Properties of Bentonite-Based Sealing Materials during Hydration
Abstract
1. Introduction
2. Materials and Methods
2.1. Materials
2.2. Specimen Preparation
2.3. Design of HM Column Type Test
2.4. The Procedure of the HM Column-Type Test
3. Results and Discussion
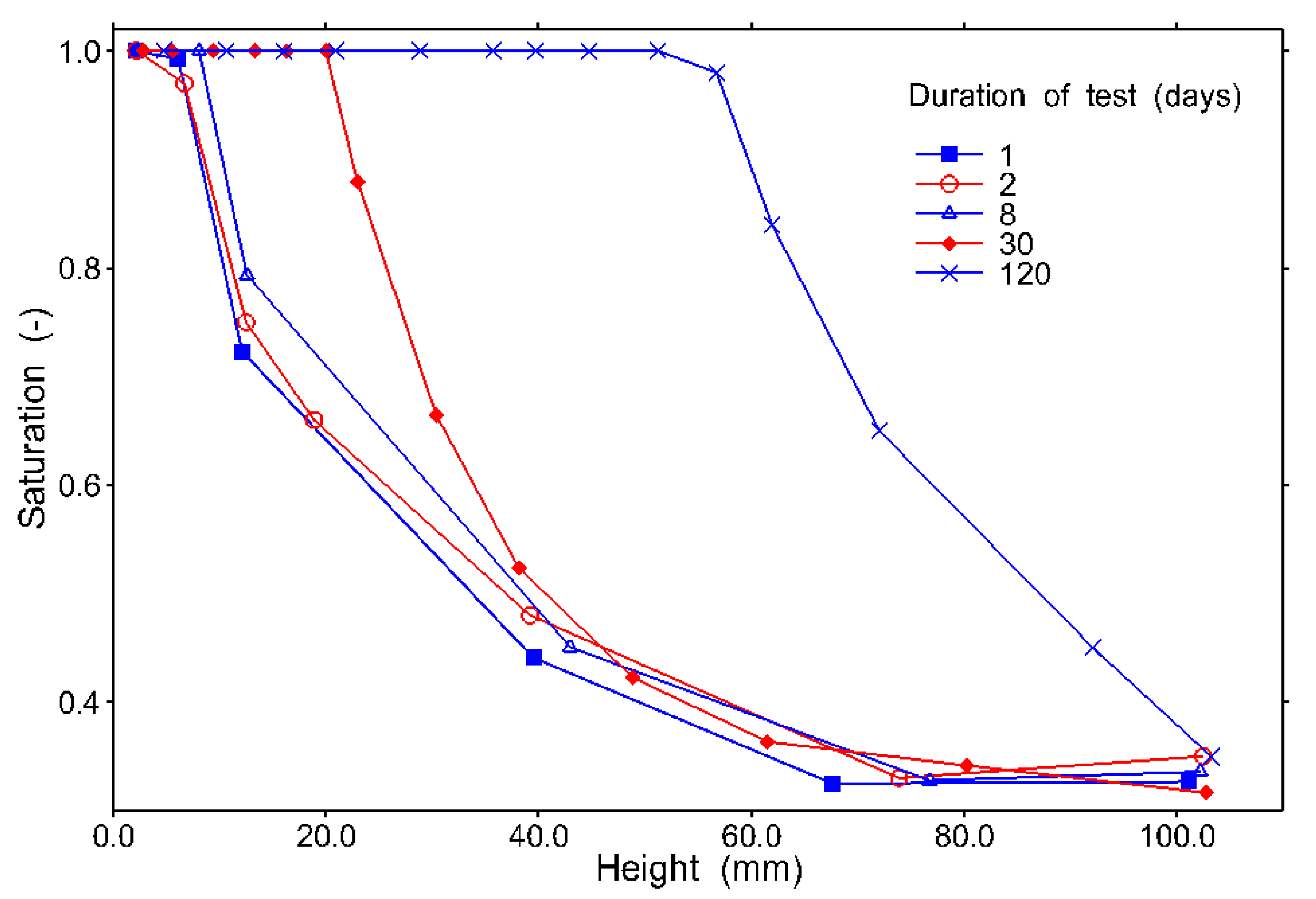
3.1. Evolution of the Wetting Profile
3.2. Evolution of Axial and Radial Swelling Pressure
4. Conclusions
Author Contributions
Funding
Data Availability Statement
Conflicts of Interest
References
- Wang, Q.; Tang, A.M.; Cui, Y.J.; Delage, P.; Gatmiri, B. Experimental study on the swelling behaviour of bentonite/claystone mixture. Eng. Geol. 2012, 124, 59–66. [Google Scholar] [CrossRef]
- NWMO. Available online: https://www.nwmo.ca/ (accessed on 1 August 2022).
