affecting the production of nickel production [8]. Figure 1 presents a temporal co-occurrence analysis of keywords related to “pentlandite flotation” generated using Citespace software based on 500 papers retrieved from the Web of Science database. Sulfide minerals remain a key research focus, with a significant proportion of studies still dedicated to the flotation separation of serpentine, the primary gangue mineral in sulfide ores.
Based on the above, the depression of magnesium silicate gangue during the flotation of nickel sulfide ores represents a widespread challenge in the global development of nickel resources and a longstanding issue that the international nickel industry has been striving to resolve.

2. Mechanism of Magnesium Silicate Gangue Interference in Nickel Sulfide Flotation

The coexisting magnesium silicate gangue minerals in the interstices of nickel sulfide ore crystals are diverse, but the most abundant gangues are talc and serpentine. During the actual flotation process, talc can be removed using pre-flotation or with the addition of gum guar in conventional flotation. However, the particle size of serpentine is finer and the intergrowth relationship with pentlandite is more complex, making it difficult to remove effectively. Meanwhile, the magnesium content of serpentine is higher and the grade of MgO could reach up to 43% in its theoretical composition, which is one of the main factors causing a high magnesium content in nickel concentrates. Therefore, achieving the effective depression of serpentine from pentlandite is crucial for the flotation of nickel sulfide ore.
Currently, through analysis of the differences in structure, floatability and the interactions in flotation between pentlandite and serpentine, the challenges in the depression of serpentine during the flotation process have been gradually clarified: (1) the natural floatability of serpentine induces serpentine particles entering flotation concentrates; (2) a high content of the mineral symbiote of serpentine and pentlandite results in difficulty depressing serpentine; (3) the activation of serpentine via dissociative metal ions in flotation pulp further aggravates the difficulty of serpentine suppression; (4) the mechanical entrainment behavior of serpentine in the flotation system leads to serpentine particles entering flotation concentrates; and (5) heteroaggregation between serpentine and pentlandite make it difficult to separate these two minerals.

2.1. Natural Floatability of Serpentine

Serpentine is a phyllosilicate mineral composed of alternating silica tetrahedral and magnesium hydroxide octahedral layers (1:1 type, Figure 2), with the chemical formula (Mg,Fe)3Si2O5(OH)4. The octahedral layers, enriched with hydroxyl groups, exhibit hydrophilic characteristics due to their capacity to form hydrogen bonds with water, whereas the silica-rich surfaces tend to be more hydrophobic. This unique structural configuration, coupled with serpentine’s fibrous morphology, creates a heterogeneous surface with both hydrophilic and hydrophobic regions, complicating its behavior during flotation processes. The weakly bonded ionic bonds between the tetrahedral and octahedral layers, such as OH-Mg-O and OH-Mg-OH, are more fragile than the internal ionic bonds of the octahedra and are prone to dissociation during comminution, making it difficult to associate with strongly polar water molecules, and thus increasing the hydrophobicity of serpentine [9]. Flotation experiments conducted by Tang et al. have demonstrated that serpentine exhibits a certain degree of natural floatability [10]. The natural flotation recovery of serpentine is 18% (without adjusting the pH value and using No. two oil as the foaming agent). With an increase in the dosage of the foaming agent, flotation recovery gradually increases.
In addition to serpentine, talc is another magnesium silicate gangue mineral commonly found in nickel sulfide ores, known for its strong hydrophobicity and a natural flotation recovery rate of up to 90% [11]. Sun et al. [12] demonstrated that in the flotation of nickel sulfide ores pretreatment processes such as grinding and pulp conditioning can cause serpentine particles to adsorb onto the surface of sulfide minerals. This leads to the dissolution of nickel, iron, and copper ions from sulfide mineral surfaces. These dissolved ions undergo ion exchange reactions with magnesium ions on the surface of serpentine, resulting in the continuous leaching of magnesium ions and an increase in silicon content. As a result, the surface of serpentine (Mg3(Si2O5)(OH)4), which normally exhibits moderate floatability, gradually transforms into talc (Mg3(Si4O10)(OH)2), a mineral with significantly higher floatability.
In summary, natural serpentine exhibits a certain degree of flotation recovery and during the flotation process, a portion of the serpentine surface transforms into talc. Therefore, it is necessary to develop more selective depressants to selectively depress the flotation behavior of transitional mineral phases.
Figure 2. Crystal structure of serpentine [13]. Predicted structure of serpentine at (A) V = 180 Å3 and (B) V = 135 Å3 viewed down [001] direction.
Figure 2. Crystal structure of serpentine [13]. Predicted structure of serpentine at (A) V = 180 Å3 and (B) V = 135 Å3 viewed down [001] direction.
Minerals 14 00965 g002

2.2. The Coexistence of Serpentine and Pentlandite

During magma evolution and metamorphism, pentlandite grain is unevenly distributed, with complex intergrowth relationships with other minerals. The grain size of pentlandite in nickel sulfide ores typically ranges from 0.02 to 0.417 mm. Serpentine and pentlandite occur closely associated (Figure 3), which can be divided into two types: primary association and secondary association. Primary association refers to the simultaneous formation of serpentine and pentlandite during magma crystallization, resulting in primary intergrowths. Primary intergrowths are typically present in the matrix of ultramafic rocks or serpentinite in the form of fine-grained or microparticle intergrowths. The octahedra of pentlandite has well-developed cleavages and fractures, while magnesium silicate gangue minerals such as serpentine fill these cleavages and fractures in a fine vein-like manner, forming tight intergrowths [14]. Therefore, primary intergrowths usually require fine grinding for dissociation. However, nickel sulfide ore is relatively soft and prone to over-grinding during fine grinding. When the particle size is less than 10 µm, the floatability of pentlandite decreases [15]. Additionally, serpentine, as a layered magnesium silicate mineral, is brittle and easily produces a large amount of slurry during fine grinding, deteriorating the flotation environment. Secondary association refers to the mutual transformation or replacement of serpentine and pentlandite during later-stage metamorphism, forming secondary intergrowths. Secondary intergrowths present as coarse-grained or blocky intergrowths, with uneven grain sizes, making it difficult to completely dissociate pentlandite from serpentine through conventional grinding. Based on the structural characteristics of primary and secondary intergrowths, optimizing grinding processes is insufficient to effectively promote the dissociation of serpentine–pentlandite intergrowths. Therefore, efficient grinding reagents are needed to enhance the dissociation efficiency of serpentine–pentlandite intergrowths.

2.3. Activation of Serpentine via Dissociative Metal Ion

The crushing, grinding and pulp conditioning processes of nickel sulfide ores result in the dissolution of metal minerals on the surface, leading to a large amount of metal ions in the pulp (such as Cu2+, Ni2+, Mg2+, Na+, Fe3+ and Zn2+) [17]. The flotation experiments conducted by Fornasiero et al. [18] showed that in nickel sulfide ore flotation slurries under weak alkaline conditions (pH 7–10), Cu2+ and Ni2+ adsorb and precipitate onto the surface of serpentine. This facilitates the binding of collectors onto the serpentine surface in the flotation system, thereby increasing the MgO content in the flotation concentrate (with Cu2+ exerting a greater activation effect on serpentine than Ni2+). Furthermore, the activation capacity of the same metal ions on serpentine is closely related to the pulp pH value. Research by Cao et al. [19] demonstrated that at pH values < 8, Ni2+ exists in ionic form and exhibits weak adsorption onto serpentine. However, at pH values > 8, Ni2+ easily precipitates onto the serpentine surface as Ni (OH)2, intensifying the activation of serpentine by the flotation reagents. Further studies have shown that Cu2+ follows the same trend. To date, there are numerous studies exploring how to eliminate serpentine activation using metal ions during the flotation process of nickel sulfide ores [20]. Research results indicate that adding pulp conditioning agents during the flotation process is the most economical and effective method [21].

