Efficient Copper Recovery from Chalcopyrite Using an «Isopropanol–Sulfuric Acid–Sodium Dodecyl Sulfate» System
Abstract
:1. Introduction
2. Materials and Methods
2.1. Raw Material
2.2. Reagents
2.3. Leaching Procedure
2.4. Surface Tension Measurements
2.5. Contact Angel Measurement
2.6. Analytical Techniques
3. Results and Discussion
3.1. Characterization of Initial Copper Concentrate
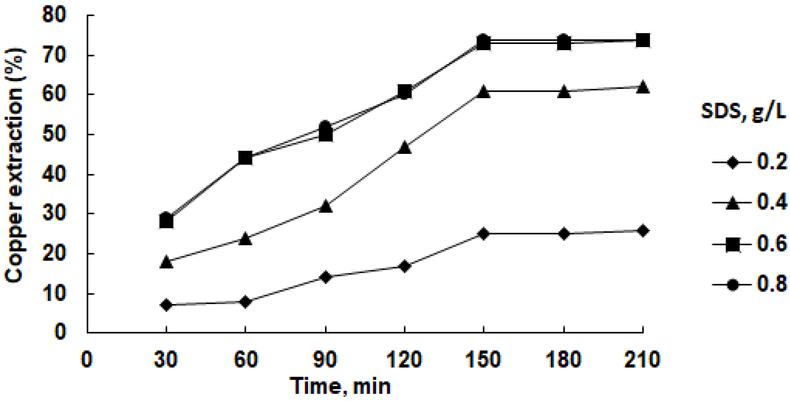
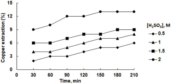
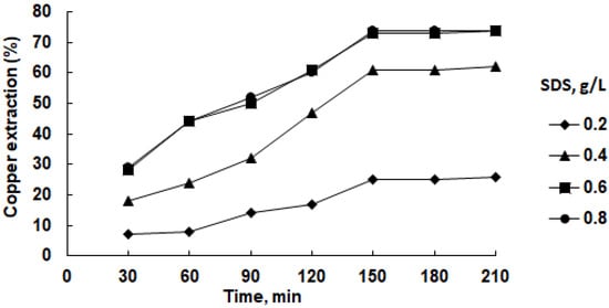
3.2. Leaching Experiments
3.3. Kinetic Study
3.4. Influence of SDS on the Solution Surface Tension
3.5. Contact Angle Results
3.6. Analysis of Leaching Residue
4. Conclusions
Author Contributions
Funding
Data Availability Statement
Conflicts of Interest
References
- Zhou, H.; Liu, G.; Zhang, L.; Zhou, C.; Mian, M.; Cheema, A.I. Strategies for arsenic pollution control from copper pyrometallurgy based on the study of arsenic sources, emission pathways and speciation characterization in copper flash smelting systems. Environ. Pollut. 2021, 270, 116203. [Google Scholar] [CrossRef]
- Pérez, K.; Toro, N.; Gálvez, E.; Robles, P.; Wilson, R.; Navarra, A. Environmental, economic and technological factors affecting Chilean copper smelters—A critical review. J. Mater. Res. Technol. 2021, 15, 213–225. [Google Scholar] [CrossRef]
- Coursol, P.; Mackey, P.J.; Kapusta, J.P.T.; Valencia, N.C. Energy Consumption in Copper Smelting: A New Asian Horse in the Race. JOM 2015, 67, 1066–1074. [Google Scholar] [CrossRef]
- Ochromowicz, K.; Chmielewski, T. Solvent extraction in hydrometallurgical processing of Polish copper concentrates. Physicochem. Probl. Miner. Process. 2011, 46, 207–218. [Google Scholar]
- Yu, S.; Liao, R.; Yang, B.; Fang, C.; Wang, Z.; Liu, Y.; Qiu, G. Chalcocite (bio) hydrometallurgy—Current state, mechanism, and future directions: A review. Chin. J. Chem. Eng. 2022, 41, 109–120. [Google Scholar] [CrossRef]
- Ji, G.; Liao, Y.; Wu, Y.; Xi, J.; Liu, Q. A review on the research of hydrometallurgical leaching of low-grade complex chalcopyrite. J. Sustain. Met. 2022, 8, 964–977. [Google Scholar] [CrossRef]
- Baba, A.A.; Ayinla, K.I.; Adekola, F.A.; Ghosh, M.K.; Ayanda, O.S.; Bale, R.B.; Sheik, A.R.; Pradhan, S.R. A review on novel techniques for chalcopyrite ore processing. Int. J. Min. Eng. Miner. Process. 2012, 1, 1–16. [Google Scholar] [CrossRef]
- Li, Y.; Kawashima, N.; Li, J.; Chandra, A.P.; Gerson, A.R. A review of the structure, and fundamental mechanisms and kinetics of the leaching of chalcopyrite. Adv. Colloid Interface Sci. 2013, 197–198, 1–32. [Google Scholar] [CrossRef]
- McDonald, R.; Muir, D. Pressure oxidation leaching of chalcopyrite. Part I. Comparison of high and low temperature reaction kinetics and products. Hydrometallurgy 2007, 86, 191–205. [Google Scholar] [CrossRef]
