Next Article in Journal
Characteristics of Naturally Formed Nanoparticles in Various Media and Their Prospecting Significance in Chaihulanzi Deposit
Previous Article in Journal
Applying Data-Driven-Based Logistic Function and Prediction-Area Plot to Map Mineral Prospectivity in the Qinling Orogenic Belt, Central China
 
 
Font Type:
Arial Georgia Verdana
Font Size:
Aa Aa Aa
Line Spacing:
Column Width:
Background:
Article

A Model–Based Parametric Study of Centrifugal Dewatering of Mineral Slurries

School of Chemical Engineering, The University of Queensland, St Lucia, QLD 4072, Australia
*
Author to whom correspondence should be addressed.
Minerals 2022, 12(10), 1288; https://doi.org/10.3390/min12101288
Submission received: 20 July 2022 / Revised: 27 September 2022 / Accepted: 10 October 2022 / Published: 13 October 2022
(This article belongs to the Section Mineral Processing and Extractive Metallurgy)

Abstract

:
Solid bowl centrifuges (SBCs) find wide industrial applications for various solid–liquid separation tasks. Despite its importance, the information on the effects of the operational variables of an SBC on the dewatering performance is limited, even with some conflicting results, especially for the effects of the weir height and differential speed on the solids recovery. In the present work, a systematic simulation study was carried out using a validated SBC model to investigate the effects of various process parameters on the solids recovery. The simulation results matched well with the reported experimental findings in the literature. Additionally, the present work provides insights on why there is a disagreement between the experimental findings of the effects of the differential speed and the weir height.

1. Introduction

Solid bowl centrifuges (SBCs) are useful in solid–liquid separation and particle size classification tasks and find wide applications in many industries, such as juice production, oil extraction, tailing dewatering and wastewater purification. In the mining industry, an SBC operation aims to achieve a high solids recovery and a low product moisture level. A long term problem faced by the mining industry is the relatively low solids recovery, leading to significant loss of revenue and increased burden on tailings disposal.
When operating the SBC, there are several variables that the operator can adjust, including bowl rotating speed, weir height and the differential speed between the bowl and screw conveyor, and all these variables can affect the performance of the SBC. Meanwhile, the properties of the feed slurry, mainly the feed rate, solids concentration, particle size distribution of the feed and liquid viscosity, also play important roles in determining the solids recovery in solid bowl centrifugation. The effects of some parameters on SBC performance are well recognized or understood, while those of others remain to be unraveled.
Parameters in solid bowl centrifugation, including the bowl rotating speed, feed rate, feed solids concentration and particle size distribution of the feed, have been extensively examined and agreements have been reached regarding the effects of these parameters on the solids recovery. Several investigations [1,2,3] have confirmed that a higher bowl rotating speed led to a higher solids recovery. Other studies [1,2,4,5] consistently confirmed that increasing the feed flowrate can increase unit throughput and reduce solids recovery. It has been suggested that thickening the feed slurry (i.e., increasing the feed solids concentration) can also improve the unit throughput of the SBC, but this practice will lead to a larger solids loss in the effluent stream [5,6,7]. It has been accepted that the solids recovery can be improved by enlarging the feed solids particle sizes [3,8,9], and this can be achieved by blending more coarse particles into the feed or adding flocculants into the feed slurry [1,10].
Conflicting results were, however, reported in terms of the effect of the weir height and the differential speed on the solids recovery in solid bowl centrifugation. Experimental results from some studies [1,2,4] suggested that the solids recovery can be increased by adjusting the weir setting to a higher position, while other studies [11,12] reported a decline in the solids recovery when increasing the weir height. The effect of the differential speed on the solids recovery showed opposing trends depending on the feed rates [13]. More specifically, the solids recovery was improved with an increase in the differential speed at high feed rates, while at a low feed rate, the solids recovery was decreased with increasing the differential speed. As demonstrated by Pinkerton et al. [13], the impact of the selected testing parameter on the solids recovery may show different trends with other operative variables being set at different values. The underlying reasons behind these phenomena remain elusive.
In the present work, a model-based parametric study of solid bowl centrifugation was conducted. With a validated solid bowl centrifugation model [14], the effects of parameters, including the bowl rotating speed, weir height, the differential speed between the bowl and screw conveyor, feed rate, solids concentration, particle size distribution of the feed and liquid viscosity, on the solids recovery in solid bowl centrifugation were investigated. Implications of the present work on centrifugal dewatering of mineral slurries were discussed. The present work is the first comprehensive parametric study that covers all major processing variables of the SBC, and insights gained from the work help reveal the causes of conflicting experimental results reported in the literature.

