Abstract
The global demand for mineral resources has led to the gradual transformation of the mining industry from the traditional shallow, small-scale mining mode to the high-intensity mining of deep underground mines. Due to the high stress, high temperature, high permeability, and easy disturbance of deep mines, new challenges have been brought to the mining of materials. Some scholars have improved the thermal insulation performance of concrete by adding low thermal conductivity materials such as ceramsite, shell, and natural fiber to traditional shotcrete, but there are still high costs, insufficient support strength, and unsatisfactory thermal insulation effects. Given the background related to the fact that it is still not possible to fully recycle the large amount of solid waste generated by mining activities, this paper, with traditional shotcrete as its basis, uses coal fly ash to replace part of the cement and tailings to replace part of the sand and gravel aggregate. In addition, it adds basalt fiber to reduce thermal conductivity and restore strength. An orthogonal experiment of three factors and three levels was designed to explore a new type of solid waste-based thermal insulation support shotcrete material. Through the testing and analysis of the mechanical and thermal properties of the specimens, it was concluded that the optimal ratio of the materials was 45% fly ash, 50% tailings, and 25% basalt fiber (the percentage of the total mass of fly ash and cement). The compressive strength of the specimens after curing for 28 days could reach 16.26 MPa, and the thermal conductivity and apparent density were 0.228561 W/(m·k) and 1544.00 kg/m3, respectively. By using COMSOL Multiphysics multi-physics coupling software to analyze the coupling of the stress field and temperature field, it was concluded that the optimum thickness of the thermal insulation layer of this material was 150 mm. The field application in a mine in Shandong Province proved that it met the effects of thermal insulation (the ability to isolate heat conduction) and support. The successful trial of this material provides a new idea for the solving of the problem of heat damage and solid waste utilization in deep mines, which has a certain practical significance.
1. Introduction
The rapid development of the global economy has triggered an explosive increase in the demand for mineral resources. The traditional shallow small-scale mining mode is gradually changing to high-intensity mining in deep underground mines [1]. At present, sprayed concrete is widely used as a supporting material in underground mine tunnels. Traditional sprayed concrete has a high cost due to the use of a large amount of cement in the fabrication process, and it directly or indirectly produces a large amount of carbon dioxide, causing environmental pollution [2]. At the same time, mining activities have produced a large amount of solid waste. At this stage, there are still problems with environmental pollution and low resource recovery due to the improper treatment of solid waste [3]. Therefore, a large number of scholars have tried to add solid waste such as tailings or coal fly ash into concrete to reduce the cost of concrete, improve the utilization rate of solid waste, and reduce environmental pollution. With the increase in mining depths, the characteristics of high stress and high temperature in underground mines have had an increasingly prominent influence on mining activities. The adverse effects of high temperature in deep underground mines on the human body, the equipment, and the mine production activities are called heat damage. According to the relevant research, the high temperature of the underground mining working environment mainly comes from the heat dissipation of the exposed rock surface [4], and the heat damage problem can be effectively solved by adding thermal insulation materials to the rock surface. Many scholars have used low thermal conductivity materials, such as ceramsite, shells, and natural fibers, to improve the thermal insulation performance of concrete. Therefore, it is an innovative and environmentally friendly research direction to selectively use some of the mine solid waste to develop a material that has good heat insulation performance and can meet the requirements of mine support.
Sprayed concrete is a widely used material for tunnels and mines, slope stability, and structural repair. Compared with traditional concrete, it provides a versatile and feasible solution both technically and economically. Shotcrete is often used for the construction and stabilization of tunnels and other underground structures, where it is susceptible to different forms of physical and chemical attacks that affect its durability. An advanced understanding of the factors that limit the durability of shotcrete is crucial to the development of tailored strategies for enhancing its service life. The main focus of this contribution is to shed light on the durability of shotcrete by revising the literature, highlighting what is missing and needs to be addressed, assessing how the knowledge about concrete durability can be transferred to shotcrete, and providing recommendations for durable shotcrete structures, construction, and building materials [5]. Studies have shown that the mixing ratio of the admixtures and raw materials of sprayed concrete is very flexible and can be used in different application scenarios and working conditions [6]. This is of great significance for the design of targeted shotcrete for different mining environments.
The mining industry is the world’s largest waste industry. According to the statistics, mining operations produce about 6.5 billion to 8 billion tons of waste each year. Tailings account for 10–15 million tons of this total, and the rest is rock refuse [7]. The improper treatment of solid waste causes land occupation, soil and water pollution, geological disasters, air pollution, and other hazards [8]. Therefore, the recycling of mine solid waste has important environmental significance.
Natividad Garcia-Troncoso found that when a certain amount of tailings was used to replace fine aggregate, the compressive strength value was very similar to that of traditional concrete, and the compressive strength decreased with the increase in the proportion of tailings instead of sand aggregate [9]. Junjiang used tailings to replace the natural aggregate in high-performance concrete. It was found that when the replacement level did not exceed 40%, the compressive strength of the tailings mixture was lower than that of the control mixture, while the flexural strength was improved. From the point of view of mechanical behavior, it is feasible to use tailings to partially replace natural sand and gravel to make high performance concrete [10]. Sung-Ching Chen used tailings instead of sand aggregate to explore its effect on the strength and porosity of cement-based materials. The results show that the samples with tailings contain more fibrous C-S-H crystals and have higher strength. Tailings instead of natural river sand can improve the pore structure of concrete and increase the strength [11]. Deniz Adiguzel found that if the sum of SiO2, Al2O3, and Fe2O3 in tailings exceeded 75%, the strength of the concrete could be improved by replacing part of the cement in the concrete with tailings [3].
Coal fly ash is the main solid waste produced by coal-fired power plants. Concrete production is an important field of coal fly ash application [12]. A large number of studies have shown that coal fly ash instead of cement can perform better in terms of strength, particle size distribution, fluidity, and durability. In addition, the increase in global coal fly ash production has forced people to use more and more coal fly ash in industry. In order to achieve this goal, a lot of research work is being carried out around the world.
Ravi Prasad used coal fly ash to replace cement. The experimental results of the fluidity measurement show that coal fly ash improves the size gradation by filling the voids between cement particles, thereby increasing the fluidity of concrete [13]. Wang studied the effect of coal fly ash on the mechanical properties of concrete. The results show that due to the volcanic ash activity of coal fly ash, the addition of coal fly ash significantly improves the compressive strength of concrete at 56 days and 90 days [14]. As with the mechanical improvement of concrete, the use of coal fly ash can enhance the anti-fracture resistance of concrete. Golewski found that when using 30% coal fly ash as a substitute for cement the fracture energy of concrete could be increased by 20% [15]. Because coal fly ash does not contain corrosive substances, the material can be used in conjunction with other additives to further improve the mechanical properties of concrete. To this end, some studies have used coal fly ash in conjunction with other additives, such as fibers, and have reported that the improvement in coal fly ash can be enhanced when fibers are also used [16]. Akid’s study found that the working performance of concrete was improved due to the spherical particles of coal fly ash and lubrication. A concrete mixture made of 15% coal fly ash and 0.12% polypropylene fiber had higher compressive strength [17].
With the development of deep mining, the problem of high temperature is becoming more and more prominent. The experience of deep coal mining in some major coal mining countries in the world (such as Germany, the former Soviet Union, the United Kingdom, and Poland) shows that when mining at a depth of more than 1000 m, the original rock temperature can reach up to 60 °C [18]. The problem of thermal damage caused by deep mining has a significant impact. Studies have shown that the high-temperature working environment can lead to central nervous disorders in the underground workers; these disorders cause symptoms such as fatigue, central nervous system problems, collapse, and even death. In the high-temperature and high-humidity environment, the heat dissipation of the electromechanical equipment is difficult and the failure rate increases. High temperature leads to cable insulation leakage and high safety risks [19].
Traditional thermal damage control is mostly solved by mechanical technology, such as that of refrigeration and ventilation [20]. In recent years, some experts have noticed that the problem of heat damage can be solved by adding thermal insulation materials to the rock wall, and a series of explorations have been carried out. Part of the research on thermal insulation materials is shown in Table 1.
Table 1.
Research results on thermal insulation materials.