- Padilla, R.; Vega, D.; Ruiz, M. Pressure leaching of sulfidized chalcopyrite in sulfuric acid–oxygen media. Hydrometallurgy 2007, 86, 80–88. [Google Scholar] [CrossRef]
- Wang, S. Copper leaching from chalcopyrite concentrates. JOM 2005, 57, 48–51. [Google Scholar] [CrossRef]
- Panda, S.; Akcil, A.; Pradhan, N.; Deveci, H. Current scenario of chalcopyrite bioleaching: A review on the recent advances to its heap-leach technology. Bioresour. Technol. 2015, 196, 694–706. [Google Scholar] [CrossRef] [PubMed]
- Martins, F.L.; Leão, V.A. Chalcopyrite bioleaching in chloride media: A mini-review. Hydrometallurgy 2022, 216, 105995. [Google Scholar] [CrossRef]
- Liang, C.-L.; Xia, J.-L.; Zhao, X.-J.; Yang, Y.; Gong, S.-Q.; Nie, Z.-Y.; Ma, C.-Y.; Zheng, L.; Zhao, Y.-D.; Qiu, G.-Z. Effect of activated carbon on chalcopyrite bioleaching with extreme thermophile Acidianus manzaensis. Hydrometallurgy 2010, 105, 179–185. [Google Scholar] [CrossRef]
- Martins, F.L.; Patto, G.B.; A Leão, V. Chalcopyrite bioleaching in the presence of high chloride concentrations. J. Chem. Technol. Biotechnol. 2019, 94, 2333–2344. [Google Scholar] [CrossRef]
- Bai, Y.; Wang, W.; Dong, K.; Xie, F.; Lu, D.; Chang, Y.; Jiang, K. Effect of microwave pretreatment on chalcopyrite dissolution in acid solution. J. Mater. Res. Technol. 2022, 16, 471–481. [Google Scholar] [CrossRef]
- Faris, N.; Ram, R.; Chen, M.; Tardio, J.; Pownceby, M.I.; Jones, L.A.; McMaster, S.; Webster, N.A.; Bhargava, S. The effect of thermal pre-treatment on the dissolution of chalcopyrite (CuFeS2) in sulfuric acid media. Hydrometallurgy 2017, 169, 68–78. [Google Scholar] [CrossRef]
- Copur, M.; Kizilca, M.; Kocakerim, M.M. Determination of the Optimum Conditions for Copper Leaching from Chalcopyrite Concentrate Ore Using Taguchi Method. Chem. Eng. Commun. 2015, 202, 927–935. [Google Scholar] [CrossRef]
- Mohammadabad, F.K.; Hejazi, S.; Khaki, J.V.; Babakhani, A. Mechanochemical leaching of chalcopyrite concentrate by sulfuric acid. Int. J. Miner. Met. Mater. 2016, 23, 380–388. [Google Scholar] [CrossRef]
- Jafari, M.; Karimi, G.; Ahmadi, R. Improvement of chalcopyrite atmospheric leaching using controlled slurry potential and additive treatments. Physicochem. Probl. Miner. Process. 2017, 53, 73597534. [Google Scholar]
- Solis-Marcíal, O.; Lapidus, G. Improvement of chalcopyrite dissolution in acid media using polar organic solvents. Hydrometallurgy 2013, 131-132, 120–126. [Google Scholar] [CrossRef]
- Nadirov, R.; Karamyrzayev, G. Selective ozone-assisted acid leaching of copper from copper smelter slag by using isopropanol as a solvent. Minerals 2022, 12, 1047. [Google Scholar] [CrossRef]
- Li, X.; Monnens, W.; Li, Z.; Fransaer, J.; Binnemans, K. Solvometallurgical process for extraction of copper from chalcopyrite and other sulfidic ore minerals. Green Chem. 2020, 22, 417–426. [Google Scholar] [CrossRef]
