Effect of Curing Temperature under Deep Mining Conditions on the Mechanical Properties of Cemented Paste Backfill
Abstract
1. Introduction
2. Materials and Methods
2.1. Experimental Materials
2.2. Experimental Method
2.2.1. Physical Property and Compressive Strength Test
2.2.2. Micro-Performance Test Method
3. Results and Discussion
3.1. Evolution Law of Physical Properties at Different Curing Temperatures
3.2. Change Law of Uniaxial Compressive Strength under Different Curing Temperatures
3.2.1. Effect of Curing Temperature on the Evolution Trend of Uniaxial Compressive Strength with Curing Time
3.2.2. Effect of Curing Temperature on the Strength at the Same Curing Time
3.3. Microstructure Analysis of CPB under Different Curing Temperatures
3.3.1. Results of TGA/DTG and XRD
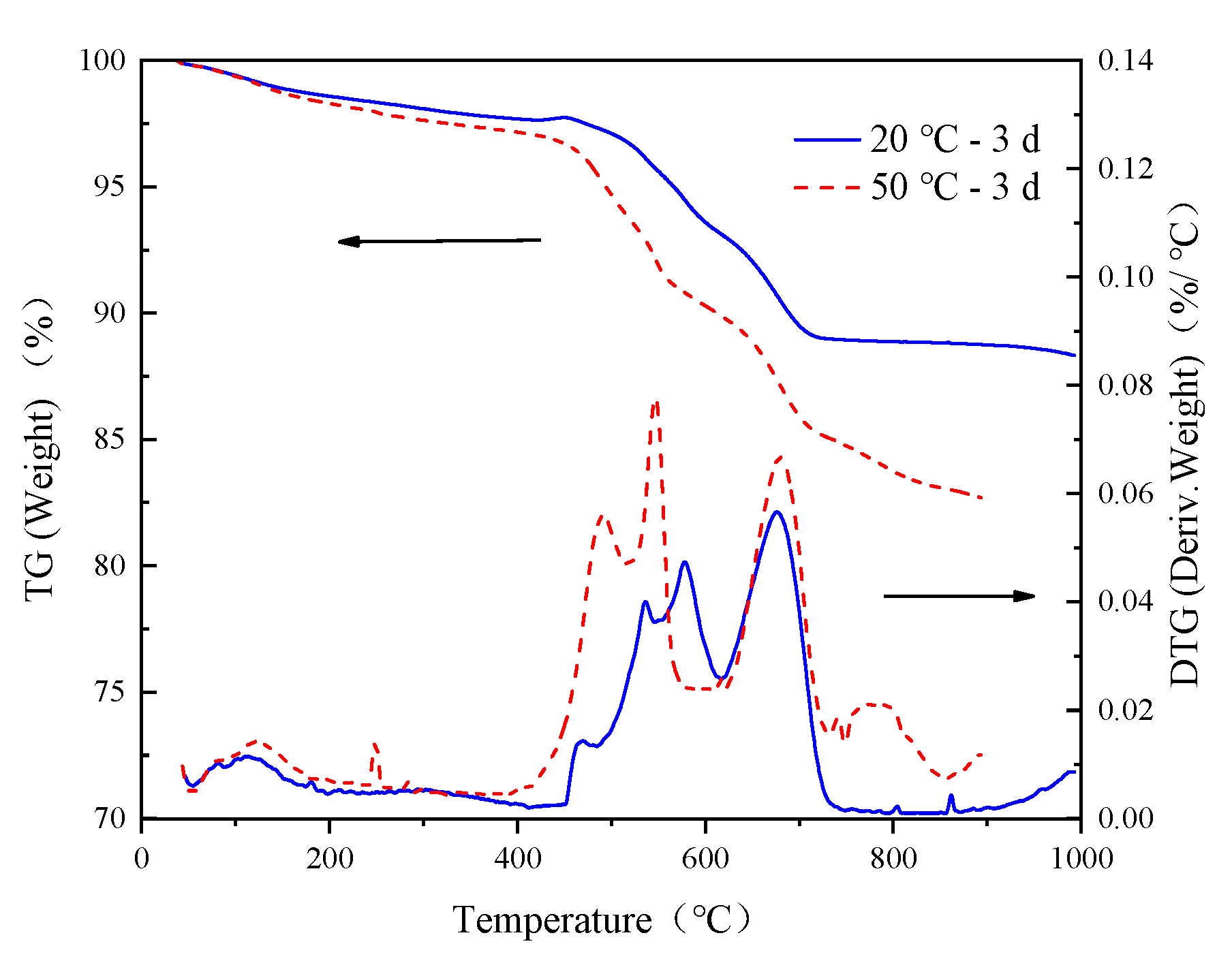
Analysis of Results at 20 °C and 50 °C for 3 d
Analysis at 40 °C and 65 °C for 28 d
The Consistency of the Results of the Two Analytical Methods
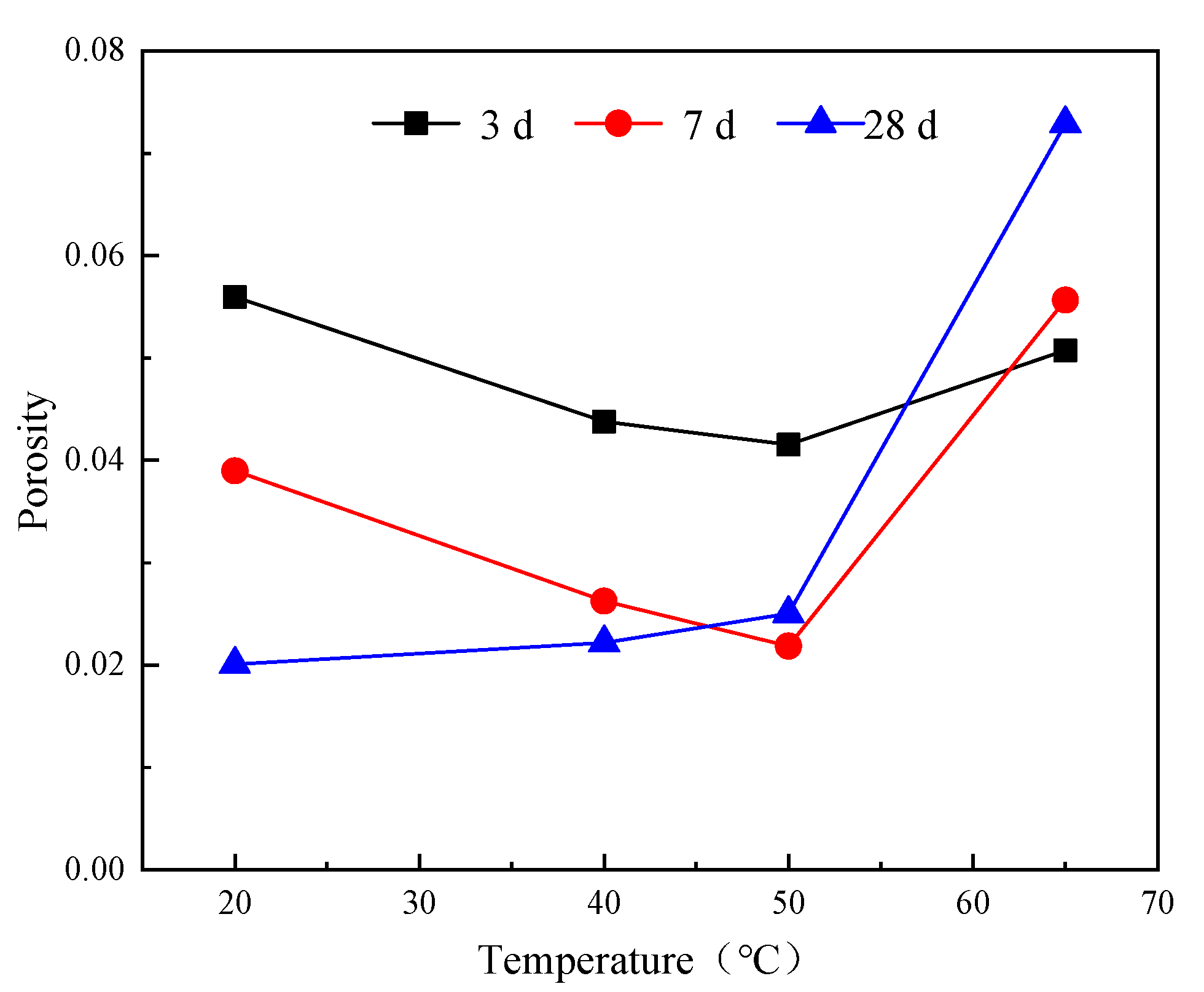
3.3.2. Electron Microscope Scanning and Pore Analysis
4. Effect of Different Curing Temperatures on Deformation Characteristics of CPB
4.1. Effect of Curing Temperature on the Stress-Strain Curve
4.2. Effect of Curing Temperature on Elastic Modulus
4.3. Effect of Curing Temperature on the Relationship between Uniaxial Compressive Strength and Elastic Modulus
4.4. Strength Prediction Model of CPB under Different Curing Temperatures
5. Conclusions
- (1)
- The uniaxial compressive strength of CPB at different temperatures was tested. Microscopic tests, such as TGA/DTG, XRD and SEM analysis, were carried out. It was observed that different curing temperatures had a significant impact on the development of strength. When the temperature was less than 35 °C, the temperature increased promoted strength development. When the temperature was 40 °C, the CPB strength deteriorated at 28 d, and the higher the curing temperature, the more serious the deterioration of strength. When the curing temperature was 65 °C, the samples became seriously crisp. The temperature increase was the main reason for the coarsening of the CPB pore structure and strength reduction.
