57Fe Mössbauer Spectroscopy and X-ray Diffraction of Annealed Highly Metamict Perrierite: Activation Energy and Recrystallization Processes
Abstract
:1. Introduction
2. Materials and Methods
2.1. Sample Description and Chemical Analysis
2.2. Mössbauer Spectroscopy and X-ray Diffraction
3. Results and Discussion
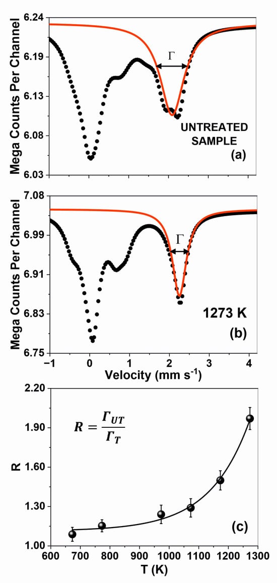
3.1. Mössbauer Spectroscopy
3.1.1. Changes in Fe2+ Components
3.1.2. Changes in Fe3+ Components
3.2. Unit Cell Parameters
3.3. Determination of Activation Energy
4. Conclusions
Author Contributions
Funding
Data Availability Statement
Conflicts of Interest
References
- Bonatti, S. Chevkinite, perrierite and epidotes. Am. Miner. 1959, 44, 115–137. [Google Scholar]
- Jaffe, H.W.; Evans, H.T., Jr.; Chapman, R.W. Occurrence and age of chevkinite from the Devil’s Slide fayalite quartz syenite near Stark, New Hampshire. Am. Miner. 1956, 41, 474–487. [Google Scholar]
- Gottardi, G. The crystal structure of perrierite. Am. Miner. 1960, 43, 1–14. [Google Scholar]
- Lima de Faria, J. Identification of Metamict Minerals by X-ray Powder Photographs. In Estudos, Ensaios e Documentos; Junta de Investigações do Ultramar: Lisbon, Portugal, 1964; Volume 112. [Google Scholar]
- Mitchell, R.S. Virginia metamict minerals: Perrierite and chevkinite. Am. Miner. 1966, 51, 1394–1405. [Google Scholar]
- Ito, J. A study of chevkinite and perrierite. Am. Miner. 1967, 52, 1094–1104. [Google Scholar]
- Ito, J.; Arem, J.E. Chevkinite and perrierite: Synthesis, crystal growth and polymorphism. Am. Miner. 1971, 56, 307–319. [Google Scholar]
- Calvo, C.; Faggiani, R. A re-investigation of the crystal structures of chevkinite and perrierite. Am. Miner. 1974, 59, 1277–1285. [Google Scholar]
- Segalstad, T.V.; Larsen, A.O. Chevkinite and perrierite from the Oslo region, Norway. Am. Miner. 1978, 63, 499–505. [Google Scholar]
- Parodi, G.C.; Della Ventura, G.; Mottana, A.; Raudsepp, M. Zr-rich non metamict perrierite-(Ce) from holocrystalline ejecta in the Sabatini volcanic complex (Latium, Italy). Miner. Mag. 1994, 58, 607–613. [Google Scholar] [CrossRef]
- Sokolova, E.; Hawthorne, F.C.; Della Ventura, G.; Kartashov, P.M. Chevkinite-(Ce): Crystal structure and the effect of moderate radiation-induced damage on site-occupancy refinement. Can. Miner. 2004, 42, 1013–1025. [Google Scholar] [CrossRef]
- Saini, H.S.; Lal, N.; Nagpaul, K.K. Annealing studies of fission tracks in allanite. Contrib. Miner. Petrol. 1975, 52, 143–145. [Google Scholar] [CrossRef]
- Lumpkin, G.R.; Foltyn, E.M.; Ewing, R.C. Thermal recrystallization of alpha-recoil damaged minerals of the pyrochlore structure type. J. Nucl. Mater. 1986, 139, 113–120. [Google Scholar] [CrossRef]
- Virk, S.H. Single activation energy model of radiation damage in solid state nuclear track detectors. Radiat. Eff. Defects Solids 1995, 133, 87–95. [Google Scholar] [CrossRef]
- Janeczek, J.; Eby, R.K. Annealing in radiation damage in allanite and gadolinite. Phys. Chem. Miner. 1993, 19, 343–356. [Google Scholar] [CrossRef]
- Meldrum, A.; Boatner, L.A.; Ewing, R.C. Displacive radiation effects in the monazite- and zircon-structure orthophosphates. Phys. Rev. B 1997, 56, 805–814. [Google Scholar] [CrossRef]