- Carlesi, C.; Harris, R.C.; Abbott, A.P.; Jenkin, G.R.T. Chemical dissolution of chalcopyrite concentrate in choline chloride ethylene glycol deep eutectic solvent. Minerals 2022, 12, 65. [Google Scholar] [CrossRef]
- Mahajan, V.; Misra, M.; Zhong, K.; Fuerstenau, M. Enhanced leaching of copper from chalcopyrite in hydrogen peroxide–glycol system. Miner. Eng. 2007, 20, 670–674. [Google Scholar] [CrossRef]
- Tehrani, M.E.H.N.; Naderi, H.; Rashchi, F. Electrochemical study and XPS analysis of chalcopyrite dissolution in sulfuric acid in the presence of ethylene glycol. Electrochim. Acta 2021, 369, 137663. [Google Scholar] [CrossRef]
- Ruiz-Sánchez, A.; Lapidus, G.T. Study of chalcopyrite leaching from a copper concentrate with hydrogen peroxide in aqueous ethylene glycol media. Hydrometallurgy 2017, 169, 192–200. [Google Scholar] [CrossRef]
- Ruiz-Sánchez, A.; Lázaro, I.; Lapidus, G. Improvement effect of organic ligands on chalcopyrite leaching in the aqueous medium of sulfuric acid-hydrogen peroxide-ethylene glycol. Hydrometallurgy 2020, 193, 105293. [Google Scholar] [CrossRef]
- Ruiz-Sánchez, A.; Lapidus, G. Electrochemical and leaching studies to better understand the role of ethylene glycol in the oxidative acid dissolution of chalcopyrite. Electrochimica Acta 2022, 418, 140343. [Google Scholar] [CrossRef]
- Ruiz-Sánchez, A.; Lapidus, G. A study to understand the role of ethylene glycol in the oxidative acid dissolution of chalcopyrite. Miner. Eng. 2022, 180, 107502. [Google Scholar] [CrossRef]
- Ghomi, M.A.; Mozammel, M.; Moghanni, H.; Shahkar, L. Atmospheric leaching of chalcopyrite in the presence of some polar organic reagents: A comparative study and optimization. Hydrometallurgy 2019, 189, 105120. [Google Scholar] [CrossRef]
- Castillo-Magallanes, N.; Cruz, R.; Lázaro, I. Effect of organic agents on the oxidation process of chalcopyrite in a sulfuric acid solution. Electrochimica Acta 2020, 355, 136789. [Google Scholar] [CrossRef]
- Solís-Marcíal, O.; Lapidus, G. Chalcopyrite leaching in alcoholic acid media. Hydrometallurgy 2014, 147–148, 54–58. [Google Scholar] [CrossRef]
- Solís Marcial, O.J.; Nájera Bastida, A.; Bañuelos, J.E.; Valdés Martínez, O.U.; Luevano, L.A.; Serrano Rosales, B. Chalcopyrite leaching kinetics in the presence of methanol. Int. J. Chem. React. Eng. 2019, 17, 20190081. [Google Scholar] [CrossRef]
- Sokić, M.; Marković, B.; Stanković, S.; Kamberović, Ž.; Štrbac, N.; Manojlović, V.; Petronijević, N. Kinetics of chalcopyrite leaching by hydrogen peroxide in sulfuric acid. Metals 2019, 9, 1173. [Google Scholar] [CrossRef]
- Agacayak, T.; Aras, A.; Aydogan, S.; Erdemoglu, M. Leaching of chalcopyrite concentrate in hydrogen peroxide solution. Physicochem. Probl. Miner. Process. 2014, 50, 657–666. [Google Scholar]