2.4. Mechanical Entrapment of Fine Serpentine Particles by Flotation Froth

During the flotation process, the entrainment of slurry by the froth leads to a large amount of fine serpentine particles directly entering the flotation concentrate, resulting in the reduction of nickel grades in the flotation concentrate (Figure 4A). In 1966, Jowett [22] pointed out that, during nickel sulfide ore flotation, the concentration of fine-grained serpentine in the pulp is directly related to its recovery rate. Building on this, Kirjavainen [23] conducted further research and revealed that mechanical entrainment follows statistical laws. They constructed a mathematical model for the mechanical entrainment of serpentine using intermittent flotation methods, obtaining calculation formulas for the recovery rate of pentlandite at different serpentine concentrations. In addition, through mathematical modeling, Neethling et al. proposed that the structure and movement of the flotation froth determines the quantity of mechanically entrained gangue minerals in the pentlandite concentrate and accurately predicted the recovery rate of serpentine under different froth conditions [24]. Patra et al. [25] simulated serpentine using nylon nanofibers (Figure 4B) and achieved direct observation of fine fibers. Experimental results demonstrated that fine fibers form a stable porous network structure with dimensions of 1–2 cm in the solution, making it difficult for larger-sized bubbles to penetrate the network structure. As a result, larger-sized bubbles gather beneath the network structure. When a sufficient number of bubbles accumulate, the porous network enters the concentrate. Through mechanistic studies, Lu et al. [26] discovered that the frother does not affect the wetting properties or zeta potential of serpentine surfaces, indicating no significant adsorption behavior of the frother on the serpentine surface. Serpentine mainly enters the concentrate through mechanical entrainment using the flotation froth, independent of the properties of the frother itself. In brief, researchers could consider adding other reagents besides frothers, such as coagulant-type depressants, to aggregate and flocculate fine-grained serpentine and weaken the mechanical entrainment of the froth.
Serpentine easily slimes during the grinding stage and the resultant slurry adheres and coats to the surface of pentlandite, severely affecting the enrichment of nickel concentrates. The main cause is the heterocoagulation of serpentine with pentlandite. In 1980, Edward et al. [28] proposed that, in the sulfide nickel ore flotation system, the unoxidized pentlandite surface is easily coated with serpentine slime, forming the so-called “slime coating” (serpentine hydrophilic layer) (Figure 5A). Electrophoresis experiments by Li [29] showed that the coverage density of this hydrophilic layer depends on the difference in surface charge between serpentine and pentlandite. The hydrophilic layer of serpentine changes the surface charge properties of pentlandite, weakening the adsorption quantity of collectors, which is extremely detrimental to the flotation of nickel sulfide ore. There is currently ample evidence for the mechanism of formation on the serpentine hydrophilic layer. Mellini et al. [30] found that on the fracture surface of serpentine, -OH groups combine with H+ ions in the solution, leaving a large amount of residual Mg2+, which results in a higher isoelectric point for serpentine. Edward determined the isoelectric points (IEP) of serpentine and pentlandite: fibrous serpentine is 11.8, lizardite serpentine is 11.3, and pentlandite is 3.9. Under the most suitable flotation conditions for nickel sulfide ore (generally weakly alkaline, pH = 8–9), positively charged serpentine is easily adsorbed onto the surface of pentlandite (negatively charged) due to electrostatic attraction. Through heterocoagulation coating, the hydrophilicity of the pentlandite particles increases, making them difficult to float. At the same time, it is difficult for the collectors to be adsorbed onto the pentlandite surface and come into contact with bubbles, thereby affecting the flotation effect of pentlandite. Yang et al. [31] conducted a thorough analysis of this phenomenon and found that the average diameter of fibrous serpentine that adhered to the surface of nickel sulfide is 20 nm, much larger than the molecular size of common collectors such as xanthates (usually less than 1 nm, Figure 5B), leading to an increased difficulty for xanthates to adhere to the surface of pentlandite and contacting bubbles, resulting in the reduced floatability of pentlandite and a decreased Ni recovery rate.

3. Research Progress of Serpentine Depressants for Nickel Sulfide Ore

An efficient and selective flotation reagent is the most direct, effective and economical approach to depress serpentine and improve the flotation separation efficiency of pentlandite. Currently, by focusing on five internal mechanisms that influence serpentine and pentlandite flotation, extensive research has been conducted and a wealth of serpentine depressants have been developed.
Corresponding to these five internal mechanisms, pentlandite depressants can be roughly divided into five categories: chelation depressants, grinding adjustment depressants, pulp adjustment depressants, flocculant depressants and dispersion depressants.

3.1. Chelation Depressants

Chelation depressants selectively bind to Mg2+ active sites on the surface of serpentine, forming stable hydrophilic chelates, thereby reducing the floatability of serpentine. The core group of the chelation depressants’ molecule structure is the chelating (coordination) group, which commonly includes -NH2, -CO2H, -OH and other chelating (coordination) groups. In addition to the chelating group, the molecular structure of chelation depressants also contains hydrophilic groups, which form hydrogen bonds with water molecules in the slurry, promoting the hydrophilicity of serpentine particles after the chelation depressants bind to the surface of serpentine through a chelation reaction.

3.1.1. Citric Acid

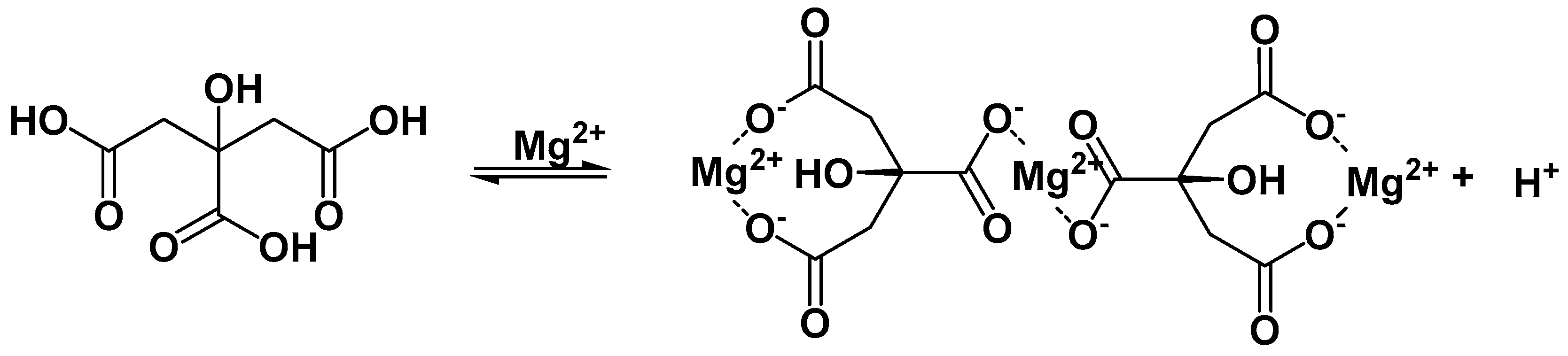
The molecular structure of citric acid contains one -OH and three -CO2H groups (Figure 6). Good water solubility was acquired from the small molecular weight (192.14). The -OH group promotes the hydrolysis of -CO2H through intramolecular electron-induced effects, resulting in the generation of carboxyl anion (-CO2), which further coordinates with the Mg2+ active sites on the surface of serpentinite [32]. Experimental results from Liu et al. [33] indicated that using citric acid as the depressant in a nickel sulfide ore flotation system results in stronger chelation between the serpentinite and citric acid than the adsorption between serpentinite and pentlandite, weakening the negative impact of serpentinite on the flotation of nickel sulfide ore, and increasing the recovery rate of nickel sulfide ore from 16% to 95%. Additionally, citric acid also relieves the heterocoagulation of serpentinite and pentlandite. Research by Feng et al. [34] demonstrated that after adding citric acid, the octahedral layer structure of magnesium oxide on the serpentinite surface is disrupted, leading to the massive dissolution of Mg2+ and Fe3+ ions onto the serpentinite surface, which reduced the cation content of the serpentinite surface. The change in surface charge results in a transition from attractive to repulsive interactions between serpentinite and nickel sulfide ore, effectively eliminating the serpentine’s covering effect on the nickel sulfide ore. Apart from serpentinite, citric acid is widely used as an depressant for minerals such as apatite, mica, fluorite and calcite [35]. The principle is similar to the depression mechanism towards serpentinite, where citric acid undergoes a chemical chelation reaction with Ca2+, adsorbing onto the surface of apatite and other gangue minerals, thereby increasing their hydrophilicity.

3.1.2. Ethylenediaminetetraacetic Acid

Ethylenediaminetetraacetic acid (EDTA) is structurally similar to citric acid but contains more -CO2H groups and two strong chelating groups (tertiary amines) (Figure 7). When interacting with serpentinite, the nitrogen atoms in the amino contain a lone pair of electrons and oxygen atoms in the carboxyl contain an unreacted electron pair, which can form coordination bonds with Mg2+ active sites. This generates a stable, five-membered chelation structure. Therefore, the four -CO2H groups and two tertiary amine functional groups in EDTA molecules selectively chelate with the Mg2+ active sites on the surface of serpentinite and the final product spatially encapsulates the Mg2+ active sites, reducing the floatability of serpentinite. At the same time, EDTA can clean Cu2+ and Ni2+ ions on the surface of MgO, depressing the inevitable ion activation of serpentinite. Huang et al. [16] effectively chelated Cu2+ and Ni2+ ions on the surface of serpentinite using disodium EDTA, preventing the formation of Cu(OH)2 and Ni(OH)2, thereby eliminating the activation effect of inevitable ions towards serpentinite and reducing the MgO content in nickel–iron concentrates. Luo et al. [36] demonstrated through experiments that EDTA also has a good deactivation effect on activated serpentinite through inevitable metal ions, especially under acidic conditions, where activated serpentinite can be completely depressed using the EDTA.