2. Method

2.1. The Solid Bowl Centrifugation Model

The SBC model used in the parametric study was a physical model without any adjustable parameter, and the model can accurately describe the solid–liquid separation and particle size classification within the SBC. More details on the model can be found elsewhere [14]. Briefly, the model was developed with the consideration of three drag force regimes (i.e., Stokes’ law regime, Intermediate regime and Newton’s law regime) and the backflow within the flow channel in determining the particle separation size. After simplifying the screw blades formed helical channel within the SBC into a straightened channel, the bowl section flow channel (BSFC) was then labeled with n cross-sections (C1 to Cn). Meanwhile, the slurry flowing within the channel from the feed inlet to the SBC weir was divided into m slices (S1 to Sm) in the radial direction when calculating the particle separations. The SBC model contained both the particle separation within the upper part of the flow channel and the transportation of the settled cake at the bottom part of the channel. As the model has incorporated the geometries of the centrifuge, it can be used for the performance prediction of any size SBCs. A schematic of the SBC model is shown in Figure 1.
The SBC model was developed mainly via the first-principal approach, i.e., material balance, momentum balance and force balance. To enable the numeric calculation, three key assumptions have been made: (i) the flowrate and solids fraction of feed slurry are constant; (ii) solids are mixed evenly in the feed zone; and (iii) the particle degradation within the dewatering process is negligible. With these assumptions, one can calculate the particle settling and solids transportation continuously from the first cross-section to the last section n.
To calculate the particle settling in each cross-section, different models were obtained by analyzing the force balance under three drag force regimes to determine the cut size. On the other hand, the model used for the calculation of sediment transportation was based on the method proposed by others [15,16,17]. The enabling assumptions in the sediment transportation are: (i) solid particles are uniformly packed and (ii) there is no slip movement inside the sediment bed. It is worth noting that the present SBC model can be only used for incompressible particles, as the compression of sediment bed and the degradation of flocs have been neglected despite their possible impact on both the particle settling and sediment transportation speed [17,18].
The SBC model was fully implemented by Bai et al. [14] with the popular open-source computer language Python. The main inputs for the model are detailed geometries of the SBC, and feed slurry properties, and the model outputs can include solids recovery, product size distribution, cut size in each cross-section and any other properties that have been incorporated in the model. Four reported experimental datasets that were produced by two different SBC units [3,13,19,20] were employed to validate the model. The validation results confirmed the capability of the SBC model to accurately predict the solids recovery and product size distribution.

2.2. Model Inputs

2.2.1. The Geometries and Operative Variables of Modelled Solid Bowl Centrifuge

As the size and the design of the SBC were not the focus of the present study, a hypothetical SBC was used for all simulations. Probably for confidential reasons, the detailed geometries, especially the pitch and weir radius of a commercial-scale SBC cannot be found in the public domain. The available geometrical information of the SBC was often from the literature, where pilot-scale SBC units with diameters ranging from 0.08 m [3] to 0.15 m [4,13], were used. Pedro [12] used an SBC with a diameter of 0.35 m to test the drilling mud dewatering. As the present study aims to explain the conflicting findings from [4,12], the diameter of the hypothetical SBC was set to 0.2 m. The pitch length, bowl length and blade thickness were obtained from an SBC manufacturer that match a 0.2 m diameter SBC. The geometries of the hypothetical SBC are summarized in Table 1 with the BSFC constant and the friction coefficient between the blades and sediments being set as 2.0 and 0.3, respectively. The BSFC constant is the equivalent number of the windings of the feed mixing zone and discharge zone, which is dependent on the SBC’s feed position and discharge weir design.
The operative variables of the SBC, such as bowl rotating speed, differential speed and weir height are shown in Table 2.

2.2.2. Feed Properties

In the present study, densities of the solids and liquid were assumed to be 1500 kg/m3 and 1000 kg/m3, respectively, while the solids volumetric fraction of the sediment was set at 0.5. The other feed variables were determined at different levels to test their impacts on the solids recovery, and the tested values of these variables are listed in Table 3.
Another critical aspect of the feed properties is the particle size distribution of the feed solids. To assess the effect of this variable on the solids recovery in solid bowl centrifugation and the interaction between this variable and other operative parameters, feeds with five different hypothetical particle size distributions were used in the present study. The particle size distributions of these five feeds are illustrated in Figure 2. One can note that the 50% passing size (P50) increased from 3.5 μm (Feed-1) to 12 μm (Feed-5).

2.3. Assessment of Solid–Liquid Separation

The solids recovery of each condition was examined to assess the separation performance. In solid bowl centrifugation, the mass of solids in the feed stream must be equal to the sum of the mass of solids in the product stream and effluent stream, which can be written as:
m ˙ feed C feed = m ˙ prod C prod + m ˙ effl C effl
where m ˙ feed , m ˙ prod   and m ˙ effl represent the mass flow rates of the feed, product and effluent streams, respectively. C feed , C prod   and C effl denote the solids concentration (by mass) of the feed, the product and the effluent streams, respectively.
The solids recovery of the SBC (Rs), thus, can be expressed as:
R s = m ˙ prod C prod m ˙ feed C feed
To gain a better understanding on the effect of these parameters on the separation, the partition curves of some simulations were also plotted by following the method proposed in Ref. [21]. The partition coefficient in the plotted figures was computed by the following relationship:
Partition   coefficient = mass   of   i th   size   interval   in   the   product mass   of   i th   size   interval   in   the   feed
Accordingly, the cut size, dcut, was defined as the size where the partition coefficient equals 0.5. In other words, half of this size material was distributed in the product, while the other half was discharged in the effluent stream.

