Dynamic Deformation and Failure Characteristics of Deep Underground Coal Measures Sandstone: The Influence of Accumulated Damage
Abstract
1. Introduction
2. Test Material and Scheme
2.1. Specimen Processing
2.2. Dynamic Test Techniques
2.3. Definition of Accumulated Damage
3. Dynamic Test Results
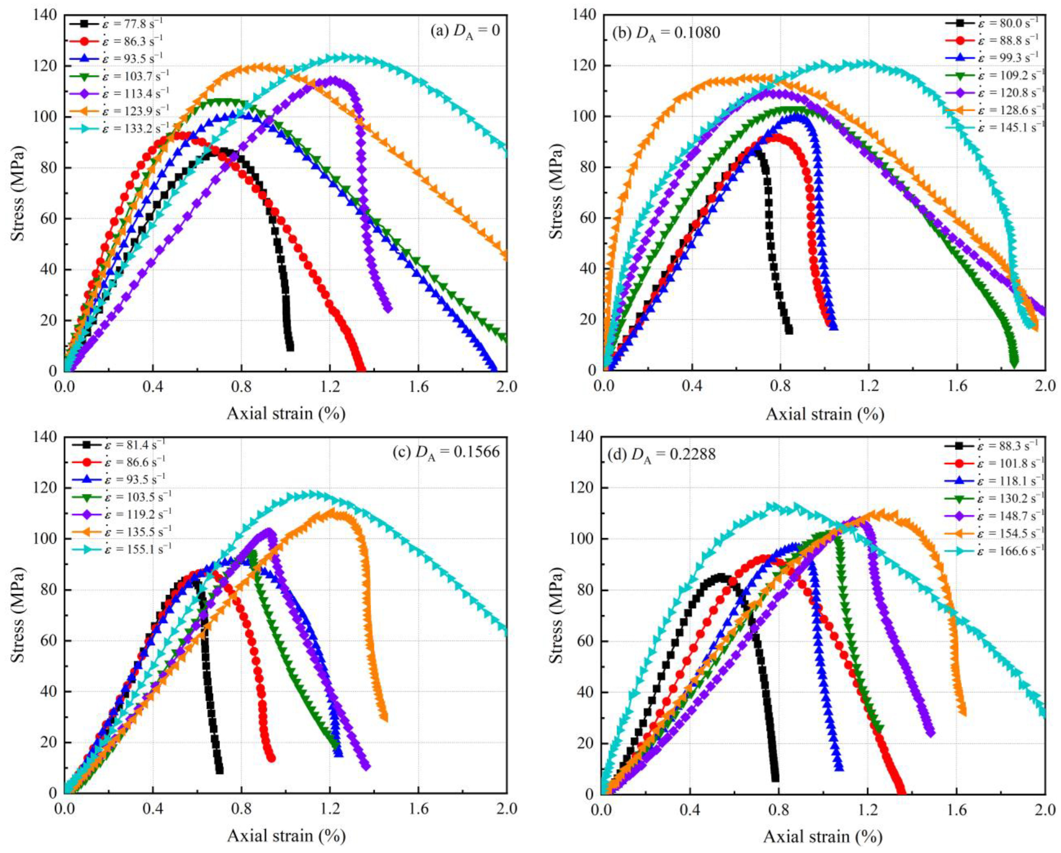
3.1. Effect of Accumulated Damage on Stress-Strain Curves
3.2. Effect of Accumulated Damage on Uniaxial Compressive Strength
4. Dynamic Deformation and Failure Modes
4.1. Macroscopic Deformation Process
4.2. Microscopic Failure Analysis
5. Discussion
5.1. Dynamic Energy Consumption
5.2. Unified Expression of Sandstone Strength and Failure Modes
5.2.1. Interaction of the Accumulated Damage Effect with the Strain Rate Effect
5.2.2. Comparison of Different Sorts of Accumulated Damage
6. Conclusions
- The intact sandstone reaches the elastic deformation stage directly in dynamic stress-strain curves, but the existence of accumulated damage causes a more prominent compaction stage. This phenomenon is confirmed in the high-speed images.
- The strengthening effect of strain rate on the dynamic strength of sandstone still persists, but it becomes weaker as the extent of accumulated damage increases. The DIF for dynamic strength shows that an increase in strain rate will enhance the deterioration effect of accumulated damage on the sandstone strength. In addition, across a similar range of impact loads, the range of actual sandstone strain rates extends as accumulated damage increases, but the strain rate value eventually diminishes.
