Abstract
This paper deals with adsorption regularities and mechanisms of nonradioactive Cs(I) and Sr(II) analogs on bentonites of different chemical and mineral composition from solutions of Cs and Sr nitrates with pH 3, 7, and 10 units at constant ionic strength. The bentonites were taken from the deposits Taganskoe (T), Dash-Salakhlinskoe (DS), Zyryanskoe (Z), and 10th Khutor (10H). The pH of bentonite aqueous suspensions, T and DS, exceeded 9 units. A less alkaline reaction was observed in bentonite suspensions Z and T with pH 8.94 and 7.70, respectively. Bentonites T and DS contained significant amounts of nonsilicate iron compounds, 1.0 and 0.5%, respectively. The recovery rate of the studied clays from aqueous solutions of Cs(I) and Sr(II) ions in concentrations from 0.25 to 5 mmol/L varied from 50% to 90% and decreased in the following order: “Ta-ganskoe” > “Dash-Salakhlinskoe” > “Zyryanskoe” > “10th Khutor” in the studied pH range. The main mechanism of Cs(I) and Sr(II) sorption in the studied pH range was cation fixation in the form of outer-sphere complexes on planar surfaces resulting from ion exchange. Increasing pH (pH > 6) enhanced pH-dependent positions, which allowed Cs(I) and especially Sr(II) ions to fix on them more firmly as inner-sphere complexes. At pH 9–10, Sr(II) could precipitate in the form of carbonates. The sorption of Cs(I) + and Sr(II) was accompanied by competitive interactions with proton at pH < 6 and Na+, Ca2+, Mg2+, and K+ cations at higher pH values. This competition was more apparent at concentrations of Cs(I)and Sr(II) in initial solutions < 0.5 mmol/L. The ability of bentonite T to sorb Cs(I) and Sr(II) in large amounts compared to the other bentonites was determined by high CEC values and charge of smectite T.
1. Introduction
Bentonite clays are considered one of the most promising materials to make safety barriers for radioactive waste disposal [1,2,3,4,5,6,7,8]. The ability of bentonites to absorb radionuclides depends on their mineral composition, crystal-chemical features of smectite (i.e., montmorillonite—the main component of bentonites), surface area, and clay pore space structure [9,10,11]. The regularities of radionuclide sorption on bentonites are also affected by the chemical composition and properties of solutions in contact with bentonite [12,13,14,15]. In the sites of intended radioactive waste storage, the pH value of ground or formation waters varies greatly, from highly acidic with pH 2 to strongly alkaline with pH > 10 [4,16,17,18]. Moreover, the waters differ in composition and salt content. In the interface of solutions with high ionic strength, the sorption of radionuclides can decrease sharply due to competitive interactions among metals and changes in the sorbent surface area. Therefore, to predict the sorption of radionuclides on bentonites, it is necessary to know sorption mechanisms under different environmental conditions.
The main mechanism of Cs(I) sorption on smectites is ion exchange. It does not depend on pH and occurs on planar surfaces and in smectite interlayers in the form of outer-sphere complexes [19,20,21]. The sorption of Cs(I) can involve one to three types of sorption centers characterized by different absorption selectivity [13,22,23,24,25,26,27,28,29,30,31]. Some montmorillonites can adsorb Cs(I), forming an inner-sphere surface complex [32].
Cation exchange on homogeneous sorption centers is believed to be the main mechanism of Sr sorption on bentonites [20,27,33,34]. However, formation reactions of surface inner-sphere complexes can significantly contribute to Sr sorption at high ionic strengths and pH > 8 [35].
Apart from smectites, bentonites may contain other minerals, such as micas/illites, iron oxides, and hydroxides. This can affect the regularities of Cs(I) and Sr(II) sorption on bentonites, depending on their amount and structural features.
The aim of this work was to establish sorption regularities and mechanisms of nonradioactive analogs of Cs(I) and Sr(II) on bentonites of various compositions from aqueous solutions of cesium and strontium nitrates with pH 3, 7, and 10 units.
2. Materials and Methods
2.1. Materials
The objects of study were the bentonites from large industrial deposits in Russia, Republic of Kazakhstan, and the Republic of Azerbaijan. These bentonites can be regarded as alternative materials to develop engineered barriers for geological disposal of radioactive waste at the Yenisei site [5]: 10-Khutor (sample 10H, Republic of Khakassia), Taganskoe (sample T, Republic of Kazakhstan), Zyryanskoe (sample Z, Kurgan region, Russia), and Dash-Salakhlinskoe (sample DS, Republic of Azerbaijan). The selected deposits differ in genesis [36,37]: from sedimentary (Z), volcano-sedimentary (10H), to hydrothermal (T, DS).
Bentonite samples were provided by “Company Bentonite” LLC in powder form. Clay powder was prepared in laboratory conditions. At the first stage, lump clay was crushed on a jaw crusher to a class of 0–50 mm. At the second stage, the clay was passed through a 10-mm mesh to a class of 0–10 mm. At the third stage, the clay was dried at a temperature of 100–105 °C in an oven to a moisture content of 8%. At the fourth stage, the dried clay passed the grinding stage by grinding in a knife mill to a class of 0–0.1 mm. The residue on the sieve of 0.1 mm that did not pass through the mesh was partially abraded in a mortar to form the required particle size distribution (75% less than 0.1 mm).
All the samples have a similar content of smectite [38] (Table 1), which allows us to compare the results properly.
Table 1.
Mineral composition of bentonite clay samples, wt.% [38].
2.2. Methods
2.2.1. Physicochemical Properties of Bentonites
To measure pH, a 0.45 g sample of clay was poured with 45 mL distilled water and shaken on an LS 210 rotator (LOIP, Saint Petersburg, Russia) for 10 min at 250 rpm. pH was measured in a bentonite suspension. The pH value of the suspension was measured using a SevenGo pro potentiometer (Mettler Toledo Inc., New York, NY, USA) with an Inlab@Expert Pro combined glass electrode.
The aqueous extract was prepared by adding 45 mL distilled water to 0.45 g of clay. The resulting suspensions were stirred on an LS 210 rotator (LOIP, Saint Petersburg, Russia) for 5 h at a speed of 150 rpm. Then, the tubes were centrifuged for 5 min at 10,000 rpm in a centrifuge (Eppendorf Centrifuge 5804× g, Eppendorf, Hamburg, Germany).
The concentrations of Na, Ca, Mg, and K in the extract were determined by optical emission spectroscopy on an Agilent 5110 inductively coupled plasma optical emission spectrometer (ICP-OES) (Agilent Technologies, Inc., Santa Clara, CA, USA).
The cation exchange capacity (CEC) was measured by adsorption of a copper(II) triethylenetetramine complex [Cu(Trien)]2+ [39,40,41].
The content of nonsilicate iron (FeCDB) in the bentonites was determined by the method of Mehr and Jackson [42]. Fe concentration was measured using ICP-OES on an Agilent 5110 inductively coupled plasma optical emission spectrometer (Agilent Technologies, Inc., Santa Clara, CA, USA).