3.1.3. Natural Starch

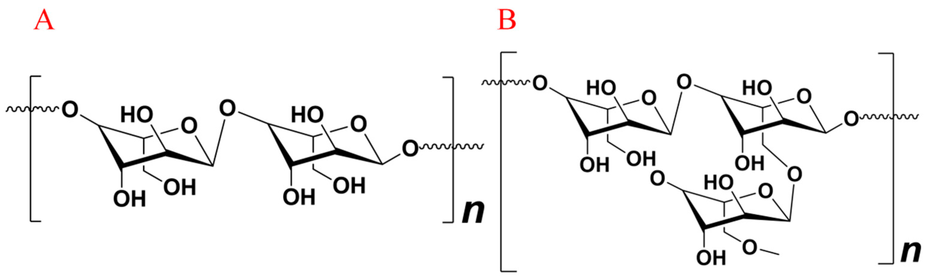
Due to the molecular framework containing abundant hydroxyl and ether groups, natural starch should be classified as a chelating magnesium depressant based on its binding mode. The oxygen atoms in the hydroxyl and ether groups of starch molecules are Lewis bases sites (Figure 8), while the Mg2+ active sites on the surface of serpentine have abundant empty orbitals, rendering them Lewis acids. According to HSAB theory, oxygen-containing functional groups are hard bases and Mg2+ active sites are hard acids. Therefore, starch readily binds selectively to Mg2+ active sites on the surface of serpentine to form stable coordination bonds and promote adsorption onto the serpentine surface, which creates a hydrophilic adsorption layer and significantly enhances the hydrophilicity of the serpentine surface. The chelation complex between starch and serpentine involves Mg2+–starch five-membered chelation rings and Mg2+–starch six-membered chelation rings [37].
In 1928, natural starch was first used as a beneficiation reagent to clarify coal mine wastewater using starch and lime. Subsequently, in 1945, natural starch was used as a silicate mineral depressant in Carnotite Mill in the United States and achieved significant results [38]. Based on the applied examples of silicate minerals, research on natural starch as a magnesium-bearing silicate mineral depressant began in 1983. Since then, numerous systematic studies have elucidated the depression mechanism of natural starch on serpentine. Bolger et al. [39] proposed that the interaction between serpentine and starch occurs via hydrogen bonds and that these hydrogen bonds have varying degrees of ionic content. Within a certain pH range, hydrogen bonds can transform into strong ionic bonds, enhancing the depression of natural starch on serpentine. Khosla et al. [40] observed that both linear and branched starches can form chemical bonds with Mg2+ active sites, suggesting that natural starch adsorbs onto the surface of serpentine through chemical adsorption. Laskowski et al. [41] demonstrated that starch adsorbs onto the surface of serpentine by interacting with the adsorption centers (hydroxylated Mg2+ active sites). Since this interaction depends on the alkalinity of the adsorption centers, it was ultimately determined that the primary mechanism of natural starch adsorption onto the serpentine surface is an acid–base interaction and branched starches exhibit stronger adsorption effects than linear starches. Yang et al. [42,43] prepared a mixture of four types of starches with different proportions of linear and branched starches and found that the solubility of starch is positively correlated with the content of branched starches. The better the solubility of starch, the more dispersed it is in the slurry, and the easier it is to adsorb onto the mineral surface. Additionally, Weissenborn et al. [44] experimentally demonstrated that branched starches also have significant flocculation abilities. Increasing the concentration of branched starches could increase the recovery rate of hematite from 14% to 92%. This is also the advantage of starch over small molecule hydroxy carboxylic acids such as citric acid.
However, natural starch has limitations such as a single functional group, the poor solubility of amylose, and the need for large dosages. To address these challenges, in recent years, research using modified starch as a magnesium-bearing silicate minerals depressant in the flotation of nickel sulfide ore has been increasing.

3.1.4. Modified Starch

The functional groups introduced by the modification reaction can compensate for the shortcomings of natural starch as a serpentine depressant [45]. Essentially, many modified strategies of natural starch involving segmentation, rearrangement, oxidation and the introduction of new functional groups into starch molecules could enhance their adsorption capacity for serpentinite. Commonly, stronger polar functional groups such as -CO2H and -SO2OH are introduced onto the molecular chains, which promotes the adsorption of modified starch onto the surface of serpentinite via electrostatic action or hydrogen bonding. A hydrophilic layer was further formed on the changed serpentine surface under a complex reaction involving water molecules, thereby the floatability of the serpentinite was reduced [46]. Among various classes of modified starch, anionic starch is the most commonly used depressant in nickel sulfide ore flotation. It was found that the -OH and -CO2H in anionic modified starch can form hydrogen bonds with the -OH on the surface of serpentinite, thereby depressing the floatability of serpentinite [47]. Additionally, modified starch also exhibits stronger selectivity. Khoso et al. [48] prepared anionic carboxylated starches with different substitution degrees by using H2O2 as an oxidant and H2SO3 as a catalyst. Compared with natural starch, the flotation recovery rate difference between chalcopyrite and pyrite was increased from 20% to 50%, significantly enhancing the selectivity of starch and achieving efficient separation of chalcopyrite and pyrite. This has certain implications for the selective separation of nickel–copper sulfide ores and serpentinite. Cationic modified starch can chemically bond with metal active sites on the surface of serpentinite, forming stable coordination bonds, primarily in the form of Mg2+–starch pentacoordinate and Mg2+–starch hexacoordinate rings.

3.2. Grinding Adjusting Agents

Chemical additives that significantly enhance grinding efficiency and reduce energy consumption are referred to as grinding adjusting agents. There are two main theories regarding the mechanism of action of grinding adjusting agents. The first theory suggests that there are numerous unsaturated bonds on the surface of nickel sulfide ore. The adsorption of grinding adjusting agent molecules onto the surface of nickel sulfide ore particles reduces the surface energy of unsaturated bonds. This results in the migration of the surface lattice positions of nickel sulfide ore, generating defects in the formation of points or lines, weakening the hardness of the particles. Additionally, the grinding adjusting agent adsorbs into the cracks generated during grinding, acting as a “wedge,” preventing the closure of existing cracks and promoting the formation of new cracks [49]. The second theory proposes that grinding adjusting agents improve the rheological properties of nickel sulfide ore slurries by increasing their viscosity. This thickens the covering layer of the grinding medium onto the surface of the ore particles and prevents adhesion of the ore particles to the grinding medium and lining plates, as well as the aggregation of particles, thereby enhancing grinding efficiency.

3.2.1. Polyacrylamide Applications

Due to its high molecular weight, polyacrylamide generally act as a flocculant for fine-grade serpentine during flotation. However, polyacrylamide is also employed as a grinding adjuster in the grinding process of sulfide nickel ore, rapidly increasing the viscosity of the slurry. This increase in viscosity leads to a thicker covering layer on the surface of the grinding media, thereby enhancing the fragmentation probability of pentlandite particles within the covering layer and improving grinding efficiency [50]. Yang et al. [51] demonstrated that polyacrylamide with molecular weights of 3–5 × 106 can produce fewer coarse and fine particles, significantly increasing the yield of particles within the desired size range, which facilitates the flotation of sulfide ores. The addition of a certain amount of polyacrylamide increases the thickness of the coating layer, thereby enhancing viscous resistance and providing a cushioning effect against the impact of collision with the grinding media, preventing the overgrinding of nickel sulfide ores. Through experimentation, Yang et al. confirmed that when the addition amount reaches 0.2%, the slurry viscosity of nickel sulfide ore achieves optimal viscosity, resulting in the highest yield of flotation-sized particles in the grinding product.

3.2.2. Lime

In addition to organic polymers such as polyacrylamide, inorganic bases can also be used as grinding adjusters for sulfide nickel ore, with the typical example being lime. Through hydrolysis and the dissociation of lime in the sulfide nickel ore pulp, a large amount of OH is produced, which reacts with nickel ions on the surface of sulfide nickel ore to generate precipitates such as calcium hydroxide. These precipitates reduce the surface energy of mineral particles, promoting the dissociation of sulfide nickel ore and increasing the content of easily floatable particles, significantly improving flotation performance. In flotation experiments with sulfide ores, Yang et al. [52] found that pre-adding lime to the mill could increase the content of easily floatable particles (with a particle size range of 0.044–0.075 mm), thereby enhancing the flotation efficiency of the target mineral.

3.3. Mineral Slurry Modifiers

Mineral slurry modifiers play a crucial role in reducing the concentration of undesirable ions (such as Cu2+, Ni2+, Mg2+, Na+, Fe3+, and Zn2+) in nickel sulfide flotation slurry, reducing the surface activation of serpentine and thus reducing the MgO content in flotation concentrates. The underlying mechanisms are as follows: (1) active metal ions in the nickel sulfide slurry are rapidly bonded and precipitated by the slurry modifiers, thereby the adsorption probability of these ions onto serpentinite surfaces is reduced. (2) The slurry modifiers also stably bind and remove the active undesirable ions that have been adsorbed onto the serpentine surface, precipitating them and thereby depressing the adsorption of collectors onto these ions. This process ultimately reduces the adsorption of collectors onto gangue minerals. Consequently, the use of pulp modifiers significantly enhances the flotation performance of nickel sulfide ores by reducing undesirable ions.

3.3.1. Phytic Acid

Phytic acid is a natural organic polymer obtained from plants whose molecular structure is conducive to bridging and rapidly precipitating undesirable ions in nickel sulfide slurry. Furthermore, phytic acid effectively chemisorbs onto the surface of active undesirable ions in the slurry, occupying the vacant orbitals of these undesirable ions. This mechanism significantly reduces the concentration of these ions within the pulp [53]. Studies by Li et al. [54] have demonstrated that phytic acid can ionize to be a large number of anions in sulfide nickel ore slurries, which rapidly combine with metal ions such as Mg2+ and Ca2+ in the slurry to form stable compounds. These compounds exhibit high stability, which reduces the concentration of undesirable ions in the slurry and significantly decreases the likelihood of these ions adsorbing onto the surface of serpentine. Additionally, phytic acid can alter the surface electrical properties of serpentine, alleviating heterocoagulation between pentlandite and serpentine. Zhao et al. [55,56] concluded from zeta potential measurements that phytic acid selectively adsorbs onto serpentinite slurry surfaces through chemical adsorption, lowering the surface potential of serpentinite particles. This not only reduces the concentration of undesirable ions but also prevents serpentines from adsorbing onto sulfide ore surfaces. The application of phytic acid in the flotation process of serpentine and pyrite demonstrated that at a concentration of 40 mg/L, the recovery rate of pyrite exceeded 90%, effectively mitigating the detrimental impact of serpentine.

