Study on Solvent Extraction of Rare Earth Elements from Leaching Solution of Coal Fly Ash by P204
Abstract
1. Introduction
2. Materials and Methods
2.1. Materials
2.2. Extraction Experiment
2.3. Experiment on Extraction Mechanism
2.4. Analysis of Experimental Data
3. Results and Discussion
3.1. Properties of the CFA Leachate
3.2. Exploration of Optimum Conditions
3.2.1. Effect of Concentration of P204
3.2.2. Effect of PH Value
3.2.3. Effect of Reaction Time
3.2.4. Effect of O/A Ratio
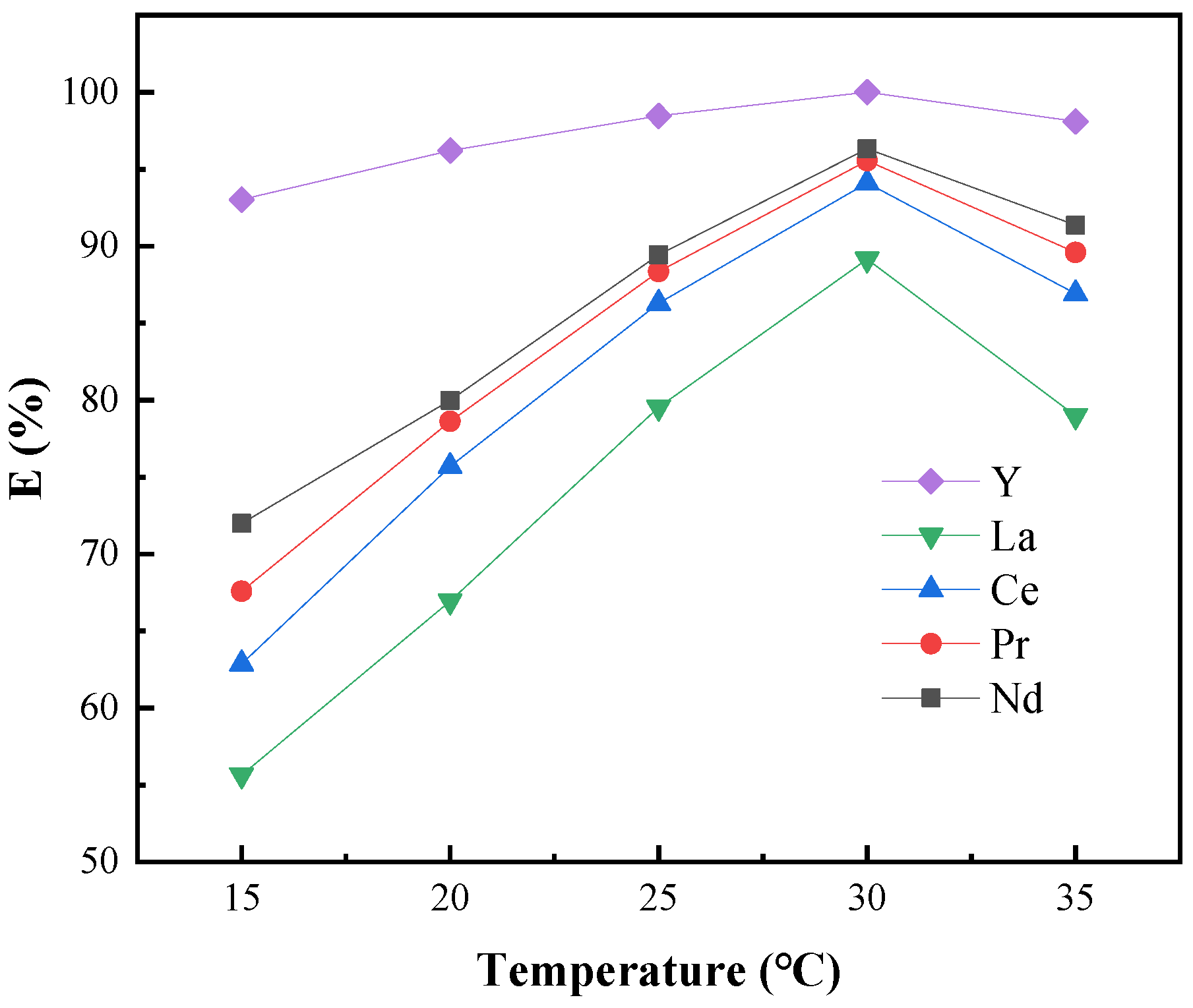
3.2.5. Effect of Temperature
3.3. Extraction Mechanism
3.3.1. The Determination of the Chemical Equation by Slope Method
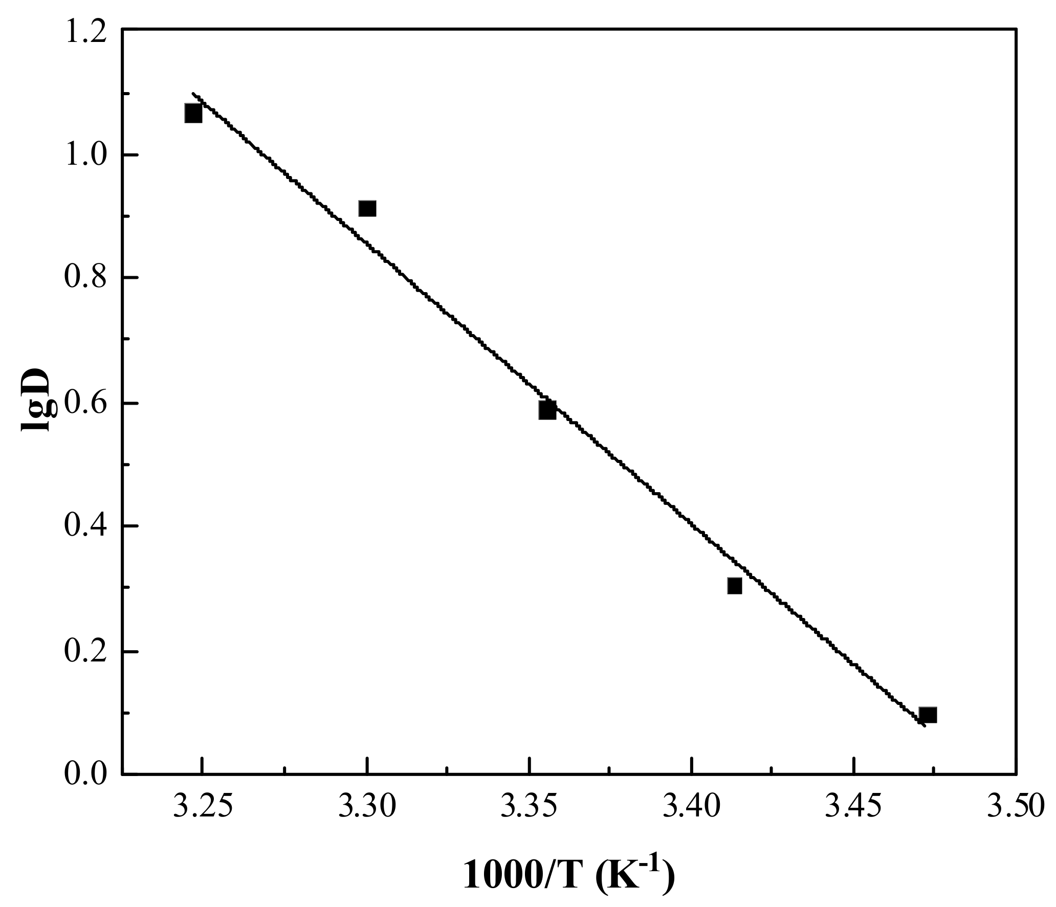
3.3.2. Thermodynamic Study on Extraction of Y3+ by P204
4. Conclusions
Author Contributions
Funding
Data Availability Statement
Acknowledgments
Conflicts of Interest
References
- Pan, J.; Nie, T.; Vaziri Hassas, B.; Rezaee, M.; Wen, Z.; Zhou, C. Recovery of rare earth elements from coal fly ash by integrated physical separation and acid leaching. Chemosphere 2020, 248, 126112. [Google Scholar] [CrossRef] [PubMed]
- Wang, T.T.; Fu, G.; Kong, J.T. Problems and countermeasures for the development of China’s rare earth industry. J. Non-Ferr. Met. Eng. 2012, 2, 23–26. [Google Scholar]
- Li, D. A review on yttrium solvent extraction chemistry and separation process. J. Rare Earths 2017, 35, 107–119. [Google Scholar] [CrossRef]
- Wubbeke, J. Rare earth elements in China: Policies and narratives of reinventing an industry. Resour. Policy 2013, 38, 384–394. [Google Scholar] [CrossRef]
- Han, A.; Ge, J.; Lei, Y. Vertical vs horizontal integration: Game analysis for the rare earth industrial integration in China. Resour. Policy 2016, 50, 149–159. [Google Scholar] [CrossRef]
- Tunsu, C.; Petranikova, M.; Ekberg, C.; Retegan, T. A hydrometallurgical process for the recovery of rare earth elements from fluorescent lamp waste fractions. Sep. Purif. Technol. 2016, 161, 172–186. [Google Scholar] [CrossRef]
- Ueberschaar, M.; Rotter, V. Enabling the recycling of rare earth elements through product design and trend analyses of hard disk drives. J. Mater. Cycles Waste 2015, 17, 266–281. [Google Scholar] [CrossRef]
- Rademaker, J.; Kleijn, R.; Yang, Y. Recycling as a strategy against rare earth element criticality: A systemic evaluation of the potential yield of Nd Fe B magnet recycling. Environ. Sci. Technol. 2013, 47, 53–56. [Google Scholar] [CrossRef]