Determination of the points of zero charge (pHPZC) and zero salt effect (pHPZSE) was performed in a suspension: 30 mL of distilled water was added to 0.025 g of clay. The suspension was stirred with a magnetic stirrer for 30 min in a titration cell and swept with carbon-dioxide-free air. pHPZC and pHPZSE were determined by potentiometric titration on a Metter Toledo DL58 auto-titrator (Mettler-Toledo AG, Schwerzenbach, Switzerland) using a DG111 combined electrode. Titration was carried out from the starting point to pH 3 by adding 0.02 N HCl, and to pH 10 by adding 0.02 N NaOH. The volume increment during titration was 0.1 mL. Each subsequent aliquot of the titrant was added after 2 min. Titration was carried out in carbon-dioxide-free air at 0.001, 0.01, and 0.1 M NaCl. pHPZC and pHPZSE were determined at the intersection of the titration curves corresponding to zero and negative surface charges, respectively.
The calculation of layer charge from the structural formulas of smectites was carried out per half formula unit with a constant number of anions—O10(OH)2 and 2 octahedral cations, based on the average data of the chemical composition of 10 points from microprobe analysis. The impurities identified by X-ray diffraction and IR spectroscopy were taken into account. The Fe2+/Fe3+ ratio in octahedral smectite sheets was obtained from Mössbauer spectroscopy data. To calculate the structural formulas, fractions < 1 µm were taken by centrifugation of the aqueous suspensions. No chemicals were used to disperse the suspension, only ultrasonic treatment for 1 min.
2.2.2. Scheme of Sorption Experiments
A total of 45 mL of CsNO3 or Sr(NO3)2 solutions with concentrations of 0.025, 0.125, 0.25, 0.5, 1.0, 2.5, and 5.0 mmol/L were added to the samples of bentonites (0.45 g) placed in centrifuge tubes. Solutions of cesium and strontium nitrates with pH 3, 7, and 10 were used for the experiments. A total of 1 mL of 1 M NaCl, which was used as a background electrolyte, was added to each test tube. The pH of the resulting suspensions was adjusted to 3 ± 0.3, 7 ± 0.3, or 10 ± 0.3 by adding 0.02 N HCl and 0.02 N NaOH solutions.
The resulting suspensions were stirred on an LS 210 rotator (LOIP, Saint Petersburg, Russia) for 5 h at a speed of 150 rpm. Then, the tubes were centrifuged for 5 min at 7000 rpm in a centrifuge (Eppendorf Centrifuge 5804× g, Eppendorf, Hamburg, Germany).
The supernatant was filtered using a membrane filter with a pore size of 0.45 μm. The values of pH and specific electrical conductivity (SEC), as well as the concentration of Cs, Sr, Ca, Mg, K, Na, Fe, Mn, and Al were determined in the supernatant. The pH was determined by SevenGo pro (Mettler Toledo Inc., New York, NY, USA) with an Inlab@Expert Pro combined glass electrode. The SEC of the solutions was measured with the conductometric method on an ANION-7020 conductometer-salt meter (Infraspak-Analyt Ltd., Barcelona, Spain). The metal ion concentration was determined by ICP-OES method.
2.2.3. Sequential Extraction
The sequential extraction experiments to assess the fractionation of Cs(I) and Sr(II) in various samples were carried out according to the Tessier procedure [43]. A total of 45 mL an extractant was added to 0.45 g of sample after sorption. The resulting suspensions were stirred on an LS 210 rotator (LOIP, Saint Petersburg, Russia) for 1 h at a speed of 150 rpm. Then, the tubes were centrifuged for 10 min at 10,000 rpm in a centrifuge (Eppendorf Centrifuge 5804× g, Hamburg, Germany), and the supernatant was collected and used for measurements.
All the experiments were carried out in duplicate.
3. Results
3.1. Chemical Properties of Bentonites
Bentonites 10H and DS had a pH higher than 9 units (Table 2). This can be due to the presence of sodium bicarbonate in the samples, which was indirectly confirmed by high concentrations of Na+ in the aqueous extracts from these bentonites (Table 2).
Table 2.
Physicochemical properties of the bentonites (average of 2 replications).
The pH values in bentonites Z and T were 8.94 and 7.70, respectively. These values could result from calcium carbonate equilibria.
The aqueous extracts contained significant amounts of Na+: the highest concentrations were found in the extracts from clays DS and 10H (Table 2). These clays also had higher concentrations of other cations compared to the other clays. The lowest concentrations of cations were found in the aqueous extract from clay T. It contained no Ca2+, and the concentrations of Mg2+ and K+ did not exceed 1 mmol/L (Table 2). The bentonites T and DS had the highest CEC: approximately 100 mmol(+)/100 g and 90 mmol(+)/100 g, respectively (Table 2).
3.2. pHPZC and pHPZSE
The potentiometric titration curves, which were obtained using electrolytes of different concentrations, intersected at a point that corresponds to the equality of positive and negative charges on the surface of bentonites 10H and T. pHPZC of these bentonites was 8.5 and 7.7 units, respectively (Table 2). The titration curves of betonites Z and DS intersected at points corresponding to the negative surface charge; pHPZSE for these clays was about 6.5 and 6.7 units, respectively (Table 2).
3.3. Sorption Experiments
In all experiments, the SEC of equilibrium solutions of cesium and strontium nitrates almost did not change and varied from 2 to 3.5 mS/cm. This indicates that ionic strength was constant at all the studied concentrations during the sorption experiment.
The pH of equilibrium solutions differed from that of the initial solutions in different clays and at different pH ranges (Figure 1). This can be explained by different buffer properties of the clays.
Figure 1.
pH dependence on the concentration of Cs(I) or Sr(II) in the equilibrium solution under the experiments at pH of the initial solution 3 (A), 7 (B), and 10 (C) with bentonites 10H, T, Z, and DS. Empty and filled icons are replications of the experiment.
The equilibrium pH values turned out to be lower than those for the other clays studied in the experiments on the sorption of cesium ions from the solutions of cesium nitrate with pH 3 and 7 and from a strontium nitrate solution with pH 7 on bentonite T. Adsorption of metal ions from CsNO3 and Sr(NO3)2 solutions with pH 10 occurred at the same pH values for all the studied clays (Figure 1).
The recovery rate of cesium ions from the solutions for all clays proved the highest in the experiments with pH 7 solutions. pH 3 solutions showed the least cesium recovery (Figure 2A).
Figure 2.
The recovery rate of Cs(I) and Sr(II) from solutions with pH 3 (A), 7 (B), and 10 (C) by bentonites 10H, T, Z, and DS. Empty and filled icons are replications of the experiment.
The recovery rate of Sr(II) from Sr(NO3)2 solutions by bentonite T did not depend on pH and was higher than that of the other bentonites (Figure 2).