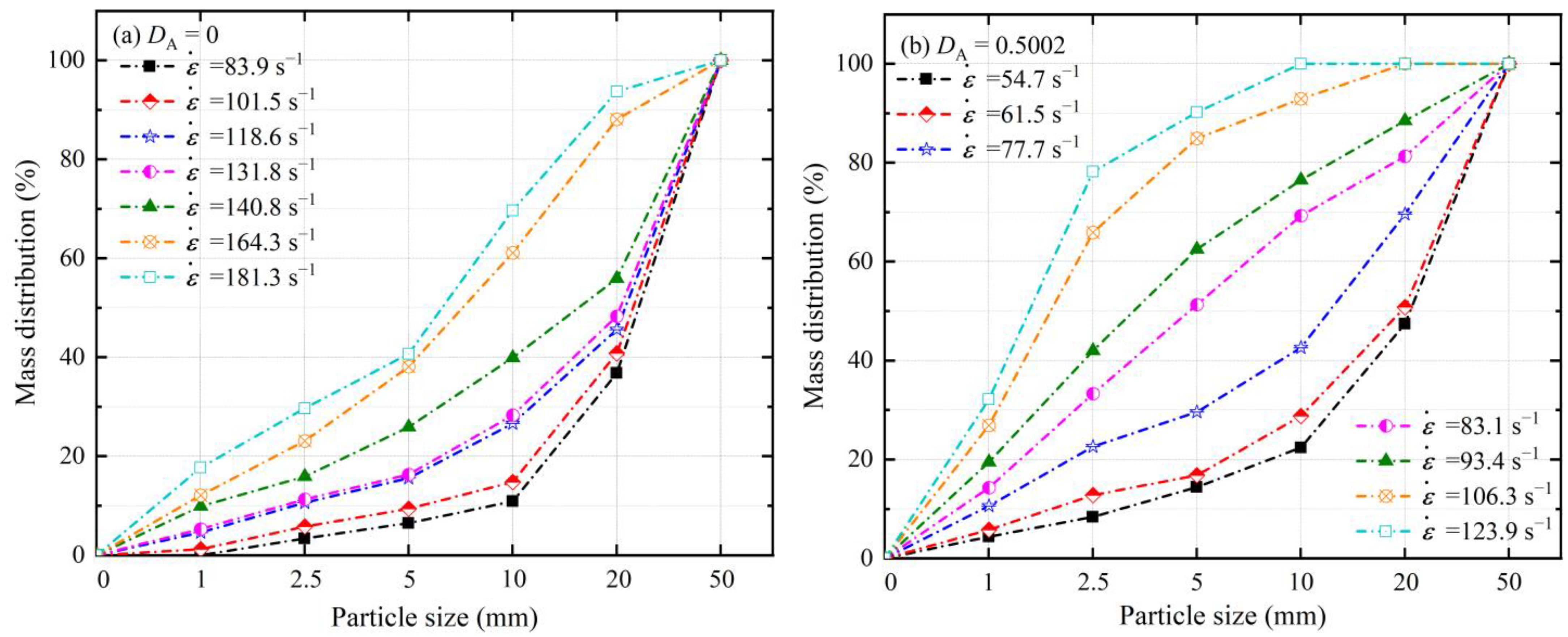
- The macroscopic damage pattern of the sandstone is in good agreement with the microscopic morphology of fracture surfaces. The accumulated damage leads to a reduction in the internal friction angle and the cohesion of the specimen, causing more shear cracks. This is reflected macroscopically in the fact that the size of the recovered fragments gradually decreases as the accumulated damage increases. On a microscopic level, the intergranular fracture is mainly caused by accumulated damage, while the transgranular fracture mainly originates from the impact loading.
- The kinetic energy of the fragments plays a significant role in the dynamic energy evolution process. An increase in accumulated damage leads to more and smaller fragments with progressively higher kinetic energy. The results of fracture energy show a negative correlation between fracture energy and accumulated damage. The most probable explanation is the presence of extensive fracture networks within sandstone with severe accumulated damage, leading to greater destruction even with lower fracture energy.