3. Results and Discussion

3.1. Effect of Bowl Rotating Speed

To investigate the effect of bowl rotating speed on the solids recovery in solid bowl centrifugation, four rotating speeds were tested, 2000 rpm, 3000 rpm, 4000 rpm and 5000 rpm, corresponding to relative centrifugal forces at 447 G, 1006 G, 1789 G and 2795 G, respectively. Three different feeds, Feed-1, Feed-3 and Feed-5, as shown in Figure 2, were used in this investigation. The differential speed between the bowl and screw conveyor was 20 rpm, and the weir height was set at 15 mm. Feed rate, feed solids concentration and liquid dynamic viscosity were 0.0005 m3/s, 10% v/v and 0.001 Pa·s, respectively. The solids recoveries at tested bowl rotating speeds are plotted in Figure 3.
Figure 3 exhibits that a faster bowl rotating speed (i.e., a larger centrifugal force) can lead to a higher solids recovery for all tested feeds, and this finding is consistent with experimental observations made by others [1,2,3]. Another observation from this batch of simulations was that the solids recovery was improved more significantly by increasing the bowl speed when the feed contains a large fraction of ultrafine particles. More specifically, the solids recovery rose by 9.50% for the finest feed (Feed-1) when the bowl speed increased from 3000 rpm to 4000 rpm, while a smaller improvement, 4.74%, was obtained for the coarsest feed (Feed-5) with the same bowl rotating speed adjustment.
By plotting the cut sizes of these simulations (see Figure 4), one can note that the cut size was decreasing with an increase in bowl rotating speed. Meanwhile, cut sizes at a given bowl rotating speed were identical for the tested three feeds, indicating that the particle size distribution of the feed has a negligible impact on the cut size. When the cut size was only reduced from around 3.0 µm to about 2.3 µm by increasing the bowl rotating speed from 3000 rpm to 4000 rpm, the improved solids recovery was due to the higher fraction of ultrafines in the feed, especially those particles in the range of 2.3 µm to 3.0 µm. Furthermore, the decrease in the cut size became less significant even with a larger increase in the centrifugal force, if the bowl rotating speed was already at a high level. The implication of this finding is that one should choose the operating bowl rotating speed by balancing the solids recovery and the energy consumption, based on the feed particle sizes.

3.2. Effect of Differential Speed between the Bowl and Screw Conveyor

Seven differential speeds, from 10 rpm to 40 rpm with an interval of 5 rpm were tested to examine the influence of this parameter on solids recovery. Three feed solids concentrations (i.e., 2%, 5% and 10% v/v) and three different feed rates (i.e., 0.0003 m3/s, 0.0005 m3/s and 0.001 m3/s) were tested for all seven differential speeds. Feed-3 was used in this batch of simulations. The bowl rotating speed, weir height and liquid dynamic viscosity were set at 4000 rpm, 15 mm and 0.001 Pa·s, respectively. The results of this batch of simulations are presented in Figure 5.
From Figure 5, it can be seen that the solids recovery tended to slightly decrease with an increase in the differential speed when the solids loading was low (i.e., low solids concentration or low feed rate). This trend was in agreement with the experimental results reported elsewhere [1,6,7]. On the contrary, Figure 5 also shows that an increase in the differential speed can lead to a higher solids recovery if the feed solids concentration was high or the feed rate was large. These trends were similar to the experimental observations made by Pinkerton et al. [13]. As mentioned by Suhr et al. [6] and Day [7], the differential speed would affect both the sediment height and the levels of flow turbulence within the settling channel. Depending on which effect is the dominant one, different trends can result from increasing the differential speed of the SBC.

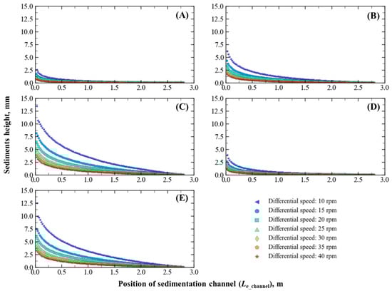
3.2.1. Effect of Differential Speed on Sediment Height

By plotting the heights of sediments in the flow channel, shown in Figure 6, one can readily see that the sediment height along the whole sedimentation channel increased with a higher solids loading (i.e., with a high feed rate and/or high feed solids concentration). As a result, the effective volume for particle settling, which is the space in between the surface of slurry and the reversed flow, as illustrated in Figure 1, was smaller if the sediment height was larger, resulting in a lower solids recovery. In this case, accelerating the differential speed can help with the solids discharge, thereby decreasing the sediment height. The solids recovery is, therefore, improved by increasing the differential speed.

