Surfactant Intercalation in Li-Al-Based Binary and Ternary Layered Double Hydroxides by the Microwave-Assisted Rapid Ion-Exchange Process and Its Application in Iodine Adsorption
Abstract
1. Introduction
2. Materials and Methods
2.1. Synthesis
2.2. Characterization
2.3. Iodine Adsorption Experiment Details
3. Results and Discussion
3.1. Surfactant-Intercalated Binary Li-Al LDHs (Li-Al-DS and Li-Al-DBS)
| LDH | Band Positions (cm−1) | Type of Vibrations | References |
|---|---|---|---|
| Li-Al-OH | 3440 | O-H stretching of interlayer H2O or M-OH | [4,7,35] |
| 1635 | O-H bending of H2O | [4,7,35] | |
| 1375 | ν3 C-O stretching mode of CO32− anion | [4,7] | |
| 1005 | Vibrations of the OH groups in the Li-Al LDH layer | [4,7] | |
| 745, 535 | Al-O stretching | [4,7,35] | |
| Li-Al-DS | 3455 | O-H stretching of interlayer H2O or M-OH | [46,48,49,50,51] |
| 1620 | O-H bending of H2O | [46,48,49,50,51] | |
| 1375 | ν3 C-O stretching mode of CO32− anion | [46,48,49,50,51] | |
| 2920 | C-H anti-symmetric stretching of –CH2 | [46,48,49,51] | |
| 2850 | C-H symmetric stretching of –CH2 | [46,48,49,51] | |
| 2955 | C-H anti-symmetric stretching of the terminal –CH3 | [46,48,49,51] | |
| 1470 | C-H bending | [46,48,49,51] | |
| 1200 | S=O anti-symmetric stretching | [46,48,49,51] | |
| 1065 | S=O symmetric stretching | [46,48,49,51] | |
| 975 | C-O stretching | [46,48,49,51] | |
| 825 | S-O stretching | [46,48,49,51] | |
| 720, 525 | Al-O stretching | [4,7,35] | |
| 670 | ν4 bending angular mode of CO32− anion | [51] | |
| Li-Al-DBS | 3465 | O-H stretching of interlayer H2O or M-OH | [46,48,49,50,51] |
| 1625 | O-H bending of H2O | [46,48,49,50,51] | |
| 1370 | ν3 C-O stretching mode of CO32− anion | [46,48,49,50,51] | |
| 2930 | C-H anti-symmetric stretching of –CH2 | [48,50,51] | |
| 2860 | C-H symmetric stretching of –CH2 | [48,50,51] | |
| 2960 | C-H anti-symmetric stretching of the terminal –CH3 | [48,50,51] | |
| 1605 | C-C stretching (benzene group) | [48,50,51] | |
| 1470 | C-H bending | [48,50,51] | |
| 1455 | C=C stretching (benzene group) | [48,50,51] | |
| 1180 | S=O anti-symmetric stretching | [48,50,51] | |
| 1035 | S=O symmetric stretching | [48,50,51] | |
| 1130, 1005 | C-H in plane bending modes (benzene group) | [48,50,51] | |
| 830 | S-O stretching | [48,50,51] | |
| 730, 520 | Al-O stretching | [4,7,35] | |
| 670 | ν4 bending angular mode of CO32− anion | [51] |
3.2. Surfactant-Intercalated Ternary Li-M-Al-LDHs (M = Mg, Co, Ni, Cu, and Zn)
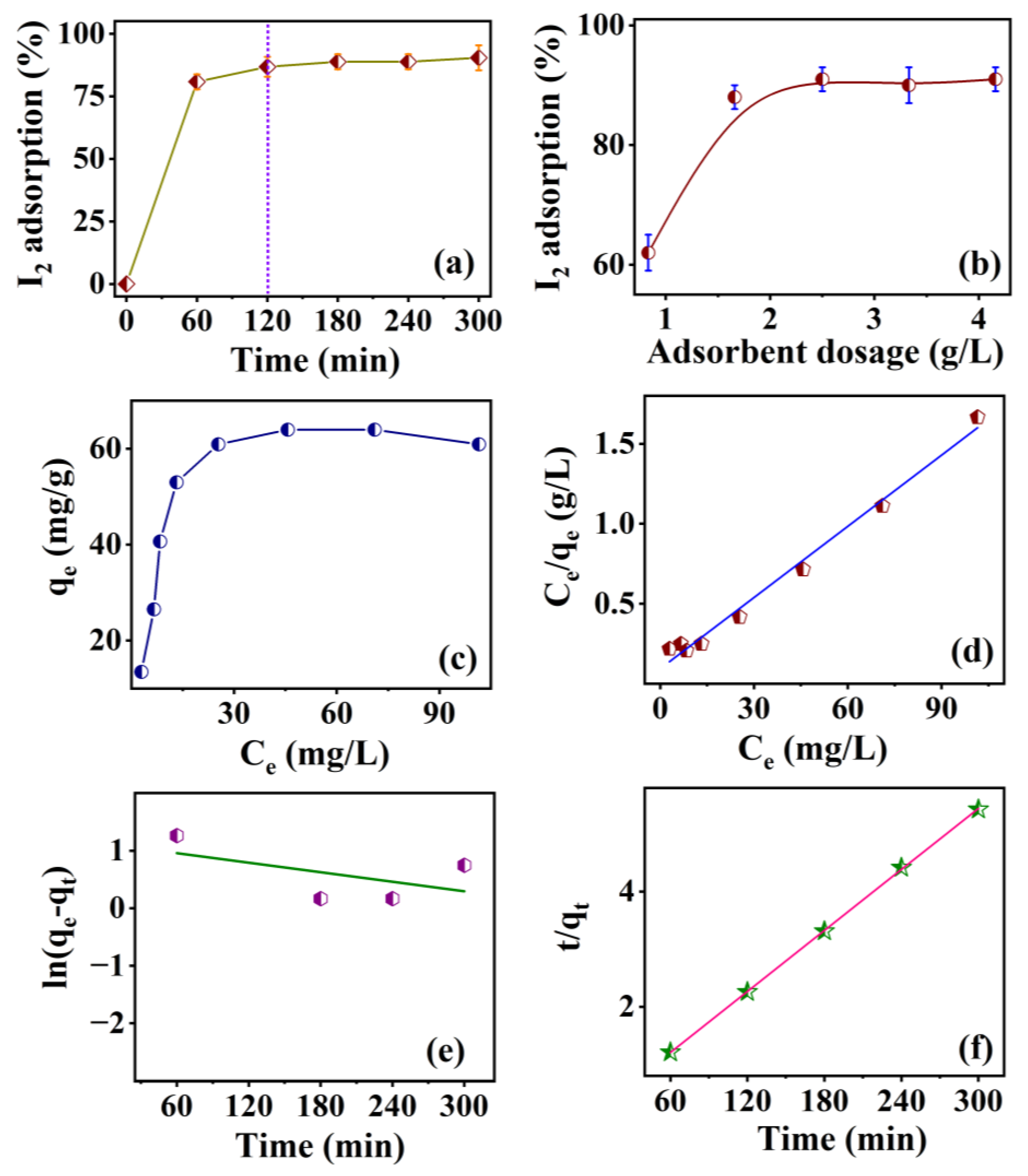
3.3. Adsorption of Iodine in Methanol
4. Conclusions
Supplementary Materials
Author Contributions
Funding
Data Availability Statement
Acknowledgments
Conflicts of Interest
References
