Next Article in Journal
Conversion of Aluminosilicate Residue Generated from Lithium Extraction Process to NaX Zeolite
Next Article in Special Issue
Early Dolomitization Mechanism of the Upper Ediacaran Qigebrak Formation, Northwestern Tarim Basin: Evidence from Petrography, Rare Earth Elements, and Clumped Isotope
Previous Article in Journal
Minerals Editorial: Greetings from the Editor-in-Chief
Previous Article in Special Issue
Diagenetic Evolution of Upper Cretaceous Kawagarh Carbonates from Attock Hazara Fold and Thrust Belt, Pakistan
 
 
Font Type:
Arial Georgia Verdana
Font Size:
Aa Aa Aa
Line Spacing:
Column Width:
Background:
Article

Pore-Type Characterization and Reservoir Zonation of the Sarvak Formation in the Abadan Plain, Zagros Basin, Iran

by
Hamzeh Mehrabi
1,*,
Fatemeh Karami
1,
Nafiseh Fakhar-Shahreza
1 and
Javad Honarmand
2
1
School of Geology, College of Science, University of Tehran, Tehran 14398-14151, Iran
2
Research Institute of Petroleum Industry (RIPI), Tehran 14778-93855, Iran
*
Author to whom correspondence should be addressed.
Minerals 2023, 13(12), 1464; https://doi.org/10.3390/min13121464
Submission received: 23 September 2023 / Revised: 12 November 2023 / Accepted: 17 November 2023 / Published: 22 November 2023
(This article belongs to the Special Issue Deposition, Diagenesis, and Geochemistry of Carbonate Sequences)

Abstract

:
Carbonate reservoirs are characterized by their complex depositional–diagenetic history and, consequently, intricate pore networks. In this study, pore types and reservoir zones of the Sarvak Formation, which is the second most important oil reservoir in Iran, are investigated by integrating core, thin-section, porosity–permeability, scanning electron microscopy (SEM), and mercury injection capillary pressure (MICP) data. Depositional, diagenetic, and fracture pores are identified in macroscopic to microscopic scales. Frequency analysis of pore types revealed that diagenetic pores, including vuggy, moldic, intercrystalline, and fracture pores, formed the majority of pore spaces of the Sarvak Formation. They are dominantly recorded in the regressive systems tracts of both the Cenomanian and Turonian sequences, just below the paleoexposure surfaces. Away from the disconformities, there are two general trends regarding the pore-types distribution: (a) grain-supported facies of shoal and talus settings with dominant primary (depositional) pores including interparticle, intra-skeletal, and growth-framework pores, which are concentrated in the middle part of the formation, and (b) microporous mud-dominated facies with various types of primary and secondary pore types in the TSTs of third-order sequences, especially in the lower part of the Sarvak Formation. Stratigraphic modified Lorenz plot differentiated reservoir, speed, barrier, and baffle zones in this formation. Depositional–diagenetic characters, petrophysical properties, and dominant pore types are defined for each zone in a sequence stratigraphic framework.

1. Introduction

Carbonate rocks are widely regarded as some of the most significant hydrocarbon reservoirs globally [1]. The reservoir quality of carbonate reservoirs is influenced by three interconnected factors: depositional facies, diagenetic processes, and tectonic events [2,3]. Due to the diverse depositional facies and the impact of various diagenetic processes, the pore system in carbonate reservoirs is more heterogeneous compared to the clastic rocks [4,5]. The pore system and its associated heterogeneities play a pivotal role in fluid flow, porosity–permeability values, water saturation, relative permeability, and capillary pressure in carbonate reservoirs [6,7,8,9]. Recognizing and interpreting variations in the pore system, along with its classification from a petrophysical standpoint, contribute to a better comprehension of reservoir heterogeneities [10,11,12,13].
The Upper Cretaceous (Cenomanian–Turonian) Sarvak Formation is the primary reservoir unit within the Bangestan Group and is considered the most significant carbonate reservoir rock in the Zagros Basin, following the Asmari Formation [14]. This formation holds immense importance for exploration and production across multiple oil fields in the Abadan Plain region [15,16,17]. Numerous studies have been conducted on the sedimentology, geochemistry, and reservoir quality of the Sarvak Formation in the southwest of Iran (e.g., [11,18,19,20,21,22,23,24]). These studies reveal a complex depositional–diagenetic history that has contributed to the creation and evolution of various pore types within the Sarvak Formation. However, a comprehensive study that thoroughly examines the Sarvak Formation’s pore systems and establishes corresponding reservoir zones has not been undertaken yet.
This study represents the first research endeavor that integrates routine (RCAL) and special (SCAL) core data with petrographic evidence and scanning electron microscopy (SEM) to investigate the various types of pore systems in the Sarvak Formation. After identifying the controlling factors of these pore systems and their distribution, they are classified accordingly. This classification results in the definition of reservoir zones within the Sarvak Formation, and the impact of pore system diversity on the reservoir quality of these zones is assessed within the Abadan Plain. Acquiring a detailed understanding of the distribution of reservoir zones in this formation is crucial for a comprehensive understanding and modeling of this reservoir. On a wider scale, this study provides a standard methodology of pore-network characterization and pore-based reservoir zonation of carbonate reservoirs all around the world. The aims of this study include (1) defining the various pore types in macro-, meso-, and microscopic scales within the Sarvak Formation; (2) the genetical classification of pore types (i.e., depositional, diagenetic, and fracture pores); (3) reservoir zonation of the formation based on the stratigraphic modified Lorenz plot, (4) defining the controls of pore types on the development of reservoir and non-reservoir (barrier to baffle) zones, and (5) sequence stratigraphic framework of pore types and reservoir zones of the Sarvak Formation in the Abadan Plain.

2. Geological Setting and Stratigraphy

In the geological history of the Arabian Plate and the Zagros Basin, the Upper Cretaceous depositional successions contain multiple hydrocarbon reserves, which are economically significant [25,26]. The study area, Abadan Plain (Figure 1A), is situated in the northwestern part of the Persian Gulf and is recognized as one of the most prosperous hydrocarbon basins in the Zagros Basin [15].
In a broader context, the Upper Cretaceous is known as a warm period on a global scale, particularly within the Middle East [27]. At this time, the northeastern margin of the Arabian Plate, including the Zagros Basin of Iran, was situated close to the Equator, at approximately 0 to 5° in the northern hemisphere [28,29]. Consequently, the depositional setting of this area is expected to feature a warm and humid tropical paleoclimate with heavy precipitation [30]. Additionally, during the Upper Cretaceous, the Arabian Plate experienced high relative sea levels [28]. However, various instances of relative sea-level fluctuations occurred due to a combination of tectonic movements and eustatic changes [31].
The complex tectonic history of the Zagros Basin, following a huge change in tectonic regime from an extensional to a compressional regime during the closure of the Neo-Tethys Ocean, results in significant variations in the depositional, diagenesis, and reservoir characteristics of the Sarvak Formation and its equivalents across the Middle East [26,32,33].
During the Cenomanian–Turonian interval, both the Arabian Platform and the Zagros Basin underwent three notable emergence phases, leading to the formation of disconformities. The disconformities and their related diagenetic features significantly impacted the reservoir characteristics of the Sarvak Formation [14,34,35]. Meteoric dissolution (karstification) played a substantial role in diversifying the pore systems and enhancing porosity–permeability beneath the paleoexposure surfaces [36]. The Sarvak Formation, primarily composed of thick limestone and dolomitic limestone with minor clayey and argillaceous intervals, is located in the south and southwest of Iran (Figure 1B). It correlates with the Mishrif, Ahmadi, and Rumaila Formations in Saudi Arabia; the Natih Formation in Oman; the Derdere Formation in southeastern Turkey; and the Mishrif Formation in Iraq (Figure 1C) [25]. At its type section, the Sarvak Formation overlies the Kazhdumi Formation with a transitional contact, but its upper boundary with the shales and marls of the Gurpi Formation is sharp (Figure 1B,C) [37]. In our study area (Abadan Plain), a thin-bedded argillaceous–shaly limestone referred to as the Laffan Formation, with a total thickness of about 10–15 m, separates the Sarvak from the Ilam Formation (Figure 1B).
Figure 1. Location map of Iran and the Abadan Plain in the Zagros Basin (A). Stratigraphic charts of Cretaceous in the Abadan Plain of Iran (B) and the Middle East, modified after [28] (C). Figure adapted with some modifications from [38].
Figure 1. Location map of Iran and the Abadan Plain in the Zagros Basin (A). Stratigraphic charts of Cretaceous in the Abadan Plain of Iran (B) and the Middle East, modified after [28] (C). Figure adapted with some modifications from [38].
Minerals 13 01464 g001

