Characterization and Toxicity Analysis of Lab-Created Respirable Coal Mine Dust from the Appalachians and Rocky Mountains Regions
Abstract
1. Introduction
2. Materials and Methods
2.1. Bulk Sample Collection and Preparation
2.2. Dust Characterization
2.2.1. SEM
2.2.2. XRD
2.2.3. Total Microwave Digestion
2.2.4. BET
2.2.5. XPS
2.2.6. FTIR
2.3. Toxicity Analysis
2.3.1. Dissolution Experiment
2.3.2. In Vitro Analysis
3. Results and Discussion
3.1. Particle Size Distribution
3.2. Mineral Composition
3.3. Elemental Composition
3.4. Surface Composition
3.5. Specific Surface Area and Micro-Pore Analysis
3.6. Initial Functional Groups
3.7. Dissolution in Simulated Lung Fluids
3.8. Changes in Functional Groups
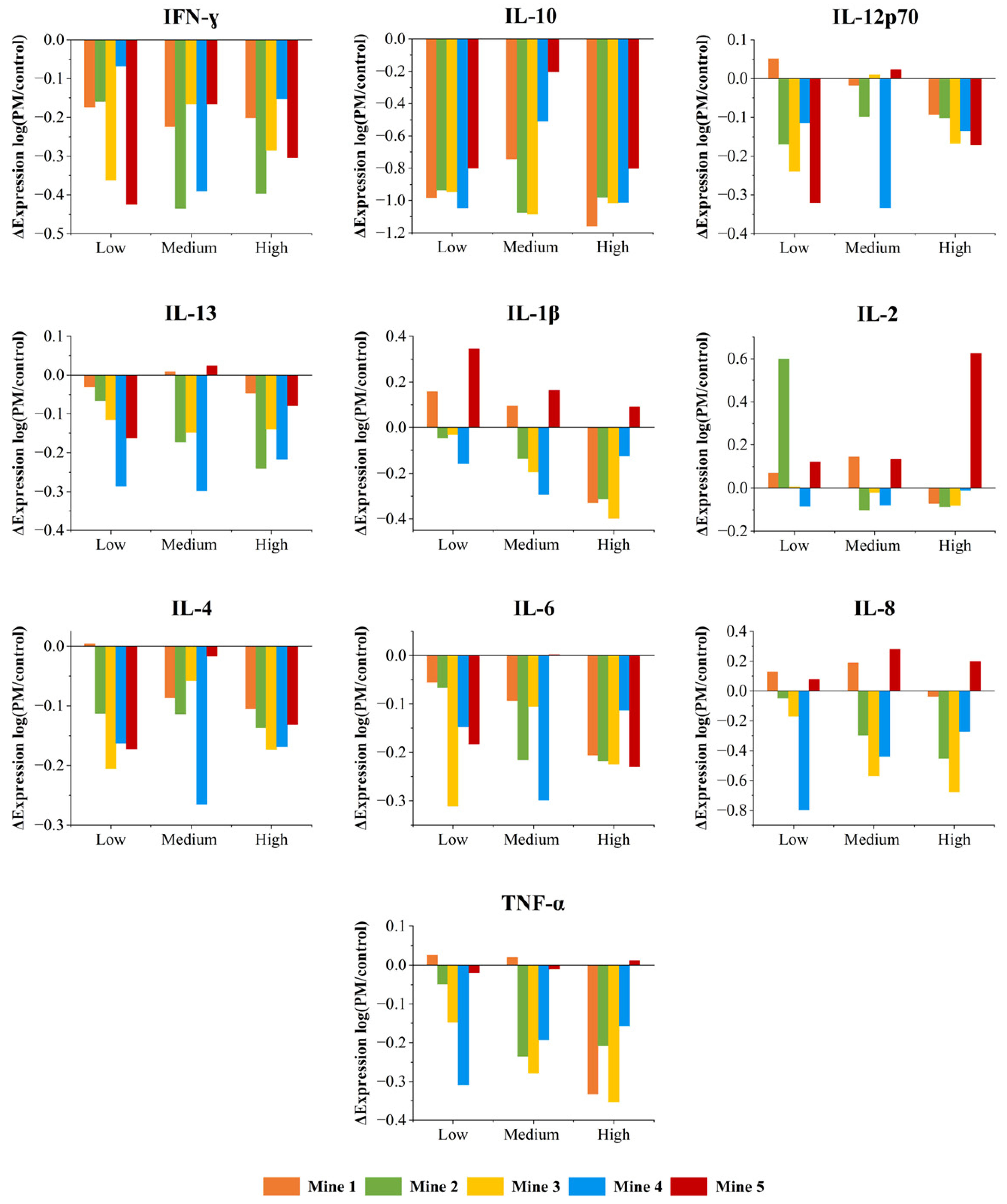
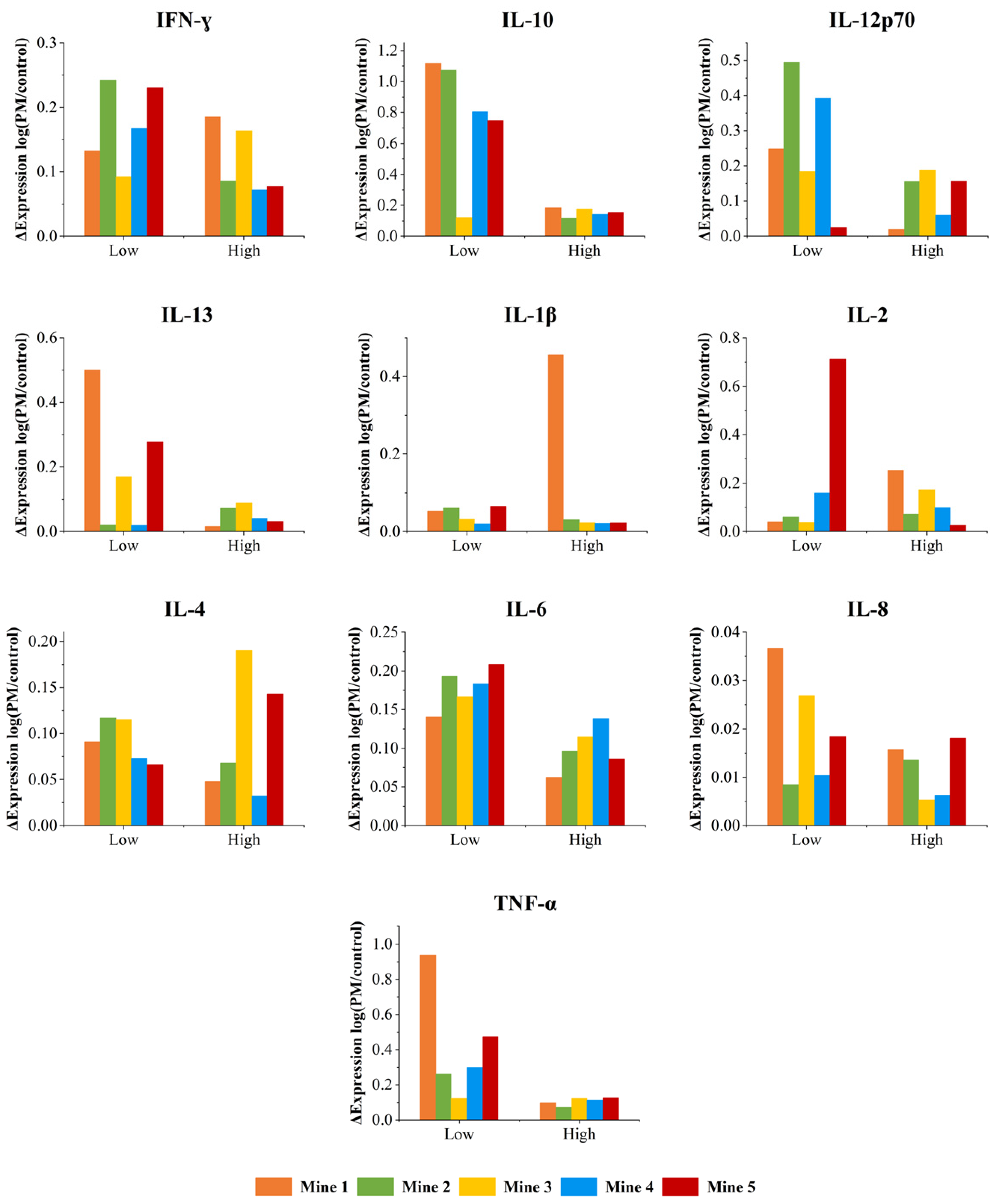
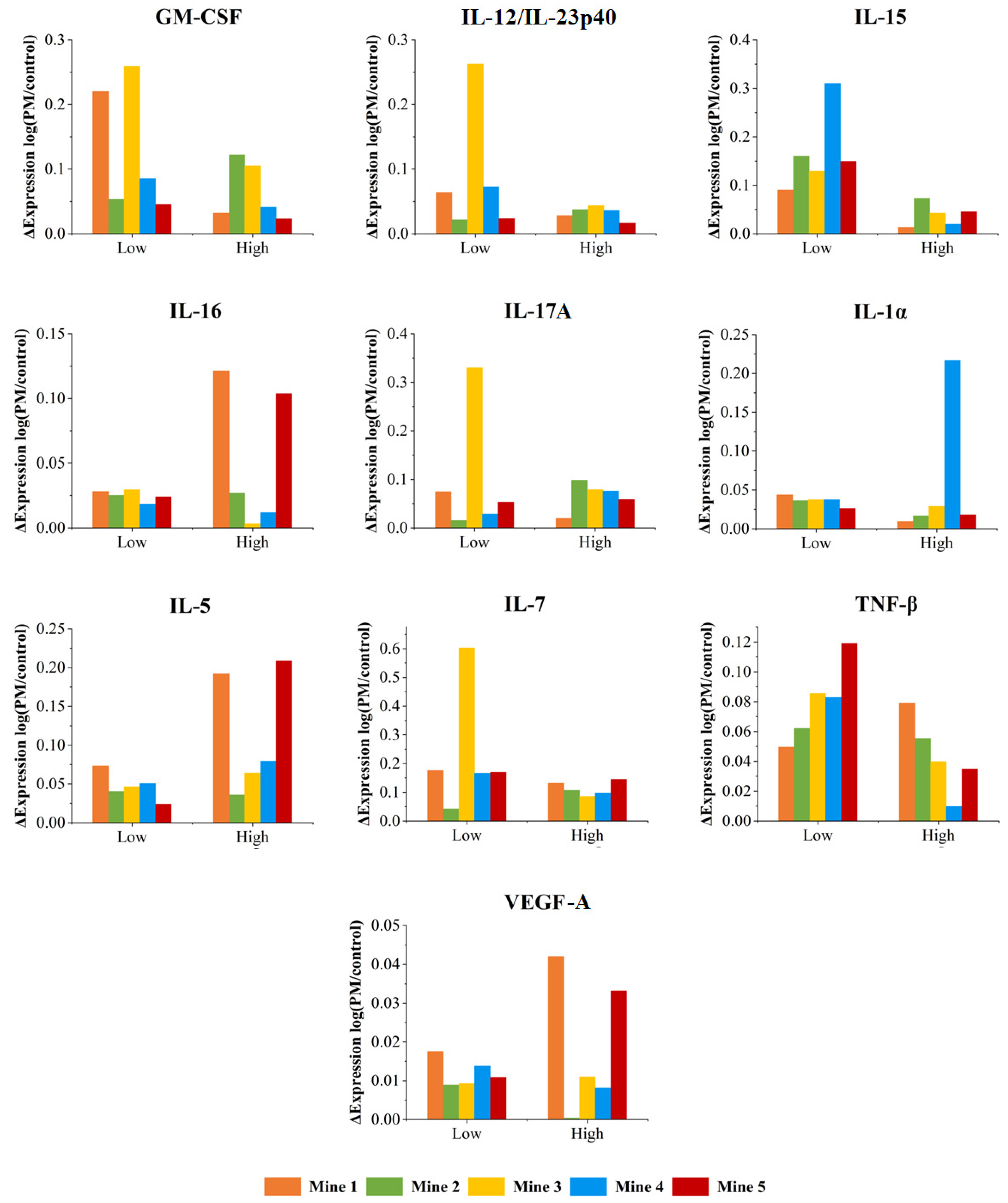
3.9. In Vitro Inflammatory Response
4. Conclusions
- The particle size distribution of the samples showed to be finer for those coming from the Appalachian region. Appalachian region samples were suggested to have more minerals and higher elemental concentrations, which would indicate that these samples would be more resistant to the reduction process, but otherwise as expected, these samples reached finer samples when reduced under the same procedure. For samples from the Appalachian region, even particles smaller than 1 micron were found, but not for samples from the Rocky Mountains;
- The XRD experiment showed that quartz, kaolinite, and pyrite were the main mineral components of the samples. These results were in accordance with the elemental content results, where Si, Al, and Fe were the elements with higher concentrations in the samples, and the main element components of the minerals observed in the XRD. Additionally, XRD and elemental content results showed in general that samples from the Appalachian region had more mineral and elemental contents compared to the samples from the Rocky Mountains;