By studying and analyzing the existing thermal insulation materials, it was found that the thermal conductivity of the samples with natural fiber was obviously reduced and that the compressive strength was enhanced. Therefore, adding natural fiber is a reliable and effective method to reduce the thermal conductivity and maintain the strength characteristics [27].
Basalt fiber is a kind of natural fiber completely prepared from volcanic rocks. It is widely distributed all over the world. It is mainly composed of FeO and Fe2O3, and it has low mining and processing costs. It has excellent high-temperature infrared shading and low thermal conductivity (0.031~0.038 W/(m·K)) [31]. Its mechanical properties are better than those of plant fiber and similar to those of glass fiber [32]. At the same time, basalt fiber is also widely used as reinforcing fiber to improve the mechanical properties and durability of concrete because of its excellent mechanical properties, high temperature resistance, acid and alkali resistance, raw material availability, and environmental protection production process [33].
Pehlivanli used basalt fiber to replace the aggregate in concrete and found that 2% basalt fiber greatly improved the thermal insulation performance [34]. Hou prepared mineral thermal insulation materials with basalt fiber and evaluated the thermal conductivity and compressive strength of the prepared samples. The results show that the samples containing basalt fiber have a good thermal insulation effect and meet the compressive strength requirements [35]. Xiaoqi Li found that basalt fiber could improve the mechanical properties of composites [36]. Yan Li found that the addition of basalt fiber to concrete could inhibit the generation and development of early microcracks and promote the densification of the structure at the micro-scale. More importantly, an appropriate amount of basalt fiber could significantly improve the permeability and high-temperature resistance of concrete structures [37]. Meyyappan’s study found that when the basalt fiber content was 1%, the compressive strength increased by 11.45%, up to 36.67 MPa, compared with conventional concrete, and the tensile strength increased by 18.24%, up to 5.48 MPa, compared with conventional concrete [38].
Based on the existing research, this paper uses fly ash to replace cement step by step and tailings to replace sand and gravel aggregate; basalt fiber is also added. Through the method of orthogonal experiment, nine groups of samples were prepared, and their mechanical and thermal properties were measured at 3 days, 7 days, and 28 days. Through the range analysis method and the efficacy analysis method, it was concluded that the optimal ratio of the material was 45% fly ash, 50% tailings, and 25% basalt fiber (the percentage of the total mass of fly ash and cement). The compressive strength of the specimen after 28 days of curing under this ratio could reach 16.26 MPa, which meets the uniaxial compressive strength standards of GB/T 50107-2010 [39] ordinary concrete C15 and EN206-1: 2000 standard C16/20 [40]. The experiment shows that the subsequent strength will continue to increase; so, the heat-insulating shotcrete material meets the strength requirements of shotcrete materials for underground support in deep mines [41]; the thermal conductivity was 0.228561 W/(m·k). COMSOL Multiphysics multi-physics coupling software was used to analyze the coupling of stress field and temperature field, and the optimal thickness of the thermal insulation layer under the above optimal ratio was obtained. The field application in a mine in Shandong further verified the effect of thermal insulation spraying and proved that the material met the requirements of underground thermal insulation in deep mines. It provided a solution for the problem of heat damage in deep mining, realized the further exploration of new thermal insulation materials, and catered to the concept of green mines, which has a certain practical significance.
2. Materials and Methods
2.1. Raw Material Selection
In this experiment, fly ash was used to replace part of cement, tailings were used to replace part of gravel aggregate, and basalt fiber was added. The four basic raw materials are shown in Figure 1.
Figure 1.
Basic raw material map: (a) coal fly ash; (b) cement; (c) mill tailings; (d) basalt fiber.
2.1.1. Material Source
The cement used in this test was PO42.5 ordinary Portland cement. The coal fly ash came from Zhengzhou, Henan. The tailings were derived from a gold mine in Jiaojia, Shandong Province. It is a residual discharge waste after the concentrator grinds the ore and selects the useful components after the specific beneficiation process. The basalt fiber used in this test was mainly from Zhejiang Jiaxing Haining Anjie Composite Material Co., Ltd. (Zhejiang, China). After many tests, basalt fiber with a length of 6 mm and a diameter of 16 μm was finally determined as the thermal insulation material for the research. The recommended dosage of polycarboxylic acid water reducer is 0.16%~0.5% of the total mass, and the content of polycarboxylic acid water reducer was set as 0.5% in this experiment.
2.1.2. Raw Material Abstract
The mineral composition of the raw materials was quantitatively analyzed by an X-ray fluorescence spectrometer (XRF-1800 Shimadzu Experimental Equipment Co., Ltd., Shanghai, China). See Table 2 for specific chemical composition. The analysis showed that the cement was slightly alkaline, the coal fly ash was slightly acidic, and the tailings were slightly acidic.
Table 2.
Chemical composition of raw materials (mass fraction/%).
The raw materials were analyzed by an EMPYREAN X-ray diffractometer (XRD), and the diffraction patterns are shown in Figure 2 and Figure 3.
Figure 2.
Fly ash diffraction pattern.
Figure 3.
Tailings diffraction pattern.
The raw materials were analyzed by a Gemini SEM500 scanning electron microscope (SEM) and were magnified 50, 100, 250, and 500 times, respectively, and the specific images were as shown in Figure 4, Figure 5, Figure 6 and Figure 7.
Figure 4.
SEM images of cement.
Figure 5.
SEM images of coal fly ash.
Figure 6.
SEM images of tailings.
Figure 7.
SEM images of basalt fiber.
The SEM image shows that the overall microstructure of the cement consisted of spherical particles with different sizes, and there were many small particles on the surface of the large particles, which were irregular. The overall size of the coal fly ash was different; the surface was rough with irregular granularity, and the surface of the larger particles had small attachments, mainly of glass phase material, which is the main material of coal fly ash cementitious activity. The overall size of the microstructure particles of the tailings was different; the surface was very rough, the basalt fiber was linear, the overall structure was neat, and irregular particles were attached to the surface.
In order to further determine the particle size of the tailings, the particle size was analyzed. According to the particle size distribution curve of all the tailings in Figure 8, the percentage of −20 μm particles was about 5%, the non-uniformity coefficient Cu was 4.62, and the curvature coefficient Cc was 1.05. According to the standard of tailings particles, the tailings belong to coarse ore, and the grading is good.
Figure 8.
Tailings particle size distribution curve.
2.2. Experimental Method
2.2.1. Laboratory Equipment
- (1)
- WDW-200D microcomputer-controlled electronic universal material testing machine
As shown in Figure 9, this sample test used a WDW-200D (Jinan Kesheng Test Equipment Co., Ltd., Jinan, China) microcomputer-controlled electronic universal material testing machine. The main parameters of the instrument are shown in Table 3.
Figure 9.
WDW-200D microcomputer-controlled electronic universal material testing machine.
Table 3.
WDW-200D universal material testing machine parameter table.
- (2)
- IMRL-01 thermal conductivity meter
The instrument used in this test was the IMRL-01 (Cangzhou Kexing Instrument & Equipment Co., Ltd., Cangzhou, China) heat flow meter thermal conductivity tester produced by Tianjin Bayinger, as shown in Figure 10. The specific parameters of the instrument are shown in Table 4.
Figure 10.
IMRL-01 thermal conductivity meter.
Table 4.
Technical parameters of heat flow meter thermal conductivity meter.
The test principle of the IMRL-01 heat flow meter thermal conductivity tester is as follows: one-dimensional steady-state heat transfer is established in two parallel plane samples with a size of 300 mm × 300 mm × H (5~35) mm. The thermal conductivity of the sample is obtained by measuring the cold and hot flow density of the sample, the surface temperature difference, and the thickness of the two parallel planes. It is composed of a heating plate, cooling plate, protective plate, power measurement, and power control, which is used to measure the thermal conductivity of the product materials. The thermal conductivity calculation formula of the specific sample is:
The thermal conductivity of the sample, W/(m·k);
—Through the heat flow power of the sample, W;
—heat transfer area, m2;
—Average thickness of specimen, m;
—The average temperature of surface of sample, K;
—The average temperature of the cold surface of the sample, K.
The following is the specific parameter the table of IMRL-01 heat flow meter thermal conductivity tester.