- Sprecher, B.; Kleijn, R.; Kramer, G.J. Recycling potential of neodymium: The case of computer hard disk drives. Environ. Sci. Technol. 2014, 48, 6–13. [Google Scholar] [CrossRef]
- Yin, X.; Wu, Y.; Tian, X. Green recovery of rare earths from waste cathode ray tube phosphors: Oxidative leaching and kinetic aspects. ACS Sustain. Chem. Eng. 2016, 4, 7080–7089. [Google Scholar] [CrossRef]
- Guo, C.B.; Zou, J.J.; Ma, S.H.; Yang, J.L.; Wang, K.H. Alumina Extraction from Coal Fly Ash via Low-Temperature Potassium Bisulfate Calcination. Minerals 2019, 9, 585. [Google Scholar] [CrossRef]
- Guo, C.B.; Zhao, L.; Yang, J.L.; Wang, K.H.; Zou, J.J. A novel perspective process for alumina extraction from coal fly ash via potassium pyrosulfate calcination activation method. J. Clean. Prod. 2020, 271, 122703. [Google Scholar] [CrossRef]
- Valeev, D.; Shoppert, A.; Mikhailova, A.; Kondratiev, A. Acid and Acid-Alkali Treatment Methods of Al-Chloride Solution Obtained by the Leaching of Coal Fly Ash to Produce Sandy Grade Alumina. Metals 2020, 10, 585. [Google Scholar] [CrossRef]
- Sokolov, A.; Valeev, D.; Kasikov, A. Solvent Extraction of Iron(III) from Al Chloride Solution of Bauxite HCl Leaching by Mixture of Aliphatic Alcohol and Ketone. Metals 2021, 11, 321. [Google Scholar] [CrossRef]
- Shoppert, A.; Loginova, I.; Valeev, D. Kinetics Study of Al Extraction from Desilicated Coal Fly Ash by NaOH at Atmospheric Pressure. Materials 2022, 14, 7700. [Google Scholar] [CrossRef]
- Dai, S.; Grahamc, I.T.; Ward, C.R. A review of anomalous rare earth elements and yttrium in coal. Int. J. Coal Geol. 2016, 159, 82–95. [Google Scholar] [CrossRef]
- Dai, S.F.; Ren, D.Y.; Zhou, Y.P.; Seredin, V.V.; Li, D.H. Coal-hosted rare metal deposit: Genetic types, modes of occurrence, and utilization evaluation. J. China Coal Soc. 2014, 39, 1707–1715. [Google Scholar]
- Dai, S.F.; Ren, D.Y.; Chou, C.L.; Finkelman, R.B.; Seredin, V.V.; Zhou, Y. Geochemistry of trace elements in Chinese coals: A review of abundances, genetic types, impacts on human health, and industrial utilization. Int. J. Coal Geol. 2012, 94, 3–21. [Google Scholar] [CrossRef]
- Dai, S.F.; Wang, X.; Zhou, Y.P.; Hower, J.C.; Li, D.; Chen, W.; Zhu, X.; Zou, J. Chemical and mineralogical compositions of silicic, mafic, and tonsteins in the late Permian coals from the Songzao coalfield, Chongqing, Southwest China. Chem. Geol. 2011, 282, 29–44. [Google Scholar] [CrossRef]