- Malczewski, D.; Janeczek, J. Activation energy of annealed metamict gadolinite from 57Fe Mössbauer spectroscopy. Phys. Chem. Miner. 2002, 29, 226–232. [Google Scholar] [CrossRef]
- Malczewski, D.; Grabias, A.; Dziurowicz, M. Activation energy of annealed, partially metamict davidite by 57Fe Mössbauer spectroscopy. J. Geosci. 2020, 65, 37–44. [Google Scholar] [CrossRef]
- Steiger, R.H.; Jager, E. Subcommission on Geochronology: Convention on the use of decay onstants in geo- and cosmochronology. Earth Planet. Sci. Lett. 1977, 36, 359–362. [Google Scholar] [CrossRef]
- Murakami, T.; Chakoumakos, B.C.; Ewing, R.C.; Lumpkin, G.R.; Weber, W.J. Alpha-decay event damage in zircon. Am. Miner. 1991, 76, 1510–1532. [Google Scholar]
- Woodhead, J.A.; Rossman, G.R.; Silver, L.T. The metamictization of zircon: Radiation dose-dependent structural characteristics. Am. Miner. 1991, 76, 74–82. [Google Scholar]
- Weber, W.J. Self-radiation damage and recovery in Pu-doped zircon. Radiat. Eff. Defects Solids 1991, 115, 341–349. [Google Scholar] [CrossRef]
- Nasdala, L.; Wenzel, M.; Vavra, G.; Irmer, G.; Wenzel, T.; Kober, B. Metamictisation of natural zircon: Accumulation versus thermal annealing of radioactivity-induced damage. Contrib. Miner. Petrol. 2001, 141, 125–144. [Google Scholar] [CrossRef]
- Malczewski, D.; Dziurowicz, M. 222Rn and 220Rn emanations as a function of the absorbed α-doses from select metamict minerals. Am. Miner. 2015, 100, 1378–1385. [Google Scholar] [CrossRef]
- Malczewski, D.; Dziurowicz, M.; Krzykawski, T.; Grabias, A. Spectroscopic characterization and thermal recrystallization study of an unknown metamict phrase from Tuften Quarry, southern Norway. Can. Miner. 2018, 56, 365–373. [Google Scholar] [CrossRef]
- Dollase, W.A. Mössbauer spectra and iron distribution in the epidote-group minerals. Z. Krist. Cryst. Mater. 1973, 138, 41–63. [Google Scholar]
- Ito, J.; Hafner, S.S. Synthesis and study of gadolinites. Am. Miner. 1974, 59, 700–708. [Google Scholar]
- Kartashov, P.M.; Ferraris, G.; Ivaldi, G.; Sokolova, E.; McCammon, C.A. Ferriallanite-(Ce), CaCeFe3+AlFe2+(SiO4)(Si2O7)O(OH), a new member of the epidote group: Description, X-Ray and Mössbauer study. Can. Miner. 2002, 40, 1641–1848. [Google Scholar] [CrossRef]
- Malczewski, D. Recrystallization in fully metamict gadolinite from Ytterby (Sweden), annealed in air and studied by 57Fe Mössbauer Spectroscopy. Am. Miner. 2010, 95, 463–471. [Google Scholar] [CrossRef]
- Hawthorne, F.C.; Groat, L.A.; Rausepp, M.; Ball, N.A.; Kimata, M.; Spike, F.D.; Gaba, R.; Halden, M.N.; Lumokin, G.R.; Ewing, R.C.; et al. Alpha-decay damage in titanite. Am. Miner. 1991, 76, 370–396. [Google Scholar]
- Malczewski, D.; Grabias, A. 57Fe Mössbauer Spectroscopy of radiation damaged allanites. Acta Phys. Pol. A 2008, 114, 1683–1690. [Google Scholar] [CrossRef]
- Reissner, C.E.; Bismayer, U.; Kern, D.; Reissner, M.; Park, S.; Zhang, J.; Ewing, R.C.; Shelyug, A.; Navrotsky, A.; Paulmann, C.; et al. Mechanical and structural properties of radiation-damaged allanite-(Ce) and the effects of thermal annealing. Phys. Chem. Miner. 2019, 46, 921–933. [Google Scholar] [CrossRef]
