Age, Genesis and Tectonic Setting of the Sayashk Tin Deposit in the East Junggar Region: Constraints from Lu–Hf Isotopes, Zircon U–Pb and Molybdenite Re–Os Dating
Abstract
1. Introduction
2. Regional Geology

3. Geology of the Ore Deposit
4. Samples and Analytical Procedures
4.1. Samples Descriptions
4.2. Analytical Procedures
5. Results
5.1. Whole-Rock Major and Trace Elements
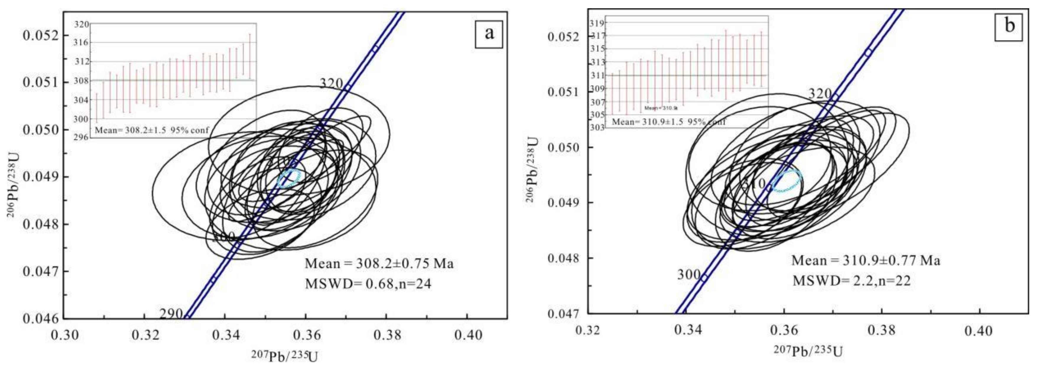
5.2. CL Imaging and U–Pb Geochronology
5.3. Zircon Hf Isotopes
5.4. Molybdenite Re–Os Geochronology
6. Discussion
6.1. Timing of Magmatism and Mineralization in the Sayashk Sn Deposit
6.2. Rock Type, Petrogenesis and Nature of the Magma Source Area at the Sayashk Sn Deposit
6.2.1. Rock Type
6.2.2. Petrogenesis and Nature of the Magma Source Area
6.3. Tectonic Setting and Metallogenic Model
7. Conclusions
- The Sayashk Sn deposit is spatially, temporally, and genetically closely related to the granite porphyry and the medium-fine-grained granite. Both zircon U–Pb ages are 308.2 ± 1.5 Ma and 310.9 ± 1.5 Ma, respectively. The molybdenite isochron age is 301.4 ± 6.7 Ma, which represents the metallogenic age of the Sayashk Sn deposit. All of them formed in the late Carboniferous epoch.
- The medium-fine-grained granites (SR2) and granite porphyry (SR1) are rich in Si, rich alkali, poor Ca, poor Mg, enrichment HFSE (Zr, Hf) and Ce, loss Ba, Sr, Eu, P, Ti, which belongs to typical A-type granite. It shows that the mixed crustal mantle source is derived from the partial melting of juvenile crustal.
- The Sayashk Sn deposit was formed after the late Carboniferous, and the Kalamaili area entered the post-orogenic stage, which was formed from a compressive environment to an extensional environment.
Author Contributions
Funding
Institutional Review Board Statement
Informed Consent Statement
Data Availability Statement
Acknowledgments
Conflicts of Interest
References
- Han, B.; Wang, S.; Jahn, B.M.; Hong, D.; Kagami, H.; Sun, Y. Depleted-mantlesource for the Ulungur Biver A-type granites from Northinjiang, Chine: Geochemistry and Nd-Sr isotoic evidence, and implications for Phanerozoic crustal growth. Chem. Geology 1997, 138, 135–159. [Google Scholar] [CrossRef]
- Tang, H.; Qu, W.; Su, Y.; Hou, G.; Du, A.; Cong, F. Genetic connection of Sareshike tin deposit with the alkaline A-type granites of Sabei body in Xinjiang: Constraint from isotopic ages. Acta Petrol. Sinica. 2007, 8, 1989–1997, (In Chinese with English Abstract). [Google Scholar]
- Yang, F.; Mao, J.; Yan, S. Ore-forming Age and Ore-formation of the Beilekuduke tin deposit in East Junggar, Xinjiang. Geogogical Rev. 2008, 54, 626–641, (In Chinese with English Abstract). [Google Scholar]
- Nie, X.; Liu, J.; Su, D.; Zhang, X. Zircon U−Pb age of the east Qingshui plagiogranite in Kalamaili belt of Xinjiang and its geological implications. Geol. China 2016, 43, 1729–1736, (In Chinese with English Abstract). [Google Scholar]
- Geng, Y.; Liu, Z.; Huang, S.; He, Z. Geochronology and Geochemistry of the Kalamaili Granitic Rocks and Uranium Ore-forming Potential at the Northeastern Margin of Junggar Basin, China. J. Earth Sci. Environ. 2022, 44, 20–41, (In Chinese with English Abstract). [Google Scholar]
- Tang, S.; Chen, Y.; Liu, Y. Isotope dating of the Beerkuduke Tin deposit in the eastren Junggar area. Miner. Petrol. 2006, 26, 71–73, (In Chinese with English Abstract). [Google Scholar]
- Bi, C.; Shen, X.; Xu, Q.; Ming, K.; Sun, H.; Zhang, C. Geological characteristics of Stanniferous granites in the Beilekuduke tin metallogenic belt, Xinjiang. Acta Petrol. Miner. 1993, 12, 213–223, (In Chinese with English Abstract). [Google Scholar]
- Yang, G.; Li, Y.; Si, G.; Wu, H.; Zhang, Y.; Jin, Z. Trace elements geochemistry feature and tectonic significance of the Beilekuduke aluminous A-type granite in east Junggar. J. Earth Sci. Environ. 2010, 32, 34–39, (In Chinese with English Abstract). [Google Scholar]
- Wang, L.; Wang, J.; Wang, Y.; Long, L.; Tang, P. Study on the geology and ore-fluids of the tin deposits in Laoyaquan alkaline granites in eastern Junggar, Xinjiang. Acta Petrol. Sin. 2011, 27, 1483–1492, (In Chinese with English Abstract). [Google Scholar] [CrossRef][Green Version]
- Han, Y.; Tang, H.; Gan, L. Zircon U-Pb ages and geochemical characteristics of the Laoyaquan A-type granites in east Junggar, North Xinjiang, China. Acta Miner. Sin. 2012, 32, 193–199, (In Chinese with English Abstract). [Google Scholar]
- Chen, Y.; Wang, Y.; Wang, J.; Wang, L.; Tang, P.; Shi, Y.; Zhao, L. Greisenized alteration-mineralization geochemistry of the tin deposit related to A-Type granite: Case study on the Kamusite and Ganliangzi deposits, Xinjiang. Earth Sci. 2018, 43, 3154–3168, (In Chinese with English Abstract). [Google Scholar]
- Mao, J.; Zhang, S.; Rossi, P. The tin-granites and their relation to mineralization in Tengchong, Yunnan. Acta Petrol. Sin. 1987, 4, 32–43, (In Chinese with English Abstract). [Google Scholar]
- Schwatt, M.O.; Rajah, S.S.; ASkury, A.K.; Putthapiban, P.; Djaswadi, S. The Southeast Asian tin belt. Earth-Sci. Rev. 1995, 38, 95–293. [Google Scholar]
- Mlynarczyk, N.S.J.; Williams-Jones, A.E. The role of collisional tectonics in the metallogeny of the Central Andean tin belt. Earth Planet. Sci. Lett. 2005, 240, 656–667. [Google Scholar] [CrossRef]
- Lehmann, B. Metallogeny of Tin; Springer: Berlin/Heidelberg, Germany; New York, NY, USA, 1990; pp. 1–211. [Google Scholar]
- Hua, R.; Zhang, W.; Gu, S.; Chen, P. Comparison between REE granite and W-Sn granite in the Nanlingregion, South China, and their mineralizations. Acta Petrol. Sin. 2007, 23, 2321–2328, (In Chinese with English Abstract). [Google Scholar]