- Olubambi, P.A.; Potgieter, J.H. Investigations on the mechanisms of sulfuric acid leaching of chalcopyrite in the presence of hydrogen peroxide. Miner. Process. Extr. Metall. Rev. 2009, 30, 327–345. [Google Scholar] [CrossRef]
- Turan, M.D.; Sarı, Z.A.; Nizamoğlu, H. Pressure leaching of chalcopyrite with oxalic acid and hydrogen peroxide. J. Taiwan Inst. Chem. Eng. 2021, 118, 112–120. [Google Scholar] [CrossRef]
- Solís-Marcial, O.; Lapidus, G. Study of the dissolution of chalcopyrite in sulfuric acid solutions containing alcohols and organic acids. Electrochimica Acta 2014, 140, 434–437. [Google Scholar] [CrossRef]
- Zhang, Y.; Zhang, B.; Yang, S.; Zhong, Z.; Zhou, H.; Luo, X. Enhancing the leaching effect of an ion-absorbed rare earth ore by ameliorating the seepage effect with sodium dodecyl sulfate surfactant. Int. J. Min. Sci. Technol. 2021, 31, 995–1002. [Google Scholar] [CrossRef]
- Liu, C.; Wang, W.; Yang, F.; Ma, J.; Yang, W.; Wang, T.; Wang, C. The intensified leaching mechanism of phosphorus-potassium associated ore in HCl-CaF2 system with sodium dodecyl sulfate. Chem. Eng. Process. -Process Intensif. 2020, 149, 107847. [Google Scholar] [CrossRef]
- Kolmachikhina, E.B.; Ryzhkova, E.A.; Dmitrieva, D.V. Sodium Lignosulfonate and Sodium Dodecyl-Sulfate Mixtures Influence on Zinc Concentrate Pressure Leaching and Zinc Electro-Winning. Solid State Phenom. 2020, 299, 1121–1127. [Google Scholar] [CrossRef]
- Dou, L.; Yajie, Y.; Dongwei, L.; Liyan, S.; Yangqing, W.; Wei, T.; Zhonghui, X. Effects of sodium dodecyl sulphate on biooxidation of copper mine tailings by Acidithiobacillus ferrooxidans. Res. J. Biotechnol. 2013, 8, 11. [Google Scholar]
- Ai, C.-M.; Sun, P.-P.; Wu, A.-X.; Chen, X.; Liu, C. Accelerating leaching of copper ore with surfactant and the analysis of reaction kinetics. Int. J. Miner. Met. Mater. 2019, 26, 274–281. [Google Scholar] [CrossRef]
- Bordes, R.; Holmberg, K. Amino acid-based surfactants—Do they deserve more attention? Adv. Colloid Interface Sci. 2015, 222, 79–91. [Google Scholar] [CrossRef]
- Chowdhury, S.; Rakshit, A.; Acharjee, A.; Saha, B. Novel amphiphiles and their applications for different purposes with special emphasis on polymeric surfactants. ChemistrySelect 2019, 4, 6978–6995. [Google Scholar] [CrossRef]
- Hornn, V.; Ito, M.; Shimada, H.; Tabelin, C.B.; Jeon, S.; Park, I.; Hiroyoshi, N. Agglomeration–Flotation of finely ground chalcopyrite using emulsified oil stabilized by emulsifiers: Implications for porphyry copper ore flotation. Metals 2020, 10, 912. [Google Scholar] [CrossRef]
- Safari, V.; Arzpeyma, G.; Rashchi, F.; Mostoufi, N. A shrinking particle—Shrinking core model for leaching of a zinc ore containing silica. Int. J. Miner. Process. 2009, 93, 79–83. [Google Scholar] [CrossRef]