Author Contributions
Funding
Data Availability Statement
Conflicts of Interest
Abbreviation
| CSR | Constant strain rate |
| DIC | Digital image correlation |
| DIF | Dynamic increase factor |
| DUCS | Dynamic uniaxial compressive strength |
| EDZ | Excavation damaged zone |
| ISRM | International Society for Rock Mechanics |
| SE | Stress equilibrium |
| SEM | Scanning electron microscopy |
| SHPB | Split Hopkinson pressure bar |
| UCS | Uniaxial compressive strength |
| Cross-sectional area of the elastic bars | |
| Cross-sectional area of the sandstone specimen | |
| Fitting parameter | |
| P-wave velocity of the elastic bars | |
| Accumulated damage factor | |
| Energy damage variable | |
| P-wave damage variable | |
| Young’s modulus of the elastic bars | |
| Fitting parameter | |
| Length of the sandstone specimen | |
| Mass of the rock specimen | |
| Stress equilibrium factor | |
| Total input energy density | |
| Dissipated strain energy density | |
| Released elastic strain energy density | |
| Average velocity of the fragments | |
| Average P-wave velocity for intact sandstone specimens | |
| Average P-wave velocity for sandstone specimens with accumulated damage | |
| Stress pulse energy | |
| Fracture energy | |
| Incident energy | |
| Kinetic energy | |
| Reflected energy | |
| Acoustic energy | |
| Transmitted energy | |
| Thermal energy | |
| Dynamic strain of the sandstone | |
| Incident pulse signal | |
| Reflected pulse signal | |
| Transmitted pulse signal | |
| Dynamic strain rate of the sandstone | |
| Dynamic strain rate | |
| Dynamic stress of the sandstone | |
| Dynamic stress |
References
- Xia, K.W.; Wang, S.; Xu, Y.; Chen, R.; Wu, B.B. Advances in Experimental Studies for Deep Rock Dynamics. Chin. J. Rock Mech. Eng. 2021, 40, 448–475. [Google Scholar]
- Feng, X.T.; Pei, S.F.; Jiang, Q.; Zhou, Y.Y.; Li, S.J.; Yao, Z. Bin Deep Fracturing of the Hard Rock Surrounding a Large Underground Cavern Subjected to High Geostress: In Situ Observation and Mechanism Analysis. Rock Mech. Rock Eng. 2017, 50, 2155–2175. [Google Scholar] [CrossRef]
- Xie, H.P. Research Review of the State Key Research Development Program of China: Deep Rock Mechanics and Mining Theory. J. China Coal Soc. 2019, 44, 1283–1305. [Google Scholar]
- Cai, M.; Kaiser, P.K. In-Situ Rock Spalling Strength near Excavation Boundaries. Rock Mech. Rock Eng. 2014, 47, 659–675. [Google Scholar] [CrossRef]
- Malmgren, L.; Saiang, D.; Töyrä, J.; Bodare, A. The Excavation Disturbed Zone (EDZ) at Kiirunavaara Mine, Sweden—By Seismic Measurements. J. Appl. Geophys. 2007, 61, 1–15. [Google Scholar] [CrossRef]
- Perras, M.A.; Diederichs, M.S. Predicting Excavation Damage Zone Depths in Brittle Rocks. J. Rock Mech. Geotech. Eng. 2016, 8, 60–74. [Google Scholar] [CrossRef]
- Li, H.B.; Liu, M.C.; Xing, W.B.; Shao, S.; Zhou, J.W. Failure Mechanisms and Evolution Assessment of the Excavation Damaged Zones in a Large-Scale and Deeply Buried Underground Powerhouse. Rock Mech. Rock Eng. 2017, 50, 1883–1900. [Google Scholar] [CrossRef]
- Verma, H.K.; Samadhiya, N.K.; Singh, M.; Goel, R.K.; Singh, P.K. Blast Induced Rock Mass Damage around Tunnels. Tunn. Undergr. Space Technol. 2018, 71, 149–158. [Google Scholar] [CrossRef]
- Butcher, A.; Stork, A.L.; Verdon, J.P.; Kendall, J.; Plenkers, K.; Booth, F.; Boneham, M.; Koe, A. Evaluating Rock Mass Disturbance within Open-Pit Excavations Using Seismic Methods: A Case Study from the Hinkley Point C Nuclear Power Station. J. Rock Mech. Geotech. Eng. 2021, 13, 500–512. [Google Scholar] [CrossRef]
- Xia, K.W.; Yao, W. Dynamic Rock Tests Using Split Hopkinson (Kolsky) Bar System e-A Review. J. Rock Mech. Geotech. Eng. 2015, 7, 27–59. [Google Scholar] [CrossRef]