3.3.2. Sodium Carbonate

Sodium carbonate, commonly known as soda ash in the industry, is a weak acid-strong base salt frequently employed as a slurry conditioner in the flotation of sulfide nickel minerals. It not only adjusts the pH value of the slurry but also forms stable compounds with undesirable ions already adsorbed onto the serpentinite surface, leading to precipitation and removal. Feng et al. demonstrated that sodium carbonate could be ionized into pulp to produce carbonate ions, which react with Mg2+ on the serpentinite surface, causing the previously activated serpentine mineral surface to lose its active adsorption sites for collectors, thereby achieving the inhibition of serpentine minerals. Feng et al. [57] experimentally demonstrated that sodium carbonate dissociates in solution to produce carbonate ions, which then interact with active ions on the surface of serpentine. This interaction effectively deactivates the sites on the serpentine that would otherwise adsorb collectors, thereby achieving the selective depression of gangue minerals. Additionally, sodium carbonate acts as a dispersing agent for the slurry in sulfide mineral flotation systems. In 1997, Pietrobon et al. [58] demonstrated that sodium carbonate can serve as a more effective dispersing agent for nickel sulfide ore slurry compared to traditional alkaline dispersants like sodium hydroxide and lime. Sodium carbonate thickens the electrical double layer through electrostatic effects and enhances the repulsion of mineral particles in the flotation slurry, thus improving the flowability of the entire flotation system and enhancing the selectivity of sulfide nickel ore. In brief, with low production costs and environmentally friendly properties, sodium carbonate is a good candidate depressant for serpentinite. However, the depression effect of sodium carbonate is relatively weak and additional depressants (such as sodium silicate) are necessary to enhance the depression effect.

3.4. Flocculant-Type Magnesia Depressants

Flocculant-type magnesia depressants are high molecular weight polymer compounds with molecular weights exceeding 1000. The depression mechanism of flocculant-type magnesia depressants involves chemical and physical adsorption, hydrogen bonding and other interactions with the Mg active sites on the serpentinite surface and water molecules in the reaction interface. This process increases the size and hydrophilicity of the serpentinite flocculant, thereby depressing fine-grained serpentinite particles in the sulfide nickel ore slurry.

3.4.1. Calcium Lignosulfonate

Calcium lignosulfonate molecules contain a large number of sulfonic acid groups (-SO3H), which exhibit excellent chelating abilities with Mg2+. The main depression approach is that calcium lignosulfonate chemically adsorbs onto the serpentinite surface in the slurry, effectively bridging and increasing the apparent particle size of serpentinite floccules. Through this mechanism, the floatability of serpentinite can be depressed. Research by Liang et al. [59] demonstrated that calcium lignosulfonate selectively binds to Mg active sites on the surface of serpentinite, leading to a significant decrease of MgO content in flotation concentrates. Furthermore, experiments conducted by Fu et al. [60] proved that the adsorption of calcium lignosulfonate on serpentinite surface reduces the viscosity of the sulfide nickel ore slurry and increases the surface tension of the slurry. Such changes accelerated the drainage of the slurry surface foam layer, and as a result, the volume of liquid in the foam layer was reduced and the number of fine-grained serpentinite particles entrapped in the foam layer was decreased. In short, mechanical entrainment of fine-grained serpentine could be depressed through the addition of calcium lignosulfonate.

3.4.2. Galactomannan

Galactomannan is a kind of high molecular weight polysaccharide which interacts with the serpentinite surface through both physical and chemical adsorption mechanisms. For the depression mechanism, on one hand, the bridging effect promotes the flocculation of fine serpentinite particles. On the other hand, it chemically adsorbs onto the serpentinite surface through numerous -OH groups binding to the surface. Additionally, through hydrogen bonding with water molecules in the sulfide nickel ore slurry, galactomannan depresses the flotation of serpentinite. Zhang et al. [61] proposed that the hydrophilic groups (-OH) of galactomannan bind to Mg2+ on the serpentinite surface to form Mg(OH)2, which significantly enhances the surface hydrophilicity of serpentinite. Moreover, it has been proven that galactomannan molecules occupy active sites on the serpentinite surface, preventing the adsorption of xanthate onto the serpentinite surface, leading to a sharp decrease in the flotation recovery of serpentinite from 41.40% to 2.07%. Experimental results from Zhao et al. [62] indicated that when the fine fraction (finer than −0.074 mm) in the sulfide nickel ore flotation exceeded 76.7%, galactomannan could maintain over 85% Ni recovery with minimal grade reduction. However, when traditional flocculant depressants (such as guar gum) were used, the Ni recovery rate and grade dropped sharply. The above experimental results show the superiority of galactomannan: (1) compared to guar gum, galactomannan exhibits superior adaptive performance to particle size distribution, which is conducive for the effective flocculation of finer micro-grained serpentinite and improves the mechanical entrainment of serpentinite. (2) Galactomannan shows strong selectivity towards micro-fine serpentinite particles without affecting the flotation of micro-fine pentlandite particles.

3.5. Dispersant Magnesia Depressants

Dispersant-type magnesia depressants are typically strong negative polarity compounds. The depression mechanism involves selective adsorption onto the Mg active sites on the surface of serpentinite, converting the positively charged surface to a negatively charged surface. Such a process effectively depresses the heterocoagulation of serpentinite with pentlandite and maintains the dispersion of fine serpentinite particles in the slurry, thereby reducing their interference with the enrichment of pentlandite and enhancing the nickel grade of the flotation concentrates (Figure 9).

3.5.1. Graphene Oxide

Graphene oxide (GO) is a nanomaterial with a high specific surface area and enhanced chemical reactivity. In recent years, it has been utilized as a novel serpentinite depressant. Due to its strong oxidation preparation process, the number of oxygen-containing functional groups (-OH, -COOH, and epoxy groups) on the surface of GO is increased, making GO more reactive compared to graphene. This property enables it to adsorb onto Mg active sites on the surface of serpentinite to weaken the heterocoagulation effect of serpentinite. In studies conducted by Cao et al. [64], GO was introduced into pentlandite–serpentinite flotation systems (Figure 10). The mechanism study reveals that GO selectively adsorbed onto the serpentinite surface, significantly reducing the zeta potential of serpentinite, while not affecting the surface potential of pentlandite. Furthermore, the lateral dimensions of graphene oxide can extend to several tens of micrometers, significantly exceeding the typical size of conventional serpentinite depressants. This exceptional specific surface area enhances its ability to disperse and detach serpentinite adhered to the surface of nickeliferous pyrrhotite, making it more effective than other dispersants of similar type. Compared with the traditional polymer depressant carboxymethyl cellulose (CMC), higher pentlandite recovery rates can be obtained with GO in complex flotation systems. GO significantly reduces heterocoagulation during the flotation process. Therefore, GO holds promising prospects in the field of nickel sulfide ore flotation.

3.5.2. Water Glass

Water glass is a water-soluble alkali metal silicate. During flotation processes, water glass undergoes hydrolysis, rendering the slurry mildly alkaline, which creates favorable conditions for the flotation of sulfide nickel ores [9]. Simultaneously, HSiO3 and H2SiO3 are generated via the hydrolysis process, which adsorb onto the surface of serpentinite. This adsorption also shifts the surface potential to a more negative value, thereby increasing the electrostatic repulsion between serpentinite particles and promoting their dispersion. Apart from hydrolysis, the formed SiO2 colloidal particle also acts as an effective depressing component. The high surface area and activity enable SiO2 colloidal particles to effectively adsorb onto serpentinite particles, which further depresses the adsorption of collectors onto the serpentinite surface and reduces the floatability of serpentinite. These mechanisms represent the traditional inhibition mechanism of sodium silicate. However, Wang et al. [65], based on Ingraham’s hypothesis, proposed in a review article that polymers explain the dispersibility of slurry using sodium silicate. The silicates in sodium silicate solutions produce various polyvalent polymers, such as [SiO2(OH)4]4−, which are more efficient than HSiO3 and H2SiO3. They can quickly combine with serpentinite and alter its surface potential, dispersing fine-grained serpentinite in the slurry and preventing heterocoagulation. The bottleneck of using sodium silicate lies in its sensitivity to the slurry environment, making it challenging to maintain a stable inhibitory effect in industrial applications compared to magnesia depressants like sodium hexametaphosphate [66]. To maximize its dispersion effect, precise control of the dosage and pH is necessary when using sodium silicate. Under equivalent dosage conditions, a lower pH is conducive to the formation of silicates and polymers, promoting an inhibitory effect of sodium silicate on serpentinite [67].

3.5.3. Sodium Hexametaphosphate

Sodium hexametaphosphate is a common dispersant-type MgO depressor widely used in the flotation of sulfide nickel ore [68]. With an average molecular weight ranging from 12,000 to 18,000, sodium hexametaphosphate contains as many as 200 PO3 units per molecule [69]. Research by Xia et al. [70] indicates three mechanisms by which sodium hexametaphosphate depresses serpentinite particle. (1) Sodium hexametaphosphate forms an adsorption layer on the serpentinite surface due to its high molecular weight, which reinforces the steric hindrance effect and the steric repulsion energy between different serpentinite particles. As a result, the dispersion effect on serpentine particles is enhanced. (2) On the surface of serpentinite, numerous adsorbed PO3 increases the surface potential of serpentinite and enhances the electrostatic repulsion energy between serpentinite particles. Wang et al. [65] suggest that after sodium hexametaphosphate adsorbs onto the serpentinite slurry surface, (NaPO3)6 reacts with Mg2+ to form hydrophilic stable complexes, reducing the floatability of serpentinite. Chen et al. [71] suggest that sodium hexametaphosphate facilitates the migration of Mg2⁺ ions from serpentinite into the solution, which reduces the surface potential of serpentinite and makes it negatively charged. This negative charge creates electrostatic repulsion between serpentinite and nickel sulfide, thereby dispersing the hydrophilic layer of serpentinite that adheres to the surface of nickel sulfide.

