Effect of Magnesium and Ferric Ions on the Biomineralization of Calcium Carbonate Induced by Synechocystis sp. PCC 6803
Abstract
1. Introduction
2. Materials and Methods
2.1. Bacterial Strain, Culture Medium, and Cultivation Conditions
2.2. Growth Curve, pH, CA Activity, and CO32− and HCO3− Concentrations at Different Conditions
2.3. EPS Extraction and Composition of EPS
2.4. Changes in Cation Concentrations, Precipitation Ratio, and Precipitation Rate under the Influence of Synechocystis sp. PCC 6803 in Different Conditions
2.5. Characterization of Biominerals Induced by Synechocystis sp. PCC 6803 at Different Conditions
3. Results
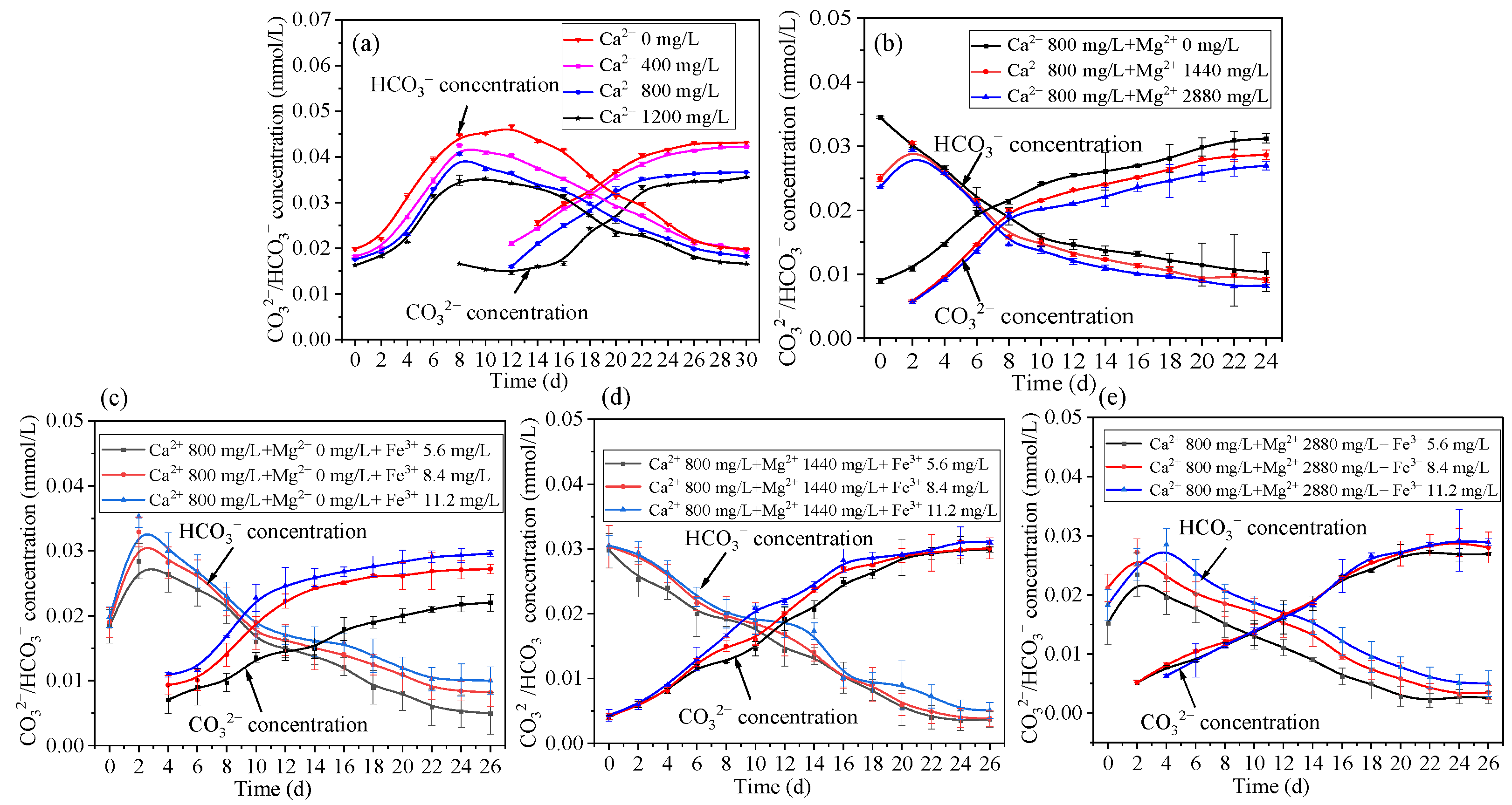
3.1. Effects of Ca2+, Mg2+, and Fe3+ Ions on Cyanobacterial Growth, pH, CA Activity, and Concentrations of CO32− and HCO3− Ions
3.2. Analyses of EPS Components
3.3. Removal of Ca2+, Mg2+, and Fe3+ Ions under Different Conditions Induced by Synechocystis sp. PCC 6803
3.3.1. Removal of Ca2+ under the Action of Mg2+ Ions
3.3.2. Removal of Ca2+ under the Action of Fe3+ Ions
3.3.3. Removal of Ca2+ under the Action of Mg2+ + Fe3+ Ions
3.4. Characteristics of Biominerals Induced by Synechocystis sp. PCC 6803
3.4.1. XRD Analyses of Minerals
3.4.2. FTIR Analyses of Minerals
3.4.3. SEM-EDS Analyses of Minerals
3.4.4. XPS Analyses of Biominerals Induced by Synechocystis sp. PCC 6803
4. Discussions
4.1. Effects of Ca2+, Mg2+, and Fe3+ Ions on the Cell’s Survival, CA Activity, pH, and EPS Components
4.2. Effects of Changes in the Cations, CA Activity, and EPS Composition on the Formation of CaCO3
5. Conclusions
Supplementary Materials
Author Contributions
Funding
Data Availability Statement
Acknowledgments
Conflicts of Interest
References
- Riding, R. Microbial carbonates: The geological record of calcified bacterial-algal mats and biofilms. Sedimentology 2000, 47, 179–214. [Google Scholar] [CrossRef]
- Zhao, Y.; Yan, H.; Tucker, M.E.; Han, M.; Zhao, H.; Mao, G.; Peng, C.; Han, Z. Calcimicrobes in Cambrian microbialites (Shandong, North China) and comparison with experimentally produced biomineralization precipitates. Carbonates Evaporites 2020, 35, 119. [Google Scholar] [CrossRef]
- Ikeuchi, M.; Tabata, S. Synechocystis sp. PCC 6803—A useful tool in the study of the genetics of cyanobacteria. Photosynth. Res. 2001, 70, 73–83. [Google Scholar] [CrossRef] [PubMed]
- Han, Z.; Yan, H.; Zhao, H.; Zhou, S.; Han, M.; Meng, X.; Zhang, Y.; Zhao, Y.; Sun, B.; Yao, C. Bio-precipitation of calcite with preferential orientation induced by Synechocystis sp. PCC6803. Geomicrobiol. J. 2014, 31, 884–899. [Google Scholar] [CrossRef]
- Yan, H.; Han, Z.; Zhao, H.; Zhou, S.; Chi, N.; Han, M.; Kou, X.; Zhang, Y.; Xu, L.; Tian, C.; et al. Characterization of calcium deposition induced by Synechocystis sp. PCC6803 in BG11 culture medium. Chin. J. Oceanol. Limn. 2014, 32, 503–510. [Google Scholar] [CrossRef]