- (2)
- In addition to the 28 d’s stress-strain curve at 40 °C and 50 °C, the law that the slope of the stress-strain curve in the elastic phase gradually increases with increasing curing time was met at each curing temperature. In addition, the curing temperature had great impact on the strain value corresponding to the peak stress. At 3 d, 7 d and 14 d, the elastic modulus first increased and then decreased with increasing curing temperature. At 28 d, the elastic modulus continued to decrease with the increased curing temperature. This was because the temperature increase led to greater and coarser pore structure in samples, and the interface between aggregate and cement slurry also became more porous. The microcracks in the interface area were more likely to occur under pressure. Linear fitting of curing temperature on the relationship between uniaxial compressive strength and elastic modulus showed that curing temperature had no obvious effect on the relationship between elastic modulus and uniaxial compressive strength, but there was a significant linear relationship between elastic modulus and uniaxial compressive strength.
- (3)
- Based on the MATLAB analysis, 20 groups of experimental data were selected. Fifteen groups were randomly selected as training samples and five groups were validation samples. The BP neural network model of strength under different curing temperatures was established. By comparing the measured value with the predicted value, the average absolute error was less than 0.2 MPa, and the average relative error was less than 6%, indicating that the prediction model had high accuracy.
Author Contributions
Funding
Institutional Review Board Statement
Informed Consent Statement
Data Availability Statement
Conflicts of Interest
References
- Li, X.; Zhou, J.; Wang, S.; Liu, B. Review and practice of deep mining for solid mineral resources. Chin. J. Nonferrous Met. 2017, 27, 1236–1262. [Google Scholar]
- Xi, J. Full Text of General Secretary Xi Jinping’s Speech: Struggle to Build a World Power in Science and Technology. Available online: http://www.cast.org.cn/n17040442/n17135960/n17136021/17226246.html.2016 (accessed on 30 May 2016).
- Rawlins, C.A.; Philips, H.R. Reduction of in mine heat loads. In Proceedings of the 7th International Mine Ventilation Congress, Cracow, Poland, 17–22 June 2001; pp. 381–389. [Google Scholar]
- Wu, A.; Yang, Y.; Cheng, H.; Chen, S.; Han, Y. Status and prospects of paste technology in China. Chin. J. Eng. 2018, 40, 517–525. [Google Scholar]
- Henriquez, J.; Simms, P. Dynamic imaging and modelling of multilayer deposition of gold paste tailings. Min. Eng. 2009, 22, 128–139. [Google Scholar] [CrossRef]
- Reid, C.; Bécaert, V.; Aubertin, M. Life cycle assessment of mine tailings management in Canada. J. Clean. Prod. 2009, 17, 471–479. [Google Scholar] [CrossRef]
- Li, S.; Zhao, Z.; Yu, H.; Wang, X. The recent progress China has made in the backfill mining method, Part II: The composition and typical examples of backfill systems. Minerals 2021, 11, 1362. [Google Scholar] [CrossRef]
- Zhao, Y.; Soltani, A.; Taheri, A.; Karakus, M.; Deng, A. Application of slag–cement and fly ash for strength development in cemented paste backfills. Minerals 2019, 9, 22. [Google Scholar] [CrossRef]