- As for XRD analysis, Si followed the same trend for its exposure in the surface as the elemental content, but Al did not show any trend related to the initial concentration or the geographic location, indicating that not the same proportion of Al was exposed in the particle surfaces, and that Al atoms may be packed inside the particles or the characteristic layers of the clay minerals (kaolinite). Fe was not observed in the particle surfaces, but it was dissolved later in the dissolution experiment, so the Fe atoms, even if they were not exposed in the surface, were reached by the SLFs and partially digested;
- Kaolinite and quartz showed decreases in the peaks of the FT-IR spectra after dissolution in both GS and ALF, indicating that these minerals are actually being digested by the SLFs and the dissolution of Al and Si obtained in SLF came from them;
- The main factors influencing the dissolutions were the pH of the SLF and the initial availability of the elements in the samples. The specific surface area did not affect the general behavior of the dissolutions;
- The elements with the higher availability in the samples (AL, Si, and Fe) gave the higher total dissolutions in the SLFs, but the percentage dissolved from the initial contents did not exceed 0.5% in most of the cases. In contrast, Cu (trace elements) was dissolved from 1.2 to 5.9% of the initial content in the samples, so it can be concluded that, normalized to the initial availability, Cu is more bio-accessible than the other elements;
- The toxicity of the samples based on the metal dissolutions could not be related to the geographic location, since the factors influencing the dissolutions in SLF varied from the different samples and within the elements dissolved. So, the higher incidence of lung diseases in the Appalachian region may be related to other factors such as the exposure to RCMD, the particle size distribution of the actual RCMD in each mine, and the mineral contributions from the different sources in the mine to the RCMD that the miners inhale, which may be significantly different in each region;
- In vitro studies indicated a proinflammatory response of the cytokines studied, especially in the epithelial and macrophage cells, which suggests a possible participation from these cell types in pneumoconiosis and lung diseases development.