3.2.2. Effect of Differential Speed on Backflow

A faster differential speed can also lead to a stronger backflow near the surface of the sediments, which can reduce the effective volume for particle settling. This phenomenon can be employed to explain the influence of the differential speed on the solids recovery at low solids loading scenarios. In these cases, even at slow differential speeds, the sediment height remains small, as shown in Figure 6A,D. Thus, increasing the differential speed in these cases can have a limited effect on the sediment height reduction. On the contrary, a higher differential speed will have an adverse effect on the solids recovery due to the fact that the increased differential speed would induce a stronger backflow, resulting in a smaller effective volume for particle settling (as shown in Figure 7A,D).

3.2.3. Effect of Differential Speed on Solids Recovery

As shown in Figure 5A,B, opposite trends were found by increasing the differential speed at different solids loadings. To further investigate the causes of these conflicting trends, a detailed analysis of the effect of differential speed on sediment height and effective volume for particle settling was conducted, and the following findings were identified:
(i)
When the solids loading is high (i.e., high feed solids concentration and/or high feed rate), the sediment height was high, resulting a small effective volume for particle settling. At this condition, a faster differential speed is preferred, as it can transfer the sediment at a higher rate, thereby reducing the sediment height and leading to a higher solids recovery.
(ii)
When the solids loading of the SBC is low, however, the sediment height is also at a low level, and a higher differential speed can only reduce the height to a limited extent. On the contrary, the high differential speed introduces a stronger backflow, thus reducing the effective volume for particle settling (as shown in Figure 7A,D). A lower solids recovery, therefore, results from increasing the differential speed in this case.

3.3. Effect of Weir Height

The study on the effect of the weir height on the solids recovery was carried out by testing 15 levels of weir heights, ranging from 5 mm to 60 mm, at three different feed solids loadings. The feed used in this batch of simulations was Feed-3 (see Figure 2). Other parameters, including bowl rotating speed, differential speed and liquid dynamic viscosity, were set at 4000 rpm, 20 rpm and 0.001 Pa·s, respectively. The results of the batch simulations are shown in Figure 8.
Figure 8 shows that the solids recovery first increased with increasing weir height for all three tested solids loadings, reaching a peak before decreasing at larger weir heights. These findings were consistent with the experimental results reported by Peeters and Weis [11] that the solids recovery firstly improved with a deeper weir setting and more solids could be lost in the effluent if the weir height setting exceeded its optimal value. Apparently, the solids retention time within the SBC will be prolonged with a deeper pool depth (i.e., a higher weir setting), thereby improving the solids capture within the SBC [1,2]. However, the decreasing trend in solids recovery after the optimal weir height settings is contradicted with this theory, and further investigation on the causes of the declining trend is needed.
This downtrend could be due to two undesirable side effects of increasing the weir height. Firstly, the radial settling distance becomes larger than that of shallow pool depth for particles entering the sedimentation channel near the pool surface. As a result, the required settling times for those particles are longer, thus receiving a decreased solids recovery. Secondly, when the weir height is increased, particles within the upper part of the flow (i.e., near the water surface) will experience a lower acting centrifugal force due to the smaller distance from the particle’s current position to the rotating axis. Consequently, the separation size for particles entering the sedimentation channel at the upper part positions will be larger than that of a shallow weir height setting, resulting in a lower solids recovery.
Figure 9 shows the separation sizes of the SBC when the feed solids concentration and feed flow rate were 5% and 0.0005 m3/s, respectively. It can be seen that the minimal cut size initially decreased with an increasing weir height, from 1.68 µm (with a weir height of 5 mm) to 0.65 µm (with a weir height of 20 mm), while the maximum cut size for the particles entering at the upper part of the sedimentation channel only increased by 0.35 µm. As a result, the solids recovery rose from 85.08% to 88.79% (see Figure 8) when the weir height increased from 5 mm to 20 mm. On the other hand, with a further increase in the weir height, the maximal separation size for particles entering at the upper part of the sedimentation channel became significantly larger, from 3.16 µm (with a weir height of 20 mm) to 4.62 µm (with a weir height of 60 mm), as shown in Figure 9. This increase in the cut size, therefore, led to a decrease in the solids recovery, by 6.6% (see Figure 8), as more fine particles (<4.62 µm) were lost in the effluent.
In summary, increasing weir height can be beneficial to the solids recovery when the pool depth is shallow (i.e., low weir height settings), as more ultrafines can be recovered owing to the decrease in separation size. Increasing the weir height setting, however, can lead to a lower solids recovery when the weir height setting is already at a high level, due to the separation size becoming larger for particles entering the sedimentation channel at upper positions.
The finding of the impact of the weir height setting on the solids recovery can be used to explain the conflicting results reported by Klima et al. [4] and Pedro [12]. More specifically, the weir settings used in Ref. [4] ranged from 3.38 mm to 15.88 mm and the diameter of the SBC employed in their study was 150 mm. These weir height settings can be regarded as within the ‘shallow’ weir range, and therefore, an increasing trend was observed when adjusting the weir height to a higher position. On the contrary, Pedro [12] tested the solids removal for drilling muds in the SBC with a diameter of 355 mm, and three weir height settings, 38 mm, 55 mm and 78 mm were investigated. Apparently, these weir height settings were relatively high and the dominant factor affecting the solids recovery was the enlarged separation sizes for particles entering the sedimentation channel at the upper part. This explained why a declining trend was observed when increasing the weir height [12].