- Mbonimpa, M.; Kwizera, P.; Belem, T. Mine backfilling in the permafrost, Part II: Effect of declining curing temperature on the short-term unconfined compressive strength of cemented paste backfills. Minerals 2019, 9, 172. [Google Scholar] [CrossRef]
- Bresson, B.; Meducin, F.; Zanni, H.; Noik, C. Hydration of tricalcium silicate (C 3 S) at high temperature and high pressure. J. Mater. Sci. 2002, 37, 5355–5365. [Google Scholar] [CrossRef]
- Escalante, G.; Sharp, J.H. The microstructure and mechanical properties of blended cements hydrated at various temperatures. Cem. Concr. Res. 2001, 31, 695–702. [Google Scholar] [CrossRef]
- Kim, J.K.; Han, S.H.; Park, S.K. Effect of temperature and aging on the mechanical properties of concrete: Part I. Experimental results. Cem. Concr. Res. 2002, 32, 1087–1094. [Google Scholar] [CrossRef]
- Lothenbach, B.; Winnefeld, F.; Alder, C.; Wieland, E.; Lunk, P. Effect of temperature on the pore solution, microstructure and hydration products of Portland cement pastes. Cem. Concr. Res. 2007, 37, 483–491. [Google Scholar] [CrossRef]
- Thomas, E.G. Characteristics and Behaviour of Hydraulic Fill Material; University of Queensland: St Lucia, Australia, 1969. [Google Scholar]
- Li, X. Study on Optimization of Mixing Ratio of Water-Sand Cement Filling Materials; Kunming University of Science and Technology: Kunming, China, 2005. [Google Scholar]
- Jiang, H.; Fall, M. Yield stress and strength of saline cemented tailings in sub-zero environments: Portland cement paste backfill. Int. J. Min. Process. 2017, 160, 68–75. [Google Scholar] [CrossRef]
- Celestin, H.J.C. Geotechnical Properties of Cemented Paste Backfill and Tailings Liners: Effect of Mix Components and Temperature; University of Ottawa: Ottawa, ON, Canada, 2008. [Google Scholar]
- Pokharel, M.; Fall, M. Combined influence of sulphate and temperature on the saturated hydraulic conductivity of hardened cemented paste backfill. Cem. Concr. Compos. 2013, 38, 21–28. [Google Scholar] [CrossRef]
- Aldhafeeri, Z.; Fall, M.; Pokharel, M.; Pouramini, Z. Temperature dependence of the reactivity of cemented paste backfill. Appl. Geochem. 2016, 72, 10–19. [Google Scholar] [CrossRef]
- Wang, Y. Initial Temperature-Dependence of Multi-Field Property Correlation and Mechanical Behaviors for Cemented Paste Backfill; University of Science and Technology Beijing: Beijing, China, 2017. [Google Scholar]
- Fall, M.; Célestin, J.C.; Pokharel, M.; Touré, M. A contribution to understanding the effects of curing temperature on the mechanical properties of mine cemented tailings backfill. Eng. Geol. 2010, 114, 397–413. [Google Scholar] [CrossRef]
- Wu, D.; Fall, M.; Cai, S. Coupling temperature, cement hydration and rheological behavior of fresh cemented paste backfill. Min. Eng. 2013, 42, 76–87. [Google Scholar] [CrossRef]
- Hashim, A.R.; Fathollah, S. The effect of heat treatment on the compressive strength of cement-slag mortars. Mater. Des. 2011, 32, 4618–4628. [Google Scholar]
- Roy, D.M.; Gouda, G.R. Porosity-strength relation in cementitious materials with very high strengths. J. Am. Ceram. Soc. 1973, 56, 549–550. [Google Scholar] [CrossRef]
- Su, H.; Song, X.; He, Q. Mechanical properties and energy evolution of cemented tailings backfill at different curing temperatures. J. Min. Strata Control Eng. 2023, 5, 1–11. [Google Scholar]
- Yildirim, H.; Sengul, O. Modulus of elasticity of substandard and normal concretes. Constr. Build. Mater. 2011, 25, 1645–1652. [Google Scholar] [CrossRef]