2.2.2. Specimen Preparation
Based on the three variables of coal fly ash, basalt fiber, and tailings, a three-factor and three-level test was designed to explore the influence of various factors on the thermal conductivity and strength of thermal insulation concrete, as shown in Table 5. The coal fly ash contents (the percentage of coal fly ash in the total mass of cement and coal fly ash) were 35%, 45%, and 55%; the tailings contents (the percentage of tailings in the total mass of cement and coal fly ash) were 50%, 60%, and 70%; and the basalt fiber contents (the percentage of basalt fiber in the total mass of cement and coal fly ash) were 15%, 20%, and 25%.
Table 5.
Orthogonal test scheme design.
The content of polycarboxylate superplasticizer was set to 0.5% (the percentage of polycarboxylate superplasticizer in the total mass of cement and coal fly ash). The specific quality parameters are shown in Table 6.
Table 6.
Reference group test table.
Through the pre-test, the optimum dense state of the mixed thermal insulation concrete was observed. Based on the experience of making samples, when this state flows out of the mold it is neither too thin nor too thick, which clearly does not meet the flowability requirements of sprayed concrete materials. The concentration was determined to be 80%.
- (1)
- According to the designed 9 groups of orthogonal experiments, 9 cylindrical test blocks (50 × 100 mm) (a total of 81) were prepared in each group, and 2 cuboid test blocks (a total of 18) were used to test the thermal conductivity.
- (2)
- During the preparation of the sample, the material was stirred evenly with a certain amount of water according to the set ratio, then injected into the triple test mold for vibration tamping.
- (3)
- After 24 h of molding, the demolded test block was placed in the standard curing room (temperature: 20 ± 2°, humidity: more than 95%) for 3 days, 7 days, and 28 days. Some samples are shown in Figure 11. The uniaxial compressive strength, elastic modulus, apparent density, and thermal conductivity at 3 days, 7 days, and 28 days were tested, respectively.
Figure 11. Part of the prepared specimens.
2.2.3. Experimentation
- (1)
- Mechanical parameter test
The uniaxial compressive strength and elastic modulus of the specimens were measured by the WDW-200D microcomputer-controlled electronic universal material testing machine. Firstly, the initial preloading of the upper indenter is used to ensure that the specimen is in a relatively stable state. The 0.5 mm/min displacement control is used to load the specimen for the compressive test until the slope of the force–displacement curve of the specimen maintains a stable state after passing the peak point. Then, the force on the specimen is stopped to ensure that a more complete stress–strain curve can be obtained in the later stage so as to obtain a uniaxial compressive strength and elastic modulus.
The calculation formula of the uniaxial compressive strength is:
—uniaxial compressive strength, MPa;
—the size of the F-specimen, kN;
—compression area of the specimen, m2.
The uniaxial compressive strength of the specimen is as shown in Table 7, and the elastic modulus is as shown in Table 8.
Table 7.
Uniaxial compressive strength test results.
Table 8.
Elastic modulus test results.
- (2)
- Thermal conductivity test
Thermal conductivity refers to the stable heat transfer conditions of 1 m thick material, on both sides of the surface temperature difference of 1 degree (K, °C), in a certain period of time, through 1 square meter area of heat transfer. The thermal conductivity of the specimen was measured by an IMRL-01 heat flow meter. The test results are shown in Table 9.
Table 9.
Twenty-eight-day thermal conductivity test results.
- (3)
- Test of apparent density
The apparent density of the specimen is the ratio of the mass and volume of the test specimen. The specimens cured for 28 days were tested. The mass and volume of the specimen were measured, and the apparent density was calculated. The apparent density of each group of specimens was obtained by the mean value of the two specimens (one cold plate and one hot plate). The specific test is shown in Figure 12. The experimental results are shown in Table 10.
Figure 12.
Test of apparent density.
Table 10.
Twenty-eight-day apparent density.
The specific calculation formula of apparent density is:
ρ—Test block density, kg/m3;
m—Test block mass, kg;
V—Calculated test block volume, m3;
3. Analysis of Effect
3.1. Analysis of Mechanical Results
The uniaxial compressive strength and elastic modulus of the specimens at 3 days, 7 days, and 28 days were analyzed. From the uniaxial compressive strength, it was concluded that A1B2C1, A1B1C1, and A1B1C1 were the optimal factor combinations of 3 days, 7 days, and 28 days insulation concrete, respectively. From the perspective of the elastic modulus, A1B2C1, A2B1C1, and A2B1C1 were the optimal factor combinations of 3 days, 7 days, and 28 days insulation concrete, respectively.
3.1.1. Single-Axis Compressive Strength
The uniaxial compressive strength of thermal insulation concrete can represent its working performance (bearing strength) in engineering applications. Therefore, the specimens with laboratory curing ages of 3 days, 7 days, and 28 days were tested, respectively, and the relationship between the working performance of thermal insulation concrete and its components, such as coal fly ash, tailings, and basalt fiber, was analyzed by referring to the results of the uniaxial compressive strength test. The applicability of thermal insulation concrete to mines was improved by optimizing the composition system of the raw materials.
Through the range calculation results of Table 11, the uniaxial compressive strength of different ages and different groups of specimens was compared. The higher the compressive strength of the specimens, the more successful the optimization of the raw material system. From Figure 13, it can be seen intuitively that A1B2C1, A1B1C1, and A1B1C1 were the optimal combinations of factors for the 3 days, 7 days, and 28 days insulation concrete, respectively.
Table 11.
Data analysis of uniaxial compressive strength test results.
Figure 13.
Three-day (a), seven-day (b), and twenty-eight-day (c) uniaxial compressive strength of each group of specimens XYY3D histogram.
For the specimens of 3 days and 7 days, RA > RB > RC and PA = 0; so, the influence of the three components on the uniaxial compressive strength of the 3 days and 7 days thermal insulation concrete from large to small was coal fly ash, tailings, and basalt fiber. From the range calculation results of the 28 days specimens, RB > RA > RC and PB = 0; it can be seen that the influence of the three components on the uniaxial compressive strength of 28 days thermal insulation materials from large to small was: tailings, coal fly ash, basalt fiber.
3.1.2. Elastic Modulus
The elastic modulus is one of the important indexes with which to measure the elastic deformation of the object. The larger the value, the greater the stress required for the deformation of the sample, and the higher the stiffness of the sample. Analyzing the influence of different factors on the elastic modulus of the specimen plays an important role in guiding the engineering application of thermal insulation concrete.
Through the range analysis results in Table 12, the elastic modulus of different ages and different groups of specimens was compared. The higher the elastic modulus of the specimen, the more successful the optimization of the raw material system. From Figure 14, it can be seen intuitively that A1B2C1, A2B1C1, and A2B1C1 were the optimal combinations of factors for the 3 days, 7 days, and 28 days insulation concrete, respectively.
Table 12.
Elastic modulus range results analysis.
Figure 14.
Three days (a), seven days (b), twenty-eight days (c). Each specimen’s elastic modulus XYY3D histogram.
The range calculation results at 3 days were RA > RC > RB; so, the influence of the three components on the elastic modulus of the 3 days insulation material was: coal fly ash, tailings, basalt fiber; the range calculation results of 7 days and 28 days were RB > RC > RA; so, the influence of three components on the elastic modulus of the 7 days and 28 days insulation materials from large to small was: tailings, basalt fiber, and coal fly ash.
3.2. Analysis of Thermal Results
3.2.1. Apparent Density
Apparent density refers to the mass to volume ratio of the material. The results show that the drying shrinkage of concrete increases linearly with the decrease in apparent density. Therefore, it is of great significance to study the apparent density of the specimens for the preparation of thermal insulation concrete. In practical engineering applications, the apparent density of heat-insulating concrete in the later stage is of practical significance. Therefore, this experiment selected the apparent density of the specimen at 28 days for testing and studied the relationship between the apparent densities of coal fly ash, tailings, and basalt fiber heat-insulating concrete.
The smaller the apparent density is, the better the working performance of the thermal insulation concrete. It can be seen from Figure 15 that A3B1C3 was the optimal factor combination of 28 days thermal insulation concrete.
Figure 15.
Twenty-eight-day apparent density XYY3D histogram of specimens in each group.