Supplementary Materials
Author Contributions
Funding
Data Availability Statement
Acknowledgments
Conflicts of Interest
References
- Shekarian, Y.; Rahimi, E.; Rezaee, M.; Su, W.C.; Roghanchi, P. Respirable Coal Mine Dust: A Review of Respiratory Deposition, Regulations, and Characterization. Minerals 2021, 11, 696. [Google Scholar] [CrossRef]
- Trechera, P.; Moreno, T.; Córdoba, P.; Moreno, N.; Zhuang, X.; Li, B.; Querol, X. Mineralogy, geochemistry and toxicity of size-segregated respirable deposited dust in underground coal mines. J. Hazard. Mater. 2020, 399, 122935. [Google Scholar] [CrossRef] [PubMed]
- Sarver, E.; Keles, C.; Afrouz, S.G. Particle size and mineralogy distributions in respirable dust samples from 25 US underground coal mines. Int. J. Coal Geol. 2019, 25, 104032. [Google Scholar] [CrossRef]
- Brown, J.S.; Gordon, T.; Price, O.; Asgharian, B. Thoracic and respirable particle definitions for human health risk assessment. Part. Fibre Toxicol. 2013, 10, 12. [Google Scholar] [CrossRef] [PubMed]
- Colinet, J.F.; Halldin, C.N.; Schall, J. Best Practices for Dust Control in Coal Mining, 2nd ed.; U.S. Publication No. 2021-119, IC 9532; Department of Health and Human Services, Centers for Disease Control and Prevention, National Institute for Occupational, Safety and Health, DHHS (NIOSH): Pittsburgh, PA, USA, 2021. [CrossRef]
- Shangguan, Y.; Zhuang, X.; Querol, X.; Li, B.; Li, J.; Moreno, N.; Trechera, P.; Córdoba, P.; Uzu, G. Mineralogical and geochemical variations from coal to deposited dust and toxicity of size-segregated respirable dust in a blasting mining underground coal mine in Hunan Province, South China. Int. J. Coal Geol. 2021, 248, 103863. [Google Scholar] [CrossRef]
- Sellaro, R.; Sarver, E.; Baxter, D. A Standard Characterization Methodology for Respirable Coal Mine Dust Using SEM-EDX. Resources 2015, 4, 939–957. [Google Scholar] [CrossRef]
- Nesterova, A.P.; Klimov, E.A.; Zharkova, M.; Sozin, S.; Sobolev, V.; Ivanikova, N.V.; Yuryev, A. Endocrine, nutritional, and metabolic diseases. In Disease Pathways; Elsevier: Amsterdam, The Netherlands, 2020; Chapter 4; pp. 121–218. [Google Scholar]
- Hettiarachchi, E.; Paul, S.; Cadol, D.; Frey, B.; Rubasinghege, G. Mineralogy Controlled Dissolution of Uranium from Airborne Dust in Simulated Lung Fluids (SLFs) and Possible Health Implications. Environ. Sci. Technol. Lett. 2019, 6, 62–67. [Google Scholar] [CrossRef]
- National Academies of Sciences, Engineering, and Medicine. In Monitoring and Sampling Approaches to Assess Underground Coal Mine Dust Exposures; The National Academies Press: Washington, DC, USA, 2018; pp. 1–150.
- Sarver, E.; Keles, C.; Rezaee, M. Beyond conventional metrics: Comprehensive characterization of respirable coal mine dust. Int. J. Coal Geol. 2019, 207, 84–95. [Google Scholar] [CrossRef]
- Shekarian, Y.; Rahimi, E.; Shekarian, N.; Rezaee, M.; Roghanchi, P. An analysis of contributing mining factors in coal workers’ pneumoconiosis prevalence in the United States coal mines, 1986–2018. Int. J. Coal Sci. Technol. 2021, 8, 1227–1237. [Google Scholar] [CrossRef]
- Antao, V.C.; Petsonk, E.L.; Sokolow, L.Z.; Wolfe, A.L.; Pinheiro, G.A.; Hale, J.M.; Attfield, M.D. Rapidly progressive coal workers’ pneumoconiosis in the United States: Geographic clustering and other factors. Occup. Environ. Med. 2005, 62, 670–674. [Google Scholar] [CrossRef]
- Rahimi, E. Investigation of Respirable Coal Mine Dust (RCMD) and Respirable Crystalline Silica (RCS) in the U.S. Underground and Surface Coal Mines. In PROQUESTMS ProQuest Dissertations & Theses A&I. Master of Science in Mineral Engineering with Specialization in Geotechnical Engineering; New Mexico Institute of Mining and Technology: Socorro, NM, USA, 2020. [Google Scholar]
- Kuempel, E.D.; Attfield, M.D.; Vallyathan, V.; Lapp, N.L.; Hale, J.M.; Smith, R.J.; Castranova, V. Pulmonary inflammation and crystalline silica in respirable coal mine dust: Dose-response. J. Biosci. 2003, 228, 61–69. [Google Scholar] [CrossRef] [PubMed]
- Sarver, E.; Keles, C.; Lowers, H.; Zulfikar, R.; Zell-Baran, L.; Vorajee, N.; Sanyal, S.; Rose, C.S.; Petsonk, E.L.; Murray, J.; et al. Analysis of Respirable Dust from 24 Underground Coal Mines in Four Geographic Regions of the United States. Am. J. Respir. Crit. Care Med. 2020, 201, A2635. [Google Scholar]
- Johann-Essex, V.; Keles, C.; Sarver, E. A computer-controlled SEM-EDX routine for characterizing respirable coal mine dust. Minerals 2017, 7, 15. [Google Scholar] [CrossRef]
- Wilson, S.A. Certificate of Analysis Coal, Lower Bakerstown CLB-1. In U.S. Geological Survey Open File Report OFR 97-299; USGS: Liston, WV, USA, 1997; p. 1. [Google Scholar]
- Fairley, N.; Fernandez, V.; Richard-Plouet, M.; Guillot-Deudon, C.; Walton, J.; Smith, E.; Flahaut, D.; Greiner, M.; Biesinger, M.; Tougaard, S.; et al. Systematic and collaborative approach to problem solving using X-ray photoelectron spectroscopy. Appl. Surf. Sci. 2021, 5, 100112. [Google Scholar] [CrossRef]
- Blume, R.; Rosenthal, D.; Tessonnier, J.-P.; Li, H.; Knop-Gericke, A.; Schlögl, R. Characterizing Graphitic Carbon with X-ray Photoelectron Spectroscopy: A Step-by-Step Approach. ChemCatChem 2015, 7, 2871–2881. [Google Scholar] [CrossRef]
- Moeini, B.; Linford, M.; Fairley, N.; Barlow, A.; Cumpson, P.; Morgan, D.; Fernandez, V.; Baltrusaitis, J. Definition of a new (Doniach—Sunjic—Shirley) peak shape for fitting asymmetric signals applied to reduced graphene oxide/graphene oxide XPS spectra. Surf. Interface Anal. 2021, 54, 67–77. [Google Scholar] [CrossRef]