- Han, Z.; Meng, R.; Yan, H.; Zhao, H.; Han, M.; Zhao, Y.; Sun, B.; Sun, Y.; Wang, J.; Zhuang, D.; et al. Calcium carbonate precipitation by Synechocystis sp. PCC6803 at different Mg/Ca molar ratios under the laboratory condition. Carbonates Evaporites 2017, 32, 561–575. [Google Scholar] [CrossRef]
- Han, Z.; Zhao, Y.; Yan, H.; Zhao, H.; Han, M.; Sun, B.; Meng, R.; Zhuang, D.; Li, D.; Gao, W.; et al. The Characterization of Intracellular and Extracellular Biomineralization Induced by Synechocystis sp. PCC6803 Cultured under Low Mg/Ca Ratios Conditions. Geomicrobiol. J. 2017, 34, 362–373. [Google Scholar] [CrossRef]
- Zhao, Y.; Wei, X.; Gao, X.; Li, J.; Zhang, Y.; Hu, K.; Han, C.; Wang, Q.; Han, Z. Proto-dolomite spherulites with heterogeneous interior precipitated in brackish water cultivation of freshwater cyanobacterium Leptolyngbya boryana. Sci. Total. Environ. 2023, 906, 167552. [Google Scholar] [CrossRef]
- Zhang, Z.; Zhang, P.; Li, Z.; Kan, A.T.; Tomson, M.B. Laboratory evaluation and mechanistic understanding of the impact of ferric species on oilfield scale inhibitor performance. Sustain. Energy Fuels 2018, 32, 8348–8357. [Google Scholar] [CrossRef]
- Miot, J.; Benzerara, K.; Kappler, A. Investigating Microbe-Mineral Interactions: Recent Advances in X-Ray and Electron Microscopy and Redox-Sensitive Methods. Annu. Rev. Earth Pl. Sc. 2014, 42, 271–289. [Google Scholar] [CrossRef]
- Sun, B.; Zhao, H.; Zhao, Y.; Tucker, M.; Han, Z.; Yan, H. Bio-Precipitation of Carbonate and Phosphate Minerals Induced by the Bacterium Citrobacter freundii ZW123 in an Anaerobic Environment. Minerals 2020, 10, 65. [Google Scholar] [CrossRef]
- Bäuerlein, E. Biomineralization of Unicellular Organisms: An Unusual Membrane Biochemistry for the Production of Inorganic Nano-and Microstructures. Angew. Chem. Int. Edit. 2003, 42, 614–641. [Google Scholar] [CrossRef]
- Bouropoulos, N.; Weiner, S.; Addadi, L. Calcium oxalate crystals in tomato and tobacco plants: Morphology and in vitro interactions of crystal-associated macromolecules. Chem. Eur. J. 2001, 7, 1881–1888. [Google Scholar] [CrossRef] [PubMed]
- Graham, T.; Sarikaya, M. Growth dynamics of red abalone shell: A biomimetic model. Mater. Sci. Eng. C 2000, 11, 145–153. [Google Scholar] [CrossRef]
- Weiner, S.; Traub, W.; Wagner, H.D. Lamellar Bone: Structure-Function Relations. J. Struct. Biol. 1999, 126, 241–255. [Google Scholar] [CrossRef] [PubMed]
- Osman, K.M.; Taher, F.M.; Abd El-Tawab, A.; Faried, A.S. Role of different microorganisms on the mechanical characteristics, self-healing efficiency, and corrosion protection of concrete under different curing conditions. J. Build. Eng. 2021, 41, 102414. [Google Scholar] [CrossRef]
- Liu, T.; Guo, Z.; Zeng, Z.; Guo, N.; Lei, Y.; Liu, T.; Sun, S.; Chang, X.; Yin, Y.; Wang, X. Marine Bacteria Provide Lasting Anticorrosion Activity for Steel via Biofilm-Induced Mineralization. ACS Appl. Mater. Interfaces 2018, 10, 40317–40327. [Google Scholar] [CrossRef]
- Li, S.; Qu, Q.; Li, L.; Xia, K.; Li, Y.; Zhu, T. Bacillus cereus s-EPS as a dual bio-functional corrosion and scale inhibitor in artificial seawater. Water Res. 2019, 166, 115094. [Google Scholar] [CrossRef]