3. Materials and Methods

This study is based on a complete dataset of cores, core plugs, thin sections, scanning electron microscopy (SEM), mercury injection capillary pressure (MICP), porosity–permeability, and petrophysical log data from the Sarvak Formation in three wells located in the Abadan Plain (Figure 1A). In total, 430 m of drilled cores, 1300 thin sections, 985 core plugs, SEM analysis of 65 samples, MICP results of 25 samples, porosity–permeability data of 950 samples, and full-set logs (including gamma-ray, neutron, density, resistivity, and water saturation) were available for this study. Total of 50 thin-section samples were blue-dyed for better recognition of pore types, and 1250 thin sections were stained with Alizarin Red-S for mineral differentiation. MICP data are used in conjunction with R35 values (i.e., the pore throat size at 35% mercury saturation) calculated from Winland’s equation to classify the various pore types in the Sarvak Fm. All core analyses (i.e., porosity–permeability and MICP) are implemented in the core analysis laboratory of National Iranian Oil Company (NIOC, Tehran, Iran). The SEM analyses were performed using the MIRA 3-XMU field emission scanning electron microscope at the Razi Metallurgical Research Center (RMRC), Tehran, Iran. Petrographic studies are performed by using the Leitz- ORTHOLUX II (Germany) polarizing microscope at the University of Tehran, Iran.
Facies nomenclature and classification was based on the Dunham [39] and Embry and Klovan [40]. Interpretation of depositional facies was based on the standard facies models presented by Flügel [41]. The pore-type classification was based on the schemes of Choquette and Pray [42], along with genetic pore classification of Ahr [43]. Two methods are used to define the reservoir zones:
(1)
The Winland plot and calculated R35 values (Equation (1));
The empirical relationship between the radius of pore throat with porosity and permeability is revealed by this method [44]:
Log(R35) = 0.732 + 0.588 Log(K) − 0.864 Log(ϕ)
where the R35 is pore-radius corresponds to a level of 35% mercury saturation (μm), K is permeability (mD), and ϕ is porosity (%). Based on the calculated R35 values, reservoir-rock samples can be separated into five petrophysical categories [45]: mega-porous, R35 > 10 μm; macro-porous, 2.5 μm < R35 < 10 μm; mesoporous, 0.5 μm < R35 < 2.5 μm; micro-porous, 0.2 μm < R35 < 0.5 μm; nano-porous, R35 < 0.2 μm.
(2)
The stratigraphic modified Lorenz plot (SMLP)
The SML plot provides an optimum number of zones in a reservoir formation [44]. It creates a continuous stratigraphic of core porosity (Ø) and permeability (K) with unique K/Ø ratios, known as reservoir process speed (RPS). Reservoir storage capacity (Øh) and flow capacity (Kh) are calculated using the following Equations (2) and (3) [46,47,48]:
Khcum = K1(h1 − h0)/Khtotal + K2 (h2 − h1)/Khtotal + …. +Kn (hn − hn−1)/Khtotal
Øhcum = Ø1(h1 − h0)/Øhtotal2(h2 − h1)/Øhtotal +… +Øn (hn − hn−1)/Øhtotal
where Ø is porosity, K is permeability (mD), and h is thickness (m) of sample interval.
On the SMLP, the slope of each segment reflects the reservoir’s flow characteristics. Segments with steeper slopes indicate higher reservoir quality and storage capacity, while gentle slopes or horizontal segments represent zones of lower quality or barrier zones [46,49].

4. Results

4.1. Sedimentology

Petrographic facies analyses led to the recognition of eight microfacies types within the Sarvak Formation, labeled as SMF1 to SMF8. A summary of the facies characteristics of this formation is presented in Table 1. Representative photomicrographs of these facies are depicted in Figure 2.
Detailed facies description and interpretation were not the aims of this study. By analyzing the sample’s textures and sedimentary structures as well as fossil content and utilizing standard facies models, it can be inferred that they were deposited in a spectrum of depositional settings, ranging from shallow to deep settings of a ramp-like carbonate platform model.
The inner ramp setting includes mud-dominated lagoonal facies (SMF8), rudist patch reefs (SMF7), and shoal facies (SMF4 to 6). Middle ramp facies include wackestones to packstones containing echinoderms and a mixture of benthic and planktic fauna (SMF2 and 3). The outer ramp setting is represented by mud-dominated facies containing planktic foraminifera and clacispheres (SMF1) (Table 1 and Figure 2).
Diagenetic processes of the Sarvak Formation include micritization, isopachous cementation, recrystallization, dissolution, calcite (equant, drusy, bladed, and blocky) cementation, brecciation, silicification, pressure dissolution (stylolites and solution seams), dolomitization, pyritization, and fracturing (Figure 3). The paragenesis of these features in petrographic studies indicates a complex diagenesis history for this formation in marine, meteoric, and shallow-to-deep burial realms. Meteoric diagenesis was the main phase of diagenesis that altered the Sarvak Formation carbonates through intensive dissolution (karstification), cementation, brecciation, and development of paleosols (Figure 3).
Cenomanian–Turonian strata of the Sarvak Formation comprise two third-order depositional sequences coded as SV_Cen (Cenomanian sequence) and SV_Tur (Turonian sequence) (Figure 4 and Figure 5).
Both sequences are bounded by two regional disconformable surfaces at the Cenomanian–Turonian boundary (CT-ES) and middle Turonian (mT-ES). Middle and outer ramp facies formed the transgressive systems tracts (TST), and inner ramp facies shaped the regressive systems tracts (RST) of these sequences. The RSTs are extensively affected by meteoric diagenetic processes.

4.2. Petrographic Pore Types

According to Choquette and Pray [42], various pore types are recorded in the Sarvak Formation, including the primary and secondary pores. These pores are evident at both macroscopic (core samples) and microscopic (thin sections) scales.

4.2.1. Primary Pore Types

This group includes interparticle, intra-skeletal, and growth-framework pores (Figure 6). Interparticle pores are predominantly observed between the allochems (skeletal and non-skeletal) in grain-supported facies with a packstone to grainstone texture, which was deposited in high-energy shoal settings (i.e., SMF4, 5, and 6; Table 1). Intra-skeletal or intra-particle and growth-framework pores are commonly recorded within the unfilled chambers of rudists, corals, and algae in reef-talus facies (i.e., SMF7; Table 1).

4.2.2. Secondary Pore Types

Secondary pore types encompass vuggy, moldic, intercrystalline, and fracture pores (Figure 6). Vuggy pores are commonly found in dissolved shoal and reef-talus facies (Figure 5). The moldic pores are observed in grain-dominated facies, especially in rudist facies, where only the molds of dissolved rudist fragments remain. Both vuggy and moldic pores were formed as a result of intense meteoric dissolution in rudist-dominated facies below the paleoexposure surfaces (i.e., CT–ES and mT–ES in Figure 5).
Intercrystalline pores between the dolomite crystals are sporadically observed, primarily within the lower parts of the Sarvak Formation (Figure 6). This occurs in mud-dominated facies (mudstone and wackestone) influenced by stylolite-related (burial) dolomitization. Fractures are frequently recorded across various parts of the Sarvak Formation, with a higher prevalence in the upper parts, particularly below the disconformities, where karstification has occurred.
The frequency of various pore types in the Sarvak Formation is measured based on the microscopic image analysis of this formation in the studied field. Results are presented as a frequency diagram of pore types in Figure 6. According to this plot, primary (depositional) pores form 44% of the total pore volume of the formation in the Abadan Plain. A majority (56%) of pore types in this formation belong to the secondary (diagenetic) pores, such as the vuggy, moldic, intercrystalline, and fractures (Figure 7).
Among the primary pores, interparticle pore types are predominant, with a frequency of 24%. They are common pore types within the grain-supported facies. On the other hand, vuggy pores are the predominant secondary pore type of the Sarvak Formation, with a frequency of 29% (Figure 7). They are predominantly recorded from the meteorically dissolved, rudist-dominated facies.