- Pelfrêne, A.; Cave, M.R.; Wragg, J.; Douay, F. In Vitro Investigations of Human Bioaccessibility from Reference Materials Using Simulated Lung Fluids. Int. J. Environ. Res. 2017, 14, 112. [Google Scholar] [CrossRef]
- Warr, L.N. IMA–CNMNC approved mineral symbols. Mineral. Mag. 2021, 85, 291–320. [Google Scholar] [CrossRef]
- Whitney, D.L.; Evans, B.W. Abbreviations for names of rock-forming minerals. Am. Min. 2009, 95, 185–187. [Google Scholar] [CrossRef]
- Bhagath Singh, G.V.P.; Subramaniam, K.V.L. Quantitative XRD study of amorphous phase in alkali activated low calcium siliceous fly ash. Constr. Build. Mater. 2016, 124, 139–147. [Google Scholar] [CrossRef]
- Bund, R.K.; Hartel, R.W. Chemical Deterioration and Physical Instability of Food and Beverages; Woodhead Publishing: Cambridge, UK, 2010; pp. 186–215. [Google Scholar]
- Lin, S.; Liu, Z.; Zhao, E.; Qian, J.; Li, X.; Zhang, Q.; Ali, M. A study on the FTIR spectra of pre- and post-explosion coal dust to evaluate the effect of functional groups on dust explosion. Process Saf. Environ. Prot. 2019, 130, 48–56. [Google Scholar] [CrossRef]
- Southwick, J.G. Solubility of silica in alkaline solutions: Implications for alkaline flooding. In Proceedings of the Society of Petroleum Engineers California regional meeting, Los Angeles, CA, USA, 11 April 1984. [Google Scholar]
- Jaishankar, M.; Tseten, T.; Anbalagan, N.; Mathew, B.; Beeregowda, K. Toxicity, mechanism and health effects of some heavy metals. Interdiscip. Toxicol. 2014, 7, 60–72. [Google Scholar] [CrossRef] [PubMed]
- Becaria, A.; Campbell, A.; Bondy, S. Aluminum as a toxicant. Toxicol. Ind. Health 2002, 18, 309–320. [Google Scholar] [CrossRef] [PubMed]
- Yokel, R.A. The toxicology of aluminum in the brain: A review. Neurotoxicology 2000, 21, 813–828. [Google Scholar] [PubMed]
- Inan, E.; Ayaz, A. Is aluminum exposure a risk factor for neurological disorders? J. Res. Med. Sci. 2018, 23, 51. [Google Scholar]
- Jeffery, E.H.; Abreo, K.; Burgess, E. Systemic Aluminum Toxicity: Effects on Bone, Hematopoietic Tissue, And Kidney. J. Toxicol. Environ. Health 1996, 46, 649–666. [Google Scholar]
- Colinet, J.F.; Cecala, A.B.; Chekan, G.J.; Organiscak, J.A.; Wolfe, A.L. Best Practices for Dust Control in Metal/Nonmetal Mining. IC 9521; Department of Health and Human Services, Centers for Disease Control and Prevention, National Institute for Occupational Safety and Health: Pittsburgh, PA, USA, 2010.
- Papanikolaou, G.; Pantopoulos, K. Iron metabolism and toxicity. Toxicol. Appl. Pharmacol. 2005, 202, 199–211. [Google Scholar] [CrossRef]
- Xi, H. Iron overload and its association with cancer risk in humans: Evidence for iron as a carcinogenic metal. Mutat. Res.—Fundam. Mol. Mech. Mutagen. 2003, 533, 153–171. [Google Scholar]
- Sebastiani, G.; Pantopoulos, K. Disorders associated with systemic or local iron overload: From pathophysiology to clinical practice. Metallomics 2011, 3, 971–986. [Google Scholar] [CrossRef]
- Fishbane, S.; Mathew, A.; Vaziri, N.D. Iron toxicity: Relevance for dialysis patients. Nephrol. Dial. Transplant. 2013, 29, 255–259. [Google Scholar] [CrossRef]
- Sukiennicki, G.M.; Marciniak, W.; Muszyńska, M.; Baszuk, P.; Gupta, S.; Białkowska, K.; Jaworska-Bieniek, K.; Durda, K.; Lener, M.; Pietrzak, S.; et al. Iron levels, genes involved in iron metabolism and antioxidative processes and lung cancer incidence. PLoS ONE 2019, 14, e0208610. [Google Scholar] [CrossRef]
- Pietrangelo, A. Mechanism of Iron Toxicity. Adv. Exp. Med. Biol. 2002, 509, 19–43. [Google Scholar] [PubMed]
- Chanvorachote, P.; Luanpitpong, S. Iron induces cancer stem cells and aggressive phenotypes in human lung cancer cells. Am. J. Physiol. Cell Physiol. 2016, 310, C728–C739. [Google Scholar] [CrossRef] [PubMed]
- Yanbin, K.; Qi, W. Iron and lung cancer. Cancer Lett. 2019, 464, 56–61. [Google Scholar]
- Raha, S.; Mallick, R.; Basak, S.; Duttaroy, A.K. Is copper beneficial for COVID-19 patients? Med. Hypotheses 2020, 142, 109814. [Google Scholar] [CrossRef]
- Gaetke, L.M.; Chow-Johnson, H.S.; Chow, C.K. Copper: Toxicological relevance and mechanisms. Arch. Toxicol. 2014, 88, 1929–1938. [Google Scholar] [CrossRef]
- Hong, Y.; Liao, W.; Yan, Z.; Bai, Y.; Feng, C.; Xu, Z.; Xu, D. Progress in the Research of the Toxicity Effect Mechanisms of Heavy Metals on Freshwater Organisms and Their Water Quality Criteria in China. J. Chem. 2020, 2020, 9010348. [Google Scholar] [CrossRef]
- Zamberlan, D.C.; Halmenschelager, P.T.; Silva, L.F.O.; da Rocha, J.B.T. Copper decreases associative learning and memory in Drosophila melanogaster. Sci. Total Environ. 2019, 710, 135306. [Google Scholar] [CrossRef]
- Ouni, S.; Askri, D.; Jeljeli, M.; Abdelmalek, H.; Sakly, M.; Amara, S. Toxicity and effects of copper oxide nanoparticles on cognitive. Arch. Environ. Occup. Health 2020, 75, 384–394. [Google Scholar] [CrossRef]
- Taylor, A.; Tsuji, J.; Garry, M.R.; McArdle, M.E.; Goodfellow, W.L., Jr.; Adams, W.J.; Menzie, C.A. Critical Review of Exposure and Effects: Implications for Setting Regulatory Health Criteria for Ingested Copper. J. Environ. Manag. 2020, 65, 131–159. [Google Scholar] [CrossRef]
- Royer, A.; Sharman, T. Copper Toxicity. In StatPearls; StatPearls Publishing: Treasure Island, FL, USA, 2022. Available online: https://www.ncbi.nlm.nih.gov/books/NBK557456/ (accessed on 26 March 2022).