- Xie, H.P.; Zhu, J.B.; Zhou, T.; Zhao, J. Novel Three-dimensional Rock Dynamic Tests Using the True Triaxial Electromagnetic Hopkinson Bar System. Rock Mech. Rock Eng. 2021, 54, 2079–2086. [Google Scholar] [CrossRef]
- Xie, H.P.; Zhang, K.; Zhou, C.T.; Wang, J.X.; Peng, Q.; Guo, J.; Zhu, J.B. Dynamic Response of Rock Mass Subjected to Blasting Disturbance during Tunnel Shaft Excavation: A Field Study. Geomech. Geophys. Geo-Energy Geo-Resour. 2022, 8, 52. [Google Scholar] [CrossRef]
- Ostermeijer, G.A.; Aben, F.M.; Mitchell, T.M.; Rockwell, T.K.; Rempe, M.; Farrington, K. Evolution of Co-Seismic off-Fault Damage towards Pulverisation. Earth Planet. Sci. Lett. 2022, 579, 117353. [Google Scholar] [CrossRef]
- Du, H.B.; Dai, F.; Liu, Y.; Xu, Y.; Wei, M.D. Dynamic Response and Failure Mechanism of Hydrostatically Pressurized Rocks Subjected to High Loading Rate Impacting. Soil Dyn. Earthq. Eng. 2020, 129, 105927. [Google Scholar] [CrossRef]
- Zhu, Q.Q.; Li, X.B.; Li, D.Y.; Ma, C. De Experimental Investigations of Static Mechanical Properties and Failure Characteristics of Damaged Diorite after Dynamic Triaxial Compression. Int. J. Rock Mech. Min. Sci. 2022, 153, 105106. [Google Scholar] [CrossRef]
- Baud, P.; Wong, T.; Zhu, W. Effects of Porosity and Crack Density on the Compressive Strength of Rocks. Int. J. Rock Mech. Min. Sci. 2014, 67, 202–211. [Google Scholar] [CrossRef]
- Regnet, J.B.; David, C.; Fortin, J.; Robion, P.; Makhloufi, Y.; Collin, P.Y. Influence of Microporosity Distribution on the Mechanical Behavior of Oolithic Carbonate Rocks. Geomech. Energy Environ. 2015, 3, 11–23. [Google Scholar] [CrossRef]
- Peng, K.; Liu, Z.P.; Zou, Q.L.; Zhang, Z.Y.; Zhou, J.Q. Static and Dynamic Mechanical Properties of Granite from Various Burial Depths. Rock Mech. Rock Eng. 2019, 52, 3545–3566. [Google Scholar]
- Li, D.Y.; Han, Z.Y.; Sun, X.L.; Zhou, T.; Li, X.B. Dynamic Mechanical Properties and Fracturing Behavior of Marble Specimens Containing Single and Double Flaws in SHPB Tests. Rock Mech. Rock Eng. 2019, 52, 1623–1643. [Google Scholar] [CrossRef]
- Yan, Z.L.; Dai, F.; Liu, Y.; Du, H.B. Experimental Investigations of the Dynamic Mechanical Properties and Fracturing Behavior of Cracked Rocks under Dynamic Loading. Bull. Eng. Geol. Environ. 2020, 79, 5535–5552. [Google Scholar] [CrossRef]
- Dong, P.; Wu, B.B.; Xia, K.W.; Wang, Q.Z. Fracture Modes of Single-Flawed Rock-like Material Plates Subjected to Dynamic Compression. Int. J. Geomech. 2020, 20, 04020145. [Google Scholar] [CrossRef]
- Diederichs, M.S.; Kaiser, P.K.; Eberhardt, E. Damage Initiation and Propagation in Hard Rock during Tunnelling and the Influence of Near-Face Stress Rotation. Int. J. Rock Mech. Min. Sci. 2004, 41, 785–812. [Google Scholar] [CrossRef]
- Hou, R.B.; Zhang, K.; Tao, J.; Xue, X.R.; Chen, Y.L. A Nonlinear Creep Damage Coupled Model for Rock Considering the Effect of Initial Damage. Rock Mech. Rock Eng. 2019, 52, 1275–1285. [Google Scholar] [CrossRef]
- Qiu, S.L.; Feng, X.T.; Zhang, C.Q.; Yang, J.B. Experimental Research on Mechanical Properties of Deep Marble under Different Initial Damage Levels and Unloading Paths. Chin. J. Rock Mech. Eng. 2012, 31, 1686–1697. [Google Scholar]
- Zhang, T.; Yu, L.Y.; Su, H.J.; Zhang, Q.; Chai, S.B. Experimental and Numerical Investigations on the Tensile Mechanical Behavior of Marbles Containing Dynamic Damage. Int. J. Min. Sci. Technol. 2022, 32, 89–102. [Google Scholar] [CrossRef]
- Li, S.H.; Liu, K.; Griffiths, L.; Chen, C.F.; Yao, X.H. Influence of Initial Microcracks on the Dynamic Mechanical Characteristics of Sandstone. Geomech. Geophys. Geo-Energy Geo-Resour. 2022, 8, 181. [Google Scholar] [CrossRef]