3.5.4. Carboxymethylcellulose

Cellulose is a large molecular polysaccharide composed of β-D-glucose units. Carboxymethyl cellulose (CMC) is formed by replacing some of the -OH groups of β-D-glucose units with carboxymethyl sodium (CH2COONa) groups, which allows CMC to be an anionic cellulose ether and more soluble in water. It can adsorb onto serpentinite surfaces, depressing heterocoagulation between serpentinite and nickel–iron sulfide. Research conducted by Li et al. [29] demonstrates that carboxymethyl cellulose (CMC) contains multiple highly polar -OH and -COOH groups. In aqueous solutions, the -COOH groups ionize to form -COO⁻, imparting a strong negative charge to CMC in a gel-like molecular state. This negative charge induces electrostatic attraction with the positively charged serpentinite, effectively detaching the serpentinite slurry from the surface of nickel–iron sulfides.
Simultaneously, -OH groups form a hydration film on the serpentinite surface through hydrogen bonding with water molecules, enhancing the serpentinite surface’s hydrophilicity. In addition to dispersing serpentinite by hydrogen bonding to the surface of nickel–iron sulfide, carboxymethyl cellulose also agglomerates dispersed serpentinite through chemical reactions. Feng et al. [72] demonstrated through experiments that the -COOH groups of carboxymethyl cellulose chemically react with Mg2+ on the serpentinite surface, leading to adsorption on the serpentinite surface. This agglomerates fine-grained serpentinite, increasing the apparent particle size of serpentinite particles. The addition of carboxymethyl cellulose significantly reduces the turbidity of the slurry, reducing the mechanical entrainment of fine-grained serpentinite using foam.

3.5.5. Oxalic Acid

Deng et al. [73] studied the magnesia reduction effects of several common dispersants and depressants in nickel sulfide flotation. Experimental results demonstrate that the addition of high molecular weight organic depressants, such as carboxymethyl cellulose, water glass, and sodium hexametaphosphate, not only disperses magnesia but also affects the enrichment of nickel in the concentrate. Therefore, the use of small molecule depressants is warranted. Oxalic acid, a small molecule organic acid with a small molecular size and selective functional groups, can precisely adsorb onto the serpentinite surface. Research by Liu et al. [74] indicates that the selective binding of -COOH in its small molecule structure to surface metal ions such as Ca2+ and Mg2+ on serpentinite forms insoluble metal complexes, chemically adsorbing onto the serpentinite surface, and resulting in the inhibition of serpentinite. Tang et al. [75] experimentally confirmed that oxalic acid can precisely adsorb onto the serpentinite surface through chemical reactions, without adsorption on the surface of nickel–iron sulfide. By converting the serpentinite surface from positively charged to negatively charged, it eliminates heterocoagulation between serpentinite and nickel–iron sulfide, restoring the floatability of the nickel–iron sulfide.

4. Combined Reagents

Numerous studies have indicated poor selectivity and high reagent consumption by using a monotypic depressant, which is insufficient to meet the current demand for the serpentinite depressor problem. Therefore, mixed serpentine depressant formulas have been rapidly developed on the basis of multiple depressants to exert the synergistic effect of multiple depressants. As a result, the flotation recovery of Ni from the concentrate has been enhanced under the premise of steadily maintaining the Ni grade in the concentrate.
In practical production, a common combination strategy involves the simultaneous use of slurry modifiers and dispersant magnesia depression agents. Zhang [76] introduced the EP combination depressant, where the -COOH groups in EP hydrolyze to form anions, electrostatically adsorbing onto the serpentinite surface, and thereby altering the surface potential from positive to negative. Additionally, EP can chelate with metal ions on the serpentinite surface, weakening the activation of metal ions. However, as the requirements for MgO content by flash smelters continues to increase, this traditional combination is no longer sufficient to meet current magnesia depression needs.
Therefore, a combination of dispersant and chelating depressants is proposed. Dispersant depressants adjust the surface electrical properties of serpentinite, causing them to repel the surface electrical properties of nickel–iron sulfide minerals, thereby avoiding their heterocoagulation. After dispersion, chelating depressants form complexes with Mg2+, reducing the floatability of dispersed serpentinite, which further reduces its interference with nickel–iron sulfide mineral flotation. The synergistic effect of these two mechanisms enhances the depression effect on serpentinite. An example is Zhang’s [67,77] use of citric acid and sodium hexametaphosphate as a combination depressant, where sodium hexametaphosphate alters the surface potential of serpentinite, depressing its adsorption to nickel–iron sulfide minerals and dispersing the serpentinite. Citric acid contains abundant -COOH and -OH groups that can form soluble complexes with magnesium ions on the serpentinite surface, increasing the surface hydrophilicity of the dispersed serpentinite. Additionally, citric acid can dissolve the oxide film of nickel–iron sulfide minerals, facilitating collector adsorption. This combination depressant reduces the magnesium content in the concentrate, promoting the flotation of nickel sulfide minerals, resulting in an increase in the recovery rates of Ni and Cu by 1.52% and 1.77%, respectively, and a decrease in MgO content by 1.34%. Similarly, Huang Junwei used disodium EDTA and sodium hexametaphosphate as a chelating and dispersant magnesia depression agent, where disodium EDTA forms coordination bonds with metal ions due to its multiple pores, weakening the activation of metal ions. Sodium hexametaphosphate disperses the slurry, reduces mechanical entrainment, changes the surface potential of serpentinite, eliminates heterocoagulation, and reduces the MgO content in the JinChuan nickel concentrate by 0.4%–0.6%.
Furthermore, the simultaneous addition of two dispersants can have a synergistic effect greater than the sum of their individual effects. Long [78] suggests that for low-grade copper–nickel sulfide ores, “strengthening dispersion and simultaneous depression” should be employed. Long Tao used sodium hexametaphosphate and carboxymethyl cellulose (CMC) as a combination depressant, where sodium hexametaphosphate disperses the gangue minerals, weakens mechanical entrainment, and then CMC is added after the collector to enhance the separation of target minerals from gangue minerals, thereby improving the nickel ore grade. Combining large-molecule chelating depressants with small-molecule chelating depressants is also effective. Li et al. [79] used citric acid and modified starch as a combination, where citric acid first complexes with metal ions in the system and then modified starch is added to enhance the hydrophilicity of serpentinite and inhibit its upward flotation into the concentrate. Compared to the JinChuan site, the nickel concentrate grade increased by 0.28%, the recovery rate increased by 3.14%, and the MgO grade decreased by 0.58%.

5. Conclusions

Nickel sulfide ore is a primary global source of nickel, with nickeliferous pyrrhotite as the key nickel-bearing mineral and magnesium silicate minerals, particularly serpentinite, as the predominant gangue. Flotation is the crucial process for nickel enrichment in sulfide nickel ores. However, magnesium silicate gangue minerals, such as serpentinite, significantly impact the flotation efficiency of nickeliferous pyrrhotite, leading to increased energy consumption, accelerated equipment wear, and exacerbated environmental concerns in subsequent smelting processes. The need for desilicating flotation concentrates of nickel sulfide ores is urgent but presents several challenges: (1) serpentinite exhibits natural floatability and can transform into talc during flotation, further enhancing its floatability; (2) the close intergrowth of serpentinite with nickeliferous pyrrhotite makes selective liberation difficult during short grinding periods, while prolonged grinding leads to over-grinding; (3) the metal ion activation of serpentinite surfaces in flotation slurries creates active sites, resulting in the flotation of serpentinite upon collector adsorption; (4) fine serpentinite particles are easily entrained into concentrates through mechanical entrainment using foam, reducing the nickel grade of the concentrate; and (5) due to the opposite surface electrical properties of serpentinite and nickeliferous pyrrhotite, serpentinite slimes tend to coat the surface of nickeliferous pyrrhotite, adversely affecting nickel recovery.
To address these challenges, the use of highly efficient and selective flotation desilication depressants is considered the most direct, effective, and economical approach. In response to the five key challenges associated with desilicating nickel sulfide flotation concentrates, five types of depressants have been developed: (1) chelating desilication depressants, which reduce floatability by selectively binding to active sites on serpentinite surfaces through chelating groups such as -NH2, -CO2H, and -OH; common examples include small molecules like citric acid and EDTA, as well as large molecules like starch and modified starch. (2) Grinding adjustment agents, which enhance the grinding efficiency and selectivity by regulating the surface energy and hardness of minerals; examples include polyacrylamide and lime. (3) Slurry modifiers, which selectively bind with inevitable ions in the slurry, depressing their activation of serpentinite surfaces; common examples are phytic acid and sodium carbonate. (4) Coagulating desilication depressants, which increase the size and hydrophilicity of serpentinite flocs by adsorbing onto active sites on serpentinite surfaces and water molecules, thereby depressing mechanical entrainment; typical examples include calcium lignosulfonate and glucomannan. (5) Dispersant desilication depressants, which alter the surface electrical properties of serpentinite to prevent slimes from coating nickeliferous pyrrhotite surfaces; common examples include graphene oxide, sodium silicate, sodium hexametaphosphate, carboxymethyl cellulose, and oxalic acid.
As the complexity of nickel sulfide ores increases, single desilication depressants often prove inadequate. Consequently, combinations of depressants are frequently employed to exploit synergistic effects. These combinations include: (1) different dispersant depressants, (2) various chelating depressants, (3) combinations of slurry modifiers with dispersant depressants, and (4) combinations of chelating depressants with dispersant depressants.
Significant progress has been made in international research on serpentine depressants at the laboratory scale, leading to the development of these five main types. However, their practical application remains limited due to poor adaptability in complex industrial environments and the high production costs of certain reagents. To advance the development of serpentine gangue mineral depressants, future efforts should focus on the following: (1) developing more efficient and selective depressants by building upon the existing molecular structures of the five types, while considering the varying characteristics of ores in actual production, to address the specific challenges of magnesium removal in nickel sulfide concentrates; and (2) investigating the synergistic mechanisms of combining multiple depressants, particularly low-cost polysaccharides (e.g., starch and dextrin), to optimize the structure–performance relationships of effective serpentine depressants. These advancements will significantly improve the recovery and overall utilization of complex nickel sulfide resources, contributing to the sustainable development and long-term stability of the global nickel supply.