- ANDRA. Available online: https://www.andra.fr/ (accessed on 30 May 2022).
- SKB. Available online: https://www.skb.com/ (accessed on 30 May 2022).
- Ojovan, M.I.; Lee, W.E. An Introduction to Nuclear Waste Immobilisation; Elsevier: Amsterdam, The Netherlands, 2014; ISBN 9780080444628. [Google Scholar]
- NWMO. RD 2019—NWMO’ s Program for Research and Development for Long-Term Management of Used Nuclear Fuel; NWMO: Toronto, ON, Canada, 2019; ISBN 4169349814. [Google Scholar]
- Sun, D.; Cui, H.; Sun, W. Swelling of compacted sand-bentonite mixtures. Appl. Clay Sci. 2009, 43, 485–492. [Google Scholar] [CrossRef]
- ASTM D4546-14; Standard Test Methods for One-Dimensional Swell or Collapse of Cohesive Soils. Astm: West Conshohocken, PA, USA, 2014; pp. 1–9.
- Mitchell, J.K.; Soga, K. Fundamentals of Soil Behavior; John Wiley & Sons: New York, NY, USA, 2005; Volume 3, ISBN 978-0-471-46302-3. [Google Scholar]
- Rawat, A. Coupled Hydro-mechanical Behavior of a Compacted Bentonite-Sand Mixture: Experimental and Numerical Investigations. Doctoral Dissertation, Faculty of Civil and Environmental Engineering Ruhr-Universität Bochum, Bochum, Germany, 2019. [Google Scholar]
- Nasir, O.; Calder, N.; Walsh, R.; Avis, J.; Engineering, G.; Kremer, E.P. A Concept for Modelling Evolution of Permeability in Re-hydrating Bentonite. In Proceedings of the 70th Canadian Geotechnical Conference (GeoOttawa 2017), Ottawa, ON, Canada, 1–4 October 2017. [Google Scholar]
- Seiphoori, A.; Ferrari, A.; Laloui, L. Water retention behaviour and microstructural evolution of MX-80 bentonite during wetting and drying cycles. Geotechnique 2014, 64, 721–734. [Google Scholar] [CrossRef]
- Nasir, O.; Nguyen, T.S.; Barnichon, J.D.; Millard, A. Simulation of hydromechanical behaviour of bentonite seals for containment of radioactive wastes. Can. Geotech. J. 2017, 54, 1055–1070. [Google Scholar] [CrossRef]
- Briggs, S.; Krol, M. Diffusive Transport Modelling of Corrosion Agents through the Engineered Barrier System in a Deep Geological Repository for Used Nuclear Fuel-NWMO-TR-2018-06; NWMO: Toronto, ON, Canada, 2018. [Google Scholar]
- Martino, J.B.; Dixon, D.A.; Kozak, E.T.; Gascoyne, M.; Vignal, B.; Sugita, Y.; Fujita, T.; Masumoto, K. The tunnel sealing experiment: An international study of full-scale seals. Phys. Chem. Earth 2007, 32, 93–107. [Google Scholar] [CrossRef]
- Lanyon, G.W.; Gaus, I. Main Outcomes and Review of the FEBEX In Situ Test (GTS) and Mock-Up after 15 Years of Operation; National Cooperative for the Disposal of Radioactive Waste (NAGRA): Wettingen, Switzerland, 2016; ISSN 1015-2636. [Google Scholar]