In general, the recovery rate of Cs(I) and Sr(II) from the solutions by the studied clays decreased in the following series of bentonites: T > DS > Z > 10H (Figure 2).
The Cs(I) adsorption isotherms are close to linear, while the Sr(II) adsorption isotherms deviate from a straight line (Figure 3).
Figure 3.
Adsorption isotherms of Cs(I) and Sr(II) on bentonites 10H, T, Z, and DS in experiments with the initial solution at pH 3 (A), 7 (B), and 10 (C). Empty and filled icons are replications of the experiment.
In terms of mass unit, bentonite T sorbed more Cs(I) at almost all concentrations and pH compared to the other clays. The ability of clays to adsorb Cs(I) from aqueous nitrate solutions with pH 3 and 7 decreases in the series T > DS ≈ Z > 10H (Figure 3A,B). Bentonite 10H adsorbed slightly more cesium compared to bentonite Z from cesium nitrate solutions with pH 10 (Figure 3C).
Under all studied concentrations and pH ranges, Sr(II) was more adsorbed on bentonite T, while adsorption decreased in the series of bentonites: T > DS > Z > 10H (Figure 3).
Thus, in terms of mass unit, bentonite T showed the best ability to adsorb Cs(I) and Sr(II) from the aqueous solutions among the studied bentonites.
In the experiments with a pH 7 solution of cesium nitrate for all clays, the adsorption of cesium ions appeared somewhat higher compared to the experiments with cesium nitrate solutions with pH 3 and 10 (Figure 3).
4. Discussion
4.1. Adsorption Regularities of Cs(I) and Sr(II)
The recovery rate of Cs(I) from the solutions for all clays appeared the highest in the experiments with pH 7 solutions (Figure 2B). pH 3 solutions showed the least extraction of cesium (Figure 2A). It can be assumed that proton competes with Cs(I) for sorption positions in the equilibrium solutions at pH < 6, and the lower the pH and initial concentration of the solution, the more apparent this competition. A slight decrease in the recovery rate of Cs(I) from pH 10 solutions compared to the neutral solutions of cesium nitrate can be explained by competitive reactions with the Na+ ion. This ion appeared in the solution after adjusting pH to 10 units with sodium hydroxide solution (Figure 2B,C). Competition for sorption positions between protons and ions of Sr(II) can occur at low strontium concentrations (Figure 2A).
4.2. Heterogeneity of Sorption Centers
The dependences of lgKd on lgCeq allow us to conclude that all the studied clays adsorb cesium on more or less uniform sorption centers within concentrations used in the experiments with solutions at pH 3 and 7 (Figure 4A,B), while heterogeneity of the centers increases at higher pH (Figure 4B, Table S1).
Figure 4.
Dependence of lgKd on lgCeq in the experiments with bentonites 10H, T, Z, and DS at pH of the initial solution 3 (A), 7 (B), and 10 (C). Empty and filled icons are replications of the experiment.
Aluminol and silanol groups, whose pKa exceeds 6.5 units, become highly deprotonated within equilibrium pH from 9 to 10 (pH of the initial solutions is 10) [9,44,45]. This leads to new sorption centers on the frayed edge sites (FES) of crystallites. Deprotonation of aluminol and silanol functional groups can result in sorption centers with different energy characteristics and change in lgKd with increasing equilibrium concentration of CsNO3 solutions.
At least two types of sorption sites absorb Sr(II) in all clays within the studied pH range (Figure 4; Table S1).
Unlike the acidic solutions, the experiments with the initial solutions at pH 10 reveal the tendency to increase lgKd for all bentonites at low equilibrium concentrations of Cs(I) and Sr(II). This may indicate that new sorption centers resulting from deprotonation can fix Cs(I) and Sr(II) in the form of inner-sphere complexes. This is a stronger bond than electrostatic interaction of these cations with planar surfaces in the form of exchange cations [46]. Since the newly formed sorption centers are more selective, they first become filled with metal ions and significantly contribute to the total adsorption at low concentrations of the initial solutions of cesium and strontium nitrates (Figure 4A,B). The same results of the concentration-dependent Kd were obtained for Fe-montmorillonite [13]. The experiments on the sorption of Cs(I) from an aqueous solution in 0.1 M NaCl at pH 4.7 within concentrations from 2.44 × 10−10 M to 5 × 10−2 M revealed two types of sorption centers: with high affinity and low capacity (on FES), and with low affinity for cesium but with high capacity (on planar surfaces). FES were shown to become filled at low cesium concentrations. Using the X-ray photoelectron spectroscopy (XPS) method, Nakano et al. measured the binding energy of Cs+ ions with Na-bentonite containing 99% montmorillonite and found that montmorillonite contains at least two types of different adsorption sites for Cs+ cations [47]. EXAFS method revealed that Wyoming montmorillonite treated with a cesium chloride solution contains outer- and inner-sphere surface Cs complexes. The former occupy places in the interlayer spaces, the latter occur in the extended marginal areas of the interlayer spaces [48].
The equilibrium experiments with bentonites of western India, carried out in the concentration of 10−9–10−2 mol/L at pH 5.6 ± 0.2 in 0.1 and 0.01 M NaCl, revealed two types of sorption centers for Cs+ and only one type for Sr2+ [30,33]. In addition, Putilina et al. [49] showed that formation of surface Sr(II) complexes on the side surfaces of (010) 2:1 clay minerals makes a significant contribution to the total sorption at pH > 8.
Nonsilicate iron compounds can also result in the pH-dependent surface charge and corresponding sorption sites in bentonite T and, possibly, DS and Z. The pHPZC and pHPZSE for bentonites of different compositions can vary in pH from 5.6 to 6.4 [50,51,52]. The pHPZC of nonsilicate iron compounds tends to exceed 8 [53,54]. Our experiment revealed higher pH of the equilibrium solutions than pHPZC of iron hydroxides for all bentonites in the experiments with the initial solutions at pH 10 (Table 1, Figure 1). This means that >50% of the surface hydroxyls will carry a negative charge and may sorb cations.
The bentonite of the Taganskoye deposit contains about 1% nonsilicate iron (Table 1). Therefore, the iron hydroxides of this clay can be important carriers of the pH-dependent charge. In the bentonite from the 10th Khutor deposit, which contains only 0.07% nonsilicate iron (Table 1), the pH-dependent charge is mainly associated with the edge sites of clay mineral crystallites.
4.3. Adsorption Mechanisms of Cs(I) and Sr(II)
As shown by numerous studies, the main sorption mechanism of Cs(I) and Sr(II) on montmorillonite is ion exchange [20,24,33,55], which occurs regardless of pH.