- Wang, Q.; O’Hare, D. Recent Advances in the synthesis and application of layered double hydroxide (LDH) nanosheets. Chem. Rev. 2012, 112, 4124–4155. [Google Scholar] [CrossRef] [PubMed]
- Nalawade, P.; Aware, B.; Kadam, V.J.; Hirlekar, R.S. Layered double hydroxides: A review. J. Sci. Ind. Res. 2009, 68, 267–272. [Google Scholar]
- Williams, G.R.; O’Hare, D. Towards understanding, control and application of layered double hydroxide chemistry. J. Mater. Chem. 2006, 16, 3065–3074. [Google Scholar] [CrossRef]
- Zhang, F.; Hou, W. Mechano-hydrothermal preparation of Li-Al-OH layered double hydroxides. Solid State Sci. 2018, 79, 93–98. [Google Scholar] [CrossRef]
- Yu, M.; Li, H.; Du, N.; Hou, W. Understanding Li-Al-CO3 layered double hydroxides. (I) Urea-supported hydrothermal synthesis. J. Colloid Interface Sci. 2019, 547, 183–189. [Google Scholar] [CrossRef]
- Thiel, J.P.; Chiang, C.K.; Poeppelmeier, K.R. Structure of lithium aluminum hydroxide dihydrate (LiAl2(OH)7·2H2O). Chem. Mater. 1993, 5, 297–304. [Google Scholar] [CrossRef]
- Qu, J.; He, X.; Wang, B.; Zhong, L.; Wan, L.; Li, X.; Song, S.X.; Zhang, Q.W. Synthesis of Li-Al layered double hydroxides via a mechanochemical route. Appl. Clay Sci. 2016, 120, 24–27. [Google Scholar] [CrossRef]
- Lerner, D.W.; Walton, N.R.G. Contaminated Land, and Groundwater: Future Directions; The Geological Society: London, UK, 1998; Volume 14, p. 248. [Google Scholar]
- Trellu, C.; Mousset, E.; Pechaud, Y.; Huguenot, D.; van Hullebusch, E.D.; Esposito, G.; Oturan, M.A. Removal of hydrophobic organic pollutants from soil washing/flushing solutions: A critical review. J. Hazard. Mater. 2016, 306, 149–174. [Google Scholar] [CrossRef]
- Van der Oost, R.; Beyer, J.; Vermeulen, N.P. Fish bioaccumulation and biomarkers in environmental risk assessment: A review. Environ. Toxicol. Pharmacol. 2003, 13, 57–149. [Google Scholar] [CrossRef]
- Pignatello, J.J. Soil organic matter as a nanoporous sorbent of organic pollutants. Adv. Colloid Interface Sci. 1998, 76–77, 445–467. [Google Scholar] [CrossRef]
- Zhou, W.J.; Wang, X.H.; Chen, C.P.; Zhu, L.Z. Removal of polycyclic aromatic hydrocarbons from surfactant solutions by selective sorption with organo-bentonite. Chem. Eng. J. 2013, 233, 251–257. [Google Scholar] [CrossRef]
- Ruan, X.X.; Huang, S.; Chen, H.; Qian, G.R. Sorption of aqueous organic contaminants onto dodecyl sulfate intercalated magnesium iron layered double hydroxide. Appl. Clay Sci. 2013, 72, 96–103. [Google Scholar] [CrossRef]
- Esumi, K.; Yamamoto, S. Adsorption of sodium dodecyl sulfate on hydrotalcite and adsolubilization of 2-naphthol. Colloids Surf. A Physicochem. Eng. Asp. 1998, 137, 385–388. [Google Scholar] [CrossRef]