- Gonevchuk, V.G.; Gonevchuk, G.A.; Korostelev, P.G.; Semenyak, B.I.; Seltmann, R. Tin deposits of the Sikhote-Alin and adjacent areas (Russian Far East) and their magmatic association. Aust. J. Earth Sci. 2010, 57, 777–802. [Google Scholar] [CrossRef]
- Zhu, X.; Liu, X.; Huang, X.; Jiang, B.; Sun, Y. Characteristics of ore-controlling structures of vein-type Sn polymetallic deposit in the southern area of the Da Hinggan Mountains, Inner Mongolia. Miner. Explor. 2017, 8, 919–926, (In Chinese with English Abstract). [Google Scholar]
- Qiu, Z.; Yan, Q.; Li, S.; Wang, H.; Tong, L.; Zhang, R.; Wei, X.; Li, P.; Wang, L.; Bu, A.; et al. Highly fractionated Early Cretaceous I-type granites and related Sn polymetallic mineralization in the Jinkeng deposit, eastern Guangdong, SE China: Constraints from geochronology, geochemistry, and Hf isotopes. Ore Geol. Rev. 2017, 88, 718–773. [Google Scholar] [CrossRef]
- Heinrich, C.A. The chemistry of hydrothermal tin (-tungsten) ore deposition. Econ. Geol. 1990, 85, 457–481. [Google Scholar] [CrossRef]
- Hua, R.; Chen, P.; Zhang, W.; Liu, X.; Lu, J.; Lin, J.; Yao, J.; Qi, H.; Zhang, Z.; Gu, S. Metallogenic systems related to Mesozoic and Cenozoic granitoids in South China. Sci. China (Ser. D) 2003, 4, 816–829. [Google Scholar] [CrossRef]
- Zhou, Z.; Lv, L.; Yang, Y.; Li, T. Petrogenesis of the Early Cretaceous A type granite in the Huanggang SnFe deposisInner Mongolia: Constraints from zircon U-Pb dating and geochemistry. Acta Petrol. Sin. 2010, 26, 3521–3537, (In Chinese with English Abstract). [Google Scholar]
- Samuel, N.W.P.; Chung, S.L.; Robb, L.J.; Searle, M.P. Petrogenesis of Malaysian Granitoids in the Southeast Asian Tin Belt: Part 1. Geochemical and Sr-Nd Isotopic Characteristics. Geol. Soc. Am. Bull. 2015, 127, 1209–1237. [Google Scholar]
- Romer, R.L.; Kroner, U. Phanerozoic tin and tungsten mineralization: Tectonic controls on the distribution of enriched protoliths and heat sources for crustal melting. Gondwana Res. 2016, 31, 60–95. [Google Scholar] [CrossRef]
- Yao, L.; Lv, Z.; Ye, T.; Pang, Z.; Jia, H.; Zhang, Z.; Wu, Y.; Li, R. Zircon U-Pb age, geochemical and Nd-Hfisotopic characteristics of quartz porphyry in the Baiyinchagan Sn polymetallic deposit, Inner Mongolia, southern Greatingan Range, China. Acta Petrol. Sin. 2017, 33, 3183–3199, (In Chinese with English Abstract). [Google Scholar]
- Li, H.; Myint, A.Z.; Yonezu, K.; Watanabe, K.; Algeo, T.J.; Wu, J.H. Geochemistry and U-Pb geochronology of the Wagone and Hermyingyi A-Type granites, southern Myanmar: Implications for tectonic setting, magma evolution and Sn-W mineralization. Ore Geol. Rev. 2018, 95, 575–592. [Google Scholar] [CrossRef]
- Yuan, S.; Williams, J.A.E.; Romer, R.L.; Zhao, P.; Mao, J. Protholith-related thermal controls on the decoupling of Sn and W in Sn-W metallogenic provinces: Sights from the Nanling Region, China. Econ. Geol. 2019, 114, 1005–1012. [Google Scholar] [CrossRef]
- Sun, H.; Lv, Z.; Han, Z.; Du, Z.; Zhang, X.; Wang, H. Genesis and geological significance of Late Jurassichigh-B ore-bearing A-type granite in the Dayishan tin deposit, Hunan Province. Acta Petrol. Sin. 2021, 37, 1749–1764, (In Chinese with English Abstract). [Google Scholar]
- Lehmann, B. Formation of tin ore deposits: A reassessment. Lithos 2021, 402/403, 105756. [Google Scholar] [CrossRef]
- Lin, J.; Yu, H.; Wu, C.; Su, W.; Guo, J. Zircon SHRIMP U-Pb dating and geological implication of the Sabei Tin ore-deposit from Eastern Junggar of Xinjiang, China. Geol. China 2008, 35, 1197–1205, (In Chinese with English Abstract). [Google Scholar]
- Lin, J.; Yu, H.; Yu, X.; Di, Y.; Tian, J. Zircon SHRIMP U-Pb Dating and geological implication of the Sabei allkall-rich sramite kromEanternJumgear ofinjiang, NW China. Acta Petrol. Sin. 2007, 23, 876–1884, (In Chinese with English Abstract). [Google Scholar]
- Yu, H.; Xia, B.; Liu, J.; Wu, G. Collisional orogenesis and granitoids and related metallogenic series from eastern Junggar. J. Guilin Inst. Technol. 2000, 3, 213–219, (In Chinese with English Abstract). [Google Scholar]
- Yu, H.; Xia, B.; Liu, J.; Wu, G. Crustobody tectonic evolution and tectonic—Genetic types of granitoids in eastern Junggar, Xinjiang, China. J. Guilin Inst. Technol. 2001, 3, 213–219, (In Chinese with English Abstract). [Google Scholar]
- Zhang, Y.; Zhu, M.; Tian, H.; Ming, K.; Liu, X.; Shen, X.; Ma, W. Geology of East Junggar and Research on Gold and Tin Minerals; Beijing Earthquake Press: Beijing, China, 1992; pp. 162–175. (In Chinese) [Google Scholar]
- Şengör, A.M.C.; Natal’in, B.A. Turkic-type orogenyand its role in the making of the continental crust. Annu. Rev. Earth Planet Sci. 1996, 4, 263–337. [Google Scholar] [CrossRef]
- Wu, C.; Zhang, Z.; Zaw, R.; Dela-Pasque, I.; Tang, J.; Zheng, Y.; Wang, C.; San, J. Geochronology, geochemistry and tectonic significances of the Hongyuntan granitoids in the Qoltag area, Eastern Tianshan. Acta Petrol. Sin. 2006, 22, 1121–1134, (In Chinese with English Abstract). [Google Scholar]
- Xiao, W.; Zhao, G. Tectonicsand metallogeny of the orogenic collagesin Centraland East Asid: Preface. Gondwana Res. 2017, 43, 1–3. [Google Scholar] [CrossRef]
- Zhang, X.; Fan, W.; Li, Z.; Chen, Z.; Chen, J. The discovery of asuperlarge magmatic graphite deposit in Huangyangshan area, Qitai County, Xinjiang. China Geol. 2017, 44, 1033–1034, (In Chinese with English Abstract). [Google Scholar]
- Sun, X.; Ren, Y.; Sun, Z.; Wang, C.; Li, Z. Geochronology and geochemical properties of the large-scale graphite mineralization associated with the Huangyangshan alkaline pluton, Eastern Junggar, Xinjiang, NW China. Geochemistry 2021, 81, 125820. [Google Scholar] [CrossRef]