- Kooli, W.M.; Comensoli, L.; Maillard, J.; Albini, M.; Gelb, A.; Junier, P.; Joseph, E. Bacterial iron reduction and biogenic mineral formation for the stabilisation of corroded iron objects. Sci. Rep. 2018, 8, 764. [Google Scholar] [CrossRef]
- Comensoli, L.; Albini, M.; Kooli, W.; Maillard, J.; Lombardo, T.; Junier, P.; Joseph, E. Investigation of Biogenic Passivating Layers on Corroded Iron. Materials 2020, 13, 1176. [Google Scholar] [CrossRef]
- Wei, S.; Jiang, Z.; Liu, H.; Zhou, D.; Sanchez-Silva, M. Microbiologically induced deterioration of concrete: A Review. Braz. J. Microbiol. 2013, 44, 1001–1007. [Google Scholar] [CrossRef] [PubMed]
- Wei, S.; Cui, H.; Jiang, Z.; Liu, H.; He, H.; Fang, N. Biomineralization processes of calcite induced by bacteria isolated from marine sediments. Braz. J. Microbiol. 2015, 46, 455–464. [Google Scholar] [CrossRef] [PubMed]
- Brennan, S.T.; Lowenstein, T.K.; Horita, J. Seawater chemistry and the advent of biocalcification. Geology 2004, 32, 473. [Google Scholar] [CrossRef]
- Su, Z.; Deng, Z.; Wang, Y.; Ji, C.; Li, F.; Yang, G.; Huang, L. Effects of the Sr/Ca ratio on the bioremediation of strontium based on microbially-induced carbonate precipitation. J. Environ. Chem. Eng. 2023, 11, 108990. [Google Scholar] [CrossRef]
- Yang, G.; Li, F.; Deng, Z.; Wang, Y.; Su, Z.; Huang, L.; Yin, L.; Ji, C. Abnormal Crystallization Sequence of Calcium Carbonate in the Presence of Synechococcus sp. PCC 7942. Geomicrobiol. J. 2023, 40, 34–45. [Google Scholar] [CrossRef]
- Boquet, E.; Boronat, A.; Ramos-Cormenzana, A. Production of Calcite (Calcium Carbonate) Crystals by Soil Bacteria is a General Phenomenon. Nature 1973, 246, 527–529. [Google Scholar] [CrossRef]
- Dhami, N.K.; Mukherjee, A.; Reddy, M.S. Micrographical, minerological and nano-mechanical characterisation of microbial carbonates from urease and carbonic anhydrase producing bacteria. Ecol. Eng. 2016, 94, 443–454. [Google Scholar] [CrossRef]
- Yan, H.; Cao, J.; Teng, M.; Meng, L.; Zhao, L.; Chi, X.; Han, Z.; Tucker, M.E.; Zhao, H. Calcium ion removal at different sodium chloride concentrations by free and immobilized halophilic bacteria. Water Res. 2023, 229, 119438. [Google Scholar] [CrossRef]
- Zhuang, D.; Yan, H.; Tucker, M.E.; Zhao, H.; Han, Z.; Zhao, Y.; Sun, B.; Li, D.; Pan, J.; Zhao, Y.; et al. Calcite precipitation induced by Bacillus cereus MRR2 cultured at different Ca2+ concentrations: Further insights into biotic and abiotic calcite. Chem. Geol. 2018, 500, 64–87. [Google Scholar] [CrossRef]
- Flemming, H.C. EPS-Then and Now. Microorganisms 2016, 4, 41. [Google Scholar] [CrossRef]
- Zhu, L.; Qi, H.-Y.; Lv, M.-L.; Kong, Y.; Yu, Y.-W.; Xu, X.-Y. Component analysis of extracellular polymeric substances (EPS) during aerobic sludge granulation using FTIR and 3D-EEM technologies. Bioresour. Technol. 2012, 124, 455–459. [Google Scholar] [CrossRef]