To confirm our assumptions, we compared the equivalent amounts of sorbed Cs(I) and Sr(II) cations and Na+, K+, Ca2+, and Mg2+ ions that passed into the equilibrium solution. The calculations were performed for one of the replications in two variations of the experiment—with the initial solutions at pH 3 and 10. The concentrations of Al, Fe, and Mn in the equilibrium solutions varied from 0 to 0.07 mmol/L and were not taken into account to determine the exchange equivalence. Since a certain amount of cations passed into the water extract from clays, and sodium chloride was used to maintain the ionic strength, the concentration of Na was subtracted from the resulting equilibrium concentrations. Based on the calculations in the literature [27], we neglected the concentrations of SrCl+ and SrOH−, as our experiments provided the ionic strength of 0.01 M in the equilibrium solutions.
The calculations performed are approximate, since the solubility of salts in the solutions of cesium and strontium nitrates with the addition of sodium chloride will differ from the solubility of these salts in distilled water.
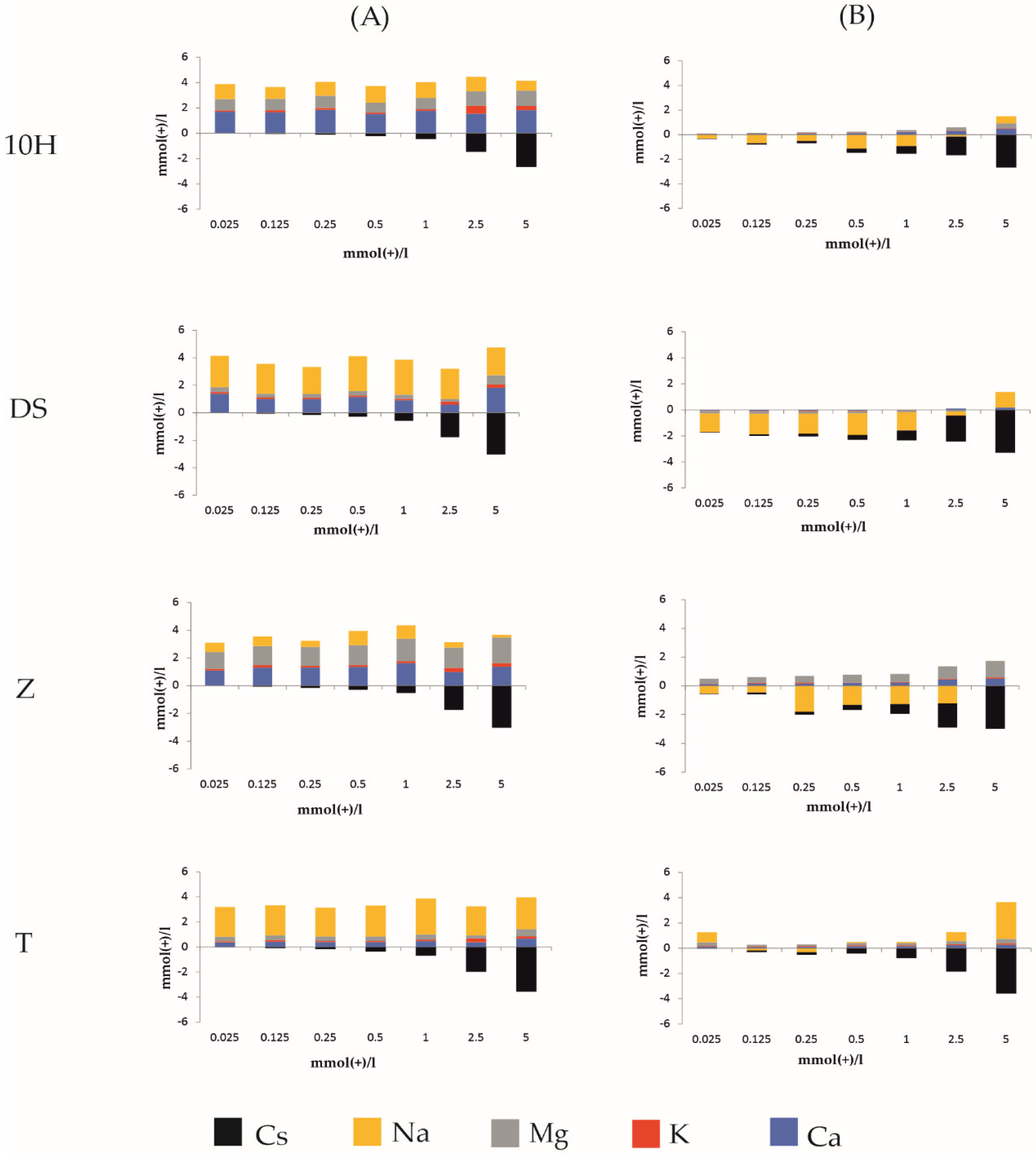
The calculations showed that, in the experiments with pH 3 solutions of cesium nitrates within used concentrations for all clays, the number of equivalents that passed into the equilibrium solution of cations exceeded the equivalent amounts of absorbed Cs(I) (Figure 5A). This means that ion exchange as an absorption mechanism takes place, and exchange reactions are not the only source of cations in the equilibrium solution. Among the cations that passed into solution from DS and T, Na+ is predominant, while Ca2+ and Mg2+ are predominant from bentonites 10H and Z. This can be explained as follows: not only exchange reactions, but also the additional dissolution of salts, primarily carbonates, may result in Na+, Ca2+, K+, and Mg2+ in the equilibrium solution under acidic conditions. Additionally, as mentioned above, ions compete for sorption sites with a proton under acidic conditions, as in the case of the bentonite from the Taganskoe deposit.
Figure 5.
The number of cations released (+) and absorbed from the solution (−) depends on the initial concentration of the CsNO3 solution at pH 3 (A) and 10 (B).
The experiments on the sorption of Sr(II) ions showed similar results (Figure 6A). However, unlike Cs(I) ions, bentonites 10H and Z at the highest concentrations absorb Sr(II) in amounts equivalent to the number of exchange cations passed into the solution. At the same concentrations of Sr(II), bentonites T and DS absorb a few more equivalents of strontium than those released into the solution of cations. It can be assumed that strontium on these bentonites is partially fixed on the pH-dependent positions.
Figure 6.
The number of cations released (+) and absorbed from the solution (−) depends on the initial concentration of the Sr(NO3)2 solution at pH 3 (A) and 10 (B).
The experiments with the initial solutions of cesium and strontium nitrates at pH 10 showed different results (Figure 5B and Figure 6B). In most cases, at low and medium concentrations of Cs(I) in the equilibrium solution, the concentration of Na+ ions decreases. In the experiments on the sorption of Sr(II) ions, Ca2+ for bentonite DS decreases too. This may result from the absorption by clays, and, in this case, these cations compete for sorption sites with Cs(I) and Sr(II) ions. In addition, under conditions of equilibrium at pH 9–10, Ca2+ can precipitate in the form of compounds with a particle size of >0.45 μm, which leads to the decreased concentration of these ions in the equilibrium solution.