- Sun, X.; Ren, Y.; Sun, Z.; Li, Z.; Wang, C. Characteristics, ore sources and genesis of Huangyangshan graphite deposit in Qitai County, Xinjiang. Acta Petrol. Sin. 2021, 37, 1867–1882, (In Chinese with English Abstract). [Google Scholar]
- Chen, F.; Li, H.; Cai, H.; Liu, H.; Chang, H. Chronology and origin of the Ganliangzi tin orefield, Xinjiang. Miner. Depos. 1990, 18, 91–97, (In Chinese with English Abstract). [Google Scholar]
- Xu, Q.; Zhao, L.; Niu, B.; Zheng, R.; Yang, Y.; Liu, J. Early Paleozoic arc magmatism in the Kalamaili orogenic belt, Northern Xinjiang, NW China: Implications for the tectonic evolution of the East Junggar terrane. J. Asian Earth Sci. 2020, 194, 104072. [Google Scholar] [CrossRef]
- Song, H.; Zhu, G.; Gu, C.; Zhai, M. Orogeny-related activities of Kalamaili fault zone and their indications to the orogenic processes. Geol. Rev. 2015, 61, 79–94, (In Chinese with English Abstract). [Google Scholar]
- Chen, Y.; Wang, Y.; Wang, J.; Ding, R.; Yuan, Y.; Shi, Y. Zircon U-Pb Age, Geochemistry and Geological Implication of the 255 Ma Alkali-Rich Dykes from Ulungur Area, North Xinjiang. J. Earth Sci. 2013, 24, 519–528. [Google Scholar] [CrossRef]
- Liu, Y.; Hu, Z.; Gao, S.; Günther, D.; Xu, J.; Gao, C.; Chen, H. Insitu analysis of major and trace elements of anhydrous minerals by LA-ICP-MS without applying an internal standard. Chem Geol. 2008, 257, 34–43. [Google Scholar] [CrossRef]
- Liu, Y.; Hu, Z.; Zong, K.; Gao, C.; Gao, S.; Xu, J.; Chen, H. Reappraisement and refinement of zircon U-Pb isotope and trace element analyses by LA-ICP-MS. Chin. Sci. Bull. 2010, 55, 1535–1546. [Google Scholar] [CrossRef]
- Ludwig, K.R. User’s Manual for Isoplot 3.6: A Geochronological Toolkit for Microsoft Excel; Berkeley Geochronology Center: Berkeley CA, USA, 2003; Volume 4, pp. 1–71. [Google Scholar]
- Andersen, T. Correction of common Pb in U–Pb analyses that do not report 204Pb. Chem. Geol. 2002, 192, 59–79. [Google Scholar] [CrossRef]
- Wu, F.Y.; Yang, Y.H.; Xie, L.W.; Yang, J.H.; Xu, P. Hf isotopic compositions of the standard zircons and baddeleyites used in U–Pb geochronology. Chem. Geol. 2006, 234, 105–126. [Google Scholar] [CrossRef]
- Chu, N.C.; Taylor, R.N.; Chavagnac, V.; Nesbitt, R.W.; Boella, R.M.; Milton, J.A.; Germain, C.R.; Bayon, G.; Burton, K. Hf isotope ratio analysis using multi-collector inductively coupled plasma mass spectrometry: An evaluation of isobaric interference corrections. J. Anal. At. Spectrom. 2002, 17, 1567–1574. [Google Scholar] [CrossRef]
- Blichert-Toft, J.; Albarede, F. The Lu–Hf geochemistry of chondrites and the evolution of the mantle–crust system. Earth Planet. Sci. Lett. 1997, 148, 243–258. [Google Scholar] [CrossRef]
- Griffin, W.L.; Pearson, N.J.; Belousova, E.; Jackson, S.E.; Van Achterbergh, E.; O’Reilly, S.Y.; Shee, S.R. The Hf isotope composition of cratonic mantle: LAM-MC-ICPMS analysis of zircon megacrysts in kimberlites. Geochim. Cosmochim. Acta. 2000, 64, 133–147. [Google Scholar] [CrossRef]
- Shirey, S.B.; Walker, R.J. Carius tube digestion for low-blank rhenium-osmium analysis. Anal. Chem. 1995, 67, 2136–2141. [Google Scholar] [CrossRef]
- Stein, H.J.; Markey, R.J.; Morgan, M.J.; Du, A.D.; Sun, Y. Highly precise and accurate Re–Os ages for molybdenite from the East Qinling-Dabie molybdenum belt, Shaanxi province, China. Econ. Geol. 1997, 92, 827–835. [Google Scholar] [CrossRef]
- Du, A.; Wu, S.; Sun, D.; Wang, S.; Qu, W.; Markey, R.; Stein, H.; Morgan, J.; Malinovskiy, D. Preparation and certification of Re–Os dating reference materials: Molybdenite HLP and JDC. Geostand. Geoanalytical Res. 2004, 28, 41–52. [Google Scholar] [CrossRef]
- Xie, G.; Mao, J.; Li, R.; Qü, W.; Pirajno, F.; Du, A. Re–Os molybdenite and Ar–Ar phlogopite dating of Cu–Fe–Au–Mo (W) deposits in southeastern Hubei, China. Miner. Petrol. 2007, 90, 249–270. [Google Scholar] [CrossRef]
- Mao, J.; Zhang, Z.; Zhang, Z.; Du, A. Re-Os isotopic dating ofmolybdenite in the Xiaoliugou W(Mo) deposit in the northern QilianMountain and its geological significance. Geochim. Cosmochim. Acta 1999, 63, 1815–1818. [Google Scholar]
- Tao, W.; Guo, L.; Zhou, N.; Li, Y.; Wang, X.; Chen, T.; Bai, J. Zircon U-Pb ages, geochemical characterisitics of the Basikegranodiorite in East Junggar and their tectonic ignificance. Geol. Rev. 2002, 68, 488–506, (In Chinese with English Abstract). [Google Scholar]
- Zhang, Z.; Yan, S.; Chen, B.; Zhou, G.; He, Y.; Chai, F.; He, L.; Wan, Y. SHRIMP U-Pb zircon dating of subducted granites in the northern East Junggar, Xinjiang. Chin. Sci. Bull. 2006, 51, 1565–1574. (In Chinese) [Google Scholar]
- Claesson, S. Isotopic evidence for the Precambrian provenance and Caledonian metamorphism of high grade paragneisses from the Seve Nappes, Scandinavian Caledonides. Contrib. Miner. Pet. 1987, 97, 196–204. [Google Scholar]
- Liu, Q.; Li, H.; Shao, Y.; Girei, M.; Jiang, W.; Yuan, H.; Zhang, X. Age, genesis, and tectonic setting of the Qiushuwan Cu-Mo deposit in East Qinling (Central China): Constraints from Sr-Nd-Hf isotopes, zircon U-Pb and molybdenite Re-Os dating. Ore Geol. Rev. 2021, 132, 103998. [Google Scholar]
- Koschek, G. Origin and significance of the SEM cathodoluminescence from zircon. J. Microsc. 1993, 171, 223–232. [Google Scholar]
- Hoskin, P.W.O.; Schaltegger, U. The composition of zircon and igneous and metamorphic petrogenesis. Rev. Miner. Geochem. 2003, 53, 27–62. [Google Scholar]
- Sun, J.; Zhang, J.; Yang, J.; Yang, Y.; Chen, S. Tracing Magma Mixing and Crystal-Melt Segregation in the Genesis of Syenite with Mafic Enclaves: Evidence from in Situ Zircon Hf-O and Apatite Sr-Nd Isotopes. Lithos 2019, 334/335, 42–57. [Google Scholar] [CrossRef]