- Van Geet, M.; Bastiaens, W.; Volckaert, G.; Weetjens, E.; Sillen, X.; Gens, A.; Villar, M.V.; Imbert, C.; Filippi, M.; Plas, F. Installation and evaluation of a large-scale in-situ shaft seal experiment in Boom clay—The RESEAL project. In Proceedings of the International Conference on Clays in Natural and Engineered Barriers for Radioactive Waste Confinement, Lille, France, 17–18 September 2007. [Google Scholar]
- Van Geet, M.; Bastiaens, W.; Volckaert, G.; Vallejan, B.; Gens, A.; Villar, M.V.; Mingarro, M.; Caron-Charles, M.; Imbert, C.; Plas, F. Large scale in situ demonstration test for repository sealing in an argillaceous host rock-The RESEAL project. 2004. In Proceedings of the International Conference on the Management and Disposal of Radioactive Waste. Radioactive Waste Management—Community Policy and Research Initiatives, Luxembourg, Luxembourg, 29–31 March 2004. [Google Scholar]
- Mayor, J.C.; García-Siñeriz, J.L.; Rey, M. Engineered Barrier Emplacement Experiment in Opalinus Clay for the Disposal of Radioactive Waste in Underground Repositories; Empresa Nacional de Residuos, S.A., ENRESA: Madrid, Spain, 2005. [Google Scholar]
- Thatcher, K.E.; Bond, A.E.; Robinson, P.; McDermott, C.; Fraser Harris, A.P.; Norris, S. A new hydro-mechanical model for bentonite resaturation applied to the SEALEX experiments. Environ. Earth Sci. 2016, 75, 1–17. [Google Scholar] [CrossRef]
- Wang, Q.; Tang, A.M.; Cui, Y.J.; Barnichon, J.D.; Ye, W.M. A comparative study on the hydro-mechanical behavior of compacted bentonite/sand plug based on laboratory and field infiltration tests. Eng. Geol. 2013, 162, 79–87. [Google Scholar] [CrossRef]
- Millard, A.; Mokni, N.; Barnichon, J.D.; Thatcher, K.; Bond, A.; Fraser-Harris, A.; Mc Dermott, C.; Blaheta, R.; Michalec, Z.; Hasal, M.; et al. Comparative modelling approaches of hydro-mechanical processes in sealing experiments at the Tournemire URL. Environ. Earth Sci. 2017, 76, 78. [Google Scholar] [CrossRef]
- Fraser Harris, A.P.; McDermott, C.I.; Bond, A.E.; Thatcher, K.; Norris, S. A nonlinear elastic approach to modelling the hydro-mechanical behaviour of the SEALEX experiments on compacted MX-80 bentonite. Environ. Earth Sci. 2016, 75, 1445. [Google Scholar] [CrossRef]
- Millard, A.; Barnichon, J.D.; Mokni, N.; Thatcher, K.E.; Bond, A.; Blaheta, R. Modelling benchmark of a laboratory test on hydro-mechanical behavior of bentonite. In Proceedings of the UNSAT 2014: International Conference on Unsaturated Soils: Research and Applications, Sydney, Australia, 2–4 July 2014; Volume 1, pp. 489–495. [Google Scholar] [CrossRef]
- Schanz, T.; Nguyen-Tuan, L.; Datcheva, M. A column experiment to study the thermo-hydro-mechanical behaviour of expansive soils. Rock Mech. Rock Eng. 2013, 46, 1287–1301. [Google Scholar] [CrossRef]
- Rawat, A.; Baille, W.; Tripathy, S. Swelling behavior of compacted bentonite-sand mixture during water infiltration. Eng. Geol. 2019, 257, 105141. [Google Scholar] [CrossRef]