3.4. Effect of Feed Rate and Feed Solids Concentration

The feed flowrate and feed solids concentration collectively determine the solids loading of the SBC, and both parameters can affect the solids recovery, as reported in several studies [1,2,4,5,10]. In this batch of simulations, Feed-3 (see Figure 2) was used, and five feed flowrates and seven levels of solids concentrations were tested, while other process variables were set as 4000 rpm, 20 rpm, 15 mm and 0.001 Pa·s for bowl rotating speed, differential speed, weir height and liquid dynamic viscosity, respectively. The results of this batch of simulations are presented in Figure 10. It should be noted that the data for the feed rate at 0.001 m3/s with 20% solids concentration feed was not available, as the solids loading exceeded the capacity of the simulated SBC.
Figure 10 shows that the solids recoveries were generally lower at higher solids loadings (e.g., higher feed rate and higher feed solids concentration). But the degrees of solids recovery changes were different. More specifically, when the feed rate was kept at 0.0001 m3/s and the feed solids concentration was increased from 1% to 20%, the solids recovery only decreased by 2.46%. Meanwhile, at a constant low solids concentration, 1%, raising the feed flowrate from 0.0001 m3/s to 0.001 m3/s, can significantly reduce the solids recovery from 96.44% to 86.64%. These results suggested that it would be important to control the feed rate, thereby ensuring a longer retention time of the particles within the settling channel to achieve a higher solids recovery. Controlling the feed flowrate is critical, especially when the feed solids concentration is high.
Figure 11 gives the cut sizes of the simulated SBC at various feed flowrates and solids concentrations. One can see that cut sizes were larger when both the feed rate and solids concentration were at high levels. This increase in the cut size can be attributed to: (i) shortened particle residence time when increasing the feed rate and (ii) more severe hindered effect (i.e., stronger particle–particle interactions) when increasing the feed solids concentration.

3.5. Effect of Particle Size Distribution of the Feed

To test the influence of feed particle size on the solids recovery, five feeds with different particle size distributions (see Figure 2) were used in this batch of simulations. Other process variables were set at 4000 rpm, 20 rpm, 15 mm, 0.0005 m3/s, 5% and 0.001 Pa·s for bowl rotating speed, differential speed, weir height, feed rate, feed solids concentration and liquid dynamic viscosity, respectively. Figure 12 presents the achieved solids recoveries and cut sizes with these feeds. The solids recovery increased with the feed becoming coarser, and this result was consistent with experimental outcomes reported elsewhere [8,9]. Despite the improvement in solids recovery, the cut size of the SBC remained at a narrow range, around 1.65 µm (see Figure 12), indicating that the improved solids capture was mainly due to an increased fraction of coarser particles in the feed.
To further assess the impact of feed particle sizes on the solids recovery, four more different feeds with different particle size distributions but the same P50 were tested with other parameters being set at 4,000 rpm, 20 rpm, 15 mm, 0.0005 m3/s, 5% and 0.001 Pa·s for bowl rotating speed, differential speed, weir height, feed rate, feed solids concentration and liquid dynamic viscosity, respectively. The particle size distributions of these four feeds (i.e., Feed-6 to Feed-9) are illustrated in Figure 13A,B. One can see that: (i) the P50 was same for these four feeds, around 5 μm, (ii) Feed-6 contained more ultrafine particles (<2 μm), (iii) the majority size fraction of Feed-9 was the middle-sized particles (4 μm to 10 μm) and (iv) Feed-6 also had the largest proportion of coarse particles (>10 μm).
From Figure 13C, one can note that the solids recovery of Feed-9 was 88.5% while that of Feed-6 was only 78.1% despite the fact that Feed-6 contained more coarse particles and all four feeds had the same P50. Meanwhile, Figure 13C also shows that the cut sizes for these four feeds were around 1.67 µm. Combining the results for Feed-1 to Feed-5, it can be concluded that the cut size was indifferent to the feed size distributions tested and the solids recovery appeared to depend on the fraction of ultrafine particles (<1 µm) in the feed.