- Li, Z.; Jin, M.; Liu, M.; Liu, X. Iron distribution in chevkinite. Hyperfine Interact. 1992, 70, 1057–1060. [Google Scholar] [CrossRef]
- Hawthorne, F.C. (Ed.) Spectroscopic methods in mineralogy and geology. Reviews in mineralogy. Miner. Soc. Am. 1988, 18, 698. [Google Scholar]
- Rancourt, D.G.; Dang, M.Z.; Lalonde, A.E. Mössbauer Spectroscopy of tetrahedral Fe3+ in trioctahedral micas. Am. Miner. 1992, 77, 34–43. [Google Scholar]
- Primak, W. Kinetics of processes distributed in activation energy. Phys. Rev. 1955, 100, 1677–1689. [Google Scholar] [CrossRef]
- Primak, W. Large temperature range annealing. J. Appl. Phys. 1960, 31, 1524–1533. [Google Scholar] [CrossRef]
- Ewing, R.C.; Haaker, R.F. The metamict state: Implications for radiation damage in crystalline waste forms. Nucl. Chem. Waste Manag. 1980, 1, 51–57. [Google Scholar] [CrossRef]
- Meldrum, A.; Boatner, L.A.; Weber, W.J.; Ewing, R.C. Radiation damage in zircon and monazite. Geochim. Cosmochim. Acta. 1998, 62, 2509–2520. [Google Scholar] [CrossRef]







| Reference | Mineral | Activation Energy (eV) | Methods |
|---|---|---|---|
| [12] | Allanite | 2.3 | Fission track annealing |
| [13] | Microlite (partially metamict) | 0.33 | DTA |
| Betafite (metamict) | 0.97 | ||
| [14] | Zircon | 2.87 | Fission track annealing |
| 3.59 | Heavy ion track annealing | ||
| [15] | Gadolinite (partially metamict) | 0.58 | X-ray diffraction |
| [16] | Monazite | 0.08 | Irradiation by 800 keV Kr2+ |
| [17] | Gadolinite (metamict) | 1.97 | Mössbauer spectroscopy |
| [18] | Davidite (partially metamict) | 0.45 | Mössbauer spectroscopy |
| Age | 1.1(1) Ga a |
|---|---|
| O | 26.3(14) |
| F | 1.08(43) |
| Al | 2.7(10) |
| Si | 13.9(9) |
| Ca | 4.6(18) |
| Ti | 8.3(17) |
| Fe | 4.7(10) |
| Ge | 0.72(20) |
| Se | 1.49(24) |
| Rb | 1.81(10) |
| Zr | 0.42(24) |
| Nb | 0.54(26) |
| Ce | 15.9(17) |
| Nd | 6.2(10) |
| La, Gd, Er, Yb, Lu | 7.9(12) |
| Ta | 1.97(41) |
| Th | 0.64(3) |
| U | 0.060(3) |
| Total | 99.23 |
| Calculated total dose (DT) b (α-decay mg−1) | 7.77(78) × 1015 |
| Calculated dose from 232Th (D232) (α-decay mg−1) | 5.54(53) × 1015 |
| Calculated dose from 238U (D238) (α-decay mg−1) | 2.09(23) × 1015 |
| Calculated dose from 235U (D235) (α-decay mg−1) | 0.14(2) × 1014 |
| Annealing Temperature (K) | Doublet No. | χ2 | δ (mm s−1) | Δ (mm s−1) | Γ (mm s−1) | Assignment (CN) | Rel. Area * |
|---|---|---|---|---|---|---|---|
| UT | |||||||
| 1 | 1.61 | 1.13(1) | 2.25(2) | 0.44(1) | Fe2+(6) | 0.37 | |
| 2 | 1.07(1) | 1.73(2) | 0.44(2) | Fe2+(6) | 0.30 | ||
| 3 | 0.32(2) | 1.02(5) | 0.70(3) | Fe3+(6) | 0.26 | ||
| 4 | 0.49(4) | 1.99(4) | 0.50(3) | Fe3+(6) | 0.07 | ||
| 673 | |||||||
| 1 | 0.97 | 1.15(1) | 2.20(1) | 0.42(1) | Fe2+(6) | 0.33 | |
| 2 | 1.06(1) | 1.67(2) | 0.44(1) | Fe2+(6) | 0.32 | ||
| 3 | 0.28(2) | 1.04(1) | 0.58(1) | Fe3+(6) | 0.25 | ||
| 4 | 0.39(1) | 1.90(2) | 0.38(2) | Fe3+(6) | 0.10 | ||
| 773 | |||||||
| 1 | 1.80 | 1.13(1) | 2.23(2) | 0.44(1) | Fe2+(6) | 0.42 | |
| 2 | 1.05(1) | 1.72(1) | 0.44(1) | Fe2+(6) | 0.25 | ||
| 3 | 0.26(1) | 1.03(3) | 0.62(2) | Fe3+(6) | 0.27 | ||