- Åkesson, M.; Jacinto, A.C.; Gatabin, C.; Sanchez, M.; Ledesma, A. Bentonite THM behaviour at high temperatures: Experimental and numerical analysis. Geotechnique 2009, 59, 307–318. [Google Scholar] [CrossRef]
- Pintado, X.; Ledesma, A.; Lloret, A. Backanalysis of thermohydraulic bentonite properties from laboratory tests. Eng. Geol. 2002, 64, 91–115. [Google Scholar] [CrossRef]
- Yong, R.N.; Mohamed, A.M.O.; Shooshpasha, I.; Onofrei, C. Hydro-thermal performance of unsaturated bentonite-sand buffer material. Eng. Geol. 1997, 47, 351–365. [Google Scholar] [CrossRef]
- Graupner, B.J.; Shao, H.; Wang, X.R.; Nguyen, T.S.; Li, Z.; Rutqvist, J.; Chen, F.; Birkholzer, J.; Wang, W.; Kolditz, O.; et al. Comparative modelling of the coupled thermal–hydraulic-mechanical (THM) processes in a heated bentonite pellet column with hydration. Environ. Earth Sci. 2018, 77, 1–16. [Google Scholar] [CrossRef]
- Villar, M.V.; Martín, P.L.; Romero, F.J. Long-term THM tests reports: THM cells for the HE-E test: Update of results until February 2014 CIEMAT Technical Report CIEMAT. PEBSDeliverable D2.2-7.3. 2014, 2014, 22. [Google Scholar]
- Gatabin, C.; Robinetz, J.C.; Plas, F.; Vignal, B.; Lassabatere, T. Bentonite THM behaviour mock-up studies. In Proceedings of the Clays in Natural and Engineered Barriers for Radioactive Waste Confinement, Tours, France, 14–18 March 2005; p. 723. [Google Scholar]
- Cuevas, J.; Villar, M.V.; Fernández, A.M.; Gómez, P.; Martín, P.L. Pore waters extracted from compacted bentonite subjected to simultaneous heating and hydration. Appl. Geochem. 1997, 12, 473–481. [Google Scholar] [CrossRef]
- Cui, Y.J.; Tang, A.M.; Loiseau, C.; Delage, P. Determining the unsaturated hydraulic conductivity of a compacted sand-bentonite mixture under constant-volume and free-swell conditions. Phys. Chem. Earth 2008, 33, 462–471. [Google Scholar] [CrossRef]
- Saba, S.; Cui, Y.; Tang, A.M.; Barnichon, J. Investigation of the swelling behaviour of compacted bentonite–sand mixture by mock-up tests. Can. Geotech. J. 2014, 51, 1399–1412. [Google Scholar] [CrossRef]
- Wang, Q.; Cui, Y.J.; Tang, A.M.; Barnichon, J.D.; Saba, S.; Ye, W.M. Hydraulic conductivity and microstructure changes of compacted bentonite/sand mixture during hydration. Eng. Geol. 2013, 164, 67–76. [Google Scholar] [CrossRef]
- Liu, Z.R.; Cui, Y.J.; Ye, W.M.; Chen, B.; Wang, Q.; Chen, Y.G. Investigation of the hydro-mechanical behaviour of GMZ bentonite pellet mixtures. Acta Geotech. 2020, 15, 2865–2875. [Google Scholar] [CrossRef]
- Bentonite Performance Minerals LLC (BPM). Available online: https://www.bentonite.com/bpm/default.html (accessed on 10 July 2020).
- ASTM C837-09; Standard Test Method for Methylene Blue Index of Clay. Astm: West Conshohocken, PA, USA, 2009.