3.6. Effect of Liquid Dynamic Viscosity

Although the liquid viscosity can affect the solids recovery in solid bowl centrifugation [7], there has been no detailed study of this variable. To attain a clearer picture on the influence of this parameter on centrifugal dewatering, a batch of centrifugation simulations was carried out with the liquid dynamic viscosity varying from 0.0001 Pa·s to 0.01 Pa·s. Feed-3 was used, and other process variables were set at 4000 rpm, 20 rpm, 15 mm, 0.0005 m3/s and 5% for bowl rotating speed, differential speed, weir height, feed rate and feed solids concentration, respectively. The results of these simulations are presented in Figure 14.
Figure 14 shows that the liquid viscosity had a significant impact on the solids recovery in solid bowl centrifugation, and a higher liquid viscosity would lead to a lower solids recovery. For instance, the solids recovery was reduced by 7.7 percentage points, from 89.2% to 81.5%, when the liquid viscosity was doubled from 0.001 Pa·s to 0.002 Pa·s. Meanwhile, there was an increase in cut size when increasing the liquid viscosity. The increase in cut size could be caused by the enhanced inertia of the liquid, as larger liquid inertia would reduce the settling speed of the particle. Consequently, only large particles which had a faster settling speed could settle onto the sediment at a given residence time. As a result, the solids recovery would be reduced by increasing the liquid viscosity.
In order to improve the solids recovery, adding flocculants into the feed slurry to enlarge the feed particles is commonly practiced in solid bowl centrifugation [1,10]. However, several researchers [22,23,24] have found that the liquid viscosity could be also increased by adding flocculants into the feed slurries. The results from this batch of simulations suggested that the impact of the flocculant on the liquid viscosity of the feed slurry should be taken into consideration in the reagent selection process as higher liquid viscosity can have an adverse effect on the solids recovery.

4. Conclusions

In this paper, the effect of various process variables, including bowl rotating speed, differential speed between the bowl and screw conveyor, weir height, feed rate, feed solids concentration, feed particle sizes and liquid viscosity, on the solids recovery in solid bowl centrifugation were investigated. Additionally, the interactions between some of these variables were examined. The main conclusions of the present parametric study are summarized as follows:
(i)
Increasing the bowl rotating speed would lead to a higher solids recovery as a higher centrifugal force can produce a finer cut size, but the improvement becomes less significant at high-speed levels. Adjusting this parameter will be more effective if the feed contains a large fraction of ultrafines;
(ii)
A higher feed flow rate or higher feed solids concentration can produce a coarser cut size, resulting in a lower solids recovery in the SBC;
(iii)
Enlarging the feed particle size had a negligible impact on the cut size, and the improved solids recovery was mainly due to the smaller number of ultrafine particles in the feed;
(iv)
High liquid viscosity should be avoided in solid bowl centrifugation as increasing the liquid viscosity results in a larger cut size.
More importantly, contradicting reported experimental results on the influence of the differential speed and the weir height were explained by this parametric study. At low solids loading conditions, the stronger backflow was the consequence of a faster differential speed, resulting in a lower solids capture. In contrast, the improvement on solids transfer was the dominant outcome of increasing the differential speed when the solids loading in the SBC was high, and therefore improved solids capture can be achieved with a higher differential speed. For the effect of weir height settings, with the weir setting being adjusted to a higher position from its lowest setting, the solids recovery firstly showed an increasing trend, owing to the prolonged retention time for particles. A slight decrease, however, was observed when the weir height exceeded its optimal level, due to the reduced centrifugal force for the particles near the pool surface.

Author Contributions

Conceptualization, C.B., H.P. and L.W.; methodology, C.B., H.P. and L.W.; validation, C.B., H.P. and L.W.; formal analysis, C.B.; investigation, C.B.; resources, L.W.; data curation, C.B.; writing—original draft preparation, C.B.; writing—review and editing, H.P. and L.W.; visualization, C.B.; supervision, H.P. and L.W.; project administration, L.W.; funding acquisition, L.W. All authors have read and agreed to the published version of the manuscript.

Funding

Australian Coal Industry’s Research Program (ACARP C25018).

Data Availability Statement

Not applicable.

Acknowledgments

The authors gratefully acknowledge the financial support from The Australian Coal Industry’s Research Program (ACARP C25018).

Conflicts of Interest

The authors declare no conflict of interest.