- Bruna, F.; Pavlovic, I.; Barriga, C.; Cornejo, J.; Ulibarri, M.A. Adsorption of pesticides carbetamide and metamitron on organohydrotalcite. Appl. Clay Sci. 2006, 33, 116–124. [Google Scholar] [CrossRef]
- Zhang, M.; Zhao, C.; Li, J.; Xu, L.; Wei, F.; Hou, D.; Sarkar, B.; Ok, Y.S. Organo-layered double hydroxides for the removal of polycyclic aromatic hydrocarbons from soil washing effluents containing high concentrations of surfactants. J. Hazard. Mater. 2019, 373, 678–686. [Google Scholar] [CrossRef]
- Lee, J.-H.; Zhang, W.; Ryu, H.-J.; Choi, G.; Choi, J.Y.; Choy, J.-H. Enhanced thermal stability and mechanical property of EVA nanocomposites upon addition of organo-intercalated LDH nanoparticles. Polymer 2019, 177, 274–281. [Google Scholar] [CrossRef]
- Adachi-Pagano, M.; Forano, C.; Besse, J.-P. Delamination of layered double hydroxides by use of surfactants. Chem. Commun. 2000, 2000, 91–92. [Google Scholar] [CrossRef]
- Leroux, F.; Adachi-Pagano, M.; Intissar, M.; Chauviere, S.; Forano, C.; Besse, J.-P. Delamination and restacking of layered double hydroxides. J. Mater. Chem. 2001, 11, 105–112. [Google Scholar] [CrossRef]
- O’Leary, S.; O’Hare, D.; Seely, G. Delamination of layered double hydroxides in polar monomers: New LDH-acrylate nanocomposites. Chem. Commun. 2002, 2002, 1506–1507. [Google Scholar] [CrossRef]
- Hibino, T.; Jones, W. New approach to the delamination of layered double hydroxides. J. Mater. Chem. 2001, 11, 1321. [Google Scholar] [CrossRef]
- Singh, M.; Ogden, M.I.; Parkinson, G.M.; Buckley, C.E.; Conolly, J. Delamination and re-assembly of surfactant-containing Li/Al layered double hydroxides. J. Mater. Chem. 2004, 14, 871. [Google Scholar] [CrossRef]
- Hibino, T.; Kobayashi, M. Delamination of layered double hydroxides in water. J. Mater. Chem. 2005, 15, 653–656. [Google Scholar] [CrossRef]
- Rajamathi, J.T.; Ravishankar, N.; Rajamathi, M. Delamination-restacking behaviour of surfactant intercalated layered hydroxy double salts, M3Zn2(OH)8(surf)2·2H2O [M = Ni, Co, and surf = dodecyl sulfate (DS), dodecyl benzene sulfonate (DBS)]. Solid State Sci. 2005, 7, 195–199. [Google Scholar] [CrossRef]
- Itaya, K.; Chang, H.-C.; Uchida, I. Anion-exchanged clay (hydrotalcite-like compounds) modified electrodes. Inorg. Chem. 1987, 26, 624–626. [Google Scholar] [CrossRef]
- Qiu, J.; Villemure, G. Anionic clay modified electrodes: Electrochemical activity of nickel (II) sites in layered double hydroxide films. J. Electroanal. Chem. 1995, 395, 159–166. [Google Scholar] [CrossRef]
- Abend, S.; Bonnke, N.; Gutschner, U.; Lagaly, G. Stabilization of emulsions by heterocoagulation of clay minerals and layered double hydroxides. Colloid Polym. Sci. 1998, 276, 730–737. [Google Scholar] [CrossRef]