The 28-day apparent density range is calculated as Table 13. According to the range calculation results, RC > RA > RB; the influence of the three components on the apparent density of 28 days was: basalt fiber, coal fly ash, and tailings.
Table 13.
Twenty-eight-day apparent density range analysis.
It can be seen from the effect curve shown in Figure 16 that the apparent density was negatively correlated with the content of basalt fiber and coal fly ash and positively correlated with the content of tailings.
Figure 16.
Mean value diagram of apparent density at different levels.
3.2.2. Thermal Conductivity
The thermal insulation coefficient is an important parameter for studying concrete with a thermal insulation effect. Because the early thermal insulation concrete contains a large amount of water, which has a great influence on the thermal conductivity and has nothing to do with the final use effect, the later thermal insulation coefficient has practical significance. Therefore, the thermal conductivity of 28 days was selected for testing, and the relationship between coal fly ash, tailings, basalt fiber, and the thermal conductivity of thermal insulation concrete was studied.
The thermal conductivity of deep well insulation materials needs to be as small as possible, and it can be seen from Figure 17 that A2B2C3 was the optimal factor combination for 28 days insulation concrete.
Figure 17.
Thermal conductivity of 28 days insulation material XYY3D histogram.
The 28-day thermal conductivity range is calculated as shown in Table 14. It can be seen from the range RC > RA > RB that the influence of the three components on the thermal conductivity of the 28 days insulation material was: basalt fiber, coal fly ash, and tailings.
Table 14.
Twenty-eight-day thermal conductivity range analysis table.
It can be seen from the effect curve shown in Figure 18 that the thermal conductivity of the 28 days insulation material was negatively correlated with the basalt fiber content. However, the thermal conductivity decreased first and then increased with the increase in the coal fly ash and tailings content, and the minimum value of thermal conductivity could be reached near A2 and B2.
Figure 18.
The mean value diagram of thermal conductivity at each level.
3.3. Ratio Optimization Based on Test Results
3.3.1. Range Analysis Method
As shown in Table 15, the optimal combination of A1B1C1, A2B2C3, and A3B1C3 could be obtained by the range analysis method for the 28-day compressive strength, thermal conductivity, and apparent density.
Table 15.
Twenty-eight-day range comprehensive analysis.
3.3.2. Efficacy Analysis
According to Table 16, the optimal combination when considering uniaxial compressive strength, thermal conductivity, and apparent density was A2B1C3. Its content was: coal fly ash 45%, tailings 50%, and basalt fiber 25%; its performance index was: apparent density 1544 kg/m3, thermal conductivity 0.228 W/(m·K), and compressive strength 16.26 MPa.
Table 16.
Comprehensive analysis of efficacy analysis parameters.
4. Regression Analysis
In order to better obtain the ratio of thermal insulation materials with lower thermal conductivity and higher strength, a regression model of the thermal conductivity and uniaxial compressive strength was established, and the parameters were compared. The regression analysis of the compressive strength and thermal conductivity was carried out by SPSS. The influence of coal fly ash, tailings, and basalt fiber on the uniaxial compressive strength and thermal conductivity of 3 days, 7 days, and 28 days was explored by the above range analysis. The author established linear regression models by automatically deleting the influencing factors that had a low degree of influence on the results in the modeling. Finally, the best regression model was selected by comparing the fitting degree of the model (multiple correlation coefficient R value). The regression model can change the independent variable to have a better predictive effect on the value of the dependent variable and can screen out the best value of the thermal insulation material performance within a certain range.
4.1. Forecast Model of the Regression Analysis
4.1.1. Establishment of Uniaxial Compressive Strength Regression Model
According to the results of the range analysis, the degree of influence on the uniaxial compressive strength of the 3 days thermal insulation material was: coal fly ash > tailings > basalt fiber. Then, according to the degree of influence, three models were obtained by SPSS linear regression analysis, as shown in Table 17. The significant p values of coal fly ash, tailings, and basalt fiber were all less than 0.05, indicating that the three factors had an impact on the 3 days compressive strength. In the three models, the significant p value of coal fly ash was 0, which also shows that coal fly ash had the greatest influence on the uniaxial compressive strength of the 3 days thermal insulation material, and once again verifies the results of the previous range analysis.
Table 17.
Three-day compressive strength regression analysis.
The multiple correlation coefficient R values of model 1, 2, 3 were R1 = 0.786, R2 = 0.720, and R3 = 0.635, respectively. The fitting degree of model 1 was the highest; so, model 1 was used as the regression model of 3 days uniaxial compressive strength.
From the results of the range analysis above, it can be seen that the degree of influence on the uniaxial compressive strength of the 28 days insulation material was: tailings > coal fly ash > basalt fiber. Then three models were obtained by SPSS linear regression analysis according to the degree of influence, as shown in Table 18. The basalt fiber significance was greater than 0.05, with no effect; the significance of coal fly ash was not 0 but was less than 0.05 and had a certain influence on the uniaxial compressive strength of the 28 days insulation material. The significance p value of the tailings in the three models was 0, indicating that the tailings had the greatest influence on the uniaxial compressive strength of the 28 days thermal insulation material. The results of the previous range analysis were verified again.
Table 18.
Twenty-eight-day compressive strength regression analysis.
The multiple correlation coefficient R values of models 4, 5, and 6 were R4 = 0.771, R5 = 0.734, and R6 = 0.668, and the fitting degree of model 4 was the highest. Therefore, model 4 was used as the 28 days uniaxial compressive strength regression model.
4.1.2. Establishment of Thermal Conductivity Regression Model
According to the results of the range analysis above, the degree of influence on the thermal conductivity of the 28 days insulation material was: basalt fiber >coal fly ash > tailings. Then, according to the degree of influence, three models were obtained by SPSS linear regression analysis, as shown in Table 19. The waste sand significance was greater than 0.05, with no effect; the significance of the coal fly ash and basalt fiber was not 0 but was less than 0.05 and had an effect on the uniaxial compressive strength of the 28 days insulation material, and judging from the p value, the influence of the basalt fiber was greater than that of the coal fly ash. The results of the previous range analysis were verified again.
Table 19.
Thermal conductivity regression analysis.
The multiple correlation coefficient R values of models 7, 8, and 9 were R7 = 0.850, R8 = 0.850, and R9 = 0.760, respectively. The fitting degree of model 7 and model 8 was the same. Considering that the significant p value of the tailings in model 7 was less than 0.05, the tailings had little effect on thermal conductivity. Therefore, model 8 was used as a 28 days thermal conductivity regression model.
4.2. Comparison of Prediction Model Theory and Experimental Values
4.2.1. Comparative Analysis of Linear Model Prediction
The regression model established by the 3 days, 7 days, 28 days compressive strength and thermal conductivity of the thermal insulation material obtained above and the actual test results of the test can be seen in Figure 19.
Figure 19.
Curves of measured and theoretical values of 3-day (a) and 28-day (b) uniaxial compressive strength and 28-day (c) thermal conductivity.
From the three figures of Figure 19, it can be seen that the measured values of the compressive strength and thermal conductivity were highly close to the predicted values. The established model could accurately reflect the changes in the compressive strength and thermal conductivity of 3 days, 7 days, and 28 days, and the prediction model had good accuracy.
4.2.2. Comparative Analysis of Surface Model Prediction
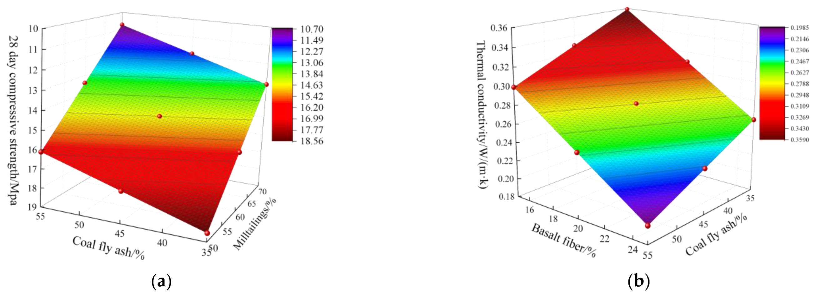
The three-dimensional surface model of Figure 20 was established by the regression model of the 28-day compressive strength and 28-day thermal conductivity.
Figure 20.