4.3. Scanning Electron Microscopy (SEM)

The average diameter size of 10 µm is considered as the pore size threshold separating the macro- and micropores [50,51]. These micropores, as classified by Choquette and Pray [42], encompass primary and secondary pore types.
Scanning electron microscopy (SEM) images can be utilized for the characterization of pore networks on a microscopic scale. The term ‘micropores’ refers to pores that are only discernible in SEM images and are not visible even at the highest magnifications in thin-section microscopic scale.

4.3.1. Primary Micropores

Primary micropores comprise interparticle pores (between micrite particles) and intra-skeletal pores within the chambers of foraminifers and in the central parts of clacispheres (Figure 8). Various micrite textures can be observed in SEM images from different facies of the Sarvak Formation. Common micrite textural classes include rounded, sub-rounded, angular, semi-compact, and compact textures. Distinct pore spaces are evident between micrite particles in each of these textures. Notably, significant values of intra-particle or intra-skeletal micropores can be observed in the mud-dominated, open-marine facies of this formation, including the outer ramp and middle ramp facies (i.e., SMF1, 2, and 3; Table 1).

4.3.2. Secondary Micropores

Secondary micropores include intercrystalline, fracture, dissolution vugs, and moldic pores. Dissolution of micrite particles at the microscopic scale by meteoric or burial fluids leads to the formation of vugs that may be touching or separated, as well as dissolution molds within the Sarvak Formation (Figure 8). These pores are frequently recorded in mud-dominated facies. Pore spaces between dolomites and crystals of calcite cement are distinguishable in SEM images and categorized as intercrystalline pores (Figure 8).

4.4. Pore Size Classes

Porosity–permeability data of the Sarvak Formation are plotted on Winland’s standard diagram, and seven pore types, named pore-size classes (PSC), are differentiated according to the iso-pore-throat lines and calculated R35 values (Figure 9). Summarized characteristics of pore-size classes are presented in Table 2.
According to this table, PSCs 1 and 2 encompass open marine, mud-dominated facies (SMFs 1 to 3) in which micropores are dominant pore types. They are marked with a wide range of porosity (<2% to >28%) and low permeability (<1 mD) values. Fracturing enhanced the permeability of these samples to some extent, especially in PSC-2.
Pore-size classes 3 and 4 include mud- to grain-supported facies of shoal (SMFs 4 to 6) and reef-talus (SMF-7) settings in which interparticle and intraparticle pores are predominant pore types. Consequently, they show higher permeability values in comparison to PSCs 1 and 2.
Pore-size classes 5 to 7 correspond to intensively dissolved lagoonal (SMF-8) and reef-talus facies (SMF-7), in which vuggy, moldic, and fracture pores are the dominant pore types. The highest values of porosity (up to 32%) and permeability (up to 321 mD) are measured from these PSCs.

4.5. Mercury Injection Capillary Pressure (MICP)

Results of mercury injection capillary pressure (MICP) tests of the Sarvak Formation are plotted on Hg saturation vs. pressure and pore-radius vs. Hg saturation cross plots in Figure 10. As shown, most of the tested samples were selected from the high-quality reservoir intervals of the formation, and consequently, units of poor reservoir properties were not sampled for MICP analysis. Therefore, it was not possible in this study to perform a comprehensive pore-facies analysis according to these biased data. However, all tested samples can be categorized into three classes (Figure 11):
Class-A are samples of moderate reservoir quality that encompass recrystallized and dolomitized mud-dominated facies of the Sarvak Formation in which porosity ranges from 5% to 15%, and permeability varies between 0.1 mD to >50 mD. MICP curves of these samples shifted towards the right in the Hg saturation (fraction) versus pressure (psi) cross plot (Figure 11A).
Class-B are samples of high reservoir quality that include grain-dominated facies of middle ramp and shoal settings in which interparticle pores are the major pore type. High porosity (10% to 25%) and permeability (1 mD to >100 mD) values are measured from these samples. MICP curves of this class shifted toward the left in the Hg saturation (fraction) versus pressure (psi) cross plot (Figure 11B).
Class-C are samples of excellent reservoir quality, including the intensively dissolved reef-talus and shoal facies in which vuggy and moldic pores are the dominant pore type. The highest values of porosity (20% to 32%) and permeability (10 mD to >300 mD) and perpendicular MICP curves indicate excellent reservoir quality (Figure 11C).

4.6. Reservoir Zonation

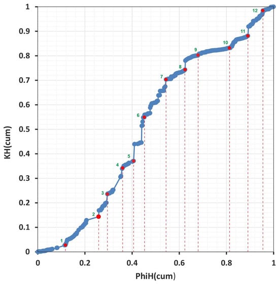
A stratigraphic modified Lorenz plot (SMLP) is generated for the Sarvak Formation using the cumulative flow capacity (Khcum) and cumulative storage capacity (Øhcum) (Figure 12). Distinct segments of the graph are differentiated based on the major inflection points, which correspond to different flow units. As a result, 13 reservoir and non-reservoir (i.e., barrier and baffle) zones are identified in the studied well (Figure 12). Using this plot, the studied interval can be categorized into four types of zones (Figure 13):
  • Reservoir zones, which are characterized by high flow and storage capacities (zones 4, 6, 7, and 8; Figure 13);
  • Barrier zones, which encompass zones with very low storage and flow capacities (zones 1, 3, 5, 9, and 13; Figure 13);
  • Speed zones, which are exemplified by zone 12 and exhibit a higher percentage of flow capacity relative to storage capacity (Figure 13);
  • Baffle zones, represented by zones 2 and 10, which induce turbulence in fluid movement and possess significantly greater storage capacity compared to flow capacity (Figure 13).
Each identified zone possesses a distinct pore-type system, thereby displaying specific flow behaviors [3]. Depending on the available data and the study’s scale, it becomes possible to determine the type, size, and distribution of pore types, along with their corresponding pore throat diameters. Summarized statistical parameters and the sedimentological and reservoir characteristics of the Lorenz zones are presented in Table 3.