- Lagaly, G.; Mecking, O.; Penner, D. Colloidal magnesium aluminum hydroxide and heterocoagulation with a clay mineral. II. Heterocoagulation with sodium montmorillonite. Colloid Polym. Sci. 2001, 279, 1097–1103. [Google Scholar] [CrossRef]
- Lagaly, G.; Mecking, O.; Penner, D. Colloidal magnesium aluminum hydroxide and heterocoagulation with a clay mineral. I. Properties of colloidal magnesium aluminum hydroxide. Colloid Polym. Sci. 2001, 279, 1090–1096. [Google Scholar] [CrossRef]
- Meyn, M.; Beneke, K.; Lagaly, G. Anion-exchange reactions of layered double hydroxides. Inorg. Chem. 1990, 29, 5201–5207. [Google Scholar] [CrossRef]
- Chen, Z.; Fan, Q.; Huang, M.; Cölfen, H. Synthesis of two-dimensional layered double hydroxides: A systematic overview. CrystEngComm 2022, 24, 4639–4655. [Google Scholar] [CrossRef]
- Rosa, R.; Leonelli, C.; Villa, C.; Priarone, G. Microwave-assisted melt reaction method for the intercalation of carboxylic acid anions into layered double hydroxides. J. Microw. Power Electromagn. Energy 2013, 47, 12–23. [Google Scholar] [CrossRef]
- Foruzin, L.J.; Rezvani, Z. Microwave-assistant synthesis of Tartrazine/layered double hydroxide nano-hybrids with high photoluminescent properties: Influence of microwave energy. Mater. Chem. Phys. 2021, 267, 124716. [Google Scholar] [CrossRef]
- Cosano, D.; Esquivel, D.; Romero, F.J.; Jiménez-Sanchidrián, C.; Ruiz, J.R. Microwave-assisted synthesis of hybrid organo-layered double hydroxides containing cholate and deoxycholate. Mater. Chem. Phys. 2019, 225, 28–33. [Google Scholar] [CrossRef]
- Pokhriyal, M.; Yadav, D.K.; Pal, S.; Uma, S.; Nagarajan, R. Rapid and one-step transformation of LiAlH4 to inorganic and organic anion intercalated Li-Al layered double hydroxides. Eur. J. Inorg. Chem. 2019, 2019, 2412–2418. [Google Scholar] [CrossRef]
- Yadav, D.K.; Uma, S.; Nagarajan, R. Microwave-assisted synthesis of ternary Li-M-Al LDHs (M = Mg, Co, Ni, Cu, Zn, and Cd) and examining their use in phenol oxidation. Appl. Clay Sci. 2022, 228, 106655. [Google Scholar] [CrossRef]
- He, L.; Liu, S.; Chen, L.; Dai, X.; Li, J.; Zhang, M.; Ma, F.; Zhang, C.; Yang, Z.; Zhou, R.; et al. Mechanism unraveling for ultrafast and selective 99TcO4 uptake by a radiation-resistant cationic covalent organic framework: A combined radiological experiment and molecular dynamics simulation study. Chem. Sci. 2019, 10, 4293–4305. [Google Scholar] [CrossRef]
- Yu, J.; Luo, X.; Liu, B.; Zhou, J.; Feng, J.; Zhu, W.; Wang, S.; Zhang, Y.; Lin, X.; Chen, P. Bayberry tannin immobilized bovine serum albumin nanospheres: Characterization, irradiation stability and selective removal of uranyl ions from radioactive wastewater. J. Mater. Chem. A 2018, 6, 15359–15370. [Google Scholar] [CrossRef]