References

  1. Albertson, O.E.; Guidi, E.E., Jr. Centrifugation of waste sludges. Water Pollut. Control Fed. 1969, 41, 607–628. [Google Scholar]
  2. Beveridge, T.; Harrison, J.E.; Gayton, R.R. Decanter centrifugation of apple mash: Effect of centrifuge parameters, apple variety and apple storage. Food Res. Int. 1992, 25, 125–130. [Google Scholar] [CrossRef]
  3. Gleiss, M.; Hammerich, S.; Kespe, M.; Nirschl, H. Application of the dynamic flow sheet simulation concept to the solid-liquid separation: Separation of stabilized slurries in continuous centrifuges. Chem. Eng. Sci. 2017, 163, 167–178. [Google Scholar] [CrossRef]
  4. Klima, M.S.; DeHart, I.; Coffman, R. Baseline testing of a filter press and solid-bowl centrifuge for dewatering coal thickener underflow slurry. Int. J. Coal Prep. Util. 2011, 31, 258–272. [Google Scholar] [CrossRef]
  5. Kinnarinen, T.; Häkkinen, A. Experimental Study on the influence of selected process variables on the separation of a fine particle suspension with a pilot scale decanter centrifuge. Part. Sci. Technol. 2013, 31, 603–611. [Google Scholar] [CrossRef]
  6. Suhr, M.R.; Thompson, P.; Ln, C.; Hutchinson, M.N. Applications of decanter centrifugals in the beet sugar process. In Proceedings of the Biennial Meeting, San Antonio, TX, USA, 26 February–1 March 2003. [Google Scholar]
  7. Day, N. Centrifuge focus: Evaluation, testing and optimisation. Filtr. Sep. 2005, 42, 22–24. [Google Scholar] [CrossRef]
  8. Gallagher, E.L.; Post, J.; Swanson, A.; Armstrong, L. Dewatering of fine coal by screen bowl centrifuges. In Proceedings of the 1st Australian Coal Preparation Conference, Newcastle, Australia, 6–10 April 1981; pp. 134–154. [Google Scholar]
  9. Rong, R.X.; Hitchins, J. Preliminary study of correlations between fine coal characteristics and properties and their dewatering behaviour. Miner. Eng. 1995, 8, 293–309. [Google Scholar] [CrossRef]
  10. Demoz, A. Impact of preflocculation on scroll decanter centrifuge separation performance. Can. J. Chem. Eng. 2018, 96, 265–273. [Google Scholar] [CrossRef]
  11. Peeters, B.; Weis, S. Relationship between pool depth and internal washing on the beach of a solid bowl decanter centrifuge. Filtr. Sep. 2004, 41, 36–40. [Google Scholar] [CrossRef]
  12. Pedro, R. Solids Control System Automation: Decanter Centrifuge Performance Analysis. Mater’s Thesis, The University of Tulsa, Tulsa, OK, USA, 2019. [Google Scholar]
  13. Pinkerton, A.P.; Klima, M.S.; Morrison, J.L.; Miller, B.G. Thickening of Ultrafine Coal-Water Slurries in a Solid-Bowl Centrifuge; Pennsylvania State University: University Park, PA, USA, 1999; pp. 139–148. [Google Scholar]
  14. Bai, C.; Park, H.; Wang, L. Modelling solid-liquid separation and particle size classification in decanter centrifuges. Sep. Purif. Technol. 2021, 263, 118408. [Google Scholar] [CrossRef]
  15. Reif, F.; Stahl, W. Transportation of moist solids in decanter centrifuges. Chem. Eng. Prog. 1989, 85, 57–67. [Google Scholar]
  16. Stickland, A.D. Solid-Liquid Separation in the Water and Wastewater Industries. Ph.D. Thesis, Faculty of Engineering, Chemical and Biomolecular Engineering, The University of Melbourne, Parkville, Australia, 2005. [Google Scholar]
  17. Bell, G.R.; Symons, D.D.; Pearse, J.R. Mathematical model for solids transport power in a decanter centrifuge. Chem. Eng. Sci. 2014, 107, 114–122. [Google Scholar] [CrossRef]
  18. Leung, W.W.F. Inferring in-situ floc size, predicting solids recovery, and scaling-up using the Leung number in separating flocculated suspension in decanter centrifuges. Sep. Purif. Technol. 2016, 171, 69–79. [Google Scholar] [CrossRef]
  19. Hou, T.H. Evaluation of separator performance by number-size distribution data. Powder Technol. 1985, 41, 99–104. [Google Scholar] [CrossRef]
  20. Pinkerton, A.P.; Klima, M.S. Evaluation of a solid-bowl centrifuge for ultrafine size separations. Min. Metall. Explor. 2001, 18, 162–166. [Google Scholar] [CrossRef]
  21. Gupta, A.; Yan, D.S. Mineral Processing Design and Operations: An Introduction; Elsevier: Amsterdam, The Netherlands, 2016. [Google Scholar]
  22. Dentel, S.K.; Abu-Orf, M.M.; Walker, C.A. Optimization of slurry flocculation and dewatering based on electrokinetic and rheological phenomena. Chem. Eng. J. 2000, 80, 65–72. [Google Scholar] [CrossRef]
  23. Neyens, E.; Baeyens, J.; Dewil, R. Advanced sludge treatment affects extracellular polymeric substances to improve activated sludge dewatering. J. Hazard. Mater. 2004, 106, 83–92. [Google Scholar] [CrossRef]