5. Discussion

5.1. Pore Type’s Paragenesis

In this study, pore types of the Sarvak Formation are investigated in various scales. Accordingly, both primary and secondary pores are defined with strong effects on the petrophysical properties (i.e., porosity and permeability) of rocks. Understanding the relative time of occurrence and subsequent evolution of the pore network is essential for characterizing the final reservoir quality of studied sequences. Therefore, in this section, the paragenetic sequence of the Sarvak Formation is discussed with a special emphasis on its pore types and their evolutionary path, starting from deposition and passing through marine, meteoric, and shallow-to-deep burial environments (Figure 14).
-
Depositional pore-types
The primary (depositional) pore types, including interparticle (intergranular), intra-particle, and growth framework pores, form a major part of the pore spaces in the Sarvak Formation. The frequency analysis of pore types (Figure 6) showed that they form 44% of the total pore volume of the reservoir. Interparticle pores are the main primary pore types, which are usually recorded within the grain-supported facies of shoal and talus settings, which commonly correspond to the RSTs of depositional sequences.
The deposition of carbonate particles under the high-energy condition of these settings has resulted in texturally mature sediments with high levels of grain sorting, roundness, the scarcity of micrite, and, consequently, high volumes of primary pore spaces between the particles [52]. The lack of pore-occluding cements, such as drusy, blocky, and equant calcite, along with minor effects of compaction, have resulted in the preservation of pore spaces between the allochems and provide some high-quality (reservoir) units in the Sarvak Formation (e.g., zones 4, 6, 7, and 8 in Figure 15). Such facies are represented by Class-B of MICP curves and pore-size classes 3 and 4 of Winland’s method.
Intra-particle and growth-framework pores are the second most important depositional pore types, which formed a total of 20% of pores in the Sarvak Formation. They are distinguished from coral-, algal-, and rudist-bearing facies (SMF7) in which intra-skeletal pore spaces are preserved. Such pore types are dominantly recorded from reservoir units of the Sarvak Formation (e.g., zones 4 and 6 in Figure 15). They are represented by Class-C of MICP curves and pore-size classes 3 and 4 of Winland’s method.
Rudist–algal–coral facies are frequent facies types in the Upper Cretaceous carbonates of the Tethyan realm, including the Zagros Basin [53,54]. They form some important hydrocarbon reservoirs in the Middle East, and most of them are concentrated within the Sarvak Formation and its stratigraphic counterparts (e.g., Mishrif Formation) [55]. A major portion of the pore network in these facies includes primary (intra-skeletal and growth-framework) pores within the chambers of the mentioned skeletal grains.
-
Diagenetic pore-types
Secondary or diagenetic pore types, including the moldic, vuggy, intercrystalline, and fracture pores, form the major portion of pore volume (56%) in the Sarvak Formation. Dissolution molds and vugs form 41% of the total pores within this reservoir (Figure 6). They are limited to the dissolved lagoonal (SMF8), reef-talus (SMF7), and shoal facies (SMFs 4 to 6) that are stratigraphically located below the paleoexposure surfaces (sequence boundaries) at the Cenomanian–Turonian boundary (CT-ES) and middle Turonian (mT-ES) (Figure 15).
The best productive zones of the Sarvak Formation were formed within these dissolved units with high amounts (15% to 32%) of porosity, which substantially includes vuggy and moldic pore types (e.g., zones 4, 6, 7, and 8 in Figure 15). Such pore facies are represented by Class-C of the MICP curves and pore-size classes 5 to 7 of Winland’s method. From a sequence stratigraphic point of view, these pore types are concentrated within the late RSTs of depositional sequences.
Subaerial exposure of carbonate platforms during the relative sea-level falls, under the warm and humid (tropical) climatic condition governing the Zagros Basin during the Late Cretaceous, has resulted in the development of extensively dissolved (namely karstified) carbonate successions with a great potential for hydrocarbon accumulation [14]. Meteoric dissolution (karstification) was the most important diagenetic process in the Sarvak Formation that provided vuggy and moldic pores, especially below the paleoexposure surfaces [5,19,21,23,24,33]. In some cases, long-term exposures have resulted in the development of over-matured (brecciated) karstified intervals with poor reservoir properties (barrier zone). This happens at the topmost parts of the Cenomanian and Turonian sequences (see photos C and D in Figure 15).
Intercrystalline pores form 10% of the total pore spaces of the Sarvak Formation in the studied field. They are dominant pore types in the dolomitized intervals, especially in the lower half part of the formation (e.g., zone 7 in Figure 15). As mentioned in many previous studies, dolomitization routinely improves the permeability of carbonate rocks by providing an interconnected network of intercrystalline pores [56,57,58]. Dolomites of the Sarvak Formation were mainly formed in the deep burial realm, along with the chemical compaction features, including the solution seams and stylolites [34].
Fractures are important features in the Sarvak Formation. They are recorded on the core samples and in thin sections with variable lengths, widths, and filling percentages. Most of the fractures are open, and some of them are filled, partially to completely, by calcite cements. It seems that most of the fractures within the karstified units of the Sarvak Formation were diagenetic in origin. Far from the karstified intervals, tectonically induced fractures are recorded in this formation. A detailed fracture analysis of this formation in the Abadan Plain was previously presented by Ezati et al. [59].

5.2. Micropores

Microporous mud-dominated carbonate sequences, known as tight carbonates, are among the important unconventional reservoirs in the Middle East [60]. In Iran, they are commonly concentrated within the Cretaceous rock record in the Zagros Basin [61]. Microporous intervals in the lower half parts of the Sarvak and Ilam formations have been previously reported from the Abadan Plain [11].
In this study, various types of micropores were detected from middle to outer ramp facies (SMFs 1 to 3) and lagoonal facies (SMF8) in the Sarvak Formation. Stratigraphically, microporous open marine facies are located in the lower parts of the formation, in the TST of the Cenomanian sequence (zone 9 in Figure 15). As shown, this zone is detected as a baffle zone with high storage capacity and low flow capacity, which is an expected trend in microporous reservoirs (Figure 15, zone 9).
A major part of micro-pore types in mud-dominated facies includes interparticle pores between the micrite particles, which are well-documented by SEM image analysis (Figure 7). In open marine facies, intra-skeletal pores are recognizable within the unfilled chambers of planktic foraminifera and in the central parts of clacispheres. Moreover, microscopic dissolution provided some micro-vug and micro-mold pore types within the mud-dominated facies (lower parts of zone 10 in Figure 15). Microscopic dissolution of micrite was the subject of some previous studies in the Zagros Basin [11] and other places in the world [62].

6. Conclusions

The Pore network of the Sarvak Formation, the second important oil reservoir of Iran, is investigated using the petrographic and petrophysical data in the Abadan Plain. Petrographic studies of whole cores, core plugs, thin sections, and scanning electron microscopy (SEM) images resulted in the recognition of primary (depositional), secondary (diagenetic), and fracture pores in macroscopic, mesoscopic, and microscopic scales.
Porosity–permeability and mercury injection capillary pressure (MICP) data are used to discriminate the pore-size classes of the Sarvak Formation. MICP curves showed three distinct classes of excellent-to-moderate reservoir quality. Micropore types of the formation are differentiated using the SEM image analysis. The Sarvak Formation is subdivided into 13 reservoir, speed, barrier, and baffle zones according to the stratigraphic modified Lorenz plot (SMLP). The sedimentological and petrophysical properties and dominant pore types of these zones were discussed.
The frequency analysis of the pores indicated that the majority of pore types in the Sarvak Formation are diagenetic in origin. Vuggy, moldic, intercrystalline, and fracture pores formed 56% of the total pore spaces in this formation. Among these, vuggy and moldic pores are predominant pore types within the meteorically dissolved intervals located below the paleoexposure surfaces at the upper half part of the Sarvak Formation.
Away from the paleoexposure surfaces, in the lower half part of the formation, depositional pores become predominant. They form 44% of the total pore spaces of the Sarvak Formation in forms of interparticle, intra-particle (intra-skeletal), and growth-framework pore types within the grain-supported facies of shoal complexes and reefal facies.
Microporous mud-dominated facies provide some baffle zones in the lowermost parts of the Sarvak Formation. In these units, both depositional and diagenetic pore types are frequently recognizable in the SEM images. Interparticle pores between the micrite particles, intra-skeletal pores within the chambers of foraminifera and in the central parts of clacispheres, intercrystalline pores in the dolomitized intervals, and fractures are predominant pore types within these microporous units. They are majorly formed within the open marine (middle to outer ramp) facies and, with lesser importance, in lagoonal facies with mudstone-to-wackestone textures.

Author Contributions

Conceptualization, H.M., F.K., N.F.-S. and J.H.; methodology, H.M., F.K. and N.F.-S.; software, H.M., F.K. and N.F.-S.; validation, H.M.; formal analysis, H.M., F.K., N.F.-S. and J.H.; investigation, F.K. and N.F.-S.; resources, H.M., F.K., N.F.-S. and J.H.; data curation, F.K. and N.F.-S.; writing—original draft preparation, F.K. and N.F.-S.; writing—review and editing, H.M.; visualization, H.M., F.K., N.F.-S. and J.H.; supervision, H.M.; project administration, H.M. All authors have read and agreed to the published version of the manuscript.

Funding

This research received no external funding.

Data Availability Statement

The data presented in this study are available upon request from the corresponding author.

Acknowledgments

The University of Tehran and the Research Institute of Petroleum Industry (RIPI) are acknowledged for their data and research facility support.

Conflicts of Interest

The authors declare no conflict of interest. We confirm that the manuscript has been read and approved by all named authors and that there are no other persons who satisfied the criteria for authorship but are not listed. We further confirm that the order of authors listed in the manuscript has been approved by all of us. Finally, we confirm this manuscript is not being submitted to any journal.

