Investigation on the Fragmentation and Outburst Mechanism of Coal Sample with Pore Gas Using CDEM
Abstract
1. Introduction
2. Materials and Methods
2.1. The Continuum-Discontinuum Element Method
2.2. Numerical Model, Parameter and Simulation Scheme
2.2.1. Numerical Model
2.2.2. Material Properties
2.2.3. Simulation and Analysis Schemes
3. Results
3.1. Effect of Different Vertical Stress on Coal Failure
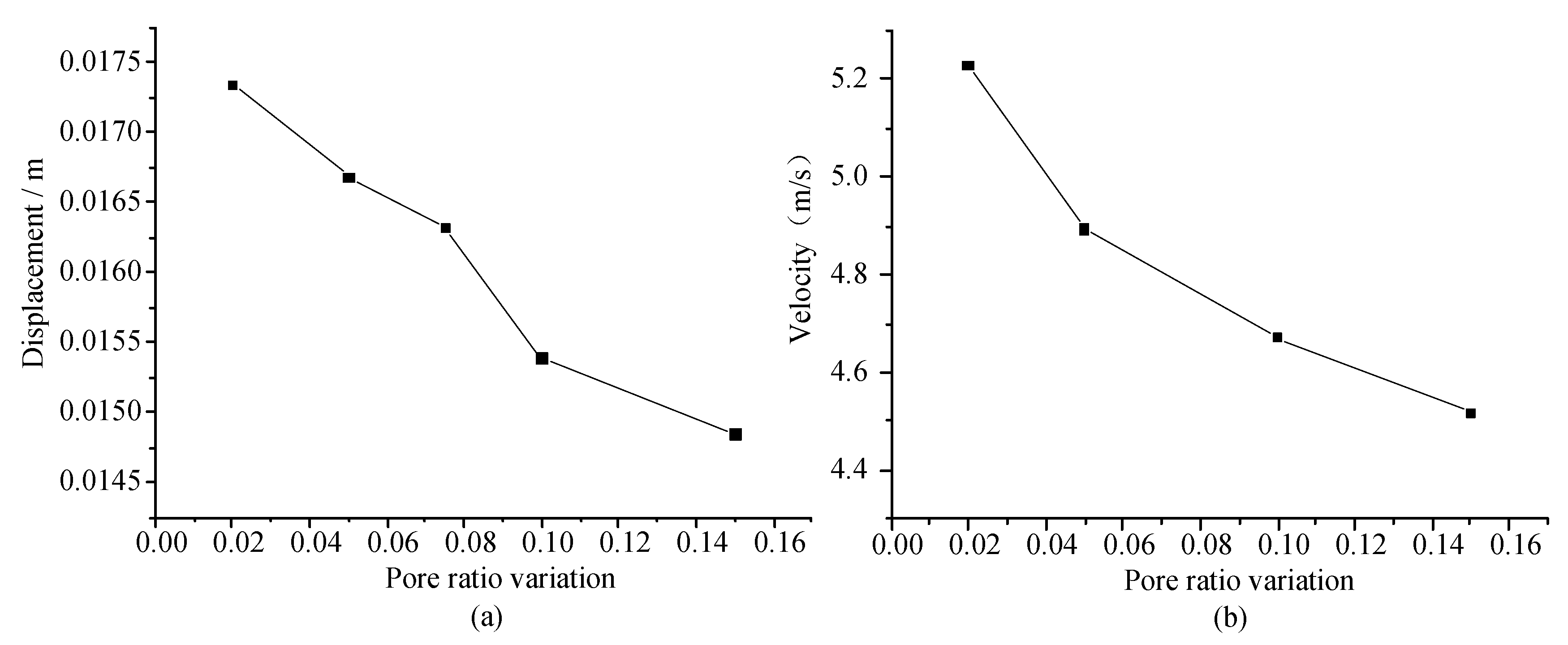
3.2. Effect of Different Pore Ratios on Coal Failure
3.3. Effect of Different Pore Ratios on Coal Failure
4. Discussion
5. Conclusions
Author Contributions
Funding
Data Availability Statement
Conflicts of Interest
References
- Balat, M. Coal in the global energy scene. Energy Source Part B Econ. Plan. Policy 2010, 5, 50–62. [Google Scholar] [CrossRef]
- Lahiri, K. The diverse worlds of coal in India: Energising the nation, energising livelihoods. Energy Policy 2016, 99, 203–213. [Google Scholar] [CrossRef]
- Fisne, A.; Esen, O. Coal and gas outburst hazard in Zonguldak Coal Basin of Turkey, and association with geological parameters. Nat. Hazards 2014, 74, 1363–1390. [Google Scholar] [CrossRef]
- Bulat, A.; Mineev, S.; Pursova, A. Generating methane adsorption under relaxation of molecular structure of coal. J. Min. Sci. 2016, 52, 70–77. [Google Scholar] [CrossRef]
- Wang, Z.; Hurter, S.; You, Z.; Honari, V.; Sun, Y.; Zhang, S. Influences of negative pressure on air-leakage of coal seam gas extraction: Laboratory and CFD-DEM simulations. J. Petrol. Sci. Eng. 2021, 196, 107731. [Google Scholar] [CrossRef]
- Wu, Y.; Wang, D.; Wei, J.; Yao, B.; Zhang, H.; Fu, J.; Zeng, F. Damage constitutive model of gas-bearing coal using industrial CT scanning technology. J. Nat. Gas Sci. Eng. 2022, 101, 104543. [Google Scholar] [CrossRef]
- Li, Q.; Liang, Y.; Zou, Q. Seepage and Damage Evolution Characteristics of Gas-Bearing Coal under Different Cyclic Loading-Unloading Stress Paths. Processes 2018, 6, 190. [Google Scholar] [CrossRef]
- Jiang, B.; Zhao, Y.; Lin, B.; Liu, T. Effect of faults on the pore structure of coal and its resultant change on gas emission. J. Pet. Sci. Eng. 2021, 195, 107919. [Google Scholar] [CrossRef]
- Niu, Y.; Wang, E.; Li, Z. A study on moment tensor inversion of acoustic emission response on damaging localization of gas-bearing coal under load. Sci. Rep. 2022, 12, 16360. [Google Scholar] [CrossRef]
- Zagorcak, R.; Thomas, H. Dynamic transport and reaction behaviour of high-pressure gases in high-rank coal. J. Nat. Gas Sci. Eng. 2019, 71, 102978. [Google Scholar] [CrossRef]
- Du, F.; Wang, K.; Wang, G. Investigation of the acoustic emission characteristics during deformation and failure of gas-bearing coal-rock combined bodies. J. Loss Prev. Process Ind. 2018, 55, 253–266. [Google Scholar] [CrossRef]