- Jung, J.-H.; Choi, N.-Y.; Lee, S.-Y. Biofilm formation and exopolysaccharide (EPS) production by Cronobacter sakazakii depending on environmental conditions. Food Microbiol. 2013, 34, 70–80. [Google Scholar] [CrossRef] [PubMed]
- Tucker, M. Fossil viruses. Geol. Today 2020, 36, 156–160. [Google Scholar] [CrossRef]
- Yan, H.; Han, Z.; Zhao, H.; Pan, J.; Zhao, Y.; Tucker, M.E.; Zhou, J.; Yan, X.; Yang, H.; Fan, D. The bio-precipitation of calcium and magnesium ions by free and immobilized Lysinibacillus fusiformis DB1-3 in the wastewater. J. Clean. Prod. 2020, 252, 119826. [Google Scholar] [CrossRef]
- Perri, E.; Tucker, M.E.; Słowakiewicz, M.; Whitaker, F.; Bowen, L.; Perrotta, I.D. Carbonate and silicate biomineralization in a hypersaline microbial mat (Mesaieed sabkha, Qatar): Roles of bacteria, extracellular polymeric substances and viruses. Sedimentology 2018, 65, 1213–1245. [Google Scholar] [CrossRef]
- Dominguez Chabalina, L.; Rodriguez Pastor, M.; Prats Rico, D. Characterization of soluble and bound EPS obtained from 2 submerged membrane bioreactors by 3D-EEM and HPSEC. Talanta 2013, 115, 706–712. [Google Scholar] [CrossRef]
- Kalmar, L.; Homola, D.; Varga, G.; Tompa, P. Structural disorder in proteins brings order to crystal growth in biomineralization. Bone 2012, 51, 528–534. [Google Scholar] [CrossRef]
- Paulo, C.; Kenney, J.; Persson, P.; Dittrich, M. Effects of Phosphorus in Growth Media on Biomineralization and Cell Surface Properties of Marine Cyanobacteria Synechococcus. Geosciences 2018, 8, 471. [Google Scholar] [CrossRef]
- Pan, J.; Zhao, H.; Tucker, M.E.; Zhou, J.; Jiang, M.; Wang, Y.; Zhao, Y.; Sun, B.; Han, Z.; Yan, H. Biomineralization of Monohydrocalcite Induced by the Halophile Halomonas Smyrnensis WMS-3. Minerals 2019, 9, 632. [Google Scholar] [CrossRef]
- Demri, B.; Muster, D. XPS study of some calcium compounds. J. Mater. Process. Tech. 1995, 55, 311–314. [Google Scholar] [CrossRef]
- Yan, H.; Huang, M.; Wang, J.; Geng, H.; Zhang, X.; Qiu, Z.; Dai, Y.; Han, Z.; Xu, Y.; Meng, L.; et al. Difference in calcium ion precipitation between free and immobilized Halovibrio mesolongii HMY2. J. Environ. Sci. 2022, 122, 184–200. [Google Scholar] [CrossRef] [PubMed]
- Dong, Y.; Liu, Z.; Liu, W.; Lin, H. A new organosilane passivation agent prepared at ambient temperatures to inhibit pyrite oxidation for acid mine drainage control. J. Environ. Manag. 2022, 320, 115835. [Google Scholar] [CrossRef] [PubMed]
- Colaco, E.; Brouri, D.; Methivier, C.; Valentin, L.; Oudet, F.; El Kirat, K.; Guibert, C.; Landoulsi, J. Calcium phosphate mineralization through homogenous enzymatic catalysis: Investigation of the early stages. J. Colloid Interface Sci. 2020, 565, 43–54. [Google Scholar] [CrossRef] [PubMed]
- Palomera, R.C.; Martinez, O.S.; Pantoja-Enriquez, J.; Mathews, N.R.; Reyes-Banda, M.G.; Krishnan, B.; Mathew, X. Development and studies of CD1−xMgxTe thin films with varying band gaps to understand the Mg incorporation and the related material properties. Appl. Therm. Eng. 2017, 114, 1169–1175. [Google Scholar] [CrossRef]