Three-dimensional visualization model of influencing factors of thermal insulation material performance. (a) Twenty-eight-day uniaxial compressive strength prediction three-dimensional model. (b) Three-dimensional prediction model of thermal conductivity.
In the formula, x refers to the amount of coal fly ash; y refers to the amount of tailings; and z refers to the content of basalt fiber.
The three-dimensional visualization of model 4 can be seen in Figure 20a. It can be seen in Figure 20a that when z is 15% (the smaller the basalt fiber in the test range, the greater the 28-day compressive strength) and when the coal fly ash content is 35%, the tailings content B increases from 51% to 67%, and the 28-day uniaxial strength of the thermal insulation material decreases by 23%. When the coal fly ash content is 55%, the tailings content increases from 51% to 67%, and the strength of the insulation material decreases by 27%. It can be seen that the sensitivity of the 28-day uniaxial strength of the thermal insulation materials to the tailings increases with the increase in coal fly ash content. This shows that in the preparation of thermal insulation materials, in order to ensure the strength of the thermal insulation materials, the amount of coal fly ash can be reduced as much as possible.
The three-dimensional visualization of model 8 can be seen in Figure 20b. It can be seen in Figure 20b that when the content of coal fly ash is 35%, the content of basalt fiber increases from 16% to 23%, and the thermal conductivity of the insulation material decreases by 20% in 28 days. When the coal fly ash content is 55%, the basalt fiber content increases from 16% to 23%, and the thermal conductivity of the insulation material decreases by 24%. It can be concluded that the sensitivity of the thermal conductivity of thermal insulation material to basalt fiber increases with the increase in coal fly ash content. This shows that in the preparation of thermal insulation materials, in order to ensure the low thermal conductivity of the thermal insulation materials, the value of coal fly ash content can be increased as much as possible.
4.3. Ratio Optimization Based on Regression Analysis
The key factors for the actual optimization of the thermal insulation shotcrete in a gold mine in Shandong are the uniaxial compressive strength and thermal conductivity of the thermal insulation materials. From the actual situation of the mine, it can be seen that the compressive strength of the thermal insulation material should be greater than 5 MPa for 3 days; the compressive strength of 28 days should be greater than 11 MPa; and the thermal conductivity of the mortar should not be greater than 0.233 W/(m·K). Thus, the following optimal model of the ratio parameters can be established.
In the formula, x refers to the amount of coal fly ash; y refers to the amount of tailings; and z refers to the content of basalt fiber.
According to the calculation of the actual model requirements of the mine, the optimal combinations to meet the actual requirements of the mine are A2B1C3 and A3B2C3. However, when considering the comprehensive efficacy analysis method, the optimal combination is A2B1C3, namely 45% coal fly ash, 50% tailings, and 25% basalt fiber.
5. Engineering Application
5.1. Overview of Mining Project
The gold mine in Shandong belongs to a mountainous and hilly landform, and the mining area is large. The gold vein can be divided into the No. I orebody and the No. III orebody, and its distribution is affected by the alteration zone. The ore characteristics of the two orebody groups are different from each other. The No. I orebody accounts for 74.7% of the total reserves. Its occurrence is steeper in the shallow and southern parts and slower in the deep and northern parts, and the deep veinlet disseminated mineralization is not obvious. The occurrence elevation is +30~−450 m; the No. III ore body accounts for 17.3% of the total reserves, and the occurrence elevation is +30~−270 m. When it develops toward the deeper area, the size of the ore body becomes smaller, and the number of ore bodies decreases rapidly.
The surrounding rock of the No. I ore body is mainly yellow iron sericite cataclastic rock, which is relatively broken. With the continuous downward mining, the original rock temperature of the mine also gradually increases. The measurement results show that the original rock temperature can reach 32 °C at 400 m underground. The complexity of deep mining is further improved under the coupling of the stress field and temperature field.
Therefore, considering the application of COMSOL Multiphysics multi-physics coupling software to analyze the coupling of the stress field and temperature field of the underground 400 m roadway in a gold mine in Shandong Province, the thermal insulation material obtained previously was used as a support method to explore the support and thermal insulation effect in the field application process. The practical application of mine thermal insulation materials was used to explore whether they meet the actual thermal insulation requirements of the mines.
According to the in situ monitoring data of the underground 400 m roadway in the study area, the roadway section is a semi-circular arch; the section width is 2.8 m; the straight wall height is 1.6 m; the arch height is 1.4 m; and the section area is 6.55 m2. The inner surface area of each 1 m long roadway is 9.68 m2, and the perimeter length of the roadway section is 10.396 m. The research area was selected to be the surrounding rock of the roadway, in the range of 14 m × 10 m × 1500 m [42], as shown in Figure 21.
Figure 21.
Roadway model.
The COMSOL direct solver was used to solve the problem. The specific parameter settings are shown in Table 20. it was is divided into two steps. The first step was mainly to calculate the flow field, and the second step was to solve the k-ε turbulence model after the convergence of the first step was less than one thousandth.
Table 20.
COMSOL Parameter Settings.
The heat capacity characteristics of the surrounding rock and air were based on the standard model data in the COMSOL6.0 software material library. It has universal significance.
5.2. Optimum Thickness Analysis of Roadway
It was concluded that the optimal thermal insulation material when considering the density, compressive strength and thermal conductivity of the thermal insulation materials was A2B1C3, in order to further explore the most economical thickness of thermal insulation materials for mines. Taking the thermal insulation material A2B1C3 as the shotcrete, the equal temperature distribution map was made of the shotcrete material with different thickness (from 0 mm to 400 mm) at the center of the underground, at 400 m and with a length of 1500 m, as shown in Figure 22:
Figure 22.
Roadway section isotherm distribution.
- (1)
- From Figure 22a–i, it can be seen that the temperature of the surrounding rock of the roadway gradually increases from the wall of the roadway to the depth of the surrounding rock until it approaches and reaches the temperature of the original rock.
- (2)
- With the increase in the thickness of the insulation layer, the temperature difference between the inside and outside of the roadway gradually increases, indicating that the increase in the thickness has an obvious cooling effect.
- (3)
- With the continuous increase in the thickness of the heat insulation layer in the roadway for every 50 mm increase, the temperature in the roadway decreases from 0.41 °C to 0.06 °C, and the decrease becomes smaller and smaller. Figure 23 shows the change of the center temperature of the roadway with the thickness of the shotcrete material. Considering the economic cost, the optimum thickness of the thermal insulation layer is 150 mm for the A2B1C3 material.
Figure 23. Roadway center temperature with material thickness change analysis diagram.
5.3. Actual Simulation Analysis of Mine
5.3.1. Model Establishment and Simulation Scheme
In this simulation, the roadway section of the roadway model was a semi-circular arch; the width of the section was 2.8 m; the height of the straight wall was 1.6 m; the arch height was 1.4 m; and the broken area was 6.55 m2. The inner surface area of the roadway was 9.68 m2, and the perimeter length of the roadway section was 10.396 m. The study area was selected to be the surrounding rock of the roadway in the range of 14 m × 10 m. The size of the insulation layer was established according to the design scheme. It was assumed that the surrounding rock and insulation layer of the roadway were homogeneous, homogeneous, and continuous and that the thermophysical properties did not change with the temperature. According to the actual parameters of the mine, the thermal conductivity of the surrounding rock is 0.023 W/(m K), and the constant pressure heat capacity is 800 kJ/kg. The temperature of the outer boundary of the roadway surrounding the rock is equal to the temperature of the original rock, and the temperature of the surrounding rock is 32 °C. According to the actual parameters of the mine, the thermal conductivity of the airflow is 1.43 W/(m·K), the constant pressure heat capacity is 1004 kJ/kg, and the temperature is 23 °C. The forced convection heat transfer coefficient in the turbulent state is 20 W/m2·K.
The results of the previous study showed that when considering the strength, thermal conductivity, and density of the insulation material, the optimal insulation material was A2B1C3. The thermal conductivity of the material was 0.228 W/(m·K), and the specific heat capacity was 0.6 kJ/kg·K. Therefore, the roadway stability after spraying a 150 mm thick layer of the best material, A2B1C3, was analyzed. Whether the material met the actual thermal insulation support requirements of a mine in Shandong was then explored.