- Wen, K.; Gao, Q.; Chen, D.; Wang, Y. Orthogonal-BP neural network model for strength of phosphogypsum-based cementitious material backfill. Ind. Miner. Process. 2018, 47, 60–64+68. [Google Scholar]
- Zhao, M. Prediction of Strength for Recycled Aggregate Thermal Insulation Concrete Based on GA-BP Neural Network; Taiyuan University of Technology: Taiyuan, China, 2018. [Google Scholar]























| Proportion | Average Loose Density/t·m−3 | Average Density/t·m−3 | Loose Porosity/% | Dense Porosity/% |
|---|---|---|---|---|
| 3.09 | 1.407 | 1.653 | 54.45 | 46.5 |
| Particle size composition | D10/μm | D25/μm | D50/μm | D75/μm |
| 7.382 | 17.478 | 45.949 | 122.475 |
| SiO2 | Fe2O3 | Al2O3 | CaO | SO3 | MgO |
|---|---|---|---|---|---|
| 40.8383 | 21.1618 | 14.0069 | 8.1996 | 5.2409 | 3.6918 |
| Temperature | 20 °C | 35 °C | 40 °C | 50 °C | 65 °C | |
|---|---|---|---|---|---|---|
| Time | ||||||
| 3d | 0.956 | 1.972 | 2.016 | 2.346 | 1.953 | |
| 7d | 1.458 | 2.260 | 2.506 | 2.644 | 1.813 | |
| 14d | 2.376 | 2.630 | 2.684 | 3.310 | 1.113 | |
| 28d | 2.792 | 3.030 | 2.410 | 1.933 | 0.937 | |
| Number | Measured Values/MPa | Predicted Values/MPa | Absolute Error/MPa | Relative Error/% |
|---|---|---|---|---|
| 1 | 1.458 | 1.498 | −0.040 | −2.709 |
| 2 | 2.016 | 2.058 | −0.042 | −2.063 |
| 3 | 2.792 | 2.793 | −0.001 | −0.039 |
| 4 | 2.376 | 2.341 | 0.035 | 1.465 |
| 5 | 2.26 | 2.381 | −0.121 | −5.332 |
| 6 | 3.03 | 3.034 | −0.004 | −0.122 |
| 7 | 3.31 | 3.280 | 0.030 | 0.900 |
| 8 | 2.506 | 2.599 | −0.093 | −3.703 |
| 9 | 1.953 | 1.952 | 0.001 | 0.046 |
| 10 | 1.933 | 1.934 | 0.000 | −0.026 |
| 11 | 1.1129 | 1.114 | −0.001 | −0.072 |
| 12 | 0.956 | 0.973 | −0.017 | −1.778 |
| 13 | 1.972 | 1.851 | 0.122 | 6.161 |
| 14 | 2.346 | 2.176 | 0.171 | 7.268 |
| 15 | 2.41 | 3.002 | −0.592 | −24.544 |
| Average value | 0.084 | 3.749 |
Disclaimer/Publisher’s Note: The statements, opinions and data contained in all publications are solely those of the individual author(s) and contributor(s) and not of MDPI and/or the editor(s). MDPI and/or the editor(s) disclaim responsibility for any injury to people or property resulting from any ideas, methods, instructions or products referred to in the content. |
© 2023 by the authors. Licensee MDPI, Basel, Switzerland. This article is an open access article distributed under the terms and conditions of the Creative Commons Attribution (CC BY) license (https://creativecommons.org/licenses/by/4.0/).
Share and Cite
Wang, Y.; Cao, Y.; Cao, C.; Wang, H. Effect of Curing Temperature under Deep Mining Conditions on the Mechanical Properties of Cemented Paste Backfill. Minerals 2023, 13, 383. https://doi.org/10.3390/min13030383
Wang Y, Cao Y, Cao C, Wang H. Effect of Curing Temperature under Deep Mining Conditions on the Mechanical Properties of Cemented Paste Backfill. Minerals. 2023; 13(3):383. https://doi.org/10.3390/min13030383
Chicago/Turabian StyleWang, Yong, Yansen Cao, Chen Cao, and Hongjiang Wang. 2023. "Effect of Curing Temperature under Deep Mining Conditions on the Mechanical Properties of Cemented Paste Backfill" Minerals 13, no. 3: 383. https://doi.org/10.3390/min13030383
APA StyleWang, Y., Cao, Y., Cao, C., & Wang, H. (2023). Effect of Curing Temperature under Deep Mining Conditions on the Mechanical Properties of Cemented Paste Backfill. Minerals, 13(3), 383. https://doi.org/10.3390/min13030383