- Liu, J.; Yuan, K. A discussion on the genesis and tectonic setting of alkali granites in the Ulunngur alkali-rich granite belt, Xinjiang. Geol. J. China Univ. 1996, 2, 257–272, (In Chinese with English Abstract). [Google Scholar]
- Xiao, X.; Tang, Y.; Feng, Y.; Zhu, B.; Li, J.; Zhao, M. Tectonic evolution of Northern Xinjiang and its Adjacent Areas; Beijing Geological Press: Beijing, China, 1992; Volume 11, pp. 1–169. (In Chinese) [Google Scholar]
- Han, B.; Ji, J.; Song, B.; Chen, L.; Zhang, L. Late Paleozoic vertical growth of continental crust around theJunggar Basin, Xinjiang, China (Part I): Timing of post-collisional plutonism. Acta Petrol. Sin. 2006, 22, 1077–1086, (In Chinese with English Abstract). [Google Scholar]
- Bai, J.; Chen, J.; Peng, S. Geochronology and geochemistry of ore-bearing intrusions from Huangyangshan magmatic hydrothermal graphite deposit in Qitai County, Xinjiang. Acta Petrol. Sin. 2018, 34, 2327–2340, (In Chinese with English Abstract). [Google Scholar]
- Ai, J.; Lu, X.; Li, Z.; Wu, Y. Genesis of the graphite orbicules in the Huangyangshan graphite deposit, Xinjiang, China: Evidence from geochemical, isotopic and fluid inclusion data. Ore Geol. Rev. 2020, 122, 103505. [Google Scholar] [CrossRef]
- Gan, L.; Tang, H.; Han, Y. Geochronology and geochemical characteristics of the Yemaquan granitic pluton in East Junggar, Xinjiang. Acta Petrol. Sin. 2010, 26, 2374–2388, (In Chinese with English Abstract). [Google Scholar]
- Hu, W. Geochemical characteristics and geological significance of late Carboniferous granites from the Laoyaquan in eastern Junggar, Xinjiang. J. Lanzhou Univ. Nat. Sci. 2016, 52, 287–294, (In Chinese with English Abstract). [Google Scholar]
- Li, Y.; Yang, F.; Zhao, C.; Zhang, Y.; Yan, S.; Dai, J.; Xu, L. SHRIMP U-Pb zircon dating of the Beilekuduk pluton in Xinjiang and its geological implications. Acta Petrol. Sin. 2007, 23, 2483–2492, (In Chinese with English Abstract). [Google Scholar]
- Nie, X. Carboniferous Granitic Magma Activity and Gold Mineralization in the Kalamaily Region, Northern Xinjiang. Ph.D. Thesis, China University of Geosciences, Beijing, China, 2017. (In Chinese with English Abstract). [Google Scholar]
- Su, Y.; Yang, H.; Liu, C.; Hou, G.; Liang, L. The determination and a preliminary study of Sujiquan aluminous A-type granites in East Junggar, Xinjiang. Acta Petrol. Miner. 2006, 25, 175–184, (In Chinese with English Abstract). [Google Scholar]
- Su, Y.; Tang, H.; Cong, F. Zircon U-Pb age and petrogenesis of the Huangyangshan alkaline granite body in East Junggar, Xinjiang. Acta Miner. 2008, 2, 117–126, (In Chinese with English Abstract). [Google Scholar]
- Hong, T.; Hollings, P.; Gao, J.; Xu, X.; Mao, Q. Mineralization and petrogenesis of the qiongheba porphyry copper deposit in mengxi district, east Junggar, China. Ore Geol. Rev. 2020, 127, 103848. [Google Scholar] [CrossRef]
- Tong, Y.; Wang, T.; Hong, D.; Han, B.; Zhang, J.; Shi, X.; Wang, C. Spatial and temporal distribution of the Carboniferous-Permian granitoidsin northern Xinjiang and its adjacent areas, and its tectonic significance. Acta Petrol. Miner. 2020, 29, 619–641, (In Chinese with English Abstract). [Google Scholar]
- Zhang, Z.; Xiong, S.; Fan, X. Zircon U-Pb dating, geochemistry and geological significance of synorogenic-granit in Mutanyao area, eastern Junggar. Geol. Rev. 2021, 67, 231–241. [Google Scholar]
- Xu, B.; Lu, Y.; Gu, X.; Zhang, W. Metallogenic epoch of the Shuangquan gold deposit in Qitai area, Xinjiang, China. Geol. Bull. China 2009, 28, 1871–1884, (In Chinese with English Abstract). [Google Scholar]
- Lu, Y.; Zhang, D.; Fan, J.; Zhang, Y.; Zhang, W.; Zhao, J.; Ma, C.; Yang, D. Spatial-temporal coupling of rock-forming and ore-forming processes andtectonic evolution in eastern Junggar Basin, Xinjiang. Miner. Depos. 2008, 27, 33–41, (In Chinese with English Abstract). [Google Scholar]
- Zhang, D.; Lu, Y.; Guo, X.; Fan, J.; Pan, A.; Zhang, Y.; Chao, Y. Au (Cu) mineralization associated with ductile-brittle shear zone in east Junggar area: Conversion of structural deformation, metallogenic time and geodynamics background. Gold 2011, 3, 8–15, (In Chinese with English Abstract). [Google Scholar]
- Lu, Y.; Zhang, Y.; Pan, M.; Liu, Y.; Xu, B.; Chao, Y.; Zhang, D.; Fan, J.; Chen, X.; Pan, A. Zircon U-Pb Dating of Ore-Bearing Granite-Porphyry Vein in Western Huangyangshan Gold Deposit, Eastern Junggar and Its Geological Significance. J. Jilin Univ. (Earth Sci. Ed.) 2010, 40, 852–858, (In Chinese with English Abstract). [Google Scholar]
- Tang, H.; Su, Y.; Qiu, H.; Han, Y. “40Ar-39Ar” age of tin mineralization in the Beilekuduk tin metallogenic belt, East Junggar, Xinjiang (NW China). Acta Petrol. Sin. 2009, 25, 1303–1309, (In Chinese with English Abstract). [Google Scholar]
- Huang, G.; Niu, G.; Wang, X.; Guo, J.; Yu, F. The early Silurian arc magmatic rocks of East Junggar, Xinjiang: Evidences from geochemistry, zircon U-Pb age and Hf isotopes of the Jianggeerkuduke quartz monzobiorite. Geoscience 2016, 30, 1219–1223, (In Chinese with English Abstract). [Google Scholar]
- Wu, F.; Li, X.; Yang, J.; Zheng, Y. Discussions on the petrogenesis of granites. Acta Petrol. Sin. 2007, 23, 1217–1238, (In Chinese with English Abstract). [Google Scholar]
- Whalen, J.B.; Currie, K.L.; Chappell, B.W. A-type granites: Geochemical characteristics, discrimination and petrogenesis. Contrib. Miner. Petrol. 1987, 95, 407–419. [Google Scholar] [CrossRef]
- Chappell, B.W.; White, A.J.R. Two contrasting granite types: 25 years later. Aust. J. Earth Sci. 2001, 48, 489–500. [Google Scholar] [CrossRef]
- Eby, G.N. Chemical subdivision of the A-type granitoids: Petrogenetic and tectonic implication. Geology 1992, 20, 641–644. [Google Scholar] [CrossRef]