- Umaralikhan, L.; Jaffar, M.J.M. Green Synthesis of MgO Nanoparticles and it Antibacterial Activity. Iran. J. Sci. Technol. A 2018, 42, 477–485. [Google Scholar] [CrossRef]
- Paul, D.; Singhania, A.; Das, G. Catalytic activities of the vaterite and the calcite based solid supported catalysts for spontaneous Fenton-like dye degradation: A comparative study. J. Environ. Chem. Eng. 2022, 10, 107558. [Google Scholar] [CrossRef]
- Ungerer, J.; Tao, L.; Davis, M.; Ghirardi, M.; Maness, P.-C.; Yu, J. Sustained photosynthetic conversion of CO2 to ethylene in recombinant cyanobacterium Synechocystis 6803. Energ. Environ. Sci. 2012, 5, 8998–9006. [Google Scholar] [CrossRef]
- Ouyang, J.; Liu, K.; Sun, D.; Xu, W.; Wang, A.; Ma, R. A focus on Ca2+ supply in microbial induced carbonate precipitation and its effect on recycled aggregate. J. Build. Eng. 2022, 51, 104334. [Google Scholar] [CrossRef]
- Feng, L.B.; Qi, R.N.; Jie, D.; Guo, J. The effect of Ni2+, Fe2+ and Mg2+ concentration on photo-hydrogen production by Rhodopseudomonas faecalis RLD-53. Int. J. Hydrogen Energy 2009, 34, 721–726. [Google Scholar] [CrossRef]
- Boyer, G.; Gillam, A.; Trick, C. Iron chelation and uptake. In The Cyanobacteria; Fay, P., Van Baalen, C., Eds.; Elsevier: Amsterdam, The Netherlands, 1987. [Google Scholar]
- Braun, V.; Hantke, K.; Köster, W. Bacterial iron transport: Mechanisms, genetics, and regulation. Met. Ions. Biol. Syst. 1998, 35, 67. [Google Scholar] [CrossRef]
- Katoh, H.; Grossman, A.R.; Hagino, N.; Ogawa, T. A gene of Synechocystis sp. Strain PCC 6803 encoding a novel iron transporter. J. Bacteriol. 2000, 182, 6523–6524. [Google Scholar] [CrossRef]
- Li, W.; Yu, L.-J.; Wu, Y.; Jia, L.-P.; Yuan, D.-X. Enhancement of Ca2+ release from limestone by microbial extracellular carbonic anhydrase. Bioresour. Technol. 2007, 98, 950–953. [Google Scholar] [CrossRef] [PubMed]
- Zhang, C.; Li, F.; Li, X.; Li, L.; Liu, L. The roles of Mg over the precipitation of carbonate and morphological formation in the presence of Arthrobacter sp. strain MF-2. Geomicrobiol. J. 2018, 35, 545–554. [Google Scholar] [CrossRef]
- Rezaei Behbehani, G.; Divsalar, A.; Saboury, A.A.; Hajian, R.; Rezaei, Z.; Yahaghi, E.; Barzegar, L. A Thermodynamic Study on the Binding of Cobalt(II) and Iron(III) Ions with Bovine Carbonic Anhydrase II at Different Temperatures. J. Solut. Chem. 2010, 39, 1142–1152. [Google Scholar] [CrossRef]
- Brussaard, C.; Gast, G.; Van Duyl, F.; Riegman, R. Impact of phytoplankton bloom magnitude on a pelagic microbial food web. Mar. Ecol.-Prog. Ser. 1996, 144, 211–221. [Google Scholar] [CrossRef]
- Kempe, S.; Pegler, K. Sinks and sources of CO2 in coastal seas: The North Sea. Tellus. B 1991, 43, 224–235. [Google Scholar] [CrossRef]
- Hansen, P.J. Effect of high pH on the growth and survival of marine phytoplankton: Implications for species succession. Aquat. Microb. Ecol. 2002, 28, 279–288. [Google Scholar] [CrossRef]