References

  1. Lucia, F.J. Carbonate Reservoir Characterization: An Integrated Approach; Springer: Berlin/Heidelberg, Germany, 2007; ISBN 978-3-540-72742-2. [Google Scholar]
  2. Moore, C.H.; Wade, W.J. Carbonate Reservoirs. In Porosity and Diagenesis in a Sequence Stratigraphic Framework, 2nd ed.; Elsevier: Amsterdam, The Netherlands, 2013. [Google Scholar]
  3. Mehrabi, H.; Bagherpour, B. Scale, origin, and predictability of reservoir heterogeneities in shallow-marine carbonate sequences: A case from Cretaceous of Zagros, Iran. J. Pet. Sci. Eng. 2022, 214, 110571. [Google Scholar] [CrossRef]
  4. Tavoosi Iraj, P.; Mehrabi, H.; Rahimpour-Bonab, H.; Ranjbar-Karami, R. Quantitative analysis of geological attributes for reservoir heterogeneity assessment in carbonate sequences; A case from Permian–Triassic reservoirs of the Persian Gulf. J. Pet. Sci. Eng. 2021, 200, 108356. [Google Scholar] [CrossRef]
  5. Foroshani, J.S.; Mehrabi, H.; Rahimpour-Bonab, H. Reservoir heterogeneity of Upper Cretaceous Sarvak Formation in the Dezful Embayment, SW Iran: Implications of flow unit distribution, electrofacies analysis and geological-based reservoir zonation. J. Afr. Earth Sci. 2023, 200, 104882. [Google Scholar] [CrossRef]
  6. Chehrazi, A.; Rezaee, R.; Rahimpour, H. Pore-facies as a tool for incorporation of small-scale dynamic information in integrated reservoir studies. J. Geophys. Eng. 2011, 8, 202–224. [Google Scholar] [CrossRef]
  7. Hollis, C.; Lawrence, D.A.; Deville de Perière, M.; Al Darmaki, F. Controls on porosity preservation within a Jurassic oolitic reservoir complex, UAE. Mar. Pet. Geol. 2017, 88, 888–906. [Google Scholar] [CrossRef]
  8. Assadi, A.; Honarmand, J.; Moallemi, S.A.; Abdollahie-Fard, I. An integrated approach for identification and characterization of Palaeo-exposure surfaces in the Upper Sarvak Formation of Abadan Plain, SW Iran. J. Afr. Earth Sci. 2018, 94, 1432–1450. [Google Scholar] [CrossRef]
  9. Mahaman Salifou, I.A.; Zhang, H.; Boukari, I.O.; Harouna, M.; Cai, Z. New vuggy porosity models-based interpretation methodology for reliable pore system characterization, Ordovician carbonate reservoirs in Tahe oilfield, North Tarim Basin. J. Pet. Sci. Eng. 2021, 196, 1077–1100. [Google Scholar] [CrossRef]
  10. Tavakoli, V. Microscopic heterogeneity. In Carbonate Reservoir Heterogeneity; Springer: Berlin/Heidelberg, Germany, 2020; pp. 17–51. [Google Scholar]
  11. Mehrabi, H.; Bagherpour, B.; Honarmand, J. Reservoir quality and micrite textures of microporous intervals in the Upper Cretaceous successions in the Zagros area, SW Iran. J. Pet. Sci. Eng. 2020, 192, 107292. [Google Scholar] [CrossRef]
  12. Mehrabi, H.; Bahrehvar, M.; Rahimpour-Bonab, H. Porosity evolution in sequence stratigraphic framework: A case from cretaceous carbonate reservoir in the Persian Gulf, southern Iran. J. Pet. Sci. Eng. 2021, 196, 107699. [Google Scholar] [CrossRef]
  13. Ranjbar-Karami, R.; Tavoosi Iraj, P.; Mehrabi, H. Integrated rock typing and pore facies analyses in a heterogeneous carbonate for saturation height modelling, A case study from Fahliyan Formation, the Persian Gulf. J. Pet. Explor. Prod. 2021, 11, 1577–1595. [Google Scholar] [CrossRef]
  14. Mehrabi, H. Deposition, diagenesis, and geochemistry of Upper Cretaceous carbonates (Sarvak Formation) in the Zagros Basin and the Persian Gulf, Iran. Minerals 2023, 13, 1078. [Google Scholar] [CrossRef]
  15. Abdollahie-Fard, I.; Braathen, A.; Mokhtari, M.; Alavi, S.A. Interaction of the Zagros Fold-Thrust Belt and the Arabian-Type, Deep-Seated Folds in the Abadan Plain and the Dezful Embayment, SW Iran. Pet. Geosci. 2006, 12, 347–362. [Google Scholar] [CrossRef]
  16. Abdollahie-Fard, I.; Sherkati, S.; McClay, K.; Haq, B.U. Tectono-sedimentary evolution of the Iranian Zagros in a global context and its impact on petroleum habitats. In Developments in Structural Geology and Tectonics; Elsevier: Amsterdam, The Netherlands, 2019; Volume 3, pp. 17–28. [Google Scholar]
  17. Assadi, A.; Honarmand, J.; Moallemi, S.A.; Abdollahie-Fard, I. Depositional environments and sequence stratigraphy of the Sarvak Formation in an oil field in the Abadan Plain, SW Iran. Facies 2016, 62, 1–22. [Google Scholar] [CrossRef]
  18. Razin, P.; Taati, F.; van Buchem, F.S.P. Sequence stratigraphy of Cenomanian-Turonian carbonate platform margins (Sarvak Formation) in the High Zagros, SW Iran: An outcrop reference model for the Arabian Plate. Geol. Soc. Spec. Publ. 2010, 329, 187–218. [Google Scholar] [CrossRef]
  19. Hajikazemi, E.; Al-Aasm, I.S.; Coniglio, M. Subaerial exposure and meteoric diagenesis of the Cenomanian-Turonian Upper Sarvak Formation, southwestern Iran. Geol. Soc. Spec. Publ. 2010, 330, 253–272. [Google Scholar] [CrossRef]
  20. Hajikazemi, E.; Al-Aasm, I.S.; Coniglio, M. Chemostratigraphy of Cenomanian-Turonian Carbonates of the Sarvak Formation, Southern Iran. J. Pet. Geol. 2012, 35, 187–205. [Google Scholar] [CrossRef]
  21. Navidtalab, A.; Rahimpour-Bonab, H.; Huck, S.; Heimhofer, U. Elemental geochemistry and strontium-isotope stratigraphy of Cenomanian to Santonian neritic carbonates in the Zagros Basin, Iran. Sediment. Geol. 2016, 346, 35–48. [Google Scholar] [CrossRef]
  22. Navidtalab, A.; Heimhofer, U.; Huck, S.; Omidvar, M.; Rahimpour-Bonab, H.; Aharipour, R.; Shakeri, A. Biochemostratigraphy of an Upper Albian–Turonian Succession from the Southeastern Neo-Tethys Margin, SW Iran. Palaeogeogr. Palaeoclimatol. Palaeoecol. 2019, 533, 109255. [Google Scholar] [CrossRef]
  23. Mehrabi, H.; Navidtalab, A.; Enayati, A.; Bagherpour, B. Age, duration, and geochemical signatures of paleo-exposure events in Cenomanian–Santonian Sequences (Sarvak and Ilam Formations) in SW Iran: Insights from carbon and strontium isotopes chemostratigraphy. Sediment. Geol. 2022, 434, 106136. [Google Scholar] [CrossRef]
  24. Mehrabi, H.; Navidtalab, A.; Rahimpour-Bonab, H.; Heimhofer, U. Geochemical expression of sequence stratigraphic surfaces: A case from Upper Cretaceous shallow-water carbonates of southeastern Neo-Tethys Margin, SW Iran. Cretac. Res. 2022, 140, 105329. [Google Scholar] [CrossRef]
  25. Alsharhan, A.S. Petroleum systems in the Middle East. In Tectonic Evolution of the Oman Mountains; Rollinson, H.R., Searle, M.P., Abbasi, A.I., Al-Lazki, A.I., Al Kindi, M.H., Eds.; Geological Society, London, Special Publications: London, UK, 2014; Volume 392, pp. 361–408. [Google Scholar]
  26. Hollis, C. Diagenetic controls on reservoir properties of carbonate successions within the Albian-Turonian of the Arabian Plate. Pet. Geosci. 2011, 17, 223–241. [Google Scholar] [CrossRef]
  27. Huber, B.T.; Norris, R.D.; MacLeod, K.G. Deep-sea paleotemperature record of extreme warmth during the Cretaceous. Geology 2002, 30, 123–126. [Google Scholar] [CrossRef]
  28. Sharland, P.R.; Archer, D.M.; Casey, R.B.; Davies, S.H.; Hall, A.P.; Heward, A.D.; Horbury, A.D.; Simmons, M.D. Arabian Plate Sequence Stratigraphy; GeoArabia Special Publication 2; Gulf Petrolink: Manama, Bahrain, 2001; Volume 2, p. 371. [Google Scholar]
  29. Scotese, C.R. An atlas of phanerozoic paleogeographic maps: The seas come in and the seas go out. Annu. Rev. Earth Planet. Sci. 2021, 49, 679–728. [Google Scholar] [CrossRef]
  30. Keller, G.; Adatte, T.; Berner, Z.; Chellai, E.H.; Stueben, D. Oceanic events and biotic effects of the Cenomanian-Turonian anoxic event, Tarfaya Basin, Morocco. Cretac. Res. 2008, 29, 976–994. [Google Scholar] [CrossRef]
  31. Immenhauser, A.; Creusen, A.; Esteban, M.; Vonhof, H.B. Recognition and interpretation of polygenic discontinuity surfaces in the middle Cretaceous Shu’aiba, Nahr Umr, and Natih Formations of Northern Oman. GeoArabia 2000, 5, 299–322. [Google Scholar] [CrossRef]
  32. Mehrabi, H.; Yahyaei, E.; Navidtalab, A.; Rahimpour-Bonab, H.; Abbasi, R.; Omidvar, M.; Assadi, A.; Honarmand, J. Depositional and diagenetic controls on reservoir properties along the shallow-marine carbonates of the Sarvak Formation, Zagros Basin: Petrographic, petrophysical, and geochemical evidence. Sediment. Geol. 2023, 454, 106457. [Google Scholar] [CrossRef]
  33. Mohseni, H.; Zeybaram Javanmard, R. New data on sequence stratigraphy of the Sarvak Formation in Malekshahi city, (Ilam province) Zagros basin, Iran. Mar. Pet. Geol. 2020, 112, 104035. [Google Scholar] [CrossRef]
  34. Taghavi, A.A.; Mørk, A.; Emadi, M.A. Sequence stratigraphically controlled diagenesis governs reservoir quality in the carbonate Dehluran Field, southwest Iran. Pet. Geosci. 2006, 12, 115–126. [Google Scholar] [CrossRef]
  35. Hajikazemi, E.; Al-Aasm, I.S.; Coniglio, M. Diagenetic history and reservoir properties of the Cenomanian-Turonian carbonates in southwestern Iran and the Persian Gulf. Mar. Pet. Geol. 2017, 88, 845–857. [Google Scholar] [CrossRef]
  36. van Buchem, F.S.P.; Simmons, M.D.; Droste, H.J.; Davies, R.B. Late Aptian to Turonian stratigraphy of the eastern Arabian Plate—Depositional sequences and lithostratigraphic nomenclature. Pet. Geosci. 2011, 17, 211–222. [Google Scholar] [CrossRef]