The range of high concentrations of the initial solutions is characterized by larger amounts of sorbed Cs(I) and Sr(II) than cations released into the solution (Figure 5B and Figure 6B). This may be because a certain amount of Cs(I) and Sr(II) ions fixed on pH-dependent sorption centers deprotonated at pH from 9 to 10.
Thus, we can conclude that the sorption of Cs(I) and Sr(II) on bentonite clays occurs as a result of several mechanisms. The main sorption mechanism within used pH values is the fixation of cations in the form of outer-sphere complexes on planar surfaces caused by ion exchange. This conclusion is supported by the results of the Tessier extraction. From 60% to 80% of the Cs(I) and Sr(II) adsorbed by bentonites are fixed loosely and extracted from the clays with water and 1 M NH4Cl at pH 3 and 80–100% at pH 3 (Figure S1).
The increase in pH (pH > 6) enhances pH-dependent positions on which Cs(I) and especially Sr(II) ions can fix more tightly as inner-sphere complexes. However, it is also possible that, at pH from 9 to 10, Sr(II) may precipitate in the form of carbonates or its sorption may decrease due to increased SrHCO3− in the solution [49].
The sorption of Cs(I) and Sr(II) is accompanied by competitive interactions with a proton at pH <6 and with Na+, Ca2+, Mg2+, and K+ cations at higher pH.
4.4. Sorption Capacity Factors of the Studied Clays
In all variations of the experiment, the bentonite of the Taganskoe deposit extracted more cesium and strontium per unit weight of the sample from the aqueous solutions compared to the other bentonites. All the studied bentonites contained almost equal amounts of smectite, about 74% [5,38]. Consequently, other things being equal, the properties of smectite will determine the ability of bentonite to sorb cesium and strontium. The main properties that determine the sorption capacity of smectites include cation exchange capacity, the total charge of the layer, charge localization in the layer [56,57,58], as well as the total number of sorption sites.
Bentonite T has the highest CEC and a high charge of the smectite layer (Table 1); therefore, more Cs(I) and Sr(II) per mass unit can be adsorbed on this particular bentonite. Bentonite 10H has the lowest charge of smectite layers; hence, it had the least adsorption of Cs(I) and Sr(II) compared to the other bentonites.
As mentioned above, bentonites T and DS contain nonsilicate iron, which, in the form of either individual minerals or films on the smectite surface, can be a source of pH-dependent charge and a carrier of sorption sites for Cs(I) and Sr(II). The literature provides different points of view in regard to cesium absorption by iron hydroxyls. For instance, Chiang et al. found a correlation between the maximum sorption of Cs and the iron content in the soils of tropics and subtropics in the Tamm extract [59]. The experiments devoted to the cesium sorption on magnetite showed that the mineral sorbs cesium within ionic strengths from 0.04 to 0.14 m/L in slightly acidic and alkaline media. The authors assume that Cs sorption on magnetite is possible due to ion exchange [60]. Furthermore, Semenkova et al. revealed that the removal of nonsilicate iron from Kutch clay increased Cs sorption [30]. Fe oxides (hydroxides) are able to absorb 90Sr from neutral and alkaline solutions by forming complexes in the diffuse layer [61,62] within ionic strengths from 0.04 to 0.14 m/L [60]. However, iron hydroxides adsorb more strontium under alkaline conditions (pH 13) than under neutral conditions (pH 6.5–7.2) [62]. Under our experiments, the adsorption of Cs(I) and Sr(II) on iron hydroxides is most likely at pH of the equilibrium solution > 9, i.e., in the experiments with the initial solution at pH 10. Perhaps these conditions allow pH-dependent positions on iron hydroxides to increase the heterogeneity of sorption sites shown in Figure 4C.
The carried-out comparison of the sorption abilities of bentonites is based on the calculations of the adsorbed amount of metals per unit weight of the sample. However, the total number of sorption sites also depends on the surface area. Therefore, further research is required to determine the external and internal surface area and compare the sorption abilities of bentonites per unit surface area.
5. Conclusions
This research revealed the sorption mechanisms of Cs(I) and Sr(II) cations on the bentonites with a similar content of smectite (73–74%). The studied bentonites can be regarded as a source material to make engineered safety barriers for geological burial of radioactive waste in the crystalline massif at the site “Yeniseisky” (Krasnoyarsk region).
The pH of the aqueous suspensions of the bentonites (clay:water ratio 1:100) from the 10th Khutor and Dash-Salakhlinskoye deposits exceeded 9 units. A less alkaline reaction was observed in the suspensions of the bentonites from the Zyryanskoe and Taganskoe deposits, with pH 8.94 and 7.70, respectively. The bentonites from the Taganskoye and Dash-Salakhlinskoye deposits contained significant amounts of nonsilicate iron compounds, 1.0 and 0.5%, respectively, which greatly contribute to a pH-dependent charge on the mineral surface.
The ability of clays to sorb Cs(I) and Sr(II) ions from the aqueous solutions of nitrates with pH 3 and 7 per unit mass decreases in the following series: T > DS ≈ Z > 10H. Bentonite Z absorbs more cesium compared to bentonite 10H from the solutions of cesium nitrate with pH 10. Strontium ions within the studied concentrations and pH are most sorbed on the bentonite of the Taganskoe deposit, while sorption decreases as follows: T > DS > Z > 10H. Overall, the recovery rate of Cs(I) and Sr(II) from the solutions by the studied clays decreases in the following order of bentonites: T > DS > Z > 10H.
The main mechanism of Cs+ and Sr2+ sorption within the studied pH rage is the fixation of cations in the form of outer-sphere complexes on planar surfaces as a result of ion exchange. The increase in pH (pH > 6) enhances pH-dependent positions on which Cs+ and especially Sr2+ ions can fix more firmly in the form of inner-sphere complexes. Sr2+ can precipitate as carbonates at pH from 9 to 10. The process of Cs+ and Sr2+ sorption is accompanied by competitive interactions with a proton at pH <6 and with Na+, Ca2+, Mg+, and K+ cations at higher pH. This competition is most pronounced at concentrations of Cs(I) and Sr(II) in the initial solutions <0.5 mol/L. The ability of bentonite T to sorb Cs(I) and Sr(II) in large amounts compared to the other bentonites is due to high CEC values and charge of smectite T.
Supplementary Materials
The following supporting information can be downloaded at: https://www.mdpi.com/article/10.3390/min12070862/s1, Table S1. Parameters of the adsorption equations; Figure S1 Sequential extraction results.
Author Contributions
Y.I. and I.T.: prepared material, conceived the design of the experiments, and wrote the paper; Y.I., I.G. and A.S.: carried out sorption and desorption experiments; Y.I., I.G. and M.K.: carried out physicochemical properties of bentonite; S.Z.: carried out X-ray diffraction analysis; O.Z. calculated layer charge and the structural formulas of smectites; V.K.: collected the data for mineral analysis and interpretation. All authors have read and agreed to the published version of the manuscript.