- Mou, J.; Liu, H.; Zou, Y.; Li, Q. A new method to determine the sensitivity of coal and gas outburst prediction index. Arab. J. Geosci. 2020, 13, 465. [Google Scholar] [CrossRef]
- Guo, B.; Li, Y.; Jiao, F.; Luo, T.; Ma, Q. Experimental study on coal and gas outburst and the variation characteristics of gas pressure. Geomech. Geophys. Geo Energy Gro Resour. 2018, 4, 355–368. [Google Scholar] [CrossRef]
- Xu, T.; Tang, C.; Yang, T. Numerical investigation of coal and gas outbursts in underground collieries. Int. J. Rock Mech. Min. Sci. 2006, 43, 905–919. [Google Scholar] [CrossRef]
- Wang, Z.; Sun, Y.; Wang, Y.; Zhang, J.; Sun, Z. A coupled model of air leakage in gas drainage and an active support sealing method for improving drainage performance. Fuel 2019, 237, 1217–1227. [Google Scholar] [CrossRef]
- Wang, Z.; Sun, Y.; Li, Z.; Wang, Y.; You, Z. Multiphysics responses of coal seam gas extraction with borehole sealed by active support sealing method and its applications. J. Nat. Gas Sci. Eng. 2022, 100, 104466. [Google Scholar] [CrossRef]
- Qin, H.J.; Wei, J.P.; Li, D.H.; Wu, Z.Q. Research on the mechanism of in-situ stress in the process of coal and gas outburst. J. China Univ. Min. Technol. 2021, 50, 933–942. [Google Scholar]
- Cao, J.; Zhao, X.; Liu, Y. Numerical simulation on multiphysics field distribution characteristics of coal and gas outburst. Min. Saf. Environ. Prot. 2021, 48, 7–11. [Google Scholar]
- Feng, C.; Zhang, J.H.; Zhang, Q.L. Hematite’s Dynamic Compressive Strength and Crushing Features under Impact Load. J. Zhengzhou Univ. 2019, 51, 110–115. [Google Scholar]
- Zhang, Q.; Yue, J.; Liu, C.; Feng, C.; Li, H. Study of automated top-coal caving in extra-thick coal seams using the continuum-discontinuum element method. Int. J. Rock Mech. Min. Sci. 2019, 122, 104033. [Google Scholar] [CrossRef]
- Zhang, Q.; Yuan, R.; Wang, S.; Li, D.; Li, H.; Zhang, X. Optimizing simulation and analysis of automated top-coal drawing technique in extra-thick coal seams. Energies 2020, 13, 232. [Google Scholar] [CrossRef]
- Zhang, Q.; Zhi, Z.; Feng, C.; Li, R.; Yue, J.; Cong, J. Using Continuum-Discontinuum Element Method to Model the Foliation-Affected Fracturing in Rock Brazilian Test. Adv. Civ. Eng. 2021, 2021, 1–9. [Google Scholar] [CrossRef]
- Feng, C.; Li, S.; Liu, X.; Zhang, Y. A semi-spring and semi-edge combined contact model in CDEM and its application to analysis of Jiweishan landslide. J. Rock Mech. Geotech. Eng. 2014, 6, 26–35. [Google Scholar] [CrossRef]
- Feng, C.; Li, S.H.; Hao, W.H.; Ge, W. Numerical simulation for penetrating and blasting process of EPW based on CDEM. J. Vib. Shock. 2017, 36, 11–26. [Google Scholar]
- Lin, Q.; Feng, C.; Zhu, X.; Zhang, G.; Li, S. Evolution characteristics of crack and energy of low-grade highway under impact load. Int. J. Pavement Eng. 2021, 23, 3182–3197. [Google Scholar] [CrossRef]