- Rae, A.S.P.; Kenkmann, T.; Padmanabha, V.; Poelchau, M.H.; Schaefer, F.; Doerfler, M.A.; Mueller, L. Dynamic Compressive Strength and Fragmentation in Sedimentary and Metamorphic Rocks. Tectonophysics 2022, 824, 229221. [Google Scholar] [CrossRef]
- Kahraman, S. Estimating the Direct P-Wave Velocity Value of Intact Rock from Indirect Laboratory Measurements. Int. J. Rock Mech. Min. Sci. 2002, 39, 101–104. [Google Scholar] [CrossRef]
- Sharma, P.K.; Singh, T.N. A Correlation between P-Wave Velocity, Impact Strength Index, Slake Durability Index and Uniaxial Compressive Strength. Bull. Eng. Geol. Environ. 2008, 67, 17–22. [Google Scholar] [CrossRef]
- Moradian, Z.A.; Behnia, M. Predicting the Uniaxial Compressive Strength and Static Young’s Modulus of Intact Sedimentary Rocks Using the Ultrasonic Test. Int. J. Geomech. 2009, 9, 14–19. [Google Scholar] [CrossRef]
- Khandelwal, M. Correlating P-Wave Velocity with the Physico-Mechanical Properties of Different Rocks. Pure Appl. Geophys. 2013, 170, 507–514. [Google Scholar] [CrossRef]
- Ajalloeian, R.; Jamshidi, A.; Khorasani, R. Assessments of Ultrasonic Pulse Velocity and Dynamic Elastic Constants of Granitic Rocks Using Petrographic Characteristics. Geotech. Geol. Eng. 2020, 38, 2835–2844. [Google Scholar] [CrossRef]
- Arman, H.; Paramban, S. Dimensional Effects on Dynamic Properties and the Relationships between Ultrasonic Pulse Velocity and Physical Properties of Rock under Various Environmental Conditions. Geotech. Geol. Eng. 2021, 39, 3947–3957. [Google Scholar] [CrossRef]
- Wang, Z.L.; Li, Y.C.; Wang, J.G. A Method for Evaluating Dynamic Tensile Damage of Rock. Eng. Fract. Mech. 2008, 75, 2812–2825. [Google Scholar] [CrossRef]
- Meng, Q.B.; Zhang, M.W.; Han, L.J.; Pu, H.; Nie, T.Y. Effects of Acoustic Emission and Energy Evolution of Rock Specimens under the Uniaxial Cyclic Loading and Unloading Compression. Rock Mech. Rock Eng. 2016, 49, 3873–3886. [Google Scholar] [CrossRef]
- Gong, F.Q.; Yan, J.Y.; Li, X.B.; Luo, S. A Peak-Strength Strain Energy Storage Index for Rock Burst Proneness of Rock Materials. Int. J. Rock Mech. Min. Sci. 2019, 117, 76–89. [Google Scholar] [CrossRef]
- Wang, Y.; Tan, W.H.; Liu, D.Q.; Hou, Z.Q.; Li, C.H. On Anisotropic Fracture Evolution and Energy Mechanism during Marble Failure under Uniaxial Deformation. Rock Mech. Rock Eng. 2019, 52, 3567–3583. [Google Scholar] [CrossRef]
- Xie, H.P.; Li, L.Y.; Peng, R.D.; Ju, Y. Energy Analysis and Criteria for Structural Failure of Rocks. J. Rock Mech. Geotech. Eng. 2009, 1, 11–20. [Google Scholar] [CrossRef]
- Dai, F.; Huang, S.; Xia, K.W.; Tan, Z.Y. Some Fundamental Issues in Dynamic Compression and Tension Tests of Rocks Using Split Hopkinson Pressure Bar. Rock Mech. Rock Eng. 2010, 43, 657–666. [Google Scholar] [CrossRef]
- Zhou, Y.X.; Xia, K.W.; Li, X.B.; Li, H.B.; Ma, G.W.; Zhao, J.; Zhou, Z.L.; Dai, F. Suggested Methods for Determining the Dynamic Strength Parameters and Mode-I Fracture Toughness of Rock Materials. Int. J. Rock Mech. Min. Sci. 2012, 49, 105–112. [Google Scholar] [CrossRef]
- Zhang, Q.B.; Zhao, J. A Review of Dynamic Experimental Techniques and Mechanical Behaviour of Rock Materials. Rock Mech. Rock Eng. 2014, 47, 1411–1478. [Google Scholar] [CrossRef]
- Yao, W.; He, T.M.; Xia, K.W. Dynamic Mechanical Behaviors of Fangshan Marble. J. Rock Mech. Geotech. Eng. 2017, 9, 807–817. [Google Scholar] [CrossRef]
- Yao, W.; Xia, K.W.; Liu, Y.H.; Shi, Y.R.; Peterson, K. Dependences of Dynamic Compressive and Tensile Strengths of Four Alkali-Activated Mortars on the Loading Rate and Curing Time. Constr. Build. Mater. 2019, 202, 891–903. [Google Scholar] [CrossRef]