| 4 | 0.44(3) | 1.87(4) | 0.40(3) | Fe3+(6) | 0.06 | ||
| 973 | |||||||
| 1 | 1.34 | 1.17(1) | 2.18(1) | 0.38(1) | Fe2+(6) | 0.36 | |
| 2 | 1.07(1) | 1.66(1) | 0.42(1) | Fe2+(6) | 0.25 | ||
| 4 | 0.38(1) | 1.89(1) | 0.36(1) | Fe3+(6) | 0.10 | ||
| 5 | 0.21(1) | 1.26(3) | 0.46(3) | Fe3+(6) | 0.17 | ||
| 6 | 0.27(1) | 0.77(4) | 0.42(1) | Fe3+(6) | 0.12 | ||
| 1073 | |||||||
| 1 | 1.15 | 1.18(1) | 2.17(1) | 0.38(1) | Fe2+(6) | 0.38 | |
| 2 | 1.08(1) | 1.64(2) | 0.44(2) | Fe2+(6) | 0.24 | ||
| 4 | 0.39(1) | 1.93(1) | 0.36(3) | Fe3+(6) | 0.08 | ||
| 5 | 0.21(1) | 1.27(1) | 0.48(3) | Fe3+(6) | 0.18 | ||
| 6 | 0.28(1) | 0.78(1) | 0.40(1) | Fe3+(6) | 0.12 | ||
| 1173 | |||||||
| 1 | 0.95 | 1.18(1) | 2.17(1) | 0.38(1) | Fe2+(6) | 0.37 | |
| 2 | 1.08(1) | 1.67(2) | 0.56(3) | Fe2+(6) | 0.20 | ||
| 4 | 0.40(2) | 1.92(3) | 0.34(2) | Fe3+(6) | 0.06 | ||
| 5 | 0.24(1) | 1.29(1) | 0.48(3) | Fe3+(6) | 0.17 | ||
| 6 | 0.30(1) | 0.74(2) | 0.44(2) | Fe3+(6) | 0.20 | ||
| 1273 | |||||||
| 1 | 1.54 | 1.19(1) | 2.19(1) | 0.32(1) | Fe2+(6) | 0.38 | |
| 2 | 1.08(1) | 2.02(2) | 0.56(3) | Fe2+(6) | 0.20 | ||
| 5 | 0.23(1) | 1.34(3) | 0.44(2) | Fe3+(6) | 0.19 | ||
| 6 | 0.29(1) | 0.72(3) | 0.44(2) | Fe3+(6) | 0.23 |
| Name | Value |
|---|---|
| Unit Cell | C 1 2/m 1 |
| a (Å) | 13.5841(8) |
| b (Å) | 5.6340(3) |
| c (Å) | 11.6722(3) |
| alpha (°) | 90 |
| beta (°) | 113.38(2) |
| gamma (°) | 90 |
| V (Å3) | 818.3592 |
Disclaimer/Publisher’s Note: The statements, opinions and data contained in all publications are solely those of the individual author(s) and contributor(s) and not of MDPI and/or the editor(s). MDPI and/or the editor(s) disclaim responsibility for any injury to people or property resulting from any ideas, methods, instructions or products referred to in the content. |
© 2023 by the authors. Licensee MDPI, Basel, Switzerland. This article is an open access article distributed under the terms and conditions of the Creative Commons Attribution (CC BY) license (https://creativecommons.org/licenses/by/4.0/).
Share and Cite
Malczewski, D.; Grabias, A.; Dziurowicz, M.; Krzykawski, T. 57Fe Mössbauer Spectroscopy and X-ray Diffraction of Annealed Highly Metamict Perrierite: Activation Energy and Recrystallization Processes. Minerals 2023, 13, 1395. https://doi.org/10.3390/min13111395
Malczewski D, Grabias A, Dziurowicz M, Krzykawski T. 57Fe Mössbauer Spectroscopy and X-ray Diffraction of Annealed Highly Metamict Perrierite: Activation Energy and Recrystallization Processes. Minerals. 2023; 13(11):1395. https://doi.org/10.3390/min13111395
Chicago/Turabian StyleMalczewski, Dariusz, Agnieszka Grabias, Maria Dziurowicz, and Tomasz Krzykawski. 2023. "57Fe Mössbauer Spectroscopy and X-ray Diffraction of Annealed Highly Metamict Perrierite: Activation Energy and Recrystallization Processes" Minerals 13, no. 11: 1395. https://doi.org/10.3390/min13111395
APA StyleMalczewski, D., Grabias, A., Dziurowicz, M., & Krzykawski, T. (2023). 57Fe Mössbauer Spectroscopy and X-ray Diffraction of Annealed Highly Metamict Perrierite: Activation Energy and Recrystallization Processes. Minerals, 13(11), 1395. https://doi.org/10.3390/min13111395