  37. Motiei, H. Stratigraphy of Zagros; Geological Survey of Iran Publication: Tehran, Iran, 1993; p. 536. [Google Scholar]
  38. Kiani, A.; Saberi, M.H.; ZareNezhad, B.; Mehmandosti, E.A. Reservoir zonation in the framework of sequence stratigraphy: A case study from Sarvak Formation, Abadan Plain, SW Iran. J. Pet. Sci. Eng. 2022, 208, 109560. [Google Scholar] [CrossRef]
  39. Dunham, R.J. Classification of carbonate rocks according to depositional textures. In Classification of Carbonate Rocks; Ham, W.E., Ed.; AAPG: Tulsa, OK, USA, 1962; pp. 108–121. [Google Scholar]
  40. Embry, A.F.; Klovan, J.E. A Late Devonian Reef Tract on Northeastern Banks Island, NWT. Bull. Can. Pet. Geol. 1971, 19, 730–781. [Google Scholar]
  41. Flügel, E. Microfacies of Carbonate Rocks, Analysis, Interpretation and Application; Springer: Berlin/Heidelberg, Germany, 2010; 976p. [Google Scholar]
  42. Choquette, P.W.; Pray, L.C. Geologic nomenclature and classification of proposity in sedimentary carbonates. Am. Assoc. Pet. Geol. Bull. 1970, 54, 207–250. [Google Scholar]
  43. Ahr, W.M. Geology of Carbonate Reservoirs: The Identification, Description, and Characterization of Hydrocarbon Reservoirs in Carbonate Rocks; John Wiley & Sons: Hoboken, NJ, USA, 2008; ISBN 9780470164914. [Google Scholar]
  44. Kolodzie, S. Analysis of pore throat size and use of the waxman-smits equation to determine ooip in spindle field, colorado. In Proceedings of the SPE Annual Technical Conference and Exhibition, Dallas, TX, USA, 21 September 1980. [Google Scholar] [CrossRef]
  45. Porras, J.C.; Campos, O. Rock Typing: A Key Approach for Petrophysical Characterization and Definition of Flow Units, Santa Barbara Field, Eastern Venezuela Basin. In Proceedings of the SPE Latin American and Caribbean Petroleum Engineering Conference, Buenos Aires, Argentina, 25–28 March 2001; OnePetro: Richardson, TX, USA, 2001. [Google Scholar]
  46. Gunter, G.W.; Finneran, J.M.; Hartmann, D.J.; Miller, J.D. Early Determination of Reservoir Flow Units Using an Integrated Petrophysical Method. In Proceedings of the SPE Annual Technical Conference and Exhibition, San Antonio, TX, USA, 5–8 October 1997. [Google Scholar] [CrossRef]
  47. Skalinski, M.; Kenter, J.A.M. Carbonate petrophysical rock typing: Integrating geological attributes and petrophysical properties while linking with dynamic behaviour. Geol. Soc. Spec. Publ. 2015, 406, 229–259. [Google Scholar] [CrossRef]
  48. Mehrabi, H.; Ranjbar-Karami, R.; Roshani-Nejad, M. Reservoir rock typing and zonation in sequence stratigraphic framework of the Cretaceous Dariyan Formation, Persian Gulf. Carbonates Evaporites 2019, 34, 1833–1853. [Google Scholar] [CrossRef]
  49. Gomes, J.S.; Ribeiro, M.T.; Strohmenger, C.J.; Negahban, S.; Kalam, M.Z. Carbonate Reservoir Rock Typing—The Link between Geology and SCAL. Society of Petroleum Engineers 118284, manuscript. In Proceedings of the Abu Dhabi International Petroleum Exhibition and Conference, Abu Dhabi, United Arab Emirates, 3–6 November 2008. [Google Scholar]
  50. Coalson, E.B.; Hartmann, D.J. Rock Types, Pore Types, and Hydrocarbon Exploration: ABSTRACT. Am. Assoc. Pet. Geol. Bull. 1985, 69, 845. [Google Scholar] [CrossRef]
  51. Asquith, G.B. Microporosity in the O’Hara Oolite Zone of the Mississippian Ste. Genevieve Limestone, Hopkins County, Kentucky, and Its Implications for Formation Evaluation. Carbonates Evaporites 1986, 1, 7–12. [Google Scholar] [CrossRef]
  52. Tucker, M.E.; Wright, V.P.; Dickson, J.A.D. Carbonate Sedimentology; Blackwell Science Ltd.: Hoboken, NJ, USA, 2009; ISBN 9780632014729. [Google Scholar]
  53. Steuber, T.; Löser, H. Species richness and abundance patterns of Tethyan Cretaceous rudist bivalves (mollusca: Hippuritacea) in the central-eastern Mediterranean and Middle East, analysed from a palaeontological database. Palaeogeogr. Palaeoclimatol. Palaeoecol. 2000, 162, 75–104. [Google Scholar] [CrossRef]
  54. Esrafili-Dizaji, B.; Rahimpour-Bonab, H.; Mehrabi, H.; Afshin, S.; Kiani Harchegani, F.; Shahverdi, N. Characterization of rudist-dominated units as potential reservoirs in the Middle Cretaceous Sarvak Formation, SW Iran. Facies 2015, 61, 14. [Google Scholar] [CrossRef]
  55. Yu, Y.; Sun, L.; Song, X.; Guo, R.; Gao, X.; Lin, M.; Yi, L.; Han, H.; Li, F.; Liu, H. Sedimentary diagenesis of rudist shoal and its control on reservoirs: A case study of Cretaceous Mishrif Formation, H Oilfield, Iraq. Pet. Explor. Dev. 2018, 45, 1075–1087. [Google Scholar] [CrossRef]
  56. Tavakoli, V. Permeability’s response to dolomitization, clues from Permian–Triassic reservoirs of the central Persian Gulf. Mar. Pet. Geol. 2021, 123, 104723. [Google Scholar] [CrossRef]
  57. Omidpour, A.; Mahboubi, A.; Moussavi-Harami, R.; Rahimpour-Bonab, H. Effects of dolomitization on porosity—Permeability distribution in depositional sequences and its effects on reservoir quality, A case from Asmari Formation, SW Iran. J. Pet. Sci. Eng. 2022, 208, 109348. [Google Scholar] [CrossRef]
  58. Zhang, J.; Wang, J.; Zheng, B.; Sheng, Q.; Wei, H.; Shen, L.; Xiong, S.; Mansour, A. Age assignment of dolomite in palaeo-reservoirsof the Qiangtang Basin: New evidence from palaeontology and carbonate in situ U-Pb dating. Mar. Pet. Geol. 2023, 158, 106545. [Google Scholar] [CrossRef]
  59. Ezati, M.; Azizzadeh, M.; Riahi, M.A.; Fattahpour, V.; Honarmand, J. Characterization of micro-fractures in carbonate Sarvak reservoir, using petrophysical and geological data, SW Iran. J. Pet. Sci. Eng. 2018, 170, 675–695. [Google Scholar] [CrossRef]
  60. Volery, C.; Davaud, E.; Foubert, A.; Caline, B. Shallow-marine microporous carbonate reservoir rocks in the Middle East: Relationship with seawater Mg/Ca ratio and eustatic sea level. J. Pet. Geol. 2009, 32, 313–326. [Google Scholar] [CrossRef]
  61. Tavakoli, V.; Jamalian, A. Microporosity evolution in Iranian reservoirs, Dalan and Dariyan Formations, the central Persian Gulf. J. Nat. Gas Sci. Eng. 2018, 52, 155–165. [Google Scholar] [CrossRef]
  62. Lambert, L.; Durlet, C.; Loreau, J.P.; Marnier, G. Burial dissolution of micrite in Middle East carbonate reservoirs (Jurassic-Cretaceous): Keys for recognition and timing. Mar. Pet. Geol. 2006, 23, 79–92. [Google Scholar] [CrossRef]
Figure 2. Photomicrographs of depositional facies of the Sarvak Formation. SMF-1: Planktonic Foraminifera microbioclast Wackestone, SMF-2: Foraminifera (B&P) bioclast Wackestone to Packstone, SMF-3: Benthic foraminifera bioclast (echinoids) Wackestone, SMF-4: Bioclastic Grainstone, SMF-5: Bioclast benthic foraminifera Packstone to Grainstone, SMF-6: Benthic foraminifera peloidal Packstone, SMF-7: Bioclast (rudist and coral) Rudstone/Floatstone, SMF-8: Bioturbated benthic foraminifera peloidal Mudstone to Wackestone. All photos are in PPL. Abbreviations: pf: planktic foraminifera, ech: echinoids, bv: bivalve, rd: rudist, bf: benthic foraminifera, pl: peloid, gs: gastropod.
Figure 2. Photomicrographs of depositional facies of the Sarvak Formation. SMF-1: Planktonic Foraminifera microbioclast Wackestone, SMF-2: Foraminifera (B&P) bioclast Wackestone to Packstone, SMF-3: Benthic foraminifera bioclast (echinoids) Wackestone, SMF-4: Bioclastic Grainstone, SMF-5: Bioclast benthic foraminifera Packstone to Grainstone, SMF-6: Benthic foraminifera peloidal Packstone, SMF-7: Bioclast (rudist and coral) Rudstone/Floatstone, SMF-8: Bioturbated benthic foraminifera peloidal Mudstone to Wackestone. All photos are in PPL. Abbreviations: pf: planktic foraminifera, ech: echinoids, bv: bivalve, rd: rudist, bf: benthic foraminifera, pl: peloid, gs: gastropod.
Minerals 13 01464 g002
Figure 3. Some of the important diagenetic alterations of the Sarvak Formation in the Abadan Plain. They include brecciation (A,B); development of paleosol (C); meteoric dissolution (D,H); chemical compaction (E); fracturing (F); dolomitization (G); cementation (I,J). Abbreviations—cm: cementation, st: stylolite, vg: vug, fr: fracture, ss: solution seam, Ic: iron-rich concretion.
Figure 3. Some of the important diagenetic alterations of the Sarvak Formation in the Abadan Plain. They include brecciation (A,B); development of paleosol (C); meteoric dissolution (D,H); chemical compaction (E); fracturing (F); dolomitization (G); cementation (I,J). Abbreviations—cm: cementation, st: stylolite, vg: vug, fr: fracture, ss: solution seam, Ic: iron-rich concretion.
Minerals 13 01464 g003
Figure 4. Legend for Figures 5, 13, and 15.
Figure 4. Legend for Figures 5, 13, and 15.
Minerals 13 01464 g004
Figure 5. Sedimentological log of the Sarvak Formation in the Abadan Plain. See Figure 4 for legend.
Figure 5. Sedimentological log of the Sarvak Formation in the Abadan Plain. See Figure 4 for legend.
Minerals 13 01464 g005