- Li, J.; Dai, X.; Zhu, L.; Xu, C.; Zhang, D.; Silver, M.A.; Li, P.; Chen, L.; Li, Y.; Zuo, D.; et al. 99TcO4 remediation by a cationic polymeric network. Nat. Commun. 2018, 9, 3007. [Google Scholar] [CrossRef]
- Wu, Y.; Pang, H.; Liu, Y.; Wang, X.; Yu, S.; Fu, D.; Chen, J.; Wang, X. Environmental remediation of heavy metal ions by novel-nanomaterials: A review. Environ. Pollut. 2019, 246, 608–620. [Google Scholar] [CrossRef]
- Liu, X.; Ma, R.; Wang, X.; Ma, Y.; Yang, Y.; Zhuang, L.; Zhang, S.; Jehan, R.; Chen, J.; Wang, X. Graphene oxide-based materials for efficient removal of heavy metal ions from aqueous solution: A review. Environ. Pollut. 2019, 252, 62–73. [Google Scholar] [CrossRef]
- Mohanambe, L.; Vasudevan, S. Insertion of iodine in a functionalized inorganic layered solid. Inorg. Chem. 2004, 43, 6421–6425. [Google Scholar] [CrossRef] [PubMed]
- Ma, S.; Islam, S.M.; Shim, Y.; Gu, Q.; Wang, P.; Li, H.; Sun, G.; Yang, X.; Kanatzidis, M.G. Highly efficient iodine capture by layered double hydroxides intercalated with polysulfides. Chem. Mater. 2014, 26, 7114–7123. [Google Scholar] [CrossRef]
- Lin, G.; Zhu, L.; Duan, T.; Zhang, L.; Liu, B.; Lei, J. Efficient capture of iodine by a polysulfide-inserted inorganic NiTi-layered double hydroxides. Chem. Eng. J. 2019, 378, 122181. [Google Scholar] [CrossRef]
- Wang, D.Y.; Costa, F.R.; Vyalikh, A.; Leuteritz, A.; Scheler, U.; Jehnichen, D.; Wagenknecht, U.; Häussler, L.; Heinrich, G. One-step synthesis of organic LDH and its comparison with regeneration and anion exchange method. Chem. Mater. 2009, 21, 4490–4497. [Google Scholar] [CrossRef]
- Deng, L.; Zeng, H.; Shi, Z.; Zhang, W.; Luo, J. Sodium dodecyl sulfate intercalated and acrylamide anchored layered double hydroxides: A multifunctional adsorbent for highly efficient removal of Congo red. J. Colloid Interface Sci. 2018, 521, 172–182. [Google Scholar] [CrossRef]
- He, H.P.; Ray, F.L.; Zhu, J.X. Infrared study of HDTMA+ intercalated montmorillonite. Spectrochim. Acta A 2004, 60, 2853–2859. [Google Scholar]
- Bouraada, M.; Ouali, M.S.; de Ménorval, L.C. Dodecylsulfate and dodecyl benzenesulfonate intercalated hydrotalcites as adsorbent materials for the removal of BBR acid dye from aqueous solutions. J. Saudi Chem. Soc. 2016, 20, 397–404. [Google Scholar] [CrossRef]
- Zhang, F.R.; Du, N.; Song, S.; Hou, W.G. Mechano-hydrothermal synthesis of SDS intercalated LDH nanohybrids and their removal efficiency for 2,4-dichlorophenoxyacetic acid from aqueous solution. Mater. Chem. Phys. 2015, 152, 95–103. [Google Scholar] [CrossRef]
- Wang, B.; Zhang, H.; Evans, D.; Duan, X. Surface modification of layered double hydroxides and incorporation of hydrophobic organic compounds. Mater. Chem. Phys. 2005, 92, 190–196. [Google Scholar] [CrossRef]