Author Contributions

Writing—review and editing, F.Y. and J.C.; methodology, C.Z., Y.Y. and F.Y.; data curation, B.L., X.S. and C.L. (Chunhua Luo); formal analysis, C.L. (Chenyang Lv), F.Y. and B.M.; validation, X.P. and J.C.; conceptualization, F.Y. and J.C.; supervision, J.C.; funding acquisition, Z.G. All authors have read and agreed to the published version of the manuscript.

Funding

The authors acknowledge financial support from the National Natural Science Foundation of China (52274287, 52004336); the Science and Technology Innovation Program of Hunan Province (2022RC1039); National Key Laboratory of Nickel-Cobalt Co-associated Resources Development and Comprehensive Utilization (GZSYS-KY-2024-067); Research Foundation of the Department of Natural Resources of Hunan Province [HBZ20240148]; International and Regional Science and Technology Cooperation and Exchange Program of Hunan Association for Science and Technology [2024SKX-KJ-06].

Conflicts of Interest

The authors declare that they have no known competing financial interests or personal relationships that could have appeared to influence the work reported in this paper.

References

  1. Zhang, K.; Wang, F.; Li, X.; Wang, S.; Wang, Y.; Zha, Q.; Ni, Y. Connected design of Ni foam-supported porous Ni and FeOOH/porous Ni electrocatalysts for overall water splitting in alkaline media. J. Alloys Compd. 2023, 942, 169014. [Google Scholar] [CrossRef]
  2. Kuck, P.H. U.S. Geological Survey. Available online: https://www.usgs.gov/ (accessed on 11 December 2022).
  3. Dilshara, P.; Abeysinghe, B.; Premasiri, R.; Dushyantha, N.; Ratnayake, N.; Senarath, S.; Ratnayake, A.S.; Batapola, N. The role of nickel (Ni) as a critical metal in clean energy transition: Applications, global distribution and occurrences, production-demand and phytomining. J. Asian Earth Sci. 2023, 259, 105912. [Google Scholar] [CrossRef]
  4. Tang, Q.; Li, C.; Zhang, M.; Ripley, E.M.; Wang, Q. Detrital zircon constraint on the timing of amalgamation between Alxa and Ordos, with exploration implications for Jinchuan-type Ni–Cu ore deposit in China. Precambrian Res. 2014, 255, 748–755. [Google Scholar] [CrossRef]
  5. Yang, Z. Key technology research on the efficient exploitation and comprehensive utilization of resources in the deep Jinchuan nickel deposit. Engineering 2017, 3, 559–566. [Google Scholar] [CrossRef]
  6. Barkov, A.Y.; Nikiforov, A.A.; Martin, R.F.; Silyanov, S.A.; Lobastov, B.M. The Tepsi Ultrabasic Intrusion, the Northern Part of the Lapland–Belomorian Belt, Kola Peninsula, Russia. Minerals 2024, 14, 685. [Google Scholar] [CrossRef]
  7. Barnes, S.J.; Wells, M.A.; Verrall, M.R. Effects of magmatic processes, serpentinization, and talc-carbonate alteration on sulfide mineralogy and ore textures in the Black Swan disseminated nickel sulfide deposit, Yilgarn Craton. Econ. Geol. 2009, 104, 539–562. [Google Scholar] [CrossRef]
  8. Long, T.; Huang, X.; Xiao, W. The effect of surface charge on the separation of pyrite from serpentine by flotation. Minerals 2019, 9, 629. [Google Scholar] [CrossRef]
  9. Hong, W.; Hai-Bo, D. Effects and Researching Developments of Serpentine on the Flotation Processing of Cu-Ni Sulphide Deposit. Non-Ferr. Min. Metall. 2008, 4, 19–23. [Google Scholar]
  10. Min, T.; Wen-Bin, Z. A Study on Behavior of Serpentine in the Flotation of low-grade Corpper-Nikel Suifide. J. Kunming Univ. Sci. Technol. 2001, 3, 74–77. [Google Scholar]
  11. Vils, F.; Müntener, O.; Kalt, A.; Ludwig, T. Implications of the serpentine phase transition on the behaviour of beryllium and lithium–boron of subducted ultramafic rocks. Geochim. Cosmochim. Acta 2011, 75, 1249–1271. [Google Scholar] [CrossRef]
  12. Sun, W.; Li, X.; Liu, R.; Zhai, Q.; Li, J. Recovery of valuable metals from nickel smelting slag based on reduction and sulfurization modification. Minerals 2021, 11, 1022. [Google Scholar] [CrossRef]
  13. Mookherjee, M.; Stixrude, L. Structure and elasticity of serpentine at high-pressure. Earth Planet. Sci. Lett. 2009, 279, 11–19. [Google Scholar] [CrossRef]
  14. Dódony, I.; Buseck, P.R. Serpentines close-up and intimate: An HRTEM view. Int. Geol. Rev. 2004, 46, 507–527. [Google Scholar] [CrossRef]
  15. Qingteng, L.; Yinfei, L.; Yifan, Z.; Zechen, L.; Yucheng, H.; Yanwang, L.; Shihao, D. Review of Reducing MgO in the Flotation Concentrate of Copper-nickel Sulfides. Multipurp. Util. Miner. Resour. 2017, 5, 7–12. [Google Scholar]
  16. Huang, J.; Chengqiang, Z. Inhibiting effect of citric acid on the floatability of serpentine activated by Cu(II) and Ni(II) ions. Physicochem. Probl. Miner. Process. 2019, 55, 960–968. [Google Scholar]
  17. Guanghua, A.I.; Xin, C.; Kangying, B.I.; Jing, L.I.; Yuechao, T.; Ruidong, Z. Research progress on the effect of metal ions on mineral flotation behavior. Nonferrous Met. Sci. Eng. 2017, 8, 70–74. [Google Scholar]
  18. Fornasiero, D.; Ralston, J. Cu(II) and Ni(II) activation in the flotation of quartz, lizardite and chlorite. Int. J. Miner. Process. 2005, 76, 75–81. [Google Scholar] [CrossRef]
  19. Cao, Z.; Zhang, Y.H.; Sun, C.Y.; Cao, Y.D. Activation mechanism of serpentine by Cu (II) and Ni (II) ions in copper-nickel sulfide ore flotation. Zhongguo Youse Jinshu Xuebao/Chin. J. Nonferrous Met. 2014, 24, 506–510. [Google Scholar]
  20. Li, M.; Hu, Y.; Huangfu, M.; Zhou, Y.; Liu, J. Research Progress on the Effect of Metal Ions on Silicate Flotation Behavior. Nonferrous Met. Sci. Eng. 2017, 8, 70–74. [Google Scholar]
  21. Gong, X.; Yao, J.; Yang, B.; Fu, Y.; Wang, Y.; Yin, W. Selective flotation of brucite from calcite using HEDP-4Na as an inhibitor in a SDS system. J. Ind. Eng. Chem. 2023, 125, 390–401. [Google Scholar] [CrossRef]
  22. Jowett, A. Flotation Kinetics Gangue Mineral Contamination of Froth. Brit. Chem. Eng. 1966, 11, 330–333. [Google Scholar]
  23. Kirjavainen, V. Application of a probability model for the entrainment of hydrophilic particles in froth flotation. Int. J. Miner. Process. 1989, 27, 63–74. [Google Scholar] [CrossRef]
  24. Neethling, S.; Cilliers, J. The entrainment of gangue into a flotation froth. Int. J. Miner. Process. 2002, 64, 123–134. [Google Scholar] [CrossRef]
  25. Patra, P.; Bhambhani, T.; Vasudevan, M.; Nagaraj, D.; Somasundaran, P. Transport of fibrous gangue mineral networks to froth by bubbles in flotation separation. Int. J. Miner. Process. 2012, 104, 45–48. [Google Scholar] [CrossRef]
  26. Lu, Y.P.; Long, T.; Feng, Q.M.; Ou, L.M.; Zhang, G.F. Flotation and its mechanism of fine serpentine. Chin. J. Nonferrous Met. 2009, 19, 1493–1497. [Google Scholar]
  27. Somasundaran, P.; Patra, P.; Bhambani, T.; Nagaraj, D. Rheology of ore suspensions with fibrous minerals and its impact on flotation performance. Min. Metall. Explor. 2019, 36, 111–116. [Google Scholar] [CrossRef]
  28. Edwards, C.; Kipkie, W.; Agar, G. The effect of slime coatings of the serpentine minerals, chrysotile and lizardite, on pentlandite flotation. Int. J. Miner. Process. 1980, 7, 33–42. [Google Scholar] [CrossRef]
  29. Li, Z.H. The effect of gangue minerals containing magnesium on pentlandite flotation. J. Zhongnan Inst. Min. Metall. 1993, 24, 36–44. [Google Scholar]
  30. Mellini, M.; Viti, C. Crystal structure of lizardite-1 T from Elba, Italy. Am. Mineral. 1994, 79, 1194–1198. [Google Scholar]
  31. Yang, S.; Pelton, R.; Abarca, C.; Dai, Z.; Montgomery, M.; Xu, M.; Bos, J.-A. Towards nanoparticle flotation collectors for pentlandite separation. Int. J. Miner. Process. 2013, 123, 137–144. [Google Scholar] [CrossRef]
  32. Lan, S.; Shen, P.; Zheng, Q.; Qiao, L.; Dong, L.; Liu, D. Effective flotation separation of apatite from dolomite using a new eco-friendly depressant gallic acid. Green Chem. 2024, 26, 1627–1636. [Google Scholar] [CrossRef]
  33. Liu, D.; Zhang, G.; Chen, Y. Studies on the selective flotation of pyrite from fine serpentine by using citric acid as depressant. Miner. Eng. 2021, 165, 106742. [Google Scholar] [CrossRef]
  34. Feng, B.; Feng, Q.; Lu, Y. A novel method to limit the detrimental effect of serpentine on the flotation of pentlandite. Int. J. Miner. Process. 2012, 114, 11–13. [Google Scholar] [CrossRef]
  35. Liu, X.; Luo, H.; Cheng, R.; Li, C.; Zhang, J. Effect of citric acid and flotation performance of combined depressant on collophanite ore. Miner. Eng. 2017, 109, 162–168. [Google Scholar] [CrossRef]
  36. Luo, X.; Wang, Y.; Wen, S.; Ma, M.; Sun, C.; Yin, W.; Ma, Y. Effect of carbonate minerals on quartz flotation behavior under conditions of reverse anionic flotation of iron ores. Int. J. Miner. Process. 2016, 152, 1–6. [Google Scholar] [CrossRef]
  37. Xia, L.; Zhong, H.; Liu, G.; Huang, Z.; Chang, Q. Flotation separation of the aluminosilicates from diaspore by a Gemini cationic collector. Int. J. Miner. Process. 2009, 92, 74–83. [Google Scholar] [CrossRef]
  38. Wills, B.A.; Finch, J. Wills’ Mineral Processing Technology: An Introduction to the Practical Aspects of Ore Treatment and Mineral Recovery; Butterworth-Heinemann: Oxford, UK, 2015. [Google Scholar]
  39. Bolger, J.C. Acid base interactions between oxide surfaces and polar organic compounds. In Adhesion Aspects of Polymeric Coatings; Springer: Berlin/Heidelberg, Germany, 1983; pp. 3–18. [Google Scholar]
  40. Khoso, S.A.; Gao, Z.; Tian, M.; Hu, Y.; Sun, W. Adsorption and depression mechanism of an environmentally friendly reagent in differential flotation of Cu–Fe sulphides. J. Mater. Res. Technol. 2019, 8, 5422–5431. [Google Scholar] [CrossRef]
  41. Laskowski, J.; Liu, Q.; O’connor, C. Current understanding of the mechanism of polysaccharide adsorption at the mineral/aqueous solution interface. Int. J. Miner. Process. 2007, 84, 59–68. [Google Scholar] [CrossRef]
  42. Yang, S.; Li, C.; Wang, L. Dissolution of starch and its role in the flotation separation of quartz from hematite. Powder Technol. 2017, 320, 346–357. [Google Scholar] [CrossRef]
  43. Yang, S.; Wang, L. Structural and functional insights into starches as depressant for hematite flotation. Miner. Eng. 2018, 124, 149–157. [Google Scholar] [CrossRef]
  44. Weissenborn, P. Behaviour of amylopectin and amylose components of starch in the selective flocculation of ultrafine iron ore. Int. J. Miner. Process. 1996, 47, 197–211. [Google Scholar] [CrossRef]