- Pearce, J.A.; Harris, N.B.W.; Tindle, A.G. Trace element discrimination diagrams for the tectonic interpretation of granitic rocks. J. Petrol. 1984, 25, 956–983. [Google Scholar] [CrossRef]
- Yang, J.; Wu, F.; Chung, S.; Simon, A.; Chu, M. A Hybrid Origin for the Qianshan A-Type Granite, Northeast China: Geochemical and Sr-Nd-Hf Isotopic Evidence. Lithos 2006, 89, 89–106. [Google Scholar] [CrossRef]
- Collins, W.J.; Beams, S.D.; White, A.J.R.; Chappell, B.W. Nature and Origin of A-Type Granites with Particular Reference to Southeastern Australia. Contrib. Miner. Petrol. 1982, 80, 189–200. [Google Scholar] [CrossRef]
- Guo, F.; Jiang, C.; Lu, R.; Xia, Z.; Ling, J.; Guo, N. Petrogenesis of the Huangyangshan alkali granites in Kalamaili area northern Xinjiang. Acta Petrol. Sin. 2010, 26, 2357–2373, (In Chinese with English Abstract). [Google Scholar]
- Sun, S.S.; McDonough, W.F. Chemical and isotopic systematics of oceanic basalts: Implications for mantle composition and processes. Geol. Soc. Lond. Spec. Publ. 1989, 42, 313–345. [Google Scholar] [CrossRef]
- Green, T.H.; Pearson, N.J. An experimental study of Nb and Ta par-titioning between Ti-rich minerals and silicate liquids at high pressure andtemperature. Geochim. Cosmochim. Acta 1987, 51, 55–62. [Google Scholar] [CrossRef]
- Amelin, Y.; Lee, D.C.; Halliday, A.N.; Pidgeon, R.T. Nature of the Earth’s earliest crust from hafnium isotopes in singledetrital zircons. Nature 1999, 399, 252–255. [Google Scholar] [CrossRef]
- Belousova, E.A.; Griffin, W.L.; O’Reilly, S.Y.; Fisher, N.I. Igneous zircon: Trace element composition as an indicator of source rock type. Contrib. Miner. Petrol. 2002, 143, 602–622. [Google Scholar] [CrossRef]
- Hong, D.; Wang, S.; Xie, X.; Zhang, J. Genesis of positive εHf(t) granitoids in the Dahinggan MTS.-Mongolia orogenic belt and growth continental crust. Earth Sci. Front. Oniversity Ceasci. 2000, 2, 441–456, (In Chinese with English Abstract). [Google Scholar]
- Zhao, H.; Liao, Q.; Xiao, D.; Luo, T.; Wang, L.; Yin, T.; Liu, H. Discovery of the Early Silurian alkali basalt andits geological implications in northeastern Junggar, NW China. Acta Petrol. Sin. 2018, 34, 586–600, (In Chinese with English Abstract). [Google Scholar]
- Yang, S.; Liu, G.; Jin, L.; Zheng, H.; Wang, S. Dating and reconstruction of protoliths of the Laojunmiao Group and its indications for basement in eastern Junggar, Xinjiang. Geol. Bull. China 2020, 39, 7–17, (In Chinese with English Abstract). [Google Scholar]
- Wang, Y. Late Palaeozoic Tectonic Evolution of Kalamaili in Eestern Junggar, Xinjiang: Evidences from Isotopic Chronology and Geochemistry. Master’s Thesis, Lanzhou University, Lanzhou, China, 2015. (In Chinese with English Abstract). [Google Scholar]
- Chen, W.; Guo, G.; Miao, X.; Wang, J.; Hu, W.; Zhao, B.; Fan, L. Geochemical characteristics and tectonic significance of early carboniferous volcanic rocks of Ralamaili, Xinjiang. Adv. Earth Sci. 2016, 31, 180–191, (In Chinese with English Abstract). [Google Scholar]
- Luo, T.; Chen, S.; Liao, Q.; Chen, J.; Hu, Z.; Wang, F.; Tian, J.; Wu, W. Geochronology, geochemistry and geological significance of the Late Carboniferous Bimodal volcanic rocks in the Eastern Junggar. Earth Sci. 2016, 41, 1845–1862, (In Chinese with English Abstract). [Google Scholar]
- Pearce, J.A. Source and settings of granitic rocks. Episodes 1996, 19, 120–125. [Google Scholar] [CrossRef]
- Maniar, P.D.; Piccoli, P.M. Tectonic discrimination of granitoids. Geol. Soc. Am. Bull. 1989, 101, 635–643. [Google Scholar] [CrossRef]
- Li, L. Late Neoproterozoic and Paleozoic tectonic framework and evolution of eastern Xinjiang, China. Geol. Rev. 2004, 50, 304–322, (In Chinese with English Abstract). [Google Scholar]
- Li, Y.; Li, J.; Sun, G.; Zhu, Z.; Song, B. Determination of the Early Devonian granite in East Junggar, Xinjiang, China and its geological implications. Geol. Bull. China 2009, 28, 1885–1893, (In Chinese with English Abstract). [Google Scholar]













| Sample | SR-1-1 | SR-1-2 | SR-1-3 | SR-1-4 | SR-1-5 | SR-2-1 | SR-2-2 | SR-2-3 | SR-2-4 | SR-2-5 |
|---|---|---|---|---|---|---|---|---|---|---|
| SiO2 | 71.88 | 71.26 | 72.49 | 73.57 | 72.16 | 79.01 | 78.77 | 78.16 | 79.23 | 78.09 |
| TiO2 | 0.29 | 0.31 | 0.26 | 0.23 | 0.29 | 0.08 | 0.07 | 0.10 | 0.08 | 0.06 |
| Al2O3 | 13.32 | 13.49 | 13.33 | 12.91 | 13.31 | 11.07 | 11.02 | 11.26 | 10.77 | 11.37 |
| TFe2O3 | 3.05 | 3.15 | 2.85 | 2.71 | 3.12 | 1.20 | 1.23 | 1.42 | 1.27 | 1.12 |
| CaO | 0.85 | 0.89 | 0.80 | 0.71 | 0.84 | 0.18 | 0.19 | 0.20 | 0.20 | 0.31 |
| MgO | 0.23 | 0.23 | 0.20 | 0.21 | 0.23 | 0.07 | 0.08 | 0.08 | 0.07 | 0.07 |
| MnO | 0.06 | 0.06 | 0.07 | 0.03 | 0.04 | 0.02 | 0.02 | 0.02 | 0.02 | 0.01 |
| K2O | 4.94 | 5.04 | 5.12 | 4.62 | 5.16 | 4.78 | 4.06 | 4.58 | 4.17 | 4.30 |
| Na2O | 4.67 | 4.70 | 4.56 | 4.73 | 4.47 | 3.54 | 3.99 | 3.89 | 3.80 | 4.14 |
| P2O5 | 0.07 | 0.07 | 0.06 | 0.06 | 0.07 | 0.03 | 0.03 | 0.03 | 0.03 | 0.03 |
| LOI | 0.35 | 0.35 | 0.30 | 0.34 | 0.38 | 0.29 | 0.21 | 0.25 | 0.16 | 0.30 |
| Total | 99.70 | 99.55 | 100.05 | 100.13 | 100.07 | 100.24 | 99.67 | 99.99 | 99.78 | 99.80 |
| AR | 4.87 | 4.78 | 4.65 | 5.55 | 4.43 | 4.40 | 5.92 | 5.24 | 5.50 | 5.87 |
| A/CNK | 0.91 | 0.91 | 0.92 | 0.92 | 0.92 | 0.98 | 0.97 | 0.96 | 0.97 | 0.94 |
| A/NK | 1.02 | 1.02 | 1.02 | 1.01 | 1.03 | 1.01 | 1.01 | 0.99 | 1.00 | 0.99 |
| Rb | 199.19 | 190.78 | 212.20 | 187.24 | 218.03 | 200.28 | 170.64 | 184.36 | 179.84 | 157.69 |
| Sr | 59.70 | 56.35 | 59.55 | 51.46 | 52.62 | 10.17 | 6.52 | 6.20 | 7.30 | 6.10 |
| Y | 68.23 | 69.28 | 73.89 | 67.67 | 72.76 | 52.65 | 51.24 | 56.58 | 52.67 | 58.56 |
| Zr | 633.83 | 654.34 | 671.58 | 612.52 | 625.19 | 293.81 | 315.98 | 280.93 | 312.97 | 289.08 |