- Blissett, R.S.; Smalley, N.; Rowson, N.A. An investigation into six coal fly ashes from the United Kingdom and Poland to evaluate rare earth element content. Fuel 2014, 119, 236–239. [Google Scholar] [CrossRef]
- Pan, J.; Nie, T.; Zhou, C.; Yang, F.; Jia, R.; Zhang, L.; Liu, H. The effect of calcination on the occurrence and leaching of rare earth elements in coal refuse. J. Environ. Chem. Eng. 2022, 10, 108355. [Google Scholar] [CrossRef]
- Liu, H.D.; Tian, H.M.; Zou, J.H. Combined extraction of rare metals Ga-Nb-REE from the fly ash. Sci. Technol. Rev. 2015, 33, 39–43. [Google Scholar]
- Zhang, W.; Noble, A.; Yang, X.; Honaker, R. A comprehensive review of rare earth elements recovery from coal-related materials. Minerals 2020, 10, 451. [Google Scholar] [CrossRef]
- Tang, M.; Zhou, C.; Zhang, N.; Pan, J.; Cao, S.; Hu, T.; Wen, Z.; Nie, T. Extraction of rare earth elements from coal fly ash by alkali fusion–acid leaching: Mechanism analysis. Int. J. Coal Prep. Util. 2019, 119, 536–555. [Google Scholar] [CrossRef]
- King, J.F.; Taggart, R.K.; Smith, R.C.; Hower, J.C.; Heileen, H.-K. Aqueous acid and alkaline extraction of rare earth elements from coal combustion ash. Int. J. Coal Geol. 2018, 195, 75–83. [Google Scholar] [CrossRef]
- Kumari, A.; Parween, P.; Chakravarty, S. Novel approach to recover rare earth metals (REMs) from Indian coal bottom ash. Hydrometallurgy 2019, 187, 1–7. [Google Scholar] [CrossRef]
- Traore, M.; Gong, A.; Wang, Y.; Qiu, L.; Bai, Y.; Zhao, W.; Liu, Y.; Chen, Y.; Liu, Y.; Wu, H.; et al. Research progress of rare earth separation methods and technologies. J. Rare-Earths, 2022; in press. [Google Scholar] [CrossRef]
- Karan, R.; Sreenivas, T.; Ajay Kumar, M.; Singh, D.K. Recovery of rare earth elements from coal fly ash using deep eutectic solvents as leachants and precipitating as oxalate or fluoride. Hydrometallurgy 2022, 214, 105952. [Google Scholar] [CrossRef]
- Rezaei, H.; Shafaei, S.Z.; Abdollahi, H.; Shahidi, A.; Ghassa, S. A Sustainable method for germanium, vanadium and lithium extraction from coal fly ash: Sodium salts roasting and organic acids leaching. Fuel 2022, 312, 122844. [Google Scholar] [CrossRef]
- Opare, E.O.; Struhs, E.; Mirkouei, A. A comparative state-of-technology review and future directions for rare earth element separation. Renew. Sustain. Energy Rev. 2021, 143, 110917. [Google Scholar] [CrossRef]