- Zhang, Q.; Zhi, Z.; Feng, C.; Cai, Y.; Pang, G.; Yue, J. Investigation of concrete pavement cracking under multi-head impact loading via the continuum-discontinuum element method. Int. J. Impact Eng. 2020, 135, 103410. [Google Scholar] [CrossRef]
- Xue, J.; Zhao, T. Deformation and fracture characteristics of coal gangue interbedded samples under loading and unloading conditions. Adv. Civ. Eng. 2022, 2022, 7734078. [Google Scholar] [CrossRef]
- Wu, J.; Yan, L. Comparison study on two kinds of indirect measurement methods of tensile strength of coal in lab. Chin. J. Rock Mech. Eng. 2004, 23, 1643–1647. [Google Scholar]
- Xie, J.; Gao, M.; Zhang, R.; Liu, J.; Lu, T.; Wang, M. Gas flow characteristics of coal samples with different levels of fracture network complexity under triaxial loading and unloading conditions. J. Pet. Sci. Eng. 2020, 195, 107606. [Google Scholar] [CrossRef]













| Property | Density (kg/m3) | Elastic Modulus (GPa) | Poisson’s ratio | Cohesion (MPa) | Tensile Strength (MPa) | Internal Friction Angle (°) |
|---|---|---|---|---|---|---|
| Coal | 1300 | 2.69 | 0.34 | 2.5 | 1 | 35 |
| Property | Density (g/L) | Initial Pressure (MPa) | Adiabatic Exponent |
|---|---|---|---|
| Gas | 0.717 | 0–2 | 4/3 |
Disclaimer/Publisher’s Note: The statements, opinions and data contained in all publications are solely those of the individual author(s) and contributor(s) and not of MDPI and/or the editor(s). MDPI and/or the editor(s) disclaim responsibility for any injury to people or property resulting from any ideas, methods, instructions or products referred to in the content. |
© 2023 by the authors. Licensee MDPI, Basel, Switzerland. This article is an open access article distributed under the terms and conditions of the Creative Commons Attribution (CC BY) license (https://creativecommons.org/licenses/by/4.0/).
Share and Cite
Zhang, Q.; Wang, Z.; Feng, C.; Zhu, X.; Zhou, J. Investigation on the Fragmentation and Outburst Mechanism of Coal Sample with Pore Gas Using CDEM. Minerals 2023, 13, 351. https://doi.org/10.3390/min13030351
Zhang Q, Wang Z, Feng C, Zhu X, Zhou J. Investigation on the Fragmentation and Outburst Mechanism of Coal Sample with Pore Gas Using CDEM. Minerals. 2023; 13(3):351. https://doi.org/10.3390/min13030351
Chicago/Turabian StyleZhang, Qunlei, Zhiming Wang, Chun Feng, Xinguang Zhu, and Jun Zhou. 2023. "Investigation on the Fragmentation and Outburst Mechanism of Coal Sample with Pore Gas Using CDEM" Minerals 13, no. 3: 351. https://doi.org/10.3390/min13030351
APA StyleZhang, Q., Wang, Z., Feng, C., Zhu, X., & Zhou, J. (2023). Investigation on the Fragmentation and Outburst Mechanism of Coal Sample with Pore Gas Using CDEM. Minerals, 13(3), 351. https://doi.org/10.3390/min13030351