| Nb | 14.87 | 14.11 | 14.99 | 15.66 | 14.55 | 11.92 | 12.10 | 15.16 | 12.26 | 14.03 |
| Cd | 0.60 | 0.61 | 0.64 | 0.48 | 0.73 | 0.53 | 0.38 | 0.50 | 0.35 | 0.39 |
| In | 0.17 | 0.17 | 0.17 | 0.17 | 0.18 | 0.15 | 0.15 | 0.15 | 0.14 | 0.11 |
| Cs | 11.14 | 11.12 | 11.51 | 10.00 | 15.15 | 5.88 | 5.98 | 5.27 | 8.90 | 2.98 |
| Ba | 494.93 | 508.19 | 472.93 | 361.18 | 508.23 | 34.19 | 23.57 | 19.77 | 24.70 | 15.55 |
| La | 39.92 | 43.78 | 51.17 | 26.16 | 43.65 | 36.73 | 37.16 | 35.14 | 39.20 | 32.03 |
| Ce | 84.06 | 100.94 | 108.03 | 56.62 | 100.63 | 74.06 | 72.56 | 71.96 | 71.17 | 69.23 |
| Pr | 10.66 | 12.13 | 13.62 | 7.82 | 12.39 | 9.57 | 9.81 | 9.21 | 10.48 | 8.49 |
| Nd | 45.14 | 51.43 | 56.18 | 32.74 | 52.16 | 38.94 | 40.15 | 37.89 | 42.35 | 33.98 |
| Sm | 11.79 | 12.66 | 13.63 | 9.69 | 12.75 | 10.19 | 10.53 | 10.23 | 10.65 | 9.65 |
| Eu | 0.54 | 0.58 | 0.54 | 0.36 | 0.56 | 0.01 | 0.00 | 0.00 | 0.00 | 0.01 |
| Gd | 12.23 | 12.95 | 13.89 | 10.16 | 13.09 | 10.09 | 9.97 | 9.71 | 9.77 | 9.67 |
| Tb | 2.07 | 2.18 | 2.26 | 1.92 | 2.16 | 1.69 | 1.69 | 1.73 | 1.63 | 1.75 |
| Dy | 12.99 | 12.87 | 13.73 | 12.19 | 13.21 | 9.94 | 9.96 | 10.62 | 9.96 | 10.75 |
| Ho | 2.78 | 2.78 | 2.92 | 2.75 | 2.78 | 2.12 | 2.16 | 2.35 | 2.20 | 2.37 |
| Er | 7.85 | 7.66 | 8.17 | 7.92 | 7.83 | 5.95 | 6.15 | 6.66 | 6.26 | 6.73 |
| Tm | 1.08 | 1.03 | 1.16 | 1.12 | 1.06 | 0.78 | 0.84 | 0.91 | 0.85 | 0.92 |
| Yb | 7.71 | 7.28 | 7.68 | 8.15 | 7.38 | 5.14 | 5.78 | 6.36 | 5.77 | 6.05 |
| Lu | 1.09 | 1.07 | 1.15 | 1.17 | 1.07 | 0.74 | 0.85 | 0.86 | 0.83 | 0.84 |
| Hf | 18.32 | 18.07 | 19.09 | 18.28 | 17.34 | 10.78 | 11.49 | 10.73 | 10.21 | 10.58 |
| Ta | 1.18 | 1.12 | 1.07 | 1.11 | 1.07 | 0.89 | 0.89 | 1.02 | 0.84 | 0.92 |
| Tl | 0.67 | 0.64 | 0.69 | 0.64 | 0.68 | 0.56 | 0.45 | 0.46 | 0.52 | 0.49 |
| Th | 10.74 | 9.93 | 11.23 | 11.40 | 10.23 | 11.76 | 12.01 | 12.17 | 11.87 | 12.23 |
| U | 3.97 | 3.55 | 4.11 | 4.22 | 3.36 | 3.87 | 3.80 | 5.15 | 3.19 | 3.36 |
| ΣREE | 239.91 | 269.34 | 294.13 | 178.77 | 270.72 | 205.95 | 207.61 | 203.63 | 211.12 | 192.48 |
| LREE | 192.11 | 221.52 | 243.17 | 133.39 | 222.14 | 169.50 | 170.21 | 164.43 | 173.85 | 153.39 |
| HREE | 47.80 | 47.82 | 50.96 | 45.38 | 48.58 | 36.45 | 37.40 | 39.20 | 37.27 | 39.08 |
| LREE/HREE | 4.02 | 4.63 | 4.77 | 2.94 | 4.57 | 4.65 | 4.55 | 4.19 | 4.66 | 3.92 |
| (La/YbN) | 3.71 | 4.31 | 4.78 | 2.30 | 4.24 | 5.13 | 4.61 | 3.96 | 4.87 | 3.80 |
| Nb/Ta | 38.25 | 45.79 | 52.51 | 29.37 | 48.75 | 43.77 | 45.01 | 37.08 | 50.13 | 15.26 |
| Zr/Hf | 34.59 | 36.2 | 35.19 | 33.51 | 36.05 | 27.25 | 27.51 | 26.18 | 30.65 | 27.32 |
| δEu | 0.14 | 0.14 | 0.12 | 0.11 | 0.13 | 0.0029 | 0.98 | 0.99 | 0.98 | 0.0021 |
| Analysis Point | U (ppm) | Th (ppm) | Th/U | Isotopic Ratios | Ages (Ma) | ||||||||||
|---|---|---|---|---|---|---|---|---|---|---|---|---|---|---|---|
| 207Pb/206Pb | 1σ | 207Pb/235U | 1σ | 206Pb/238U | 1σ | 207Pb/206Pb | 1σ | 207Pb/235U | 1σ | 206Pb/238U | 1σ | ||||
| SR-2-01 | 344 | 140 | 0.41 | 0.0532 | 0.0012 | 0.3619 | 0.0072 | 0.0495 | 0.0005 | 335.30 | 49.49 | 313.66 | 5.39 | 311.74 | 2.82 |
| SR-2-03 | 380 | 150 | 0.40 | 0.0532 | 0.0013 | 0.3614 | 0.0090 | 0.0493 | 0.0005 | 336.80 | 56.31 | 313.23 | 6.70 | 310.27 | 3.32 |
| SR-2-04 | 380 | 141 | 0.37 | 0.0541 | 0.0013 | 0.3711 | 0.0096 | 0.0497 | 0.0006 | 376.94 | 54.88 | 320.48 | 7.09 | 312.45 | 3.86 |
| SR-2-05 | 348 | 148 | 0.43 | 0.0532 | 0.0014 | 0.3663 | 0.0109 | 0.0497 | 0.0007 | 338.24 | 58.49 | 316.91 | 8.13 | 312.68 | 4.16 |
| SR-2-06 | 342 | 136 | 0.40 | 0.0526 | 0.0016 | 0.3578 | 0.0109 | 0.0493 | 0.0007 | 312.45 | 69.24 | 310.54 | 8.18 | 310.10 | 4.53 |
| SR-2-09 | 306 | 118 | 0.39 | 0.0521 | 0.0011 | 0.3515 | 0.0080 | 0.0490 | 0.0005 | 291.54 | 48.94 | 305.85 | 6.00 | 308.17 | 3.07 |
| SR-2-11 | 389 | 163 | 0.42 | 0.0535 | 0.0015 | 0.3628 | 0.0104 | 0.0491 | 0.0006 | 351.79 | 63.11 | 314.27 | 7.77 | 309.26 | 3.48 |
| SR-2-12 | 399 | 145 | 0.36 | 0.0527 | 0.0016 | 0.3624 | 0.0114 | 0.0498 | 0.0007 | 314.04 | 68.20 | 313.98 | 8.49 | 313.40 | 4.13 |
| SR-2-13 | 386 | 192 | 0.50 | 0.0526 | 0.0010 | 0.3588 | 0.0076 | 0.0493 | 0.0005 | 312.55 | 43.41 | 311.31 | 5.69 | 310.35 | 3.05 |
| SR-2-14 | 410 | 171 | 0.42 | 0.0534 | 0.0013 | 0.3631 | 0.0091 | 0.0493 | 0.0007 | 347.15 | 54.79 | 314.56 | 6.75 | 310.42 | 3.99 |
| SR-2-15 | 361 | 163 | 0.45 | 0.0529 | 0.0012 | 0.3599 | 0.0086 | 0.0493 | 0.0005 | 324.27 | 50.07 | 312.17 | 6.43 | 309.99 | 3.18 |
| SR-2-16 | 293 | 99 | 0.34 | 0.0525 | 0.0013 | 0.3559 | 0.0093 | 0.0492 | 0.0007 | 305.60 | 55.43 | 309.16 | 6.93 | 309.39 | 4.05 |
| SR-2-17 | 321 | 140 | 0.44 | 0.0526 | 0.0013 | 0.3622 | 0.0088 | 0.0497 | 0.0007 | 310.68 | 58.43 | 313.87 | 6.55 | 312.92 | 4.28 |
| SR-2-19 | 690 | 365 | 0.53 | 0.0526 | 0.0010 | 0.3632 | 0.0073 | 0.0495 | 0.0006 | 313.47 | 43.87 | 314.61 | 5.41 | 311.75 | 3.91 |
| SR-2-20 | 274 | 130 | 0.47 | 0.0519 | 0.0012 | 0.3521 | 0.0078 | 0.0490 | 0.0005 | 282.03 | 50.84 | 306.27 | 5.88 | 308.62 | 3.06 |
| SR-2-23 | 362 | 156 | 0.43 | 0.0519 | 0.0019 | 0.3566 | 0.0109 | 0.0497 | 0.0008 | 279.92 | 82.48 | 309.64 | 8.19 | 312.56 | 5.20 |
| SR-2-24 | 662 | 292 | 0.44 | 0.0532 | 0.0014 | 0.3651 | 0.0103 | 0.0496 | 0.0007 | 336.08 | 58.20 | 316.04 | 7.67 | 312.09 | 4.30 |
| SR-2-25 | 331 | 138 | 0.42 | 0.0533 | 0.0011 | 0.3652 | 0.0077 | 0.0496 | 0.0005 | 340.20 | 45.72 | 316.10 | 5.71 | 312.00 | 3.16 |
| SR-2-26 | 337 | 136 | 0.40 | 0.0528 | 0.0014 | 0.3632 | 0.0100 | 0.0498 | 0.0005 | 321.75 | 59.55 | 314.57 | 7.45 | 313.06 | 3.26 |
| SR-2-27 | 373 | 141 | 0.38 | 0.0518 | 0.0015 | 0.3551 | 0.0096 | 0.0498 | 0.0006 | 277.32 | 67.20 | 308.56 | 7.18 | 313.25 | 3.80 |
| SR-2-28 | 431 | 193 | 0.45 | 0.0528 | 0.0011 | 0.3584 | 0.0082 | 0.0491 | 0.0006 | 320.75 | 49.17 | 311.01 | 6.11 | 309.00 | 3.97 |