Figure 6. Core photos and photomicrographs of dominant pore types of the Sarvak Formation in the Abadan Plain. They include vuggy (D,I); moldic (B,H,I); interparticle (B,C,E); intra-skeletal (F); intercrystalline (G,J); and fracture (A,J). Abbreviations—IP: interparticle, IS: intraskeletal, MO: moldic, VG: vuggy, FR: fracture. Primary pores are marked by yellow arrows, and secondary pores are marked by red arrows.
Figure 6. Core photos and photomicrographs of dominant pore types of the Sarvak Formation in the Abadan Plain. They include vuggy (D,I); moldic (B,H,I); interparticle (B,C,E); intra-skeletal (F); intercrystalline (G,J); and fracture (A,J). Abbreviations—IP: interparticle, IS: intraskeletal, MO: moldic, VG: vuggy, FR: fracture. Primary pores are marked by yellow arrows, and secondary pores are marked by red arrows.
Minerals 13 01464 g006
Figure 7. Frequency diagram of various pore types of the Sarvak Formation in the Abadan Plain.
Figure 7. Frequency diagram of various pore types of the Sarvak Formation in the Abadan Plain.
Minerals 13 01464 g007
Figure 8. Scanning electron microscopy (SEM) images of dominant micropore types of the Sarvak Formation in the Abadan Plain. They include interparticle (A); intraparticle (B); intercrystalline (C); micro-moldic (D); micro-vuggy (E); and fracture (F). Arrows showing the mentioned pore types.
Figure 8. Scanning electron microscopy (SEM) images of dominant micropore types of the Sarvak Formation in the Abadan Plain. They include interparticle (A); intraparticle (B); intercrystalline (C); micro-moldic (D); micro-vuggy (E); and fracture (F). Arrows showing the mentioned pore types.
Minerals 13 01464 g008
Figure 9. Porosity–permeability cross plot showing seven pore size classes (PSCs) identified in the Sarvak Formation, Abadan Plain.
Figure 9. Porosity–permeability cross plot showing seven pore size classes (PSCs) identified in the Sarvak Formation, Abadan Plain.
Minerals 13 01464 g009
Figure 10. Cross plots of Hg saturation vs. pressure (A) and pore radius vs. Hg saturation (B) for analyzed samples in the Sarvak Formation, Abadan Plain. Lines with different colors belong to the different pore types.
Figure 10. Cross plots of Hg saturation vs. pressure (A) and pore radius vs. Hg saturation (B) for analyzed samples in the Sarvak Formation, Abadan Plain. Lines with different colors belong to the different pore types.
Minerals 13 01464 g010
Figure 11. Cross plots of Hg saturation vs. pressure (AC) and representative photomicrographs and SEM images for analyzed samples in the Sarvak Formation, Abadan Plain.
Figure 11. Cross plots of Hg saturation vs. pressure (AC) and representative photomicrographs and SEM images for analyzed samples in the Sarvak Formation, Abadan Plain.
Minerals 13 01464 g011
Figure 12. Cross plot of storage capacity (PhiH) vs. flow capacity (KH) and defined zones in the Sarvak Formation, Abadan Plain. According to this plot, 12 inflection points (numbered on the plot) and 13 zones have been identified in the reservoir.
Figure 12. Cross plot of storage capacity (PhiH) vs. flow capacity (KH) and defined zones in the Sarvak Formation, Abadan Plain. According to this plot, 12 inflection points (numbered on the plot) and 13 zones have been identified in the reservoir.
Minerals 13 01464 g012
Figure 13. Reservoir quality log of the Sarvak Formation in the Abadan Plain. See Figure 4 for legend.
Figure 13. Reservoir quality log of the Sarvak Formation in the Abadan Plain. See Figure 4 for legend.
Minerals 13 01464 g013
Figure 14. Paragenetic sequence of diagenetic processes and pore types of the Sarvak Formation in the Abadan Plain. Lables in porosity column indicate the representative cartoons on the right.
Figure 14. Paragenetic sequence of diagenetic processes and pore types of the Sarvak Formation in the Abadan Plain. Lables in porosity column indicate the representative cartoons on the right.
Minerals 13 01464 g014
Figure 15. Stratigraphic occurrence of reservoir zones and their dominant pore types in the Sarvak Formation in the Abadan Plain. Depositional textures, petrographic pore types, porosity–permeability profiles, and depositional sequences are also shown. Photos (AP) represent the main zones. See Figure 4 for legend.
Figure 15. Stratigraphic occurrence of reservoir zones and their dominant pore types in the Sarvak Formation in the Abadan Plain. Depositional textures, petrographic pore types, porosity–permeability profiles, and depositional sequences are also shown. Photos (AP) represent the main zones. See Figure 4 for legend.
Minerals 13 01464 g015
Table 1. Summarized facies characteristics of the Sarvak Formation in the Abadan Plain.
Table 1. Summarized facies characteristics of the Sarvak Formation in the Abadan Plain.
Facies CodeMicrofacies NameLithologyAllochems (Skeletal and Non-Skeletal)Deposition Setting
SMF-1Planktonic Foraminifera microbioclast Wackestone(Dolomitic)
Limestone
planktonic foraminifera, oligosteginids, echinoderm debris, fine peloidsOuter Ramp
SMF-2Foraminifera (B&P) bioclast Wackestone to Packstone(Dolomitic)
Limestone
planktonic and small benthic foraminifera, echinoderms, bivalves, rudists, red algae, and bryozoan fragments, and oligosteginids, fine peloidsMiddle Ramp
SMF-3Benthic foraminifera bioclast (echinoids) Wackestone(Dolomitic)
Limestone
whole fossils of echinoderms, bivalves, red algae and bryozoans, foraminifera (both benthic and planktonic), peloids, intraclastsMiddle Ramp
SMF-4Bioclastic GrainstoneLimestonerudist debris, echinoderms, and bivalvesInner Ramp—Shoal (Seaward)
SMF-5Bioclast benthic foraminifera Packstone to GrainstoneLimestonerudist debris (well sorted and rounded), benthic foraminifera, green algae intraclastsInner Ramp—Shoal (Central)
SMF-6Benthic foraminifera peloidal PackstoneLimestonepeloids and benthic foraminifers, shell fragments (largely rudists and bivalve debris), and intraclastsInner Ramp—Shoal (Leeward)
SMF-7Bioclast (rudist and coral) Rudstone/FloatstoneLimestonerudist debris and green to red algae fragments, corals, echinoderms, and benthic foraminiferaInner Ramp—Reef talus
SMF-8Bioturbated benthic foraminifera peloidal Mudstone to Wackestone(Dolomitic)
Limestone
benthic foraminifera and peloids, rudist and green algae fragmentsInner Ramp—Lagoon
Table 2. Summarized characteristics of pore-size classes of the Sarvak Formation in the studied field, Abadan Plain.
Table 2. Summarized characteristics of pore-size classes of the Sarvak Formation in the studied field, Abadan Plain.
Pore-Size Class (PSC)R35 Range (μm)Porosity Range (%)Permeability Range (mD)Dominant Facies TypesDominant Pore Types
PSC-1<0.22.2 to 16.90.001 to 0.14SMF1 to 3Micropores
PSC-20.2 to 0.51.5 to 28.80.01 to 1.48SMF1 to 3, SMF8Micropores, Fractures
PSC-30.5 to 12.3 to 28.20.1 to 6.76SMF3 to 6Interparticle, Moldic
PSC-41 to 21.7 to 320.18 to 19.2SMF4 to 7Interparticle, Intraparticle, Moldic, Vuggy
PSC-52 to 521.6 to 3228.7 to 101SMF5, 7, 8Vuggy, Moldic, Interparticle
PSC-65 to 102.5 to 31.59.5 to 321SMF5, 7, 8Fractures, Vuggy, Moldic, Interparticle
PSC-7>101.3 to 300.18 to 19.2SMF7, 8Vuggy, Moldic
Table 3. Summarized characteristics of reservoir zones of the Sarvak Formation in the studied field, Abadan Plain.
Table 3. Summarized characteristics of reservoir zones of the Sarvak Formation in the studied field, Abadan Plain.
ZoneThickness (m)KH (%)PhiH (%)RPS (Avg)Poro (Avg)Perm (Avg)R35 (Avg)Pore Size ClassPSCSMFPore TypeDiagenesisC
Z-13.380.030.2922.33.70.710.08Nano1SMF2MicroporosityCompaction, CementationBarrier
Z-217.51.015.621.312.42.620.21Micro1, 3SMF2,3Vuggy IntercrystallineCompaction, Cementation, NeomorphismBaffle
Z-38.240.62.39468.642.670.32Micro4SMF2,8MicroporosityCompaction, CementationBarrier
Z-416.49.3811.412720.8240.39Micro5SMF7Vuggy, Moldic Intraskeletal InterparticleDissolution, FractureReservoir
Z-51.971.860.9127112.6330.44Micro4SMF8MicroporosityCompaction, CementationBarrier
Z-624.321.315.321416.137.40.49Micro6SMF7Interparticle Intraparticle Vuggy, MoldicDissolution, FractureReservoir
Z-723.220.79.1931814.633.60.59Meso4, 5SMF7,8Intercrystalline Interparticle MicroporosityDissolution, FractureReservoir
Z-832.715.39.1917811.318.10.74Meso3SMF7,8Microporosity IntercrystallineDissolution, FractureReservoir
Z-923.84.018.0661.112.57.220.97Meso1, 3SMF3Microporosity IntercrystallineCompaction, CementationBarrier
Z-1043.98.8618.853.916.78.161.58Meso3SMF2Microporosity IntercrystallineCompaction, Cementation, NeomorphismBaffle
Z-1116.04.947.8277.219.317.12.72Macro4SMF4–6InterparticleDissolution, FractureReservoir
Z-1219.310.36.3621013.130.34.73Macro4SMF8Intercrystalline Microporosity InterparticleDolomitization and FracturingSpeed
Z-1314.21.554.5764.711.14.8912.3Mega3SMF8Intercrystalline MicroporosityCompaction, CementationBarrier
Disclaimer/Publisher’s Note: The statements, opinions and data contained in all publications are solely those of the individual author(s) and contributor(s) and not of MDPI and/or the editor(s). MDPI and/or the editor(s) disclaim responsibility for any injury to people or property resulting from any ideas, methods, instructions or products referred to in the content.