- Kim, H.-M.; Rutqvist, J.; Jeong, J.-H.; Choi, B.-H.; Ryu, D.-W.; Song, W.-K. Characterizing Excavation Damaged Zone and Stability of Pressurized Lined Rock Caverns for Underground Compressed Air Energy Storage. Rock Mech. Rock Eng. 2013, 46, 1113–1124. [Google Scholar] [CrossRef]
- Yan, P.; Lu, W.B.; Chen, M.; Hu, Y.G.; Zhou, C.B.; Wu, X.X. Contributions of In-Situ Stress Transient Redistribution to Blasting Excavation Damage Zone of Deep Tunnels. Rock Mech. Rock Eng. 2015, 48, 715–726. [Google Scholar] [CrossRef]
- Bobet, A.; Einstein, H.H. Fracture Coalescence in Rock-Type Materials under Uniaxial and Biaxial Compression. Int. J. Rock Mech. Min. Sci. 1998, 35, 863–888. [Google Scholar] [CrossRef]
- Bobet, A. The Initiation of Secondary Cracks in Compression. Eng. Fract. Mech. 2000, 66, 187–219. [Google Scholar] [CrossRef]
- Park, C.H.; Bobet, A. Crack Initiation, Propagation and Coalescence from Frictional Flaws in Uniaxial Compression. Eng. Fract. Mech. 2010, 77, 2727–2748. [Google Scholar] [CrossRef]
- Nicksiar, M.; Martin, C.D. Evaluation of Methods for Determining Crack Initiation in Compression Tests on Low-Porosity Rocks. Rock Mech. Rock Eng. 2012, 45, 607–617. [Google Scholar] [CrossRef]
- Xing, H.Z.; Zhang, Q.B.; Zhao, J. Stress Thresholds of Crack Development and Poisson’s Ratio of Rock Material at High Strain Rate. Rock Mech. Rock Eng. 2018, 51, 945–951. [Google Scholar] [CrossRef]
- Xu, J.C.; Pu, H.; Sha, Z.H. Mechanical Behavior and Decay Model of the Sandstone in Urumqi under Coupling of Freeze–Thaw and Dynamic Loading. Bull. Eng. Geol. Environ. 2021, 80, 2963–2978. [Google Scholar] [CrossRef]
- Meng, Q.B.; Zhang, M.W.; Zhang, Z.Z.; Han, L.J.; Pu, H. Research on Non-linear Characteristics of Rock Energy Evolution under Uniaxial Cyclic Loading and Unloading Conditions. Environ. Earth Sci. 2019, 78, 650. [Google Scholar] [CrossRef]
- Momeni, A.; Abdilor, Y.; Khanlari, G.R.; Heidari, M.; Sepahi, A.A. The Effect of Freeze–Thaw Cycles on Physical and Mechanical Properties of Granitoid Hard Rocks. Bull. Eng. Geol. Environ. 2016, 75, 1649–1656. [Google Scholar] [CrossRef]
- Chakraborty, T.; Mishra, S.; Loukus, J.; Halonen, B.; Bekkala, B. Characterization of Three Himalayan Rocks Using a Split Hopkinson Pressure Bar. Int. J. Rock Mech. Min. Sci. 2016, 85, 112–118. [Google Scholar] [CrossRef]
- Zou, C.J.; Wong, L.N.Y. Size and Geometry Effects on the Mechanical Properties of Carrara Marble under Dynamic Loadings. Rock Mech. Rock Eng. 2016, 49, 1695–1708. [Google Scholar] [CrossRef]
- You, W.; Dai, F.; Liu, Y.; Du, H.B.; Jiang, R.C. Investigation of the Influence of Intermediate Principal Stress on the Dynamic Responses of Rocks Subjected to True Triaxial Stress State. Int. J. Min. Sci. Technol. 2021, 31, 913–926. [Google Scholar] [CrossRef]
- Chen, X.; Shi, X.Z.; Zhou, J.; Li, E.M.; Qiu, P.Y.; Gou, Y.G. High Strain Rate Compressive Strength Behavior of Cemented Paste Backfill Using Split Hopkinson Pressure Bar. Int. J. Min. Sci. Technol. 2021, 31, 387–399. [Google Scholar] [CrossRef]
- Ke, B.; Zhou, K.P.; Xu, C.S.; Deng, H.W.; Li, J.L.; Bin, F. Dynamic Mechanical Property Deterioration Model of Sandstone Caused by Freeze–Thaw Weathering. Rock Mech. Rock Eng. 2018, 51, 2791–2804. [Google Scholar] [CrossRef]
- Wang, Z.L.; Shi, H.; Wang, J.G. Mechanical Behavior and Damage Constitutive Model of Granite under Coupling of Temperature and Dynamic Loading. Rock Mech. Rock Eng. 2018, 51, 3045–3059. [Google Scholar] [CrossRef]