- Chen, Z.Y.; Li, Z.; Chen, J.; Kallem, P.; Banat, F.; Qiu, H. Recent advances in selective separation technologies of rare earth elements: A review. J. Environ. Chem. Eng. 2022, 10, 2213–3437. [Google Scholar] [CrossRef]
- Sholl, D.S.; Lively, R.P. Seven chemical separations to change the world. Nature 2016, 532, 435–437. [Google Scholar] [CrossRef]
- Cheisson, T.; Schelter, E. Rare earth elements: Mendeleev’s bane, modern marvels. Science 2019, 363, 489–493. [Google Scholar] [CrossRef]
- Lan, X.; Gao, J.; Xue, K.; Xu, H.; Guo, Z. A new finding and technology for selective separation of different REEs From CaO-SiO2-CaF2-P2O5-Fe3O4-RE2O3 system. Sep. Purif. Technol. 2022, 293, 121121. [Google Scholar] [CrossRef]
- Pei, L.; Wang, L.M.; Yu, G.Q. Study on a novel flat renewal supported liquid membrane with D2EPHA and hydrogen nitrate for neodymium extraction. J. Rare-Earths 2021, 30, 63–68. [Google Scholar] [CrossRef]
- Jowitt, S.M.; Werner, T.T.; Weng, Z.; Mudd, G.M. Recycling of the rare earth elements. Curr. Opin. Green Sustain. Chem. 2018, 13, 1–7. [Google Scholar] [CrossRef]
- Binnemans, K.; Jones, P.T.; Blanpain, B.; Van Gerven, T.; Yang, Y.; Walton, A.; Buchert, M. Recycling of rare earths: A critical review. J. Clean. Prod. 2013, 51, 1–22. [Google Scholar] [CrossRef]
- Li, Z.M.; Liu, Y.L.; Sun, J.Y. Analysis of the global rare earth consumption trend. Chin. Rare-Earths 2017, 38, 149–158. [Google Scholar]
- Li, D. Development course of separating rare earths with acid phosphorus extractants: A critical review. J. Rare-Earths 2019, 37, 468–486. [Google Scholar] [CrossRef]
- Li, W.; Zhu, X.B.; Tang, S. Experiment and mechanism of selective extraction and separation of scandium from acid solution. J. Rare-Earths 2017, 35, 755–760. [Google Scholar]
- Ye, Q.; Li, G.H.; Deng, B.N.; Luo, J.; Rao, M.; Peng, Z.; Zhang, Y.; Jiang, T. Solvent extraction behavior of metal ions and selective separation Sc3+ in phosphoric acid medium using P204. Sep. Purif. Technol. 2019, 209, 175–181. [Google Scholar] [CrossRef]
- Mu, R.; Chena, J.; Zou, D.; Li, K.; Li, D. Liquid-liquid extraction and recovery of Cerium(IV) and Phosphorus from sulfuric acid solution using Cyanex 923. Sep. Purif. Technol. 2019, 209, 351–358. [Google Scholar] [CrossRef]