- Campbell, A.; Hamai, D.; Bondy, S.C. Differential Toxicity of Aluminum Salts in Human Cell Lines of Neural Origin: Implications for Neurodegeneration. Neuro. Toxicol. 2001, 22, 63–71. [Google Scholar] [CrossRef]
- Shaw, C.A.; Tomljenovic, L. Aluminum in the central nervous system (CNS): Toxicity in humans and animals, vaccine adjuvants, and autoimmunity. Immunol. Res. 2013, 56, 304–316. [Google Scholar] [CrossRef] [PubMed]
- Mailloux, R.J.; Lemire, J.; Appanna, V.D. Hepatic response to aluminum toxicity. Dyslipidemia Exp. Cell Res. 2011, 317, 2231–2238. [Google Scholar] [CrossRef]
- Frisardi, V.; Solfrizzi, V.; Capurso, C.; Kehoe, P.G.; Imbimbo, B.P.; Santamato, A.; Dellegrazie, F.; Seripa, D.; Pilotto, A.; Capurso, A.; et al. Aluminum in the diet and Alzheimer’s disease: From current epidemiology to possible disease-modifying treatment. J. Alzheimer’s Dis. 2010, 20, 17–30. [Google Scholar] [CrossRef]
- Arias, J.A.; Peralta-Videa, J.R.; Ellzey, J.T.; Ren, M.; Viveros, M.N.; Gardea-Torresdey, J.L. Effects of Glomus deserticola inoculation on Prosopis: Enhancing chromium and lead uptake and translocation as confirmed by X-ray mapping, ICP-OES and TEM techniques. Environ. Exp. Bot. 2010, 68, 139–148. [Google Scholar] [CrossRef]
- Tarrago, O.; Brown, M. Case Studies in Environmental Medicine (CSEM) Lead Toxicity; USA Department of Health and Human Services, Centers for Disease Control and Prevention Agency for Toxic Substances and Disease Registry: Atlanta, GA, USA, 2017. Available online: https://www.atsdr.cdc.gov/csem/lead/docs/csem-lead_toxicity_508.pdf (accessed on 14 June 2022).
- Romero-Estévez, D.; Yánez-Jácome, G.S.; Simbaña-Farinango, K.; Navarrete, H. Distribution, contents, and health risk assessment of cadmium, lead, and nickel in bananas produced in Ecuador. Foods 2019, 8, 330. [Google Scholar] [CrossRef]
- WHO. Identifies Ten Chemicals of Major Public Health Concern: International Programme on Chemical Safety. Available online: https://chemycal.com/news/a6321e58-dfbf-4e30-914d-62d270622b65/WHO_identifies_ten_chemicals_of_major_public_health_concern__International_Programme_on_Chemical_Safety#:~:text=The%20World%20Health%20Organisation%20has,%2C%20Lead%2C%20Mercury%2C%20Highly%20hazardous (accessed on 14 June 2022).
- Järup, L. Hazards of heavy metal contamination. Br. Med. Bull. 2003, 68, 167–182. [Google Scholar] [CrossRef]
- Anttila, A.; Heikkilä, P.; Pukkala, E.; Nykyri, E.; Kauppinen, T.; Hernberg, S.; Hemminki, K. Excess lung cancer among workers exposed to lead. Scand. J. Work Environ. Health 1995, 21, 460–469. [Google Scholar] [CrossRef]
- Kumar, S.; Singh, S.; Mehta, D.; Garg, R.R.; Garg, M.L.; Singh, N.; Mangal, P.C.; Trehan, P.N. Effect of automobile exhaust on the distribution of trace elements and its modulation following Fe, Cu, and Zn supplementation. Biol. Trace Elem. Res. 1991, 31, 51–62. [Google Scholar] [CrossRef]
- Wong, O.; Harris, F. Cancer mortality study of employees at lead battery plants and lead smelters, 1947–1995. Am. J. Ind. Med. 2000, 38, 255–270. [Google Scholar] [CrossRef]
- Liu, C.M.; Sun, Y.Z.; Sun, J.M.; Ma, J.Q.; Cheng, C. Protective role of quercetin against lead-induced inflammatory response in rat kidney through the ROS-mediated MAPKs and NF-κB pathway. Biochim. Biophys. Acta Gen. Subj. BBA 2012, 1820, 1693–1703. [Google Scholar] [CrossRef] [PubMed]
- Lundström, N.-G.; Nordberg, G.; Englyst, V.; Gerhardsson, L.; Hagmar, L.; Jin, T.; Rylander, L.; Wall, S. Cumulative lead exposure in relation to mortality and lung cancer morbidity in a cohort of primary smelter workers. Scand. J. Work Environ. Health 1997, 23, 24–30. [Google Scholar] [CrossRef] [PubMed]
- Institute of Medicine (US) Panel on Micronutrients. Dietary Reference Intakes for Vitamin A, Vitamin K, Arsenic, Boron, Chromium, Copper, Iodine, Iron, Manganese, Molybdenum, Nickel, Silicon, Vanadium, and Zinc; National Academies Press (USA): Washington, DC, USA, 2001. Available online: https://www.ncbi.nlm.nih.gov/books/NBK222310/ (accessed on 1 May 2022). [CrossRef]
- Alfred, F.; Dorsey, A.F.; Margaret, E.; Fransen, M.E.; Diamond, G.L.; Amata, R.J. Toxicological Profile for strontium. In USA Department of Health and Human Services; Centers for Disease Control and Prevention Agency for Toxic Substances and Disease Registry: Atlanta, GA, USA, 2004. Available online: https://www.atsdr.cdc.gov/ToxProfiles/tp159.pdf (accessed on 10 May 2022).