- Müller, B.; Meyer, J.S.; Gächter, R. Alkalinity regulation in calcium carbonate-buffered lakes. Limnol. Oceanogr. 2016, 61, 341–352. [Google Scholar] [CrossRef]
- Pan, Y.; Li, Y.; Ma, Q.; He, H.; Wang, S.; Sun, Z.; Cai, W.-J.; Dong, B.; Di, Y.; Fu, W.; et al. The role of Mg2+ in inhibiting CaCO3 precipitation from seawater. Mar. Chem. 2021, 237, 104036. [Google Scholar] [CrossRef]
- Liang, S.; Shi, Q.; Gao, X.; Yang, H.; Wang, S. Perchlorate removal by autotrophic bacteria associated with zero-valent iron: Effect of calcium ions. J. Chem. Technol. Biot. 2015, 90, 722–729. [Google Scholar] [CrossRef]
- Benslimane, S.; Bouhidel, K.-E.; Ferfache, A.; Farhi, S. Mechanistic study of the synergetic inhibiting effects of Zn2+, Cu2+ and Mg2+ ions on calcium carbonate precipitation. Water Res. 2020, 186, 116323. [Google Scholar] [CrossRef] [PubMed]
- Naveed, S.; Li, C.; Zhang, J.; Zhang, C.; Ge, Y. Sorption and transformation of arsenic by extracellular polymeric substances extracted from Synechocystis sp. PCC6803. Ecotox. Environ. Saf. 2020, 206, 111200. [Google Scholar] [CrossRef] [PubMed]
- Shen, L.; Li, Z.; Wang, J.; Liu, A.; Li, Z.; Yu, R.; Wu, X.; Liu, Y.; Li, J.; Zeng, W. Characterization of extracellular polysaccharide/protein contents during the adsorption of Cd (II) by Synechocystis sp. PCC6803. Environ. Sci. Pollut. Res. 2018, 25, 20713–20722. [Google Scholar] [CrossRef] [PubMed]
- Cui, L.; Fan, L.; Li, Z.; Wang, J.; Chen, R.; Zhang, Y.; Cheng, J.; Wu, X.; Li, J.; Yin, H. Characterization of extracellular polymeric substances from Synechocystis sp. PCC6803 under Cd (II), Pb (II) and Cr (VI) stress. J. Environ. Chem. Eng. 2021, 9, 105347. [Google Scholar] [CrossRef]
- Sun, W.; Jayaraman, S.; Chen, W.; Persson, K.A.; Ceder, G. Nucleation of metastable aragonite CaCO3 in seawater. Proc. Natl. Acad. Sci. USA 2015, 112, 3199–3204. [Google Scholar] [CrossRef] [PubMed]
- Dobberschutz, S.; Nielsen, M.R.; Sand, K.K.; Civioc, R.; Bovet, N.; Stipp, S.L.S.; Andersson, M.P. The mechanisms of crystal growth inhibition by organic and inorganic inhibitors. Nat. Commun. 2018, 9, 1578. [Google Scholar] [CrossRef] [PubMed]
- Park, W.K.; Ko, S.-J.; Lee, S.W.; Cho, K.-H.; Ahn, J.-W.; Han, C. Effects of magnesium chloride and organic additives on the synthesis of aragonite precipitated calcium carbonate. J. Cryst. Growth 2008, 310, 2593–2601. [Google Scholar] [CrossRef]
- Han, Z.; Meng, R.; Zhao, H.; Gao, X.; Zhao, Y.; Han, Y.; Liu, F.; Tucker, M.E.; Deng, J.; Yan, H. The incorporation of Mg2+ ions into aragonite during biomineralization: Implications for the dolomitization of aragonite. Front. Microbiol. 2023, 14, 1078430. [Google Scholar] [CrossRef] [PubMed]
- Yao, Q.; Wang, Y.; Zhang, Y.; Li, H.; Zhou, G. A biomimetic experimental study of magnesium ion mineralization in Mg-enriched aragonite. Sci. China Earth Sci. 2019, 62, 1619–1629. [Google Scholar] [CrossRef]