  45. TIAN, F.; LI YC, C. Research progress in application and mechanism of starch and its derivative depressants in mineral flotation. Conserv. Util. Miner. Resour. 2022, 42, 82–88. [Google Scholar]
  46. Liu, Q.; Laskowski, J.S. Polysaccharide application in mineral processing. In Encyclopaedia of Surface and Colloid Science; Marcel & Dekker: New York, NY, USA, 2006; pp. 5035–5055. [Google Scholar]
  47. Peng, H.; Zhong, S.; Lin, Q.; Yao, X.; Liang, Z.; Yang, M.; Yin, G.; Liu, Q.; He, H. Removal of both cationic and anionic contaminants by amphoteric starch. Carbohydr. Polym. 2016, 138, 210–214. [Google Scholar] [CrossRef]
  48. Khoso, S.A.; Hu, Y.; Tian, M.; Gao, Z.; Sun, W. Evaluation of green synthetic depressants for sulfide flotation: Synthesis, characterization and floatation performance to pyrite and chalcopyrite. Sep. Purif. Technol. 2021, 259, 118138. [Google Scholar] [CrossRef]
  49. Yong, M.; Zehong, W.; Pengcheng, T.; Wei, G.; Pengfei, Z. Effect of grinding process on mineral flotation behavior and the role of grinding aids. Conserv. Util. Miner. Resour. 2020, 40, 162–168. [Google Scholar]
  50. Frances, C.; Laguerie, C.; Mazzarotta, B.; Veccia, T. On the analysis of fine wet grinding in a batch ball mill. Chem. Eng. J. Biochem. Eng. J. 1996, 63, 141–147. [Google Scholar] [CrossRef]
  51. Yang, J.; Ma, S.; Zhou, W.; Zhu, P. Study on Grinding Additives in Cassiterite–Polymetallic Sulfide Ore Grinding. Minerals 2022, 12, 472. [Google Scholar] [CrossRef]
  52. Yang, Y.T.; Zhang, J.H.; Zhang, Y. Mineral processing experiment research of low-grade and fine-size inseparable lead-zinc ore. Adv. Mater. Res. 2013, 734, 950–957. [Google Scholar] [CrossRef]
  53. Chen, Y.; Guo, X.; Chen, Y. Using phytic acid as a depressant for the selective flotation separation of smithsonite from calcite. Sep. Purif. Technol. 2022, 302, 122104. [Google Scholar] [CrossRef]
  54. Li, Q.; Shang, C.; Shi, C.W.; Yan, P.K.; Tan, P.K. Influences of Depressants on the Floatability of Talc and Tremolite. Non-Met. Mines 2017, 40, 76–78. [Google Scholar]
  55. Zhao, K.; Yan, W.; Wang, X.; Wang, Z.; Gao, Z.; Wang, C.; He, W. Effect of a novel phosphate on the flotation of serpentine-containing copper-nickel sulfide ore. Miner. Eng. 2020, 150, 106276. [Google Scholar] [CrossRef]
  56. Zhao, G.; Fang, X.; Zhang, Y. Selective flotation of pyrite from serpentine using phytic acid as the depressant. Colloids Surf. A Physicochem. Eng. Asp. 2023, 658, 130703. [Google Scholar] [CrossRef]
  57. Feng, B.; Lu, Y.; Luo, X. The effect of quartz on the flotation of pyrite depressed by serpentine. J. Mater. Res. Technol. 2015, 4, 8–13. [Google Scholar] [CrossRef]
  58. Pietrobon, M.C.; Grano, S.; Sobieraj, S.; Ralston, J. Recovery mechanisms for pentlandite and MgO-bearing gangue minerals in nickel ores from Western Australia. Miner. Eng. 1997, 10, 775–786. [Google Scholar] [CrossRef]
  59. Liang, G.; Chimonyo, W.; Lv, J.; Peng, Y. Differential depression of calcium lignosulfonate on chalcopyrite and molybdenite flotation with collector kerosene. Miner. Eng. 2023, 201, 108192. [Google Scholar] [CrossRef]
  60. Fu, Y.; Wang, H.; Liu, L.; Yao, Q.; Yang, X.; Hu, Z.; Yuan, Q.; Yao, J.; Liu, J. Regulation role of calcium lignosulfonate on the entrainment behavior of serpentine during brucite recycling: A new perspective. Powder Technol. 2023, 428, 118764. [Google Scholar] [CrossRef]
  61. Zhang, X.; Han, Y.; Gao, P.; Gu, X.; Wang, S. Depression mechanism of a novel depressant on serpentine surfaces and its application to the selective separation of chalcopyrite from serpentine. Miner. Process. Extr. Metall. Rev. 2022, 43, 373–379. [Google Scholar] [CrossRef]
  62. Zhao, K.; Gu, G.; Wang, C.; Rao, X.; Wang, X.; Xiong, X. The effect of a new polysaccharide on the depression of talc and the flotation of a nickel–copper sulfide ore. Miner. Eng. 2015, 77, 99–106. [Google Scholar] [CrossRef]
  63. Li, X.; Zhang, Q.; Wang, L.; Luo, Q. Study on the effect of sodium hexametaphosphate in pentlandite/serpentine flotation system. Miner. Conserv. Util. 2021, 41, 6. [Google Scholar]
  64. Cao, J.; Tian, X.D.; Luo, Y.C.; Hu, X.Q.; Xu, P.F. The effect of graphene oxide on the slime coatings of serpentine in the flotation of pentlandite. Colloids Surf. A Physicochem. Eng. Asp. 2017, 522, 621–627. [Google Scholar] [CrossRef]
  65. Wang, D.Y.; Ge, B.L. A Study on Behavior of Serpentine in Processing of Copper-Nickel Sulphide. Non-Ferr. Min. Metall. 2003, 4, 15–17. [Google Scholar]
  66. Faris, N.; Pownceby, M.I.; Bruckard, W.J.; Chen, M. The direct leaching of nickel sulfide flotation concentrates–a historic and state-of-the-art review part I: Piloted processes and commercial operations. Miner. Process. Extr. Metall. Rev. 2023, 44, 407–435. [Google Scholar] [CrossRef]
  67. Zhang, Y.; Meng, F.; SUN, C. Analysis of effective approaches for depressing MgO containing gangue minerals in copper-nickel sulfide ore floatation. Min. Metall. 2012, 21, 1–4. [Google Scholar]
  68. Jorjani, E.; Barkhordari, H.; Khorami, M.T.; Fazeli, A. Effects of aluminosilicate minerals on copper–molybdenum flotation from Sarcheshmeh porphyry ores. Miner. Eng. 2011, 24, 754–759. [Google Scholar] [CrossRef]
  69. Rashchi, F.; Finch, J. Polyphosphates: A review their chemistry and application with particular reference to mineral processing. Miner. Eng. 2000, 13, 1019–1035. [Google Scholar] [CrossRef]
  70. Xia, Q.B.; Li, Z.; Qiu, X.Y.; Dai, Z.L. Investigation of action mechanism between sodium hexametaphosphate and serpentine. Min. Metall. Eng. 2002, 22, 51–54. [Google Scholar]
  71. Wei, C.; Yue, W. Effect of sodium hexametaphosphate on magnesium reduction during a low grade copper-nickel sulphide flotation process. Min. Metall. 2020, 29, 34–37. [Google Scholar]
  72. Feng, B.; Hou, D.-F.; Ren, H.-C. Magnetic and inverse magnetic catalysis in the Bose-Einstein condensation of neutral bound pairs. Phys. Rev. D 2015, 92, 065011. [Google Scholar] [CrossRef]
  73. Deng, W.; Wang, L.; Hang, Y.; Rao, X. Industrial practice of new inhibitors for copper-nickel ore dressing. Compr. Util. Miner. 2017, 4, 33–37. [Google Scholar]
  74. Liu, X.; Huang, G.-Y.; Li, C.-X.; Cheng, R.-J. Depressive effect of oxalic acid on titanaugite during ilmenite flotation. Miner. Eng. 2015, 79, 62–67. [Google Scholar] [CrossRef]
  75. Tang, X.; Chen, Y. Using oxalic acid to eliminate the slime coatings of serpentine in pyrite flotation. Miner. Eng. 2020, 149, 106228. [Google Scholar] [CrossRef]
  76. Zhang, G.; Lu, Y.; Feng, Q. Study on the reduction of MgO content in nickel concentrate by inhibitor EP. Miner. Conserv. Util. 1999, 3, 30–33. [Google Scholar]
  77. Zhang, Y. Decreasing the Content of MgO in Jinchuan Copper-nickel Concentrate by Citric Acid and (NaPO_3) 6. Met. Mine 2013, 5, 67–70. [Google Scholar]
  78. Long, T. Theory and Technology of Enhanced Dispersion-Synchronous Inhibition of Magnesium-Silicate Minerals in Copper-Nickel Sulfide Flotation; Central South University: Changsha, China, 2011. [Google Scholar]
  79. Li, X.; Zhang, Y.; Lei, Z.; Wu, A.; Li, L.; Hong, H. Magnesium reduction and quality improvement of Jinchuan copper-nickel concentrate based on citric acid-modified starch. Met. Min. 2015, 42, 64–68. [Google Scholar]
Figure 1. Co-occurrence analysis of the keywords of pentlandite flotation research from 2014 to 2024.
Figure 1. Co-occurrence analysis of the keywords of pentlandite flotation research from 2014 to 2024.
Minerals 14 00965 g001
Figure 3. SEM diagram of actual ore of nickel sulfide ore (A and C are pentlandite, B and D are magnesium-silicate gangue minerals serpentine and chlorite, and E is pyrrhotite) [16].
Figure 3. SEM diagram of actual ore of nickel sulfide ore (A and C are pentlandite, B and D are magnesium-silicate gangue minerals serpentine and chlorite, and E is pyrrhotite) [16].
Minerals 14 00965 g003
Figure 4. Mechanical entrapment behavior of serpentine. (A) is a schematic diagram, (B) is a fiber simulation experiment showing heterocoagulation between serpentine and pentlandite [25,27]. ((a) is 0 s, (b) is 0–5 s, and (c) is 5 s later.)
Figure 4. Mechanical entrapment behavior of serpentine. (A) is a schematic diagram, (B) is a fiber simulation experiment showing heterocoagulation between serpentine and pentlandite [25,27]. ((a) is 0 s, (b) is 0–5 s, and (c) is 5 s later.)
Minerals 14 00965 g004
Figure 5. Hydrophilic layer formed by serpentine on the surface of nickel pyrite; (A) is an electron microscope photograph, and (B) shows the quantitative analysis) [28,29].
Figure 5. Hydrophilic layer formed by serpentine on the surface of nickel pyrite; (A) is an electron microscope photograph, and (B) shows the quantitative analysis) [28,29].
Minerals 14 00965 g005
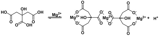
Figure 6. The chelation process of citric acid with Mg2+ onto the serpentine surface.
Figure 6. The chelation process of citric acid with Mg2+ onto the serpentine surface.
Minerals 14 00965 g006
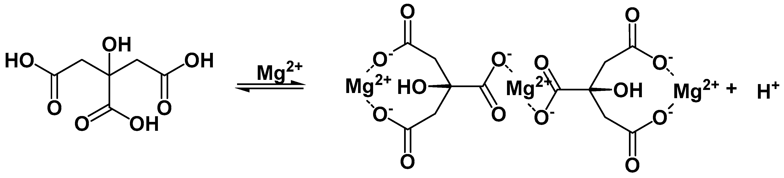
Figure 7. EDTA and Mg2+ chelation process.
Figure 7. EDTA and Mg2+ chelation process.
Minerals 14 00965 g007
Figure 8. Amylose molecular structure (A) and amylopectin molecular structure (B).
Figure 8. Amylose molecular structure (A) and amylopectin molecular structure (B).
Minerals 14 00965 g008
Figure 9. SEM images of a flotation concentrate of mixed ore without (A) and with (B) the addition of sodium hexame taphosphate [63].
Figure 9. SEM images of a flotation concentrate of mixed ore without (A) and with (B) the addition of sodium hexame taphosphate [63].
Minerals 14 00965 g009
Figure 10. Proposed model for the changes of a pentlandite–serpentine system in deionized water (A) and in GO solution (B) [64].
Figure 10. Proposed model for the changes of a pentlandite–serpentine system in deionized water (A) and in GO solution (B) [64].
Minerals 14 00965 g010
Disclaimer/Publisher’s Note: The statements, opinions and data contained in all publications are solely those of the individual author(s) and contributor(s) and not of MDPI and/or the editor(s). MDPI and/or the editor(s) disclaim responsibility for any injury to people or property resulting from any ideas, methods, instructions or products referred to in the content.