- Gupta, D.K.; Walther, C. Behaviour of Strontium in Plants and the Environment; Springer: Berlin/Heidelberg, Germany, 2017. [Google Scholar]
- Martin, K.R. Silicon: The health benefits of a metalloid. Met. Ions. Life Sci. 2013, 13, 451–473. [Google Scholar] [CrossRef] [PubMed]
- Rondanelli, M.; Faliva, M.A.; Peroni, G.; Gasparri, C.; Perna, S.; Riva, A.; Petrangolini, G.; Tartara, A. Silicon: A neglected micronutrient essential for bone health. Exp. Biol. Med. 2021, 246, 1500–1511. [Google Scholar] [CrossRef]
- Gillette Guyonnet, S.; Andrieu, S.; Vellas, B. The potential influence of silica present in drinking water on Alzheimer’s disease and associated disorders. J. Nutr. Health. Aging 2007, 11, 119–124. [Google Scholar]
- Birchall, J.D.; Exley, C.; Chappell, J.S.; Phillips, M.J. Acute toxicity of aluminium to fish eliminated in silicon-rich acid waters. Nature 1989, 338, 146–148. [Google Scholar] [CrossRef]
- Cuciureanu, R.; Urzică, A.; Voitcu, M.; Antoniu, A. Estimarea aportului zilnic de aluminiu prin consum de alimente [Assessment of daily aluminum intake by food consumption]. Rev. Med. Chir. Soc. Med. Nat. Iasi. 2000, 104, 107–112. [Google Scholar]
- González-Weller, D.; Rubio, C.; Gutiérrez, Á.J.; González, G.L.; Mesa, J.M.C.; Gironés, C.R.; Hardisson, A. Dietary intake of barium, bismuth, chromium, lithium, and strontium in a Spanish population (Canary Islands, Spain). Food Chem. Toxicol. 2013, 62, 856–868. [Google Scholar] [CrossRef]
- Miedico, O.; Pompa, C.; Moscatelli, S.; Chiappinelli, A.; Carosielli, L.; Chiaravalle, A.E. Lead, cadmium and mercury in canned and unprocessed tuna: Six-years monitoring survey, comparison with previous studies and recommended tolerable limits. J. Food Compos. Anal. 2020, 94, 103638. [Google Scholar] [CrossRef]
- Hallett, S.; Toro, F.; Ashurst, J.V. Physiology, Tidal Volume. In StatPearls; StatPearls Publishing: Treasure Island, FL, USA, 2018. Available online: https://www.ncbi.nlm.nih.gov/books/NBK482502/ (accessed on 30 May 2022).
- Flenady, T.; Dwyer, T.; Applegarth, J. Accurate respiratory rates count: So should you! Aust. Emerg. Nurs. J. 2017, 20, 45–47. [Google Scholar] [CrossRef]
- Vanhée, D.; Gosset, P.; Boitelle, A.; Wallaert, B.; Tonnel, A.B. Cytokines and cytokine network in silicosis and coal workers’ pneumoconiosis. Eur. Respir. J. 1995, 8, 834–842. [Google Scholar] [PubMed]
- Song, Y.; Southam, K.; Beamish, B.B.; Zosky, G.R. Effects of chemical composition on the lung cell response to coal particles: Implications for coal workers’ pneumoconiosis. Respirology 2022, 27, 447–454. [Google Scholar] [CrossRef] [PubMed]
- Zhang, Y.; Guan, L.; Zheng, Y.; Mao, L.; Li, S.; Zhao, J. Extracellular Histones Promote Pulmonary Fibrosis in Patients With Coal Workers’ Pneumoconiosis. J. Occup. Environ. Med. 2019, 61, 89–95. [Google Scholar] [CrossRef] [PubMed]
- Qi, X.-M.; Luo, Y.; Song, M.-Y.; Liu, Y.; Shu, T.; Liu, Y.; Pang, J.-L.; Wang, J.; Wang, C. Pneumoconiosis: Current status and future prospects. Chin. Med. J. 2021, 134, 898–907. [Google Scholar] [CrossRef] [PubMed]
- Ahn, H.S.; Kim, J.H.; Chang, H.S.; Kim, K.A.; Lim, Y. The Evaluation of IL-8 in the Serum of Pneumoconiotic patients. Tuberc. Respir. Dis. 1996, 43, 945. [Google Scholar] [CrossRef]
- Lee, J.S.; Shin, J.H.; Choi, B.S. Serum levels of IL-8 and ICAM-1 as biomarkers for progressive massive fibrosis in coal workers’ pneumoconiosis. J. Korean. Med. Sci. 2015, 30, 140–144. [Google Scholar] [CrossRef]
- Donaldson, K.; Brown, G.M.; Brown, D.M.; Robertson, M.D.; Slight, J.; Cowie, H.; Jones, A.D.; Bolton, R.E.; Davis, J.M. Contrasting bronchoalveolar leukocyte responses in rats inhaling coal mine dust, quartz, or titanium dioxide: Effects of coal rank, airborne mass, concentration, and cessation of exposure. Environ. Res. 1990, 52, 62–76. [Google Scholar] [CrossRef]
- Lin, W.C.; Fessler, M.B. Regulatory mechanisms of neutrophil migration from the circulation to the airspace. Cell. Mol. Life Sci. 2021, 78, 4095–4124. [Google Scholar] [CrossRef]
- Rosales, C. Neutrophils at the crossroads of innate and adaptive immunity. J. Leukoc Biol. 2020, 108, 377–396. [Google Scholar] [CrossRef]
- DeLight, N.; Sachs, H. Pneumoconiosis. In StatPearls; StatPearls Publishing: Treasure Island, FL, USA, 2021. Available online: https://www.ncbi.nlm.nih.gov/books/NBK555902/ (accessed on 16 May 2022).
- Mlika, M.; Adigun, R.; Bhutta, B.S. Silicosis. In StatPearls; StatPearls Publishing: Treasure Island, FL, USA, 2022. Available online: https://www.ncbi.nlm.nih.gov/books/NBK537341/ (accessed on 16 May 2022).