- Xie, A.-J.; Zhang, L.; Zhu, J.; Shen, Y.-H.; Xu, Z.; Zhu, J.-M.; Li, C.-H.; Chen, L.; Yang, L.-B. Formation of calcium oxalate concentric precipitate rings in two-dimensional agar gel systems containing Ca2+-RE3+ (RE = Er, Gd and La)-C2O42−. Colloid Surf. A 2009, 332, 192–199. [Google Scholar] [CrossRef]
- Mejri, W.; Ben Salah, I.; Tlili, M.M. Speciation of Fe (II) and Fe (III) effect on CaCO3 crystallization. Cryst. Res. Technol. 2015, 50, 236–243. [Google Scholar] [CrossRef]
- Dong, H.; Coffin, E.S.; Sheng, Y.; Duley, M.L.; Khalifa, Y.M. Microbial reduction of Fe(III) in nontronite: Role of biochar as a redox mediator. Geochim. Cosmochim. Acta 2023, 345, 102–116. [Google Scholar] [CrossRef]
- Thorne, R.J.; Schneider, K.; Hu, H.; Cameron, P.J. Iron reduction by the cyanobacterium Synechocystis sp. PCC 6803. Bioelectrochemistry 2015, 105, 103–109. [Google Scholar] [CrossRef] [PubMed][Green Version]
- Boon, M.; Jones, F. Barium Sulfate Crystallization from Synthetic Seawater. Cryst. Growth Des. 2016, 16, 4646–4657. [Google Scholar] [CrossRef]
- Wang, Y.-Y.; Yao, Q.-Z.; Zhou, G.-T.; Fu, S.-Q. Formation of elongated calcite mesocrystals and implication for biomineralization. Chem. Geol. 2013, 360, 126–133. [Google Scholar] [CrossRef]
- Guan, Y.; Zhou, G.; Yao, Q.; Fu, S. Crystallization of Calcite in Biomineral-Like Structures and Insight into Biomineralization. J. Earth. Sci. 2010, 21, 289–292. [Google Scholar] [CrossRef]
- Nan, Z.; Shi, Z.; Yan, B.; Guo, R.; Hou, W. A novel morphology of aragonite and an abnormal polymorph transformation from calcite to aragonite with PAM and CTAB as additives. J. Colloid Interface Sci. 2008, 317, 77–82. [Google Scholar] [CrossRef] [PubMed]
- Guo, H.; Qin, Z.; Qian, P.; Yu, P.; Cui, S.; Wang, W. Crystallization of aragonite CaCO3 with complex structures. Adv. Powder Technol. 2011, 22, 777–783. [Google Scholar] [CrossRef]
- Xie, J.; Liang, J.; Sun, J.; Gao, J.; Zhang, S.; Liu, Y.; Xie, L.; Zhang, R. Influence of the Extrapallial Fluid of Pinctada fucata on the Crystallization of Calcium Carbonate and Shell Biomineralization. Cryst. Growth Des. 2016, 16, 672–680. [Google Scholar] [CrossRef]
- Volkle Nee Evgrafov, E.; Schulz, F.; Kanold, J.M.; Michaelis, M.; Wissel, K.; Brummer, F.; Schenk, A.S.; Ludwigs, S.; Bill, J.; Rothenstein, D. Functional mimicry of sea urchin biomineralization proteins with CaCO3-binding peptides selected by phage display. J. Mater. Chem. B 2023, 11, 10174–10188. [Google Scholar] [CrossRef]
- Takeshita, T.; Matsuura, Y.; Arakawa, S.; Okamoto, M. Biomineralization of Hydroxyapatite on DNA Molecules in SBF: Morphological Features and Computer Simulation. Langmuir 2013, 29, 11975–11981. [Google Scholar] [CrossRef]
- Liu, M.; Cai, L.; Luo, H. Influence of Humic Acid on Microbially Induced Calcium Carbonate Precipitation (Micp). Available at SSRN 4555250. 2023. Available online: https://www.researchgate.net/publication/373508504_Influence_of_Humic_Acid_on_Microbially_Induced_Calcium_Carbonate_Precipitation_Micp (accessed on 21 November 2023).