| SR-2-29 | 425 | 173 | 0.41 | 0.0526 | 0.0017 | 0.3578 | 0.0116 | 0.0493 | 0.0006 | 313.00 | 73.37 | 310.54 | 8.67 | 310.16 | 3.92 |
| SR-1-01 | 316 | 117 | 0.37 | 0.0529 | 0.0013 | 0.3488 | 0.0089 | 0.0480 | 0.0005 | 324.23 | 57.73 | 303.78 | 6.67 | 302.25 | 3.03 |
| SR-1-02 | 197 | 73 | 0.37 | 0.0532 | 0.0013 | 0.3504 | 0.0089 | 0.0483 | 0.0006 | 337.88 | 56.82 | 305.04 | 6.70 | 303.94 | 3.73 |
| SR-1-03 | 388 | 184 | 0.47 | 0.0530 | 0.0011 | 0.3563 | 0.0074 | 0.0487 | 0.0006 | 330.41 | 45.73 | 309.42 | 5.57 | 306.76 | 3.45 |
| SR-1-04 | 435 | 232 | 0.53 | 0.0525 | 0.0011 | 0.3552 | 0.0094 | 0.0489 | 0.0006 | 306.14 | 49.76 | 308.59 | 7.04 | 307.91 | 3.51 |
| SR-1-07 | 1021 | 493 | 0.48 | 0.0531 | 0.0008 | 0.3646 | 0.0076 | 0.0495 | 0.0005 | 333.49 | 34.99 | 315.65 | 5.67 | 311.64 | 3.08 |
| SR-1-08 | 356 | 162 | 0.46 | 0.0531 | 0.0009 | 0.3637 | 0.0069 | 0.0497 | 0.0005 | 334.56 | 39.62 | 314.98 | 5.15 | 312.51 | 3.19 |
| SR-1-09 | 322 | 126 | 0.39 | 0.0535 | 0.0014 | 0.3608 | 0.0084 | 0.0492 | 0.0007 | 350.53 | 58.94 | 312.83 | 6.29 | 309.64 | 4.03 |
| SR-1-10 | 207 | 62 | 0.30 | 0.0543 | 0.0016 | 0.3624 | 0.0102 | 0.0485 | 0.0007 | 383.00 | 66.65 | 313.99 | 7.63 | 305.52 | 4.19 |
| SR-1-11 | 563 | 286 | 0.51 | 0.0526 | 0.0010 | 0.3553 | 0.0065 | 0.0490 | 0.0007 | 310.60 | 41.81 | 308.71 | 4.86 | 308.41 | 4.16 |
| SR-1-12 | 465 | 197 | 0.42 | 0.0518 | 0.0010 | 0.3481 | 0.0079 | 0.0486 | 0.0006 | 275.45 | 44.57 | 303.33 | 5.92 | 305.75 | 3.46 |
| SR-1-13 | 680 | 364 | 0.54 | 0.0520 | 0.0008 | 0.3543 | 0.0072 | 0.0491 | 0.0004 | 283.71 | 37.31 | 307.96 | 5.39 | 309.28 | 2.70 |
| SR-1-15 | 135 | 49 | 0.37 | 0.0521 | 0.0019 | 0.3487 | 0.0127 | 0.0488 | 0.0007 | 287.91 | 83.69 | 303.76 | 9.60 | 307.01 | 4.41 |
| SR-1-16 | 296 | 132 | 0.45 | 0.0526 | 0.0014 | 0.3548 | 0.0090 | 0.0491 | 0.0007 | 311.00 | 59.09 | 308.30 | 6.74 | 308.96 | 4.36 |
| SR-1-17 | 198 | 70 | 0.35 | 0.0533 | 0.0017 | 0.3595 | 0.0118 | 0.0492 | 0.0007 | 340.68 | 74.32 | 311.87 | 8.82 | 309.37 | 4.35 |
| SR-1-18 | 166 | 63 | 0.38 | 0.0532 | 0.0023 | 0.3562 | 0.0140 | 0.0486 | 0.0008 | 336.45 | 96.75 | 309.39 | 10.50 | 306.19 | 4.84 |
| SR-1-19 | 266 | 112 | 0.42 | 0.0524 | 0.0016 | 0.3553 | 0.0107 | 0.0492 | 0.0006 | 301.82 | 67.47 | 308.70 | 8.04 | 309.82 | 3.62 |
| SR-1-20 | 192 | 67 | 0.35 | 0.0518 | 0.0017 | 0.3505 | 0.0116 | 0.0490 | 0.0007 | 275.20 | 75.99 | 305.07 | 8.71 | 308.53 | 4.01 |
| SR-1-21 | 483 | 266 | 0.55 | 0.0532 | 0.0010 | 0.3608 | 0.0071 | 0.0492 | 0.0006 | 339.16 | 43.53 | 312.81 | 5.27 | 309.43 | 3.74 |
| SR-1-22 | 117 | 40 | 0.34 | 0.0526 | 0.0022 | 0.3584 | 0.0148 | 0.0498 | 0.0008 | 312.52 | 96.59 | 311.01 | 11.07 | 313.10 | 4.67 |
| SR-1-23 | 361 | 141 | 0.39 | 0.0515 | 0.0013 | 0.3503 | 0.0096 | 0.0493 | 0.0007 | 263.94 | 58.64 | 304.96 | 7.26 | 310.26 | 4.49 |
| SR-1-25 | 367 | 175 | 0.48 | 0.0526 | 0.0014 | 0.3546 | 0.0100 | 0.0487 | 0.0008 | 312.36 | 60.46 | 308.15 | 7.49 | 306.47 | 5.18 |
| SR-1-28 | 215 | 82 | 0.38 | 0.0529 | 0.0016 | 0.3540 | 0.0100 | 0.0488 | 0.0006 | 323.51 | 67.91 | 307.70 | 7.50 | 306.90 | 3.64 |
| SR-1-29 | 177 | 65 | 0.37 | 0.0511 | 0.0022 | 0.3438 | 0.0144 | 0.0488 | 0.0008 | 246.47 | 98.83 | 300.06 | 10.86 | 307.17 | 4.66 |
| SR-1-30 | 400 | 159 | 0.40 | 0.0530 | 0.0010 | 0.3591 | 0.0068 | 0.0491 | 0.0005 | 327.89 | 43.60 | 311.53 | 5.07 | 308.92 | 3.32 |
| Spot no. | t (Ma) | 176Yb 177Hf | 176Lu 177Hf | 176Hf 177Hf | 2σ | εHf(0) | εHf(t) | TDM1 | TDM2 | fLu/Hf |
|---|---|---|---|---|---|---|---|---|---|---|
| SR-2-001 | 313 | 0.075538 | 0.001940 | 0.282967 | 0.000019 | 6.91 | 13.4 | 414 | 470 | −0.94 |
| SR-2-003 | 291 | 0.086482 | 0.002231 | 0.283016 | 0.000017 | 8.63 | 14.61 | 345 | 374 | −0.93 |
| SR-2-004 | 282 | 0.132216 | 0.003455 | 0.282905 | 0.000021 | 4.7 | 10.27 | 526 | 646 | −0.9 |
| SR-2-005 | 320 | 0.075191 | 0.001964 | 0.283024 | 0.000017 | 8.9 | 15.53 | 332 | 339 | −0.94 |
| SR-2-006 | 351 | 0.090929 | 0.002342 | 0.282929 | 0.000017 | 5.54 | 12.72 | 475 | 542 | −0.93 |
| SR-2-009 | 305 | 0.078083 | 0.002025 | 0.282967 | 0.000020 | 6.88 | 13.19 | 416 | 478 | −0.94 |
| SR-2-011 | 324 | 0.115128 | 0.002893 | 0.282893 | 0.000020 | 4.3 | 10.81 | 535 | 644 | −0.91 |
| SR-2-012 | 312 | 0.098395 | 0.002539 | 0.282984 | 0.000017 | 7.49 | 13.84 | 396 | 441 | −0.92 |
| SR-2-013 | 312 | 0.095046 | 0.002361 | 0.282990 | 0.000019 | 7.69 | 14.08 | 386 | 426 | −0.93 |
| SR-2-014 | 336 | 0.074679 | 0.001915 | 0.283032 | 0.000019 | 9.19 | 16.17 | 319 | 309 | −0.94 |
| SR-2-015 | 312 | 0.058124 | 0.001507 | 0.282993 | 0.000018 | 7.81 | 14.37 | 372 | 407 | −0.95 |
| SR-2-016 | 347 | 0.074915 | 0.001919 | 0.282986 | 0.000017 | 7.58 | 14.79 | 386 | 408 | −0.94 |
| SR-2-017 | 335 | 0.081711 | 0.002086 | 0.282989 | 0.000018 | 7.66 | 14.56 | 384 | 411 | −0.94 |
| SR-2-019 | 313 | 0.116336 | 0.002853 | 0.283004 | 0.000018 | 8.19 | 14.49 | 370 | 400 | −0.91 |
| SR-2-020 | 340 | 0.082512 | 0.002134 | 0.282937 | 0.000018 | 5.83 | 12.83 | 461 | 528 | −0.94 |
| DCRH-01 | 334 | 0.055608 | 0.001448 | 0.282967 | 0.000018 | 6.91 | 13.93 | 408 | 451 | −0.96 |
| DCRH-03 | 291 | 0.078398 | 0.002021 | 0.282964 | 0.000017 | 6.79 | 12.81 | 419 | 490 | −0.94 |
| DCRH-04 | 324 | 0.126125 | 0.003198 | 0.282934 | 0.000020 | 5.72 | 12.15 | 479 | 557 | −0.9 |
| DCRH-06 | 337 | 0.082700 | 0.002123 | 0.282996 | 0.000017 | 7.93 | 14.88 | 374 | 394 | −0.94 |
| DCRH-08 | 383 | 0.144140 | 0.003583 | 0.283033 | 0.000020 | 9.21 | 16.75 | 333 | 309 | −0.89 |
| DCRH-09 | 275 | 0.071345 | 0.001849 | 0.282987 | 0.000018 | 7.61 | 13.34 | 384 | 445 | −0.94 |
| DCRH-11 | 336 | 0.054312 | 0.001444 | 0.282962 | 0.000018 | 6.71 | 13.8 | 416 | 462 | −0.96 |
| DCRH-12 | 312 | 0.028669 | 0.000773 | 0.282943 | 0.000015 | 6.06 | 12.77 | 435 | 510 | −0.98 |