Funding
This research was performed according to the Development program of the Interdisciplinary Scientific and Educational School of M. Lomonosov Moscow State University «Future planet and global environmental change». This work was supported by the Russian Foundation for Basic Research, project No. 18-29-12115. Experimental studies were partially performed using the equipment acquired with the funding of Moscow State University Development Program (X-ray Diffractometer Ultima-IV, Rigaku).
Conflicts of Interest
The authors declare no conflict of interest. The funders had no role in the design of the study; in the collection, analyses, or interpretation of data; in the writing of the manuscript, or in the decision to publish the results.
References
- Bogatov, S.A.; Kryuchkov, D.V.; Pavlov, D.I.; Sychenko, D.V. Analysis of Various Concepts for RW Class 1 Disposal in Crystalline Rocks. Radioact. Waste 2020, 12, 66–77. [Google Scholar] [CrossRef]
- Disposal, G. A Review of the Development of Bentonite Barriers in the KBS 3V Disposal Concept; NDA Technical Note No. 21665941; Nuclear Decommissioning Authority (NDA): Moor Row, UK, 2014; 84p.
- Dorofeev, A.N.; Bolshov, L.A.; Linge, I.I.; Utkin, S.S.; Saveleva, E.A. Strategic Master Plan for R&D Demonstrating the Safety of Construction, Operation and Closure of a Deep Geological Disposal Facility for Radioactive Waste. Radioact. Waste 2017, 1, 33–41. [Google Scholar]
- Krupskaya, V.V.; Biryukov, D.V.; Belousov, P.E.; Lekhov, V.A.; Romanchuk, A.Y.; Kalmykov, S.N. Use of Natural Clay Materials to Increase Nuclear and Radiation Safety of Nuclear Legacy Facilities. Radioact. Waste 2018, 2, 24–34. [Google Scholar]
- Krupskaya, V.V.; Zakusin, S.V.; Lekhov, V.A.; Dorzhieva, O.V.; Belousov, P.E.; Tyupina, E.A. Buffer Properties of Bentonite Barrier Systems for Radioactive Waste Isolation in Geological Repository in the Nizhnekanskiy Massif. Radioact. Waste 2020, 10, 35–55. [Google Scholar] [CrossRef]
- Laverov, N.P.; Yudintsev, S.v.; Kochkin, B.T.; Malkovsky, V.I. The Russian Strategy of Using Crystalline Rock as a Repository for Nuclear Waste. Elements 2016, 12, 253–256. [Google Scholar] [CrossRef]
- Pusch, R.; Knutsson, S.; Al-Taie, L.; Mohammed, M.H. Optimal Ways of Disposal of Highly Radioactive Waste. Nat. Sci. 2012, 4, 906–918. [Google Scholar] [CrossRef]
- Sellin, P.; Leupin, O.X. The Use of Clay as an Engineered Barrier in Radioactive-Waste Management—A Review. Clays Clay Miner. 2014, 61, 477–498. [Google Scholar] [CrossRef]
- Bradbury, M.H.; Baeyens, B. Physico-Chemical Characterisation Data and Sorption Measurements of Cs, Ni, Eu, Th, U, Cl, I and Se on MX-80 Bentonite; No. PSI—11-05; NTB 09-08; Paul Scherrer Institute (PSI): Villigen, Switzerland, 2011. [Google Scholar]
- Kaufhold, S.; Dohrmann, R. Distinguishing between More and Less Suitable Bentonites for Storage of High-Level Radioactive Waste. Clay Miner. 2016, 51, 289–302. [Google Scholar] [CrossRef]
- Karnland, O.; Olsson, S.; Nilsson, U. Mineralogy and Sealing Properties of Various Bentonites and Smectite-Rich Clay Materials. In SKB Technical Report TR-06-30; Swedish Nuclear Fuel and Waste Management Co.: Stockholm, Sweden, 2006. [Google Scholar]
- Weber, W.J.; McGinley, P.M.; Katz, L.E. Sorption Phenomena in Subsurface Systems: Concepts, Models and Effects on Contaminant Fate and Transport. Water Res. 1991, 25, 499–528. [Google Scholar] [CrossRef]
- Chikkamath, S.; Patel, M.A.; Kar, A.S.; Raut, V.v.; Tomar, B.S.; Manjanna, J. Sorption of Cs(I) on Fe-Montmorillonite Relevant to Geological Disposal of HLW. Radiochim. Acta 2019, 107, 387–396. [Google Scholar] [CrossRef]
- Geckeis, H.; Rabung, T.; Ngo Manh, T.; Kim, J.I.; Beck, H.P. Humic Colloid-Borne Natural Polyvalent Metal Ions: Dissociation Experiment. Environ. Sci. Technol. 2002, 36, 2946–2952. [Google Scholar] [CrossRef] [PubMed]
- Krupskaya, V.V.; Zakusin, S.V.; Tyupina, E.A.; Dorzhieva, O.V.; Chernov, M.S.; Bychkova, Y.V. Transformation of Structure and Adsorption Properties of Montmorillonite under Thermochemical Treatment. Geochem. Int. 2019, 57, 314–330. [Google Scholar] [CrossRef]
- Krupskaya, V.V.; Zakusin, S.V.; Zhukhlistov, A.P.; Dorzhieva, O.V.; Sud’in, V.V.; Kryuchkova, L.Y.; Zubkov, A.A. Newly Formed Smectite as an Indicator of Geoenvironment Transformation under the Impact of Aggressive Solutions Accompanying Liquid Radioactive Waste. Geoekologiya Inzhenernaya Geol. Gidrogeol. Geokriol. J. 2016, 5, 412–419. (In Russian) [Google Scholar]
- Rozov, K.B.; Rumynin, V.G.; Nikulenkov, A.M.; Leskova, P.G. Sorption of 137Cs, 90Sr, Se, 99Tc, 152(154)Eu, 239(240)Pu on Fractured Rocks of the Yeniseysky Site (Nizhne-Kansky Massif, Krasnoyarsk Region, Russia). J. Environ. Radioact. 2018, 192, 513–523. [Google Scholar] [CrossRef] [PubMed]
- Meleshyn, A.Y.; Zakusin, S.V.; Krupskaya, V.V. Swelling Pressure and Permeability of Compacted Bentonite from 10th Khutor Deposit (Russia). Minerals 2021, 11, 742. [Google Scholar] [CrossRef]
- Kasar, S.; Kumar, S.; Kar, A.; Bajpai, R.K.; Kaushik, C.P.; Tomar, B.S. Retention Behaviour of Cs(I), Sr(II), Tc(VII) and Np(V) on Smectite-Rich Clay. J. Radioanal. Nucl. Chem. 2014, 300, 71–75. [Google Scholar] [CrossRef]