Share and Cite

MDPI and ACS Style

Yin, F.; Zhang, C.; Yu, Y.; Lv, C.; Gao, Z.; Lu, B.; Su, X.; Luo, C.; Peng, X.; McFadzean, B.; et al. Review on the Challenges of Magnesium Removal in Nickel Sulfide Ore Flotation and Advances in Serpentinite Depressor. Minerals 2024, 14, 965. https://doi.org/10.3390/min14100965

AMA Style

Yin F, Zhang C, Yu Y, Lv C, Gao Z, Lu B, Su X, Luo C, Peng X, McFadzean B, et al. Review on the Challenges of Magnesium Removal in Nickel Sulfide Ore Flotation and Advances in Serpentinite Depressor. Minerals. 2024; 14(10):965. https://doi.org/10.3390/min14100965

Chicago/Turabian Style

Yin, Fengxiang, Chengxu Zhang, Yao Yu, Chenyang Lv, Zhengbo Gao, Bingang Lu, Xiaohui Su, Chunhua Luo, Xiangan Peng, Belinda McFadzean, and et al. 2024. "Review on the Challenges of Magnesium Removal in Nickel Sulfide Ore Flotation and Advances in Serpentinite Depressor" Minerals 14, no. 10: 965. https://doi.org/10.3390/min14100965

APA Style

Yin, F., Zhang, C., Yu, Y., Lv, C., Gao, Z., Lu, B., Su, X., Luo, C., Peng, X., McFadzean, B., & Cao, J. (2024). Review on the Challenges of Magnesium Removal in Nickel Sulfide Ore Flotation and Advances in Serpentinite Depressor. Minerals, 14(10), 965. https://doi.org/10.3390/min14100965

Note that from the first issue of 2016, this journal uses article numbers instead of page numbers. See further details here.

Article Metrics

Back to TopTop