- Si, X.F.; Gong, F.Q.; Li, X.B.; Wang, S.Y.; Luo, S. Dynamic Mohr–Coulomb and Hoek–Brown Strength Criteria of Sandstone at High Strain Rates. Int. J. Rock Mech. Min. Sci. 2019, 115, 48–59. [Google Scholar] [CrossRef]
- Millon, O.; Ruiz-Ripoll, M.L.; Hoerth, T. Analysis of the Behavior of Sedimentary Rocks under Impact Loading. Rock Mech. Rock Eng. 2016, 49, 4257–4272. [Google Scholar] [CrossRef]
- Mishra, S.; Khetwal, A.; Chakraborty, T. Dynamic Characterisation of Gneiss. Rock Mech. Rock Eng. 2019, 52, 61–81. [Google Scholar] [CrossRef]
- Wong, L.N.Y.; Li, Z.H.; Kang, H.M.; Teh, C.I. Dynamic Loading of Carrara Marble in a Heated State. Rock Mech. Rock Eng. 2017, 50, 1487–1505. [Google Scholar] [CrossRef]
- Xu, Y.; Yao, W.; Wang, S.; Xia, K.W. Investigation of the Heat-treatment Effect on Rock Fragmentation Characteristics Using the Dynamic Ball Compression Test. Rock Mech. Rock Eng. 2020, 53, 2095–2108. [Google Scholar] [CrossRef]
- Chen, W.W.; Song, B. Split Hopkinson (Kolsky) Bar: Design, Testing and Applications; Springer Science & Business Media: Berlin, Germany, 2010. [Google Scholar]
- Wang, J.Y.; Parab, N.; Chen, W. High-Speed Real-Time x-Ray Visualization of Impact Damage inside Geomaterials. In Handbook of Damage Mechanics; Springer: Berlin, Germany, 2021; pp. 1–30. [Google Scholar]
- Demirdag, S.; Tufekci, K.; Kayacan, R.; Yavuz, H.; Altindag, R. Dynamic Mechanical Behavior of Some Carbonate Rocks. Int. J. Rock Mech. Min. Sci. 2010, 47, 307–312. [Google Scholar] [CrossRef]
- Yavuz, H.; Tufekci, K.; Kayacan, R.; Cevizci, H. Predicting the Dynamic Compressive Strength of Carbonate Rocks from Quasi-Static Properties. Exp. Mech. 2013, 53, 367–376. [Google Scholar] [CrossRef]
- Ozguven, A.; Ozcelik, Y. Effects of High Temperature on Physico-Mechanical Properties OfTurkish Natural Building Stones. Eng. Geol. 2014, 183, 127–136. [Google Scholar] [CrossRef]
- Zhou, B.; Han, Q.; Yang, P.Q. Characterization of Nanoporous Systems in Gas Shales by Low Field NMR Cryoporometry. Energy Fuels 2016, 30, 9122–9131. [Google Scholar] [CrossRef]
- Liu, B.; Yao, S.P.; Hu, W.X.; Cao, J. Applying Octamethylcyclotetrasiloxane as a Probe Liquid for Characterizing the Pore Size Distribution of Oil-Bearing Tight Sandstones by Nuclear Magnetic Resonance Cryoporometry. Mar. Pet. Geol. 2017, 88, 814–825. [Google Scholar] [CrossRef]
- Kou, M.M.; Liu, X.R.; Tang, S.D.; Wang, Y.T. 3-D X-Ray Computed Tomography on Failure Characteristics of Rock-like Materials under Coupled Hydro-Mechanical Loading. Theor. Appl. Fract. Mech. 2019, 104, 102396. [Google Scholar] [CrossRef]
- Zhou, X.P.; Zhang, J.Z.; Yang, S.Q.; Berto, F. Compression-Induced Crack Initiation and Growth in Flawed Rocks: A Review. Fatigue Fract. Eng. Mater. Struct. 2021, 44, 1681–1707. [Google Scholar] [CrossRef]





















| Unloading Stress Level | 0.70 UCS | 0.75 UCS | 0.80 UCS | 0.85 UCS | 0.90 UCS | 0.95 UCS |
|---|---|---|---|---|---|---|
| Axial stress (MPa) | 31.61 | 33.87 | 36.13 | 38.39 | 40.64 | 42.90 |
| (MJ/m3) | 0.1301 | 0.1445 | 0.1639 | 0.1825 | 0.2015 | 0.2268 |
| (MJ/m3) | 0.1209 | 0.1329 | 0.1496 | 0.1597 | 0.1696 | 0.1725 |
| (MJ/m3) | 0.0092 | 0.0116 | 0.0170 | 0.0228 | 0.0319 | 0.0543 |
| (m/s) | 3734 | 3567 | 3347 | 3082 | 2831 | 2556 |
| 0.0707 | 0.0803 | 0.1037 | 0.1249 | 0.1583 | 0.2394 | |
| 0.0401 | 0.0830 | 0.1396 | 0.2077 | 0.2722 | 0.3429 | |
| 0.1080 | 0.1566 | 0.2288 | 0.3067 | 0.3874 | 0.5002 |
| No. | DA | Strain Rate (s−1) | DUCS (MPa) | DIF | No. | DA | Strain Rate (s−1) | DUCS (MPa) | DIF |
|---|---|---|---|---|---|---|---|---|---|
| 0–1 | 0 | 77.79 | 86.39 | 1.91 | 1–1 | 0.1080 | 80.00 | 85.87 | 1.90 |
| 0–2 | 86.34 | 92.57 | 2.05 | 1–2 | 88.83 | 92.05 | 2.04 | ||
| 0–3 | 93.52 | 100.57 | 2.23 | 1–3 | 99.31 | 99.53 | 2.20 | ||