- Borisover, M.; Davis, J.A. Adsorption of Inorganic and Organic Solutes by Clay Minerals. In Developments in Clay Science; Elsevier: Amsterdam, The Netherlands, 2015; Volume 6. [Google Scholar]
- Belousov, P.; Semenkova, A.; Egorova, T.; Romanchuk, A.; Zakusin, S.; Dorzhieva, O.; Tyupina, E.; Izosimova, Y.; Tolpeshta, I.; Chernov, M.; et al. Cesium Sorption and Desorption on Glauconite, Bentonite, Zeolite, and Diatomite. Minerals 2019, 9, 625. [Google Scholar] [CrossRef]
- Missana, T.; Benedicto, A.; García-Gutiérrez, M.; Alonso, U. Modeling Cesium Retention onto Na-, K- and Ca-Smectite: Effects of Ionic Strength, Exchange and Competing Cations on the Determination of Selectivity Coefficients. Geochim. Cosmochim. Acta 2014, 128, 266–277. [Google Scholar] [CrossRef]
- Durrant, C.B.; Begg, J.D.; Kersting, A.B.; Zavarin, M. Cesium Sorption Reversibility and Kinetics on Illite, Montmorillonite, and Kaolinite. Sci. Total Environ. 2018, 610–611, 511–520. [Google Scholar] [CrossRef]
- Iijima, K.; Tomura, T.; Shoji, Y. Reversibility and Modeling of Adsorption Behavior of Cesium Ions on Colloidal Montmorillonite Particles. Appl. Clay Sci. 2010, 49, 262–268. [Google Scholar] [CrossRef]
- Wissocq, A.; Beaucaire, C.; Latrille, C. Application of the Multi-Site Ion Exchanger Model to the Sorption of Sr and Cs on Natural Clayey Sandstone. Appl. Geochem. 2018, 93, 167–177. [Google Scholar] [CrossRef]
- Gutierrez, M.; Fuentes, H.R. A Mechanistic Modeling of Montmorillonite Contamination by Cesium Sorption. Appl. Clay Sci. 1996, 11, 11–24. [Google Scholar] [CrossRef]
- Siroux, B.; Beaucaire, C.; Tabarant, M.; Benedetti, M.F.; Reiller, P.E. Adsorption of Strontium and Caesium onto an Na-MX80 Bentonite: Experiments and Building of a Coherent Thermodynamic Modelling. Appl. Geochem. 2017, 87, 167–175. [Google Scholar] [CrossRef]
- Semenkova, A.S.; Polyakova, T.R.; Korob, D.K.; Seregina, I.F.; Mikheev, I.v.; Krupskaya, V.v.; Romanchuk, A.Y.; Kalmykov, S.N. Sorption of Cs(I) and Np(V) onto Clays from the Ostrozhanskoe Deposit (Belarus). Radiochemistry 2019, 61, 619–624. [Google Scholar] [CrossRef]
- Semenkova, A.S.; Ilina, O.A.; Krupskaya, V.V.; Zakusin, S.V.; Dorzhieva, O.V.; Pokidko, B.V.; Romanchuk, A.Y.; Kalmykov, S.N. The Sorption of Radionuclides on Clay Minerals—The Components of Engineering Safety Barriers. Mosc. Univ. Chem. Bull. 2021, 76, 316–324. [Google Scholar] [CrossRef]
- Semenkova, A.S.; Evsiunina, M.V.; Verma, P.K.; Mohapatra, P.K.; Petrov, V.G.; Seregina, I.F.; Bolshov, M.A.; Krupskaya, V.V.; Romanchuk, A.Y.; Kalmykov, S.N. Cs+ Sorption onto Kutch Clays: Influence of Competing Ions. Appl. Clay Sci. 2018, 166, 88–93. [Google Scholar] [CrossRef]
- Missana, T.; García-Gutiérrez, M.; Benedicto, A.; Ayora, C.; De-Pourcq, K. Modelling of Cs Sorption in Natural Mixed-Clays and the Effects of Ion Competition. Appl. Geochem. 2014, 49, 95–102. [Google Scholar] [CrossRef]
- Cherif, M.A.; Martin-Garin, A.; Gérard, F.; Bildstein, O. A Robust and Parsimonious Model for Caesium Sorption on Clay Minerals and Natural Clay Materials. Appl. Geochem. 2017, 87, 22–37. [Google Scholar] [CrossRef]
- Kasar, S.; Kumar, S.; Saha, A.; Tomar, B.S.; Bajpai, R.K. Mechanistic and Thermodynamic Aspects of Cs(I) and Sr(II) Interactions with Smectite-Rich Natural Clay. Environ. Earth Sci. 2017, 76, 274. [Google Scholar] [CrossRef]
- Baborová, L.; Vopálka, D.; Červinka, R. Sorption of Sr and Cs onto Czech Natural Bentonite: Experiments and Modelling. J. Radioanal. Nucl. Chem. 2018, 318, 2257–2262. [Google Scholar] [CrossRef]
- Missana, T.; García-Gutiérrez, M. Adsorption of Bivalent Ions (Ca(II), Sr(II) and Co(II)) onto FEBEX Bentonite. Phys. Chem. Earth 2007, 32, 559–567. [Google Scholar] [CrossRef]
- Belousov, P.E.; Krupskaya, V.V. Bentonite Clays of Russia and Neighboring Countries. Georesursy 2019, 21, 79–90. [Google Scholar] [CrossRef]
- Belousov, P.; Chupalenkov, N.; Christidis, G.E.; Zakusina, O.; Zakusin, S.; Morozov, I.; Chernov, M.; Zaitseva, T.; Tyupina, E.; Krupskaya, V. Carboniferous Bentonites from 10Th Khutor Deposit (Russia): Composition, Properties and Features of Genesis. Appl. Clay Sci. 2021, 215, 106308. [Google Scholar] [CrossRef]
- Belousov, P.E.; Pokidko, B.V.; Zakusin, S.V.; Krupskaya, V.V. Quantitative Methods for Quantification of Montmorillonite Content in Bentonite Clays. Georesursy 2020, 22, 38–47. [Google Scholar] [CrossRef]
- Meier, L.P. Determination of the Cation Exchange Capacity (CEC) of Clay Minerals Using the Complexes of Copper(II) Ion with Triethylenetetramine and Tetraethylenepentamine. Clays Clay Miner. 1999, 47, 386–388. [Google Scholar] [CrossRef]
- Dohrmann, R.; Kaufhold, S. Three New, Quick CEC Methods for Determining the Amounts of Exchangeable Calcium Cations in Calcareous Clays. Clays Clay Miner. 2009, 57, 338–352. [Google Scholar] [CrossRef]
- Dohrmann, R.; Genske, D.; Karnland, O.; Kaufhold, S.; Kiviranta, L.; Olsson, S.; Plötze, M.; Sandén, T.; Sellin, P.; Svensson, D.; et al. Interlaboratory CEC and Exchangeable Cation Study of Bentonite Buffer Materials: I. Cu(II)-Triethylenetetramine Method. Clays Clay Miner. 2012, 60, 162–175. [Google Scholar] [CrossRef]