- Costa, F.R.; Leuteritz, A.; Wagenknecht, U.; Jehnichen, D.; Häußler, L.; Heinrich, G. Intercalation of Mg-Al layered double hydroxide by anionic surfactants: Preparation and characterization. Appl. Clay Sci. 2008, 38, 153–164. [Google Scholar] [CrossRef]
- Babakhani, S.; Talib, Z.A.; Hussein, M.Z.; Ahmed, A.A.A. Optical and thermal properties of Zn/Al-layered double hydroxide nanocomposite intercalated with sodium dodecyl sulfate. J. Spectrosc. 2014, 2014, 467064. [Google Scholar] [CrossRef]
- Li, P.G.; Lv, F.Z.; Xu, Z.X.; Qi, G.G.; Zhang, Y.H. Functions of surfactants in the one-step synthesis of surfactant-intercalated LDHs. J. Mater. Sci. 2013, 48, 5437–5446. [Google Scholar] [CrossRef]
- Kentjono, L.; Liu, J.C.; Chang, W.C.; Irawan, C. Removal of boron and iodine from optoelectronic wastewater using Mg-Al(NO3) layered double hydroxide. Desalination 2010, 262, 280–283. [Google Scholar] [CrossRef]
- Dinh, T.D.; Zhang, D.; Tuan, V.N. High iodine adsorption performances under off-gas conditions by bismuth-modified ZnAl-LDH layered double hydroxide. RSC Adv. 2020, 10, 14360–14367. [Google Scholar] [CrossRef]
- Yao, W.; Wu, Y.; Pang, H.; Wang, X.; Yu, S.; Wang, X. In-Situ reduction synthesis of manganese dioxide@polypyrrole core/shell nanomaterial for highly efficient enrichment of U (VI) and Eu (III). Sci. China Chem. 2018, 61, 812–823. [Google Scholar] [CrossRef]
- Zhang, C.; Li, X.; Chen, Z.; Tao, W.; Huang, S.; Hayat, T.; Alsaedi, A.; Wang, X. Synthesis of ordered mesoporous carbonaceous materials and their highly efficient capture of uranium from solutions. Sci. China Chem. 2018, 61, 281–293. [Google Scholar] [CrossRef]










| LDHs | Content of Elements (mol %) | |||||||
|---|---|---|---|---|---|---|---|---|
| Li | Al | Mg | Co | Ni | Cu | Zn | Cd | |
| Li-Al-DS | 9.2 | 19.8 | - | - | - | - | - | - |
| Li-Mg-Al-DS | 2.4 | 17.1 | 6.1 | - | - | - | - | - |
| Li-Co-Al-DS | 1.8 | 16.1 | - | 9.3 | - | - | - | - |
| Li-Ni-Al-DS | 2.1 | 17.1 | - | - | 7.3 | - | - | - |
| Li-Cu-Al-DS | 1.7 | 16.9 | - | - | - | 8.7 | - | - |
| Li-Zn-Al-DS | 2.0 | 17.6 | - | - | - | - | 7.2 | - |
| Li-Al-DBS | 9.5 | 19.6 | - | - | - | - | - | - |
| Li-Mg-Al-DBS | 2.2 | 17.5 | 6.5 | - | - | - | - | - |
| Li-Co-Al-DBS | 1.9 | 16.9 | - | 8.6 | - | - | - | - |
| Li-Ni-Al-DBS | 1.9 | 17.1 | - | - | 7.4 | - | - | - |
| Li-Cu-Al-DBS | 1.8 | 16.4 | - | - | - | 9.1 | - | - |
| Li-Zn-Al-DBS | 2.3 | 17.9 | - | - | - | - | 6.8 | - |
| LDHs | Chemical Composition |
|---|---|
| Li-Al-DS | Li0.92Al1.98(OH)6(DS)x(CO3)y |
| Li-Mg-Al-DS | Li0.24Mg0.61Al1.71(OH)6(DS)x(CO3)y |
| Li-Co-Al-DS | Li0.18Co0.93Al1.61(OH)6(DS)x(CO3)y |