| DCRH-14 | 330 | 0.083431 | 0.002089 | 0.282993 | 0.000017 | 7.84 | 14.66 | 377 | 403 | −0.94 |
| DCRH-15 | 323 | 0.064451 | 0.001673 | 0.282964 | 0.000018 | 6.8 | 13.55 | 415 | 467 | −0.95 |
| DCRH-16 | 287 | 0.066353 | 0.001717 | 0.282951 | 0.000016 | 6.35 | 12.33 | 434 | 517 | −0.95 |
| DCRH-17 | 306 | 0.081286 | 0.002078 | 0.282970 | 0.000019 | 6.99 | 13.31 | 412 | 471 | −0.94 |
| DCRH-18 | 310 | 0.046680 | 0.001232 | 0.282953 | 0.000021 | 6.4 | 12.98 | 426 | 494 | −0.96 |
| DCRH-23 | 327 | 0.049078 | 0.001291 | 0.282967 | 0.000014 | 6.9 | 13.81 | 407 | 454 | −0.96 |
| DCRH-24 | 310 | 0.043277 | 0.001216 | 0.282958 | 0.000018 | 6.59 | 13.15 | 418 | 482 | −0.96 |
| DCRH-26 | 283 | 0.068651 | 0.001867 | 0.283014 | 0.000019 | 8.54 | 14.43 | 346 | 381 | −0.94 |
| Sample No. | Weight (g) | Re ng/g | Os ng/g | 187Re ng/g | 187Os ng/g | Model Age (Ma) | |||||
|---|---|---|---|---|---|---|---|---|---|---|---|
| Measured | 2σ | Measured | 2σ | Measured | 2σ | Measured | 2σ | Measured | 2σ | ||
| SR-6-3 | 0.10023 | 246.8 | 1.7 | 0.0111 | 0.0018 | 155.1 | 1.1 | 0.7724 | 0.0051 | 298.1 | 4.1 |
| SR-6-5 | 0.15002 | 168.3 | 1.6 | 0.0001 | 0.0008 | 105.8 | 1.0 | 0.5267 | 0.0037 | 298.1 | 4.5 |
| SR-6-6 | 0.10023 | 208.2 | 1.5 | 0.0001 | 0.0012 | 130.8 | 0.9 | 0.6551 | 0.0043 | 299.8 | 4.2 |
| SR-6-7 | 0.15043 | 134.2 | 1.6 | 0.0023 | 0.0008 | 84.37 | 1.00 | 0.4311 | 0.0031 | 305.9 | 5.2 |
| SR-6-8 | 0.10230 | 281.9 | 3.6 | 0.0011 | 0.0007 | 177.2 | 2.3 | 0.8874 | 0.0056 | 299.8 | 5.2 |
| SR-6-9 | 0.15023 | 462.0 | 4.1 | 0.0060 | 0.0005 | 290.4 | 2.6 | 1.473 | 0.009 | 303.7 | 4.4 |
| SR-6-10 | 0.10056 | 70.50 | 1.05 | 0.1658 | 0.0220 | 44.31 | 0.66 | 0.2269 | 0.0024 | 306.5 | 6.4 |
| Name | Age (Ma) | Testing Method | Testing Object | References |
|---|---|---|---|---|
| Seltek pluton | 314 ± 2 | U-Pb | Zircon | [65] |
| Ertai potassium feldspar granite | 319 ± 7 | SHRIMP | Zircon | [67] |
| Xiaohongshan pluton | 296 ± 4 | SHRIMP | Zircon | [67] |
| Sujiquan pluton | 295 ± 5 | SHRIMP | Zircon | [67] |
| Kamst pluton | 292 ± 7 | SHRIMP | Zircon | [67] |
| Belage Kuduk pluton | 273 ± 6 | SHRIMP | Zircon | [67] |
| Yebushan pluton | 268 ± 4 | SHRIMP | Zircon | [67] |
| Kubu Sunan pluton | 286 ± 3 | LA-ICP-MS | Zircon | [8] |
| Hilectic Harassu pluton | 381 ± 6 | SHRIMP | Zircon | [74] |
| Harassay pluton | 376 ± 10 | SHRIMP | Zircon | [74] |
| Bieliatun granite | 282 ± 5 | SHRIMP, LA-ICP-MS | Zircon | [59] |
| Sujiquan biotite granite | 304 ± 2 | LA-ICP-MS | Zircon | [59] |
| Huangyangshan pluton | 310 ± 4 | LA-ICP-MS | Zircon | [75] |
| Huangyangshan pluton | 302 ± 2 | LA-ICP-MS | Zircon | [75] |
| Sabei granite | 306 ± 3 | LA-ICP-MS | Zircon | [2] |
| Thorange Kuduk granite | 413 ± 8 | SHRIMP | Zircon | [72] |
| Belle Kuduk granite | 284 ± 5 | LA-ICP-MS | Zircon | [72] |
| Qiongheba pluton | 412.7 ± 3.3 | LA-ICP-MS | Zircon | [76] |
| Yemaquan pluton | 304 ± 3 | LA-ICP-MS | Zircon | [70] |
| Ulungu River Chakurtu pluton | 311.2 ± 2.5 | SHRIMP | Zircon | [77] |
| Ertai pluton | 279 ± 3 | SHRIMP | Zircon | [77] |
| Sayashk granite | 310.9 ± 1.5 | LA-ICP-MS | Zircon | This paper |
| Sayashk granite porphyry | 308.2 ± 1.5 | LA-ICP-MS | Zircon | This paper |
| Mutanyao granite | 349.8 ± 3.52 | LA-ICP-MS | Zircon | [78] |
| Basque granodiorite | 301 ± 2.5 | LA-ICP-MS | Zircon | [58] |
| Basque granodiorite | 310 ± 3.6 | LA-ICP-MS | Zircon | [58] |
| Nanmingshui gold deposit | 337.5 ± 3.9 | LA-ICP-MS | Sericite | [73] |
| Shuangquan gold deposit | 269 ± 9~260 ± 4 | Ar-Ar | Sericite | [79] |
| Shuangquan gold deposit | 310 | Ar-Ar | Inclusions in Quartz | [80] |
| Qingshui No. 48 old deposit | 311 ± 46 | Rb-Sr | Inclusions in Quartz | [81] |
| Jinshuiquan gold deposit | 271.7 ± 3.3 | Ar-Ar | Sericite | [81] |
| West of the Huangyangshan gold deposit | 318.4 ± 310.3 | LA-ICP-MS | Zircon | [82] |
| Sayashk Sn deposit | 301.1 ± 3.1 | Re-Os | Molybdenite | This paper |
| Sabei Sn deposit | 324.2 ± 3.4 | SHRIMP | Zircon | [31] |
| Ganliangzi Sn deposit | 314.0 ± 1 | Ar-Ar | muscovite | [83] |
| Kamust Sn deposit | 307.0 ± 1 | Ar-Ar | muscovite | [83] |
Publisher’s Note: MDPI stays neutral with regard to jurisdictional claims in published maps and institutional affiliations. |
© 2022 by the authors. Licensee MDPI, Basel, Switzerland. This article is an open access article distributed under the terms and conditions of the Creative Commons Attribution (CC BY) license (https://creativecommons.org/licenses/by/4.0/).
Share and Cite
Sun, Z.; Liu, G.; Ren, Y.; Chen, X.; Sun, X.; Wang, C.; Li, Z. Age, Genesis and Tectonic Setting of the Sayashk Tin Deposit in the East Junggar Region: Constraints from Lu–Hf Isotopes, Zircon U–Pb and Molybdenite Re–Os Dating. Minerals 2022, 12, 1063. https://doi.org/10.3390/min12091063
Sun Z, Liu G, Ren Y, Chen X, Sun X, Wang C, Li Z. Age, Genesis and Tectonic Setting of the Sayashk Tin Deposit in the East Junggar Region: Constraints from Lu–Hf Isotopes, Zircon U–Pb and Molybdenite Re–Os Dating. Minerals. 2022; 12(9):1063. https://doi.org/10.3390/min12091063
Chicago/Turabian StyleSun, Zhenjun, Guanghu Liu, Yunsheng Ren, Xi Chen, Xinhao Sun, Chengyang Wang, and Zuowu Li. 2022. "Age, Genesis and Tectonic Setting of the Sayashk Tin Deposit in the East Junggar Region: Constraints from Lu–Hf Isotopes, Zircon U–Pb and Molybdenite Re–Os Dating" Minerals 12, no. 9: 1063. https://doi.org/10.3390/min12091063
APA StyleSun, Z., Liu, G., Ren, Y., Chen, X., Sun, X., Wang, C., & Li, Z. (2022). Age, Genesis and Tectonic Setting of the Sayashk Tin Deposit in the East Junggar Region: Constraints from Lu–Hf Isotopes, Zircon U–Pb and Molybdenite Re–Os Dating. Minerals, 12(9), 1063. https://doi.org/10.3390/min12091063