- Vorob’eva, L.A. Chemical Analysis of Soils; Lomonosov Moscow State University (MSU): Moscow, Russia, 1998; Volume 272. [Google Scholar]
- Tessier, A.; Campbell, P.G.C.; Bisson, M. Sequential Extraction Procedure for the Speciation of Particulate Trace Metals. Anal. Chem. 1979, 51, 844–851. [Google Scholar] [CrossRef]
- Tombácz, E.; Szekeres, M. Colloidal Behavior of Aqueous Montmorillonite Suspensions: The Specific Role of PH in the Presence of Indifferent Electrolytes. Appl. Clay Sci. 2004, 27, 75–94. [Google Scholar] [CrossRef]
- Liu, X.; Lu, X.; Sprik, M.; Cheng, J.; Meijer, E.J.; Wang, R. Acidity of Edge Surface Sites of Montmorillonite and Kaolinite. Geochim. Cosmochim. Acta 2013, 117, 180–190. [Google Scholar] [CrossRef]
- Anderson, H.L.; Brady, P.V.; Cygan, R.T.; Gruenhagen, S.E.; Nagy, K.L.; Westrich, H.R. Sorption on Clays and Fe-Oxides. In Proceedings of the 19th US Department of Energy Low Level Radioactive Waste Management Conference (INEEL/CONF-98-01-01138), Salt Lake City, UT, USA, 10–12 November 1998. [Google Scholar]
- Nakano, M.; Kawamura, K.; I/chikawa, Y. Local Structural Information of Cs in Smectite Hydrates by Means of an EXAFS Study and Molecular Dynamics Simulations. Appl. Clay Sci. 2003, 23, 15–23. [Google Scholar] [CrossRef]
- Bostick, B.C.; Vairavamurthy, M.A.; Karthikeyan, K.G.; Chorover, J. Cesium Adsorption on Clay Minerals: An EXAFS Spectroscopic Investigation. Environ. Sci. Technol. 2002, 36, 2670–2676. [Google Scholar] [CrossRef] [PubMed]
- Putilina, V.S.; Galickaya, I.V.; Yuganova, T.I. Sorption Processes when Groundwater Contaminating by Heavy Metals and Radioactive Elements. Cadmium; Siberian Branch of the Russian Academy of Sciences: Novosibirsk, Russia, 2012; Volume 99, 110p, Available online: http://www.spsl.nsc.ru/putilina-v-s-sorbcionnye-processy-pri-zagryaznenii-podzemnyx-vod-tyazhelymi-metallami-i-radioaktivnymi-elementami-kadmij/(In Russian). (accessed on 1 June 2022).
- Eren, E.; Afsin, B. An Investigation of Cu(II) Adsorption by Raw and Acid-Activated Bentonite: A Combined Potentiometric, Thermodynamic, XRD, IR, DTA Study. J. Hazard. Mater. 2008, 151, 682–691. [Google Scholar] [CrossRef] [PubMed]
- Gu, X.; Evans, L.J.; Barabash, S.J. Modeling the Adsorption of Cd (II), Cu (II), Ni (II), Pb (II) and Zn (II) onto Montmorillonite. Geochim. Cosmochim. Acta 2010, 74, 5718–5728. [Google Scholar] [CrossRef]
- de Almeida Neto, A.F.; Vieira, M.G.A.; da Silva, M.G.C. Cu(II) Adsorption on Modified Bentonitic Clays: Different Isotherm Behaviors in Static and Dynamic Systems. Mater. Res. 2012, 15, 114–124. [Google Scholar] [CrossRef]
- Stumm, W. Chemistry of the Solid-Water Interface: Processes at the Mineral- Water and Particle-Water Interface in Natural Systems. Soil Sci. 1993, 156, 205. [Google Scholar] [CrossRef][Green Version]
- Pinskii, D.L. Ion-Exchange Processes in Soils; Scientific Center of the Russian Academy of Sciences: Pushchino, Russia, 1997; 166p. [Google Scholar]
- Kasar, S.; Mishra, S.; Omori, Y.; Sahoo, S.K.; Kavasi, N.; Arae, H.; Sorimachi, A.; Aono, T. Sorption and Desorption Studies of Cs and Sr in Contaminated Soil Samples around Fukushima Daiichi Nuclear Power Plant. J. Soils Sediments 2020, 20, 392–403. [Google Scholar] [CrossRef]
- Liu, X.; Lu, X.; Wang, R.; Zhou, H. Effects of Layer-Charge Distribution on the Thermodynamic and Microscopic Properties of Cs-Smectite. Geochim. Cosmochim. Acta 2008, 72, 1837–1847. [Google Scholar] [CrossRef]
- Dzene, L.; Verron, H.; Delville, A.; Michot, L.J.; Robert, J.L.; Tertre, E.; Hubert, F.; Ferrage, E. Influence of Tetrahedral Layer Charge on the Fixation of Cesium in Synthetic Smectite. J. Phys. Chem. C 2017, 121, 23422–23435. [Google Scholar] [CrossRef]
- Kalinichev, A.G.; Loganathan, N.; Wakou, B.F.N.; Chen, Z. Interaction of Ions with Hydrated Clay Surfaces: Computational Molecular Modeling for Nuclear Waste Disposal Applications. Procedia Earth Planet. Sci. 2017, 17, 566–569. [Google Scholar] [CrossRef]
- Chiang, P.N.; Wang, M.K.; Huang, P.M.; Wang, J.J.; Chiu, C.Y. Cesium and Strontium Sorption by Selected Tropical and Subtropical Soils around Nuclear Facilities. J. Environ. Radioact. 2010, 101, 472–481. [Google Scholar] [CrossRef] [PubMed]
- Filipská, H.; Štamberg, K. Sorption of Cs(I) and Sr(II) on a Mixture of Bentonite and Magnetite Using SCM + IExM: A Parametric Study. J. Radioanal. Nucl. Chem. 2006, 270, 531–542. [Google Scholar] [CrossRef]
- Trivedi, P.; Axe, L. A Comparison of Strontium Sorption to Hydrous Aluminum, Iron, and Manganese Oxides. J. Colloid Interface Sci. 1999, 218, 554–563. [Google Scholar] [CrossRef] [PubMed]
- Egorin, A.; Tokar, E.; Kalashnikova, A.; Sokolnitskaya, T.; Tkachenko, I.; Matskevich, A.; Filatov, E.; Zemskova, L. Synthesis and Sorption Properties towards Sr-90 of Composite Sorbents Based on Magnetite and Hematite. Materials 2020, 13, 1189. [Google Scholar] [CrossRef]
Publisher’s Note: MDPI stays neutral with regard to jurisdictional claims in published maps and institutional affiliations. |
© 2022 by the authors. Licensee MDPI, Basel, Switzerland. This article is an open access article distributed under the terms and conditions of the Creative Commons Attribution (CC BY) license (https://creativecommons.org/licenses/by/4.0/).