- Sivapullaiah, P.V.; Sitharam, T.G.; Subba Rao, K.S. Modified Free Swell Index for Clays. Geotech. Test. J. 1987, 10, 80–85. [Google Scholar]
- Shaw Resources. Available online: https://shawresources.ca/blog/2019/04/23/silica-sand-different-regular-sand/ (accessed on 10 July 2020).
- METER Group Inc. USA WP4C. Available online: https://www.metergroup.com/ (accessed on 1 May 2021).
- van Genuchten, M.T. Closed-Form Equation for Predicting the Hydraulic Conductivity of Unsaturated Soils. Soil Sci. Soc. Am. J. 1980, 44, 892–898. [Google Scholar] [CrossRef]
- Millard, A.; Mokni, N.; Barnichon, J.D.; Thatcher, K.E.; Bond, A.E.; Fraser-Harris, A.; Mc Dermott, C.; Blaheta, R.; Michalec, Z.; Hasal, M.; et al. Comparative modelling of laboratory experiments for the hydro-mechanical behaviour of a compacted bentonite–sand mixture. Environ. Earth Sci. 2016, 75, 1311. [Google Scholar] [CrossRef][Green Version]
- Man, A.; Martino, J.B. Thermal, Hydraulic and Mechanical Properties of Sealing Materials; NWMO TR-2009-20; NWMO: Toronto, ON, Canada, 2009; ISBN 4169349814. [Google Scholar]
- ASTM D2216-19; Standard Test Methods for Laboratory Determination of Water (Moisture) Content of Soil and Rock by Mass. Astm: West Conshohocken, PA, USA, 2019.
- Tokyo Measuring Instruments Lab. Available online: https://tml.jp/e/product/transducers/pda_pdb.html (accessed on 1 November 2023).
- Villar, M.V. Infiltration tests on a granite/bentonite mixture: Influence of water salinity. Appl. Clay Sci. 2006, 31, 96–109. [Google Scholar] [CrossRef]
- Laurich, B.; Fourrière, A.; Graesle, W. TN 2020-29 LT-A Experiment: How Fracture Wetting Leads to Closure; 2019. Available online: https://www.researchgate.net/publication/339528075_TN_2020-29_LT-A_Experiment_How_fracture_wetting_leads_to_closure/ (accessed on 30 September 2023).
- Voltolini, M.; Ajo-Franklin, J.B. The Sealing Mechanisms of a Fracture in Opalinus Clay as Revealed by in situ Synchrotron X-ray Micro-Tomography. Front. Earth Sci. 2020, 8, 207. [Google Scholar] [CrossRef]
- Seiphoori, A. Arbeitsbericht NAB 19-07 Self-sealing of fractures in Opalinus Clay: Experiments and a conceptual framework for quantitative assessments. National Cooperative for the Disposal of Radioactive Waste (NAGRA), Wettingen, Switzerland. 2019, 103. [Google Scholar]
- Lee, J.O.; Lim, J.G.; Kang, I.M.; Kwon, S. Swelling pressures of compacted Ca-bentonite. Eng. Geol. 2012, 129–130, 20–26. [Google Scholar] [CrossRef]
- Cho, W.J.; Lee, J.O.; Kang, C.H. Influence of temperature elevation on the sealing performance of a potential buffer material for a high-level radioactive waste repository. Ann. Nucl. Energy 2000, 27, 1271–1284. [Google Scholar] [CrossRef]
- Lee, J.; Cho, W.; Chun, K. Swelling pressures of a potential buffer material for high-level waste repository. J. Korean Nucl. Soc. 1999, 31, 139–150. [Google Scholar]
- Saba, S.; Barnichon, J.D.; Cui, Y.J.; Tang, A.M.; Delage, P. Microstructure and anisotropic swelling behaviour of compacted bentonite/sand mixture. J. Rock Mech. Geotech. Eng. 2014, 6, 126–132. [Google Scholar] [CrossRef]