5.3.2. Analysis of Mining Engineering Simulation Results
- (1)
- The initial equilibrium of the model
In the numerical simulation of ore body excavation, the influence of in situ stress field needs to be considered, due to the characteristics of ore body occurrence conditions. In COMSOL, the in situ stress field was applied by imposing constraints on the model boundary conditions, in which the gravity acceleration was 9.8 m/s2. In numerical simulations, the application of model boundary conditions can play a key role in the subsequent model calculation. In this paper, the in situ stress of the roadway was applied by adding stress boundary and inner surface conditions. Referring to the in situ stress measurement results of the gold mine, the initial in situ stress in the COMSOL simulation was assigned. The main calculation formula of ground stress is:
—horizontal maximum principal stress, MPa;
—minimum horizontal major stress, MPa;
—normal stress, MPa;
—depth of embedment, m.
The mechanical test results of the mine rock were sorted out, and then the widely used Hoek–Brown strength reduction method was used to calculate the rock mass parameters. The mechanical parameters of the surrounding rock and thermal insulation materials were obtained as shown in Table 21. The optimal ratio of A3B2C3 was selected for the insulation material, and the optimal thickness of the insulation layer was set to 150 mm.
Table 21.
Rock mass mechanical parameters.
In accordance with the initial stress formula given above, the model in situ stress was applied, and the result is shown in Figure 24; this is the initial stress distribution under the initial equilibrium state.
Figure 24.
Initial equilibrium state (The red arrow indicates the magnitude and direction of ground stress).
- (2)
- Roadway stability analysis
As shown in Figure 25, the stress distribution around the roadway is shown after the excavation of the roadway. Roadway excavation causes secondary disturbance to the surrounding rock mass, resulting in stress redistribution. The stress around the roadway presents a butterfly distribution, and the stress concentration phenomenon occurs in the two sides and the roof area. Combined with the plastic zone (Figure 26), it can be seen that due to the butterfly plastic zone around the roadway, the stress in the plastic zone is released, and the stress concentration phenomenon occurs at the butterfly intersection, which has a tendency to cause damage. The specific deformation is further analyzed in combination with the displacement.
Figure 25.
Stress distribution nephogram.
Figure 26.
Plastic zone distribution nephogram.
As shown in Figure 27, the displacement and deformation around the roadway were monitored, and the deformation results of the two sides and the roof were monitored. After the excavation of the roadway, the distribution around the roadway was more uniform. The maximum deformation of the two sides of the roadway was 6 mm; this was mainly located near the waist of the roadway, and the left and right were symmetrically deformed. The maximum subsidence value of the roof was 4 mm; this was mainly located in the middle of the roof.
Figure 27.
Displacement distribution nephogram: (a) horizontal deformation; (b) vertical deformation.
Figure 28 and Figure 29 are the sidewall deformation monitoring and roof deformation monitoring images, respectively. The comprehensive analysis shows that the deformation value of the roadway after shotcrete support was stable at millimeter level deformation, and the overall displacement of the roadway did not change greatly. Therefore, it can be considered that the overall state after shotcrete was relatively stable. The shotcrete material plays a good supporting role and meets the mechanical design requirements.
Figure 28.
Sidewall deformation monitoring.
Figure 29.
Roof deformation monitoring.
- (3)
- Analysis of temperature field around roadway
As shown in Figure 30, the isotherm cloud diagram after the end of the excavation of the roadway was 32 °C, and the internal temperature of the roadway was set to 23 °C. Due to the existence of thermal insulation materials, the internal temperature of the roadway can always be stabilized around 23 °C. The temperature increases step by step from the roadway wall to the external rock mass and finally reaches the original rock temperature. The thermal insulation material maintains the temperature stability inside the roadway and achieves the expected thermal insulation effect.
Figure 30.
Roadway isotherm cloud.
In order to analyze the temperature variation law of the surrounding rock wall, the temperature change from the roadway wall to the deep original rock was monitored, and the temperature change curve was drawn as shown in Figure 31. It can be seen that the temperature from the roadway wall to the original rock position shows a polynomial change law; the temperature change rate gradually decreases, and the original rock temperature is basically reached at 20 m from the roadway wall. The thermal insulation material can effectively block the propagation of high temperature into the roadway and can be stable at the preset initial temperature on the inner wall of the roadway.
Figure 31.
Horizontal position temperature change of surrounding rock wall.
Based on the above analysis of the mechanical field and temperature field of the roadway after the excavation of the roadway and after the 150 mm support of the shotcrete A3B2C3 material, the whole roadway was not only in a relatively stable state, but the temperature in the roadway was also about 23 °C. That is, the thermal insulation shotcrete material meets the requirements of 400 m underground shotcrete support in a mine in Shandong Province.
5.4. Applications in the Field
The spraying process in this roadway spraying test used dry spraying cement mortar. The selected spraying machine model was a PZ dry concrete spraying machine. The selected spraying ratio was A2B1C3 (coal fly ash 45%, tailings 50%, and basalt fiber 25%). The work was carried out by first spraying to a 50 mm thickness and then spraying to 100 mm.
5.4.1. Spraying Process
This roadway shotcrete test was composed of six people in a group. Firstly, according to the ratio of the test materials, the shotcrete materials were prepared on the well, and the shotcrete materials were transported by the mine car to the underground operation site; then, the specific construction operation was carried out. The specific operation process was as follows:
- (1)
- The shotcrete workers first check the viscosity of the slurry transported from the well to determine the application of the shotcrete material.
- (2)
- With the material conveying pipeline, the nozzle is connected to the wall of the sprayed roadway, and a small area of test spraying is carried out. According to the test results and the relevant operating procedures, the pressure of the shotcrete machine and the distance between the working face are judged. After the slurry material pipeline is laid, the pipeline ventilation test is first carried out to ensure that the pipeline is not blocked when the spraying starts.
- (3)
- The spraying workers manually add the spraying material to the hopper of the dry spraying machine and adjust the hopper position. In order to ensure the continuity of the spraying operation, several workers are required to continuously feed the material.
- (4)
- The shotcreting operation is carried out by a sprayer holding a nozzle on the wall surface of the shotcrete roadway. During the shotcrete process, the water content of the shotcrete material is controlled by the worker at the nozzle position.
- (5)
- According to the actual operation experience of the mine and the performance of the thermal insulation mortar, the first 50 mm thick layer of the roadway is sprayed. After the initial spray mortar layer is finalized, the surface of the spray layer is cleaned to ensure its smoothness. According to the ratio of the preparation of the mortar spray for the double spray, the double spray thickness is 100 mm.
- (6)
- After the final setting of the compound spray slurry, the spray slurry is moisturized by spraying to ensure that the spray slurry can be cured under better conditions. The degree of humidification of the specific roadway wall is adjusted according to the actual situation of the mine.
5.4.2. Effect Analysis
A mining joint at a −400 m level of the mine was selected as the test site, and the shotcrete support was carried out according to the construction scheme given above. After the shotcrete, the convergence deformation measurement of the roadway wall and the internal temperature measurement were carried out.
The convergence deformation of the roadway was measured by a JSS30 A digital convergence meter, and the temperature of roadway was automatically collected by an RC-4 temperature recorder. The hook was installed on the two sides of the roadway before the spraying. After the spraying, the convergence meter was used to monitor the deformation of the inner wall of the roadway. Two sets of monitoring points were installed, and the data were measured regularly for a total of 45 days. The monitoring results are shown in Figure 32a. During the 45-day monitoring time, the horizontal displacement of the two monitoring points changed between 4 and 6 mm. Although the convergence rate of the two monitoring points was somewhat different, the overall change law was basically the same; that is, the roadway showed a trend of gradual convergence, but the convergence value was relatively small. The shotcrete material effectively reduced the convergence deformation of the roadway; it kept the roadway stable and had a good supporting effect.
Figure 32.
Roadway monitoring results: (a) roadway convergence detection; (b) roadway temperature detection.
After the grouting was completed, the roadway was ventilated in time, and the wind speed was stable at 2.0 m/s. Four temperature recorders were selected to monitor the temperature inside the roadway at different positions of the roadway. The monitoring interval was set to 1h, and the temperature variation law inside the roadway was collected in real time within 7 days, as shown in Figure 32b.