- Tonatiuh, B.; Torres, M.; Bobadilla, K.; Sada, E. Papel de las células epiteliales en la respuesta inmune del pulmón. Rev. Inst. Nal. Enf. Resp. Mex. 2005, 18, 321–326. [Google Scholar]
- Ates, I.; Yucesoy, B.; Yucel, A.; Suzen, S.H.; Karakas, Y.; Karakaya, A. Possible effect of gene polymorphisms on the release of TNFα and IL1 cytokines in coal workers’ pneumoconiosis. Exp. Toxicol. Pathol. 2011, 63, 175–179. [Google Scholar] [CrossRef] [PubMed]
- What Is Pneumoconiosis? Available online: https://www.webmd.com/lung/what-is-pneumoconiosis (accessed on 2 June 2022).
- Lassalle, P.; Gosset, P.; Aerts, C.; Fournier, E.; Lafitte, J.J.; Degreef, J.M.; Wallaert, B.; Tonnel, A.B.; Voisin, C. Abnormal secretion of interleukin-1 and tumor necrosis factor alpha by alveolar macrophages in coal worker’s pneumoconiosis: Comparison between simple, pneumoconiosis and progressive massive fibrosis. Exp. Lung. Res. 1990, 16, 73–80. [Google Scholar] [CrossRef] [PubMed]
- Castranova, V.; Vallyathan, V. Silicosis and coal workers’ pneumoconiosis. Environ. Health Perspect. 2000, 108, 675–684. [Google Scholar]
- Borm, P.J.; Palmen, N.; Engelen, J.J.; Buurman, W.A. Spontaneous and stimulated release of tumor necrosis factor-alpha (TNF) from blood monocytes of miners with coal workers’ pneumoconiosis. Am. Rev. Respir. Dis. 1988, 138, 1589–1594. [Google Scholar] [CrossRef]
- Lee, J.S.; Shin, J.H.; Lee, J.O.; Lee, W.J.; Hwang, J.H.; Kim, J.H.; Choi, B.S. Blood Levels of IL-Iβ, IL-6, IL-8, TNF-α, and MCP-1 in Pneumoconiosis Patients Exposed to Inorganic Dusts. Toxicol. Res. 2009, 25, 217–224. [Google Scholar] [CrossRef] [PubMed][Green Version]
- Slavov, E.; Miteva, L.; Prakova, G.; Gidikova, P.; Stanilova, S. Correlation between TNF-alpha and IL-12p40-containing cytokines in silicosis. Toxicol. Ind. Health 2010, 26, 479–486. [Google Scholar] [CrossRef] [PubMed]
- Castranova, V. From Coal Mine Dust to Quartz: Mechanisms of Pulmonary Pathogenicity. Inhal. Toxicol. 2000, 12, 7–14. [Google Scholar] [CrossRef]
- Kim, K.A.; Cho, Y.Y.; Cho, J.S.; Yang, K.H.; Lee, W.K.; Lee, K.H.; Kim, Y.S.; Lim, Y. Tumor necrosis factor-alpha gene promoter polymorphism in coal workers’ pneumoconiosis. Mol. Cell. Biochem. 2002, 234, 205–209. [Google Scholar] [CrossRef]
- Wang, M.; Wang, S.; Song, Z.; Ji, X.; Zhang, Z.; Zhou, J.; Ni, C. Associations of IL-4, IL-4R, and IL-13 Gene Polymorphisms in Coal Workers’ Pneumoconiosis in China: A Case-Control Study. PLoS ONE 2011, 6, e22624. [Google Scholar] [CrossRef]
- Davis, G.S.; Pfeiffer, L.M.; Hemenway, D.R. Expansion of interferon-gamma-producing lung lymphocytes in mouse silicosis. Am. J. Respir. Cell. Mol. Biol. 1999, 20, 813–824. [Google Scholar] [CrossRef]
- Ferreira, T.P.; de Arantes, A.C.; do Nascimento, C.V.; Olsen, P.C.; Trentin, P.G.; Rocco, P.R.; Hogaboam, C.M.; Puri, R.K.; Martins, M.A.; Silva, P.M. IL-13 Immunotoxin Accelerates Resolution of Lung Pathological Changes Triggered by Silica Particles in Mice. J. Immunol. 2013, 191, 5220–5229. [Google Scholar] [PubMed]
- Cohen, C.; Fireman, E.; Ganor, E.; Man, A.; Ribak, J.; Lerman, Y. Accelerated silicosis with mixed-dust pneumoconiosis in a hard-metal grinder. J. Occup. Environ. Med. 1999, 41, 480–485. [Google Scholar] [CrossRef] [PubMed]
- Hamza, T.; Barnett, J.B.; Li, B. Interleukin 12 a key immunoregulatory cytokine in infection applications. Int. J. Mol. Sci. 2010, 11, 789–806. [Google Scholar] [CrossRef] [PubMed]











| Region | Mine ID | Type | Mining Method | Coal Rank | Seam Hieght | Ash (%) | Volatile Matter (%) | Sulfur (%) |
|---|---|---|---|---|---|---|---|---|
| Rocky Mountains | Mine 1 | S * | Open cut | Sub-bituminous | Low seam | 16.90 | 32.00 | 1.08 |
| Mine 2 | UG ** | Room and pillar | Bituminous | High seam | 11.64 | 33.39 | 0.55 | |
| Appalachians | Mine 3 | UG | Room and pillar | Sub-bituminous | Low seam | 5.85 | 16.26 | 1.07 |
| Mine 4 | UG | Room and pillar | Sub-bituminous | Low seam | 11.28 | 15.43 | 1.17 | |
| Mine 5 | UG | Room and pillar | Bituminous | High seam | N/A *** | N/A | N/A |
| Mine ID | Mean Width (μm) | Mean Length (μm) | PM1 (%) | PM2.5 (%) | PM4 (%) | PM10 (%) |
|---|---|---|---|---|---|---|
| Mine 1 | 3.86 ± 1.62 | 6.03 ± 2.80 | 0 | 18 | 58 | 100 |
| Mine 2 | 3.81 ± 2.06 | 5.70 ± 3.20 | 0 | 28 | 62 | 99 |
| Mine 3 | 3.15 ± 1.76 | 4.82 ± 2.26 | 0 | 39 | 83 | 99 |
| Mine 4 | 3.24 ± 2.00 | 5.07 ± 3.10 | 4 | 44 | 73 | 99 |
| Mine 5 | 2.95 ± 1.65 | 4.43 ± 2.11 | 7 | 46 | 77 | 100 |
| Mine ID | |||||||
|---|---|---|---|---|---|---|---|
| Mineral | Compound Name | Chemical Formula | Mine 1 | Mine 2 | Mine 3 | Mine 4 | Mine 5 |