- Kawano, M.; Hwang, J. Roles of microbial acidic polysaccharides in precipitation rate and polymorph of calcium carbonate minerals. Appl. Clay Sci. 2011, 51, 484–490. [Google Scholar] [CrossRef]












| Ion concentrations (mg/L) | Biominerals Induced by Synechocystis sp. PCC 6803 | |||
|---|---|---|---|---|
| β-Sheet | α-Helix | 310 Helix | β-Turn | |
| Ca2+ 400 | 1628 | - | - | - |
| Ca2+ 800 | 1628 | - | - | 1680 |
| Ca2+ 1200 | 1628 | 1659 | - | 1669, 1679, 1689 |
| Ca2+ 800 + Mg2+ 0 | 1629 | - | - | - |
| Ca2+ 800 + Mg2+ 1440 | 1629 | - | 1661 | 1668, 1681, 1688 |
| Ca2+ 800 + Mg2+ 2880 | 1629 | 1658 | - | 1668, 1681, 1688 |
| Ca2+ 800 + Mg2+ 0 + Fe3+ 5.6 | 1629 | - | - | - |
| Ca2+ 800 + Mg2+ 0 + Fe3+ 8.4 | 1627, 1633 | - | 1660 | 1668, 1681 |
| Ca2+ 800 + Mg2+ 0 + Fe3+ 11.2 | 1627, 1633 | - | 1660 | 1668, 1681 |
| Ca2+ 800 + Mg2+ 1440 + Fe3+ 5.6 | 1629 | 1654 | 1664 | 1670, 1677, 1685 |
| Ca2+ 800 + Mg2+ 1440 + Fe3+ 8.4 | 1629 | 1654 | 1664 | 1670, 1677, 1685 |
| Ca2+ 800 + Mg2+ 1440 + Fe3+ 11.2 | 1631 | 1651 | 1660, 1665 | 1673, 1679 |
Disclaimer/Publisher’s Note: The statements, opinions and data contained in all publications are solely those of the individual author(s) and contributor(s) and not of MDPI and/or the editor(s). MDPI and/or the editor(s) disclaim responsibility for any injury to people or property resulting from any ideas, methods, instructions or products referred to in the content. |
© 2023 by the authors. Licensee MDPI, Basel, Switzerland. This article is an open access article distributed under the terms and conditions of the Creative Commons Attribution (CC BY) license (https://creativecommons.org/licenses/by/4.0/).
Share and Cite
Zhao, H.; Han, Y.; Liang, M.; Han, Z.; Woo, J.; Meng, L.; Chi, X.; Tucker, M.E.; Han, C.; Zhao, Y.; et al. Effect of Magnesium and Ferric Ions on the Biomineralization of Calcium Carbonate Induced by Synechocystis sp. PCC 6803. Minerals 2023, 13, 1486. https://doi.org/10.3390/min13121486
Zhao H, Han Y, Liang M, Han Z, Woo J, Meng L, Chi X, Tucker ME, Han C, Zhao Y, et al. Effect of Magnesium and Ferric Ions on the Biomineralization of Calcium Carbonate Induced by Synechocystis sp. PCC 6803. Minerals. 2023; 13(12):1486. https://doi.org/10.3390/min13121486
Chicago/Turabian StyleZhao, Hui, Yongkui Han, Mengyi Liang, Zuozhen Han, Jusun Woo, Long Meng, Xiangqun Chi, Maurice E. Tucker, Chao Han, Yanyang Zhao, and et al. 2023. "Effect of Magnesium and Ferric Ions on the Biomineralization of Calcium Carbonate Induced by Synechocystis sp. PCC 6803" Minerals 13, no. 12: 1486. https://doi.org/10.3390/min13121486
APA StyleZhao, H., Han, Y., Liang, M., Han, Z., Woo, J., Meng, L., Chi, X., Tucker, M. E., Han, C., Zhao, Y., Zhao, Y., & Yan, H. (2023). Effect of Magnesium and Ferric Ions on the Biomineralization of Calcium Carbonate Induced by Synechocystis sp. PCC 6803. Minerals, 13(12), 1486. https://doi.org/10.3390/min13121486