It can be seen from the figure that the temperature change value of each sensor was concentrated between 22 °C and 24 °C; the temperature change tended to be stable, and the overall change range was small. The shotcrete insulation material can better maintain the internal temperature of the roadway.
6. Generalization
6.1. Conclusions
Based on the exploration of kinds of thermal insulation materials for mines, nine kinds of thermal insulation materials with different ratios were obtained by an orthogonal test. The relationship between the uniaxial compressive strength, elastic modulus, apparent density, thermal conductivity, and composition of the thermal insulation materials was analyzed, and the thermal insulation mortar with the best comprehensive effect was obtained by various numerical analysis methods. Through COMSOL numerical simulation, the temperature changes of nine kinds of thermal insulation mortar in the center of a roadway under different thicknesses and the applicability of the best thermal insulation material in the mine under the best thickness were explored. The effect of thermal insulation spray was further verified by field industrial application. The main conclusions are as follows:
- (1)
- According to the analysis results of the orthogonal test, the influence degree of each component on the 28-day uniaxial compressive strength was: tailings content > coal fly ash content > basalt fiber content; the influence degree of each component on the 28-day elastic modulus was: tailings content > basalt fiber content > coal fly ash content; the influence degree of each component on the 28-day apparent density was: basalt fiber content > coal fly ash content > tailings content; the influence degree of each component on the 28-day thermal conductivity was: basalt fiber content > coal fly ash content > tailings content.
- (2)
- The regression analysis showed that the most suitable regression models for 3-day uniaxial compressive strength, 28-day uniaxial compressive strength, and 28-day thermal conductivity were P3 = 21.456 − 0.1546x − 0.078y − 0.167z; P28 = 39.207 − 0.122x − 0.27y − 0.192z; and T28 = 0.614 − 0.003x − 0.01z. The theoretical value of the prediction model was close to the actual value, which proves that the prediction model has good accuracy.
- (3)
- Considering the uniaxial compressive strength, apparent density, and thermal conductivity of mine thermal insulation mortar, the optimal thermal insulation material in nine kinds of thermal insulation mortar was A2B1C3, that is, 45% fly ash, 50% tailings, and 25% basalt fiber (the percentage of the total mass of fly ash and cement). The compressive strength of the material was 16.26 MPa. The thermal conductivity was 0.228561 W/(m·k), and the apparent density was 1544.00 kg/m3.
- (4)
- With the continuous increase in the thickness of the heat insulation layer in the roadway for every 50 mm increase, the temperature reduction range at the center of the roadway (750 m at the roadway with a length of 1500 m) was 0.41 °C to 0.06 °C, and the temperature reduction at the center of the roadway decreased with the increase in the thickness of the shotcrete. The optimum thickness of the heat insulation layer of A2B1C3 was 150 mm.
- (5)
- In the mine field test, it was concluded that when the comprehensive optimal thermal insulation material A2B1C3 was sprayed with a 150 mm thickness, the simulation results showed that the deformation value of the roadway after shotcrete support was stable at the millimeter level deformation, and the overall displacement of the roadway did not change greatly. Therefore, it can be concluded that the overall state after the shotcrete was relatively stable. The temperature in the roadway was stable at the airflow temperature, and the thermal insulation material maintained the temperature stability inside the roadway and achieved the expected thermal insulation effect. That is to say, the mine solid waste insulation material meets the support requirements and has a good thermal insulation effect.
6.2. Prospects
- (1)
- The spray insulation material is not only convenient to transport; the actual rebound of the material should also be considered. At a later stage, further research on the rebound performance and the economy of the material should be carried out.
- (2)
- This experiment only explores the relatively optimal ratio; the more detailed optimal ratio in this range can be further explored.
- (3)
- In this experiment, the mechanical and thermal parameters of the material were only tested for 28 days, and the field test also had certain limitations. Further accurate experimental parameter tests were needed to determine its applicability.
- (4)
- It is necessary to carry out experiments in different mine environments to further verify the universality of the thermal insulation material in practical engineering and meet the thermal insulation needs of more mines.
Author Contributions
Conceptualization, J.F.; methodology, J.F.; validation, X.W.; data curation, W.Z.; writing—original draft, X.W.; visualization, W.Z.; funding acquisition, J.F. All authors have read and agreed to the published version of the manuscript.
Funding
This work was supported by the National Key Research and Development Program of China (2022YFC2905003) and the National Natural Science Foundation of China (52274109) for financial support.
Acknowledgments
We acknowledge the other researchers in the research group for their encouragement and constructive comments on the manuscript. We would also like to acknowledge the reviewers for their comments, which helped to improve the manuscript.
Conflicts of Interest
The work has never been published in any journal. The authors agree that there is no conflict of interest in publishing the article.
References
- Zhao, Y.; Yang, T.; Liu, H.; Wang, S.; Zhang, P.; Jia, P.; Wang, X. A Path for Evaluating the Mechanical Response of Rock Masses Based on Deep Mining-Induced Microseismic Data: A Case Study. Tunn. Undergr. Space Technol. 2021, 115, 104025. [Google Scholar] [CrossRef]
- de Brito, J.; Kurda, R. The Past and Future of Sustainable Concrete: A Critical Review and New Strategies on Cement-Based Materials. J. Clean. Prod. 2021, 281, 123558. [Google Scholar] [CrossRef]
- Adiguzel, D.; Tuylu, S.; Eker, H. Utilization of Tailings in Concrete Products: A Review. Constr. Build. Mater. 2022, 360, 129574. [Google Scholar] [CrossRef]
- Cai, M.; Duo, J.; Chen, X.; Mao, J.; Tang, C.; Liu, Z.; Ji, H.; Ren, F.; Guo, Q.; Li, P. Research on the co-exploitation strategy of deep mineral and geothermal resources. China Eng. Sci. 2021, 23, 43–51. [Google Scholar] [CrossRef]
- Galan, I.; Baldermann, A.; Kusterle, W.; Dietzel, M.; Mittermayr, F. Durability of Shotcrete for Underground Support—Review and Update. Constr. Build. Mater. 2019, 202, 465–493. [Google Scholar] [CrossRef]
- Ikumi, T.; Salvador, R.P.; Aguado, A. Mix Proportioning of Sprayed Concrete: A Systematic Literature Review. Tunn. Undergr. Space Technol. 2022, 124, 104456. [Google Scholar] [CrossRef]
- Jones, H.; Boger, D.V. Sustainability and Waste Management in the Resource Industries. Ind. Eng. Chem. Res. 2012, 51, 10057–10065. [Google Scholar] [CrossRef]
- Jing, M.; Ao, H. Hazards of mine solid waste and its environmental protection treatment technology. Resour. Conserv. Environ. Prot. 2018, 146. [Google Scholar] [CrossRef]
- Garcia-Troncoso, N.; Baykara, H.; Cornejo, M.H.; Riofrio, A.; Tinoco-Hidalgo, M.; Flores-Rada, J. Comparative Mechanical Properties of Conventional Concrete Mixture and Concrete Incorporating Mining Tailings Sands. Case Stud. Constr. Mater. 2022, 16, e01031. [Google Scholar] [CrossRef]