| Li-Ni-Al-DS | Li0.21Ni0.73Al1.71(OH)6(DS)x(CO3)y |
| Li-Cu-Al-DS | Li0.17Cu0.87Al1.69(OH)6(DS)x(CO3)y |
| Li-Zn-Al-DS | Li0.20Zn0.72Al1.76(OH)6(DS)x(CO3)y |
| Li-Al-DBS | Li0.95Al1.96(OH)6(DBS)x(CO3)y |
| Li-Mg-Al-DBS | Li0.22Mg0.65Al1.75(OH)6(DBS)x(CO3)y |
| Li-Co-Al-DBS | Li0.19Co0.86Al1.69(OH)6(DBS)x(CO3)y |
| Li-Ni-Al-DBS | Li0.19Ni0.74Al1.71(OH)6(DBS)x(CO3)y |
| Li-Cu-Al-DBS | Li0.18Cu0.91Al1.64(OH)6(DBS)x(CO3)y |
| Li-Zn-Al-DBS | Li0.23Zn0.68Al1.79(OH)6(DBS)x(CO3)y |
| qe (exp) | Langmuir Isotherm Model | Freundlich Isotherm Model | ||||
|---|---|---|---|---|---|---|
| qmax (mg/g) | b (L/mg) | R2 | n | KF (mg/g) | R2 | |
| 63.96 | 67.38 | 0.16 | 0.988 | 0.39 | 13.64 | 0.749 |
| qe,exp (mg/g) | Pseudo-First-Order Model | Pseudo-Second-Order Model | ||||
|---|---|---|---|---|---|---|
| k1 (min−1) | qe,cal (mg/g) | R2 | k2 (g mg−1 min−1) | qe,cal (mg/g) | R2 | |
| 53.15 | 2.76 × 10−3 | 3.06 | 0.713 | 2.14 × 10−3 | 56.59 | 0.999 |
Disclaimer/Publisher’s Note: The statements, opinions and data contained in all publications are solely those of the individual author(s) and contributor(s) and not of MDPI and/or the editor(s). MDPI and/or the editor(s) disclaim responsibility for any injury to people or property resulting from any ideas, methods, instructions or products referred to in the content. |
© 2023 by the authors. Licensee MDPI, Basel, Switzerland. This article is an open access article distributed under the terms and conditions of the Creative Commons Attribution (CC BY) license (https://creativecommons.org/licenses/by/4.0/).
Share and Cite
Yadav, D.K.; Uma, S.; Nagarajan, R. Surfactant Intercalation in Li-Al-Based Binary and Ternary Layered Double Hydroxides by the Microwave-Assisted Rapid Ion-Exchange Process and Its Application in Iodine Adsorption. Minerals 2023, 13, 303. https://doi.org/10.3390/min13030303
Yadav DK, Uma S, Nagarajan R. Surfactant Intercalation in Li-Al-Based Binary and Ternary Layered Double Hydroxides by the Microwave-Assisted Rapid Ion-Exchange Process and Its Application in Iodine Adsorption. Minerals. 2023; 13(3):303. https://doi.org/10.3390/min13030303
Chicago/Turabian StyleYadav, Dileep Kumar, Sitharaman Uma, and Rajamani Nagarajan. 2023. "Surfactant Intercalation in Li-Al-Based Binary and Ternary Layered Double Hydroxides by the Microwave-Assisted Rapid Ion-Exchange Process and Its Application in Iodine Adsorption" Minerals 13, no. 3: 303. https://doi.org/10.3390/min13030303
APA StyleYadav, D. K., Uma, S., & Nagarajan, R. (2023). Surfactant Intercalation in Li-Al-Based Binary and Ternary Layered Double Hydroxides by the Microwave-Assisted Rapid Ion-Exchange Process and Its Application in Iodine Adsorption. Minerals, 13(3), 303. https://doi.org/10.3390/min13030303