| 0–4 | 103.72 | 106.23 | 2.35 | 1–4 | 109.24 | 102.87 | 2.28 | ||
| 0–5 | 113.38 | 114.23 | 2.53 | 1–5 | 120.83 | 108.79 | 2.41 | ||
| 0–6 | 123.86 | 119.63 | 2.65 | 1–6 | 128.55 | 114.98 | 2.55 | ||
| 0–7 | 133.24 | 124.01 | 2.75 | 1–7 | 145.10 | 120.64 | 2.67 | ||
| 2–1 | 0.1566 | 81.38 | 84.06 | 1.86 | 3–1 | 0.2288 | 88.28 | 85.08 | 1.88 |
| 2–2 | 86.62 | 87.15 | 1.93 | 3–2 | 101.79 | 91.52 | 2.03 | ||
| 2–3 | 93.52 | 91.53 | 2.03 | 3–3 | 118.07 | 96.66 | 2.14 | ||
| 2–4 | 103.45 | 94.62 | 2.10 | 3–4 | 130.21 | 102.33 | 2.27 | ||
| 2–5 | 119.17 | 102.86 | 2.28 | 3–5 | 148.69 | 106.95 | 2.37 | ||
| 2–6 | 135.45 | 110.58 | 2.45 | 3–6 | 154.48 | 109.53 | 2.43 | ||
| 2–7 | 155.03 | 117.53 | 2.60 | 3–7 | 166.62 | 112.61 | 2.49 | ||
| 4–1 | 0.3067 | 91.59 | 80.95 | 1.79 | 5–1 | 0.3874 | 96.28 | 76.30 | 1.69 |
| 4–2 | 113.93 | 88.92 | 1.97 | 5–2 | 112.55 | 79.89 | 1.77 | ||
| 4–3 | 134.90 | 94.06 | 2.08 | 5–3 | 120.83 | 83.49 | 1.85 | ||
| 4–4 | 144.00 | 97.92 | 2.17 | 5–4 | 136.28 | 86.83 | 1.92 | ||
| 4–5 | 161.66 | 102.80 | 2.28 | 5–5 | 158.90 | 90.16 | 2.00 | ||
| 4–6 | 168.83 | 102.02 | 2.26 | 5–6 | 168.28 | 93.76 | 2.08 | ||
| 4–7 | 175.45 | 105.11 | 2.33 | 5–7 | 181.79 | 95.29 | 2.11 | ||
| 6–1 | 0.5002 | 101.79 | 68.29 | 1.51 | 6–5 | 0.5002 | 158.07 | 79.83 | 1.77 |
| 6–2 | 115.31 | 72.91 | 1.61 | 6–6 | 178.21 | 81.10 | 1.80 | ||
| 6–3 | 131.31 | 74.70 | 1.65 | 6–7 | 192.83 | 83.66 | 1.85 | ||
| 6–4 | 141.24 | 77.27 | 1.71 | ||||||
| Unloading Stress Level | DA | Fitting Functions | R2 |
|---|---|---|---|
| 0 | 0 | 0.98 | |
| 0.70 UCS | 0.1080 | 0.98 | |
| 0.75 UCS | 0.1566 | 0.99 | |
| 0.80 UCS | 0.2288 | 0.99 | |
| 0.85 UCS | 0.3067 | 0.98 | |
| 0.90 UCS | 0.3874 | 0.99 | |
| 0.95 UCS | 0.5002 | 0.98 |
| Impact Pressure (MPa) | 0.60 | ||||||
|---|---|---|---|---|---|---|---|
| 0 | 0.1080 | 0.1566 | 0.2288 | 0.3067 | 0.3874 | 0.5002 | |
| (g) | 218.31 | 219.56 | 222.49 | 220.87 | 223.42 | 221.16 | 219..33 |
| (J) | 202.37 | 192.46 | 189.51 | 199.37 | 197.66 | 196.83 | 194.58 |
| (J) | 20.05 | 25.93 | 27.36 | 28.75 | 30.41 | 33.18 | 41.62 |
| (J) | 132.73 | 119.56 | 110.07 | 105.01 | 93.08 | 86.69 | 45.20 |
| (m/s) | 16.51 | 17.15 | 18.92 | 22.17 | 23.94 | 25.23 | 31.09 |
| (J) | 29.75 | 32.29 | 39.82 | 54.28 | 64.02 | 70.39 | 106.00 |
| (J) | 19.84 | 14.68 | 12.26 | 11.33 | 10.15 | 6.57 | 1.76 |
Publisher’s Note: MDPI stays neutral with regard to jurisdictional claims in published maps and institutional affiliations. |
© 2022 by the authors. Licensee MDPI, Basel, Switzerland. This article is an open access article distributed under the terms and conditions of the Creative Commons Attribution (CC BY) license (https://creativecommons.org/licenses/by/4.0/).
Share and Cite
Sha, Z.; Pu, H.; Xu, J. Dynamic Deformation and Failure Characteristics of Deep Underground Coal Measures Sandstone: The Influence of Accumulated Damage. Minerals 2022, 12, 1589. https://doi.org/10.3390/min12121589
Sha Z, Pu H, Xu J. Dynamic Deformation and Failure Characteristics of Deep Underground Coal Measures Sandstone: The Influence of Accumulated Damage. Minerals. 2022; 12(12):1589. https://doi.org/10.3390/min12121589
Chicago/Turabian StyleSha, Ziheng, Hai Pu, and Junce Xu. 2022. "Dynamic Deformation and Failure Characteristics of Deep Underground Coal Measures Sandstone: The Influence of Accumulated Damage" Minerals 12, no. 12: 1589. https://doi.org/10.3390/min12121589
APA StyleSha, Z., Pu, H., & Xu, J. (2022). Dynamic Deformation and Failure Characteristics of Deep Underground Coal Measures Sandstone: The Influence of Accumulated Damage. Minerals, 12(12), 1589. https://doi.org/10.3390/min12121589