- Zhao, S.; Fan, J.; Sun, W. Utilization of Iron Ore Tailings as Fine Aggregate in Ultra-High Performance Concrete. Constr. Build. Mater. 2014, 50, 540–548. [Google Scholar] [CrossRef]
- Chen, S.-C.; Gao, M.-Y.; Lin, W.-T.; Liang, J.-F.; Li, D.-W. Effects of Incorporating Large Quantities of Copper Tailings with Various Particle Sizes on the Strength and Pore Structure of Cement-Based Materials. Constr. Build. Mater. 2022, 329, 127150. [Google Scholar] [CrossRef]
- Nayak, D.K.; Abhilash, P.P.; Singh, R.; Kumar, R.; Kumar, V. Fly Ash for Sustainable Construction: A Review of Fly Ash Concrete and Its Beneficial Use Case Studies. Clean. Mater. 2022, 6, 100143. [Google Scholar] [CrossRef]
- Reddy, P.V.R.K.; Ravi Prasad, D. A Study on Workability, Strength and Microstructure Characteristics of Graphene Oxide and Fly Ash Based Concrete. Mater. Today Proc. 2022, 62, 2919–2925. [Google Scholar] [CrossRef]
- Wang, Z. Influence of Fly Ash on the Mechanical Properties of Frame Concrete. Sustain. Cities Soc. 2011, 1, 164–169. [Google Scholar] [CrossRef]
- Golewski, G.L. Effect of Curing Time on the Fracture Toughness of Fly Ash Concrete Composites. Compos. Struct. 2018, 185, 105–112. [Google Scholar] [CrossRef]
- Topçu, İ.B.; Canbaz, M. Effect of Different Fibers on the Mechanical Properties of Concrete Containing Fly Ash. Constr. Build. Mater. 2007, 21, 1486–1491. [Google Scholar] [CrossRef]
- Akid, A.S.M.; Hossain, S.; Munshi, M.I.U.; Elahi, M.M.A.; Sobuz, M.H.R.; Tam, V.W.Y.; Islam, M.S. Assessing the Influence of Fly Ash and Polypropylene Fiber on Fresh, Mechanical and Durability Properties of Concrete. J. King Saud. Univ.—Eng. Sci. 2021, S101836392100088X. [Google Scholar] [CrossRef]
- Zhang, Y.; Wan, Z. Study on Unsteady Temperature Field and Heat Insulation Cooling Mechanism of Surrounding Rock in High Ground Temperature Roadway. Ph.D. Thesis, China University of Mining and Technology, Xuzhou, China, 2013. [Google Scholar]
- Wu, D.; Wan, Z. Experimental Study on the Mechanism of Shotcrete Thermal Insulation in High Geothermal Roadway. Master’s Thesis, China University of Mining and Technology, Xuzhou, China, 2019. [Google Scholar]
- Li, Z.; Xu, Y.; Jia, M.; Liu, H.; Pan, W.; Deng, Y. Numerical simulation of heat damage control by synergistic mining of geothermal energy in deep mine strata. J. Cent. South Univ. (Nat. Sci. Ed.) 2021, 52, 671–680. [Google Scholar]
- Feng, J.; Zhang, C.; Feng, J. Carbon Fiber Reinforced Carbon Aerogel Composites for Thermal Insulation Prepared by Soft Reinforcement. Mater. Lett. 2012, 67, 266–268. [Google Scholar] [CrossRef]
- Rojas, C.; Cea, M.; Iriarte, A.; Valdés, G.; Navia, R.; Cárdenas-R, J.P. Thermal Insulation Materials Based on Agricultural Residual Wheat Straw and Corn Husk Biomass, for Application in Sustainable Buildings. Sustain. Mater. Technol. 2019, 20, e00102. [Google Scholar] [CrossRef]
- Chen, L.; Meng, X.; Liu, G.; Zhao, J.; Liu, Z. Investigation of a New Type of Thermal Insulation Shotcrete with Silicone Rubber Tubes (SSRT). Constr. Build. Mater. 2022, 338, 127631. [Google Scholar] [CrossRef]
- Yao, R.; Zhang, Y. Development of thermal insulation material for roadway in deep coal mine. Mater. Sci. Eng. 2002, 20, 572–575. [Google Scholar] [CrossRef]
- Song, Q.; Li, G.; Ma, Y.; Li, J.; Xing, H.; Li, H. Experimental study on the thermal insulation performance of fly ash foam glass. Archit. Sci. 2014, 30, 63–66, 90. [Google Scholar]
- Pang, J.; Yao, W. Experimental study on new thermal insulation materials for high temperature roadway in deep coal mine. Min. Res. Dev. 2016, 36, 76–80. [Google Scholar]
- Gong, C.; Ni, X. Research and Application of Straw Fly Ash Lightweight Board. Master’s Thesis, Anhui University of Science and Technology, Huainan, China, 2016. [Google Scholar]
- Zhang, D.; Gao, J. Performance Optimization and Application Research of Expanded Vitrified Microsphere Insulation Board. Master’s Thesis, North China University of Technology, Beijing, China, 2017. [Google Scholar]
- Deng, H.; Tian, X.; Xu, Y. Experimental study on the performance of thermal insulation materials for surrounding rock in deep mining. Non-Ferr. Met. Eng. 2018, 8, 103–107, 116. [Google Scholar]
- Jiang, Y.; Xin, S.; Zhang, L.; Zhang, Z.; Guo, J.; Hou, C.; Li, H. Comparative experimental study on the properties of three kinds of mining thermal insulation materials. Min. Res. Dev. 2020, 40, 85–88. [Google Scholar]
- Shi, X.; Zhang, R.; Ho, S.; Li, Z.; Cao, W.; Cheng, X. Preparation and thermal insulation properties of glass fiber reinforced SiO2 aerogel composites. Silic. J. 2016, 44, 129–135. [Google Scholar]
- Ralph, C.; Lemoine, P.; Boyd, A.; Archer, E.; McIlhagger, A. The Effect of Fibre Sizing on the Modification of Basalt Fibre Surface in Preparation for Bonding to Polypropylene. Appl. Surf. Sci. 2019, 475, 435–445. [Google Scholar] [CrossRef]
- Zheng, Y.; Zhang, Y.; Zhuo, J.; Zhang, Y.; Wan, C. A Review of the Mechanical Properties and Durability of Basalt Fiber-Reinforced Concrete. Constr. Build. Mater. 2022, 359, 129360. [Google Scholar] [CrossRef]
- Pehlivanlı, Z.O.; Uzun, İ.; Demir, İ. Mechanical and Microstructural Features of Autoclaved Aerated Concrete Reinforced with Autoclaved Polypropylene, Carbon, Basalt and Glass Fiber. Constr. Build. Mater. 2015, 96, 428–433. [Google Scholar] [CrossRef]
- Hou, C.; Xin, S.; Zhang, L.; Liu, S.; Zhang, X. Foundation Research on Physicochemical Properties of Mine Insulation Materials. Coatings 2020, 10, 355. [Google Scholar] [CrossRef]
- Li, X.; Yu, T.; Park, S.-J.; Kim, Y.-H. Reinforcing Effects of Gypsum Composite with Basalt Fiber and Diatomite for Improvement of High-Temperature Endurance. Constr. Build. Mater. 2022, 325, 126762. [Google Scholar] [CrossRef]
- Li, Y.; Zhang, J.; He, Y.; Huang, G.; Li, J.; Niu, Z.; Gao, B. A Review on Durability of Basalt Fiber Reinforced Concrete. Compos. Sci. Technol. 2022, 225, 109519. [Google Scholar] [CrossRef]
- Meyyappan, P.L.; Jemimah Carmichael, M. Studies on Strength Properties of Basalt Fibre Reinforced Concrete. Mater. Today Proc. 2021, 43, 2105–2108. [Google Scholar] [CrossRef]
- GB/T 50107-2010; Standard for inspection and evaluation of concrete strength. Ministry of Housing and Urban-Rural Development: Beijing, China, 2010.
- BS EN 206-1:2000; Concrete, Specification, Performance, Production and Conformity. British Standards Institution: London, UK, 2000.
- Egorova, A.A.; Rybak, J.; Stefaniuk, D.; Zajączkowski, P. Basic Aspects of Deep Soil Mixing Technology Control. IOP Conf. Ser. Mater. Sci. Eng. 2017, 245, 022019. [Google Scholar] [CrossRef]
- Cheng, L.; Chen, K.; Qiu, S.; Chen, Y. Numerical simulation and distribution law of thermal environment in tunneling roadway based on Fluent. Ind. Saf. Environ. Prot. 2022, 48, 1–5. [Google Scholar]
Disclaimer/Publisher’s Note: The statements, opinions and data contained in all publications are solely those of the individual author(s) and contributor(s) and not of MDPI and/or the editor(s). MDPI and/or the editor(s) disclaim responsibility for any injury to people or property resulting from any ideas, methods, instructions or products referred to in the content. |
© 2023 by the authors. Licensee MDPI, Basel, Switzerland. This article is an open access article distributed under the terms and conditions of the Creative Commons Attribution (CC BY) license (https://creativecommons.org/licenses/by/4.0/).