- Zou, D.; Li, H.L.; Chen, J.; Li, D.Q. Recovery of scandium from spent sulfuric acid solution in titanium dioxide production using synergistic solvent extraction with D2EHPA and primary amine N1923. Hydrometallurgy 2020, 197, 15463. [Google Scholar] [CrossRef]
- Pan, J.; Zhou, C.; Tang, M.; Cao, S.; Liu, C.; Zhang, N.; Wen, M.; Luo, Y.; Hu, T.; Ji, W. Study on the modes of occurrence of rare earth elements in coal fly ash by statistics and a sequential chemical extraction procedure. Fuel 2019, 237, 555–565. [Google Scholar] [CrossRef]
- Migdisov, A.A.; Williams-Jones, A.E.; Wagner, T. An experimental study of the solubility and speciation of the Rare Earth Elements (III) in fluoride- and chloride-bearing aqueous solutions at temperatures up to 300 °C. Geochim. Cosmochim. Acta 2009, 73, 7087–7109. [Google Scholar] [CrossRef]
- Doidge, E.D.; Carson, I.; Love, J.B.; Morrison, C.A.; Tasker, P.A. The influence of the Hofmeister bias and the stability and speciation of chloridolanthanates on their extraction from chloride media. Solvent Extr. Ion Exch. 2016, 34, 579–593. [Google Scholar] [CrossRef]











| Element | Y | La | Ce | Pr | Nd |
|---|---|---|---|---|---|
| Content(ppm) | 21.40 | 49.99 | 99.49 | 10.77 | 41.67 |
Publisher’s Note: MDPI stays neutral with regard to jurisdictional claims in published maps and institutional affiliations. |
© 2022 by the authors. Licensee MDPI, Basel, Switzerland. This article is an open access article distributed under the terms and conditions of the Creative Commons Attribution (CC BY) license (https://creativecommons.org/licenses/by/4.0/).
Share and Cite
Pan, J.; Zhao, X.; Zhou, C.; Yang, F.; Ji, W. Study on Solvent Extraction of Rare Earth Elements from Leaching Solution of Coal Fly Ash by P204. Minerals 2022, 12, 1547. https://doi.org/10.3390/min12121547
Pan J, Zhao X, Zhou C, Yang F, Ji W. Study on Solvent Extraction of Rare Earth Elements from Leaching Solution of Coal Fly Ash by P204. Minerals. 2022; 12(12):1547. https://doi.org/10.3390/min12121547
Chicago/Turabian StylePan, Jinhe, Xindi Zhao, Changchun Zhou, Fan Yang, and Wanshun Ji. 2022. "Study on Solvent Extraction of Rare Earth Elements from Leaching Solution of Coal Fly Ash by P204" Minerals 12, no. 12: 1547. https://doi.org/10.3390/min12121547
APA StylePan, J., Zhao, X., Zhou, C., Yang, F., & Ji, W. (2022). Study on Solvent Extraction of Rare Earth Elements from Leaching Solution of Coal Fly Ash by P204. Minerals, 12(12), 1547. https://doi.org/10.3390/min12121547