- Barnichon, J.-D.; Deleruyelle, F. Sealing experiments at the Tournemire URL. In Towards Convergence of Technical Nuclear Safety Practices in Europe; Eurosafe Forum: Bruxelles, Belgium, 2009. [Google Scholar]
- Li, X.L.; Bastiaens, W.; Van Marcke, P.; Verstricht, J.; Chen, G.J.; Weetjens, E.; Sillen, X. Design and development of large-scale in-situ PRACLAY heater test and horizontal high-level radioactive waste disposal gallery seal test in Belgian HADES. J. Rock Mech. Geotech. Eng. 2010, 2, 103–110. [Google Scholar] [CrossRef]
- Delage, P.; Cui, Y.-J.; Tang, A.M. Clays in radioactive waste disposal. J. Rock Mech. Geotech. Eng. 2010, 2, 111–123. [Google Scholar] [CrossRef]
















| Chemical Compositions | Value |
|---|---|
| SiO2 | 59.9% |
| Al2O3 | 17.6% |
| CaO | 2.64% |
| Na2O | 2.51% |
| MgO | 1.83% |
| Fe2O3 | 3.72% |
| K2O | 0.6% |
| MnO2 | 0.08% |
| Saturated Salt Solution | Suction (MPa) |
|---|---|
| PEG | 0.1 |
| NaCl | 38 |
| K2CO3 | 113 |
| Property | Description |
|---|---|
| Bentonite | |
| Specific gravity (Gs) | 2.71 |
| Liquid limit (%) | 493% |
| Plastic limit (%) | 41% |
| Plasticity index | 452% |
| Content of the <2 µm fraction (%) | 67% |
| Cation exchange capacity (meq/100 g) | 75% |
| Free swelling index (%) | 1578.5% |
| Main mineral components | Montmorillonite (75%) Illite (5%) Feldspar and Quartz (<3%) |
| Sand | |
| Specific gravity (Gs) | 2.66 |
| Cu | 2 |
| Cc | 1.4 |
| Main chemical components | SiO2 (95%) |
| Parameters of WRC fitted model (70-30 bentonite-sand) | |
| m | 0.47 |
| n | 1.89 |
| α | 6.5 × 10−8 |
| Sl | 0.01 |
| Time (Day) | Distance from Hydration Front (mm) |
|---|---|
| 1 | 6.13 |
| 2 | 6.7 |
| 8 | 8.08 |
| 30 | 20 |
| 120 | 56.75 |
Disclaimer/Publisher’s Note: The statements, opinions and data contained in all publications are solely those of the individual author(s) and contributor(s) and not of MDPI and/or the editor(s). MDPI and/or the editor(s) disclaim responsibility for any injury to people or property resulting from any ideas, methods, instructions or products referred to in the content. |
© 2023 by the authors. Licensee MDPI, Basel, Switzerland. This article is an open access article distributed under the terms and conditions of the Creative Commons Attribution (CC BY) license (https://creativecommons.org/licenses/by/4.0/).
Share and Cite
Bajestani, M.S.; Nasir, O.; Oh, W.T. Properties of Bentonite-Based Sealing Materials during Hydration. Minerals 2023, 13, 1412. https://doi.org/10.3390/min13111412
Bajestani MS, Nasir O, Oh WT. Properties of Bentonite-Based Sealing Materials during Hydration. Minerals. 2023; 13(11):1412. https://doi.org/10.3390/min13111412
Chicago/Turabian StyleBajestani, Mahsa Shafaei, Othman Nasir, and Won Taek Oh. 2023. "Properties of Bentonite-Based Sealing Materials during Hydration" Minerals 13, no. 11: 1412. https://doi.org/10.3390/min13111412
APA StyleBajestani, M. S., Nasir, O., & Oh, W. T. (2023). Properties of Bentonite-Based Sealing Materials during Hydration. Minerals, 13(11), 1412. https://doi.org/10.3390/min13111412