- Levenspiel, O. Chemical Reaction Engineering; John Wiley & Sons: New York, NY, USA, 1999; p. 684. [Google Scholar]
- Hidalgo, T.; Kuhar, L.; Beinlich, A.; Putnis, A. Kinetic study of chalcopyrite dissolution with iron(III) chloride in methanesulfonic acid. Miner. Eng. 2018, 125, 66–74. [Google Scholar] [CrossRef]
- Zhao, G.X.; Zhao, M.Y. The Action Principle of Surfactant; China Light Industry Press: Beijing, China, 2003. [Google Scholar]
- Rosen, M.J. Surfactants and Interfacial Phenomena; John Wiley & Sons, Inc.: London, UK, 2012. [Google Scholar]
- Nie, H.-Q.; Hou, W.-G. Vesicle formation induced by layered double hydroxides in the catanionic surfactant solution composed of sodium dodecyl sulfate and dodecyltrimethylammonium bromide. Colloid Polym. Sci. 2011, 289, 775–782. [Google Scholar] [CrossRef]
- Abeidu, A. The separation of cobaltite from chalcopyrite and pyrite. J. Less Common Met. 1976, 46, 327–331. [Google Scholar] [CrossRef]
- Cháidez, J.; Parga, J.; Valenzuela, J.; Carrillo, R.; Almaguer, I. Leaching chalcopyrite concentrate with oxygen and sulfuric acid using a low-pressure reactor. Metals 2019, 9, 189. [Google Scholar] [CrossRef]















Disclaimer/Publisher’s Note: The statements, opinions and data contained in all publications are solely those of the individual author(s) and contributor(s) and not of MDPI and/or the editor(s). MDPI and/or the editor(s) disclaim responsibility for any injury to people or property resulting from any ideas, methods, instructions or products referred to in the content. |
© 2023 by the authors. Licensee MDPI, Basel, Switzerland. This article is an open access article distributed under the terms and conditions of the Creative Commons Attribution (CC BY) license (https://creativecommons.org/licenses/by/4.0/).
Share and Cite
Kenzhaliyev, B.; Ketegenov, T.; Kamunur, K.; Batkal, A.; Nadirov, R. Efficient Copper Recovery from Chalcopyrite Using an «Isopropanol–Sulfuric Acid–Sodium Dodecyl Sulfate» System. Minerals 2023, 13, 1346. https://doi.org/10.3390/min13101346
Kenzhaliyev B, Ketegenov T, Kamunur K, Batkal A, Nadirov R. Efficient Copper Recovery from Chalcopyrite Using an «Isopropanol–Sulfuric Acid–Sodium Dodecyl Sulfate» System. Minerals. 2023; 13(10):1346. https://doi.org/10.3390/min13101346
Chicago/Turabian StyleKenzhaliyev, Bagdaulet, Tlek Ketegenov, Kaster Kamunur, Aisulu Batkal, and Rashid Nadirov. 2023. "Efficient Copper Recovery from Chalcopyrite Using an «Isopropanol–Sulfuric Acid–Sodium Dodecyl Sulfate» System" Minerals 13, no. 10: 1346. https://doi.org/10.3390/min13101346
APA StyleKenzhaliyev, B., Ketegenov, T., Kamunur, K., Batkal, A., & Nadirov, R. (2023). Efficient Copper Recovery from Chalcopyrite Using an «Isopropanol–Sulfuric Acid–Sodium Dodecyl Sulfate» System. Minerals, 13(10), 1346. https://doi.org/10.3390/min13101346