Share and Cite

MDPI and ACS Style

Mehrabi, H.; Karami, F.; Fakhar-Shahreza, N.; Honarmand, J. Pore-Type Characterization and Reservoir Zonation of the Sarvak Formation in the Abadan Plain, Zagros Basin, Iran. Minerals 2023, 13, 1464. https://doi.org/10.3390/min13121464

AMA Style

Mehrabi H, Karami F, Fakhar-Shahreza N, Honarmand J. Pore-Type Characterization and Reservoir Zonation of the Sarvak Formation in the Abadan Plain, Zagros Basin, Iran. Minerals. 2023; 13(12):1464. https://doi.org/10.3390/min13121464

Chicago/Turabian Style

Mehrabi, Hamzeh, Fatemeh Karami, Nafiseh Fakhar-Shahreza, and Javad Honarmand. 2023. "Pore-Type Characterization and Reservoir Zonation of the Sarvak Formation in the Abadan Plain, Zagros Basin, Iran" Minerals 13, no. 12: 1464. https://doi.org/10.3390/min13121464

APA Style

Mehrabi, H., Karami, F., Fakhar-Shahreza, N., & Honarmand, J. (2023). Pore-Type Characterization and Reservoir Zonation of the Sarvak Formation in the Abadan Plain, Zagros Basin, Iran. Minerals, 13(12), 1464. https://doi.org/10.3390/min13121464

Note that from the first issue of 2016, this journal uses article numbers instead of page numbers. See further details here.

Article Metrics

Back to TopTop