| Quartz | Silicon Oxide | SiO2 | X | X | X | X | X |
| Kaolinite | Aluminum Silicate Hydroxide | Al2(Si2O5) (OH)4 | X | X | X | X | X |
| Pyrite | Iron Sulfide | FeS2 | X | X | X | X | |
| Siderite | Iron Carbonate | Fe (CO3) | X | ||||
| Calcite | Calcium Carbonate | CaCO3 | X | ||||
| Mine ID | Al | Si | Fe | Ti | Sr | Ba | Pb | Mn | Ni | Cu | Zn | As | V | Cr |
|---|---|---|---|---|---|---|---|---|---|---|---|---|---|---|
| % | % | % | µg/g | µg/g | µg/g | µg/g | µg/g | µg/g | µg/g | µg/g | µg/g | µg/g | µg/g | |
| Mine 1 | 0.66 | 1.18 | 0.65 | 608 | 127.4 | 53.3 | 20.4 | 28.7 | 7.5 | 20.8 | 24.0 | 6.8 | 9.3 | 8.0 |
| Mine 2 | 0.73 | 1.13 | 0.20 | 503 | 21.6 | 8.9 | 23.5 | 7.2 | 7.4 | 11.7 | 12.6 | 1.0 | 4.8 | 7.1 |
| Mine 3 | 0.90 | 3.53 | 0.89 | 1114 | 41.2 | 56.6 | 16.6 | 24.4 | 21.8 | 20.4 | 52.7 | 27.8 | 36.9 | 26.3 |
| Mine 4 | 1.03 | 2.46 | 1.13 | 1040 | 69.2 | 45.0 | 8.7 | 8.0 | 16.0 | 13.0 | 36.3 | 14.8 | 55.4 | 26.1 |
| Mine 5 | 0.65 | 0.91 | 0.12 | 310 | 75.5 | 45.1 | 10.6 | 4.9 | 11.3 | 23.2 | 3.7 | 1.2 | 11.6 | 7.5 |
| Mine ID | Al (2p) % | C (1s) % | O (1s) % | Si (2p) % |
|---|---|---|---|---|
| Mine 1 | 0.90767 | 86.5527 | 11.7515 | 0.788068 |
| Mine 2 | 1.3677 | 87.0865 | 10.4115 | 1.13433 |
| Mine 3 | 0.827133 | 90.9843 | 6.74449 | 1.44407 |
| Mine 4 | 1.89306 | 87.7379 | 9.26774 | 1.10128 |
| Mine 5 | 0.174653 | 90.8217 | 8.27811 | 0.725521 |
| Mine ID | Specific Surface Area (m2/g) | Half Pore Width (Å) |
|---|---|---|
| Mine 1 | 7.77 ± 0.45 | 58.81 |
| Mine 2 | 7.66 ± 0.15 | 58.81 |
| Mine 3 | 6.80 ± 0.10 | 58.81 |
| Mine 4 | 7.11 ± 0.23 | 58.81 |
| Mine 5 | 7.58 ± 0.33 | 58.81 |
| Al | Si | Fe | Cu | Sr | Pb | |||||||
|---|---|---|---|---|---|---|---|---|---|---|---|---|
| Mine ID | ALF | GS | ALF | GS | ALF | GS | ALF | GS | ALF | GS | ALF | GS |
| Mine 1 | 2316.8 | 142.6 | 3351.4 | 56,005.8 | 5879.2 | - | 291.5 | 323.6 | 83.1 | - | 160.2 | - |
| Mine 2 | 2058.8 | 555.8 | 2918.8 | 54,117.4 | 8117.8 | 7.7 | 435.9 | 692.4 | 391.8 | - | 109.9 | - |
| Mine 3 | 3135.5 | 210.2 | 4591.1 | 39,917.9 | 7993.1 | - | 354.4 | 245.0 | 188.9 | - | 47.6 | - |
| Mine 4 | 1925.6 | 468.1 | 3850.9 | 50,576.9 | 16,329.1 | 315.4 | 309.1 | 752.5 | 108.4 | - | 22.5 | - |
| Mine 5 | 2444.2 | 162.5 | 2764.3 | 131,965.8 | 1633.2 | - | 334.8 | 546.6 | 202.9 | - | 56.4 | - |
| Al | Si | Fe | Cu | Sr | Pb | ||||||
|---|---|---|---|---|---|---|---|---|---|---|---|
| ALF | GS | ALF | GS | ALF | GS | ALF | GS | ALF | GS | ALF | GS |
| pH | pH + Av. | Av. | pH | Av. + pH | pH | Possible Affinity | Possible Affinity | pH | pH | pH | pH |
| Wavenumber (cm−1) | Peak Assignment |
|---|---|
| 779 and 799 | Quartz |
| 913 | Kaolinite |
| 1000–1200 | Si=O, Si-O-Si, Si-O-C, C-O-C |
| 1445 | Antisymmetric–CH3 deformation |
| 1602 | Benzene C=C stretching |
Publisher’s Note: MDPI stays neutral with regard to jurisdictional claims in published maps and institutional affiliations. |
© 2022 by the authors. Licensee MDPI, Basel, Switzerland. This article is an open access article distributed under the terms and conditions of the Creative Commons Attribution (CC BY) license (https://creativecommons.org/licenses/by/4.0/).
Share and Cite
Salinas, V.; Das, M.; Jacquez, Q.; Camacho, A.; Zychowski, K.; Hovingh, M.; Medina, A.; Rubasinghege, G.; Rezaee, M.; Baltrusaitis, J.; et al. Characterization and Toxicity Analysis of Lab-Created Respirable Coal Mine Dust from the Appalachians and Rocky Mountains Regions. Minerals 2022, 12, 898. https://doi.org/10.3390/min12070898
Salinas V, Das M, Jacquez Q, Camacho A, Zychowski K, Hovingh M, Medina A, Rubasinghege G, Rezaee M, Baltrusaitis J, et al. Characterization and Toxicity Analysis of Lab-Created Respirable Coal Mine Dust from the Appalachians and Rocky Mountains Regions. Minerals. 2022; 12(7):898. https://doi.org/10.3390/min12070898
Chicago/Turabian StyleSalinas, Vanessa, Milton Das, Quiteria Jacquez, Alexandra Camacho, Katherine Zychowski, Mark Hovingh, Alexander Medina, Gayan Rubasinghege, Mohammad Rezaee, Jonas Baltrusaitis, and et al. 2022. "Characterization and Toxicity Analysis of Lab-Created Respirable Coal Mine Dust from the Appalachians and Rocky Mountains Regions" Minerals 12, no. 7: 898. https://doi.org/10.3390/min12070898
APA StyleSalinas, V., Das, M., Jacquez, Q., Camacho, A., Zychowski, K., Hovingh, M., Medina, A., Rubasinghege, G., Rezaee, M., Baltrusaitis, J., Fairley, N., & Roghanchi, P. (2022). Characterization and Toxicity Analysis of Lab-Created Respirable Coal Mine Dust from the Appalachians and Rocky Mountains Regions. Minerals, 12(7), 898. https://doi.org/10.3390/min12070898