  24. Zheng, H.; Sun, Y.; Guo, J.; Li, F.; Fan, W.; Liao, Y.; Guan, Q. Characterization and evaluation of dewatering properties of PADB, a highly efficient cationic flocculant. Ind. Eng. Chem. Res. 2014, 53, 2572–2582. [Google Scholar] [CrossRef]
Figure 1. A schematic of the SBC model (Bai et al., [14]). rrev is the radius where the flow direction is reversed at the interface between the reversed flow (backflow) and the positive flow (in direction to the weir), relative to the axis of rotation.
Figure 1. A schematic of the SBC model (Bai et al., [14]). rrev is the radius where the flow direction is reversed at the interface between the reversed flow (backflow) and the positive flow (in direction to the weir), relative to the axis of rotation.
Minerals 12 01288 g001
Figure 2. The particle size distributions of five feeds used for simulations (volume based): (A) cumulative curves, (B) in–range fraction histogram of the feed size.
Figure 2. The particle size distributions of five feeds used for simulations (volume based): (A) cumulative curves, (B) in–range fraction histogram of the feed size.
Minerals 12 01288 g002
Figure 3. The relationship between the bowl rotating speed and solids recovery, with different feeds.
Figure 3. The relationship between the bowl rotating speed and solids recovery, with different feeds.
Minerals 12 01288 g003
Figure 4. The relationship between the bowl rotating speed and cut size, with different feeds.
Figure 4. The relationship between the bowl rotating speed and cut size, with different feeds.
Minerals 12 01288 g004
Figure 5. The relationship between the differential speed and solids recovery: (A) with three feed solids concentrations, feed rate at 0.0005 m3/s and (B) with three different feed rates, feed solids concentration at 5%.
Figure 5. The relationship between the differential speed and solids recovery: (A) with three feed solids concentrations, feed rate at 0.0005 m3/s and (B) with three different feed rates, feed solids concentration at 5%.
Minerals 12 01288 g005
Figure 6. Sediments height along the sedimentation channel: (A) feed rate at 0.0005 m3/s and feed solids concentration at 2%; (B) feed rate at 0.0005 m3/s and feed solids concentration at 5%; (C) feed rate at 0.0005 m3/s and feed solids concentration at 10%; (D) feed rate at 0.0003 m3/s and feed solids concentration at 5%; and (E) feed rate at 0.001 m3/s and feed solids concentration at 5%.
Figure 6. Sediments height along the sedimentation channel: (A) feed rate at 0.0005 m3/s and feed solids concentration at 2%; (B) feed rate at 0.0005 m3/s and feed solids concentration at 5%; (C) feed rate at 0.0005 m3/s and feed solids concentration at 10%; (D) feed rate at 0.0003 m3/s and feed solids concentration at 5%; and (E) feed rate at 0.001 m3/s and feed solids concentration at 5%.
Minerals 12 01288 g006
Figure 7. Position of the interface between the reversed flow (backflow) and the positive flow (in direction to the weir) relative to the bowl wall (i.e., the values of (rbowlrrev) as shown in Figure 1) along the sedimentation channel: (A) feed rate at 0.0005 m3/s and feed solids concentration at 2%; (B) feed rate at 0.0005 m3/s and feed solids concentration at 5%; (C) feed rate at 0.0005 m3/s and feed solids concentration at 10%; (D) feed rate at 0.0003 m3/s and feed solids concentration at 5%; and (E) feed rate at 0.001 m3/s and feed solids concentration at 5%.
Figure 7. Position of the interface between the reversed flow (backflow) and the positive flow (in direction to the weir) relative to the bowl wall (i.e., the values of (rbowlrrev) as shown in Figure 1) along the sedimentation channel: (A) feed rate at 0.0005 m3/s and feed solids concentration at 2%; (B) feed rate at 0.0005 m3/s and feed solids concentration at 5%; (C) feed rate at 0.0005 m3/s and feed solids concentration at 10%; (D) feed rate at 0.0003 m3/s and feed solids concentration at 5%; and (E) feed rate at 0.001 m3/s and feed solids concentration at 5%.
Minerals 12 01288 g007
Figure 8. The relationship between the weir height and solids recovery, with different solids loadings.
Figure 8. The relationship between the weir height and solids recovery, with different solids loadings.
Minerals 12 01288 g008
Figure 9. Cut (separation) sizes for particles having entered the sedimentation channel of the SBC from a position ranging from Rweir to rrev,in and settled at the last cross-section of the channel, at feed solids concentration 5% and feed flow rate 0.0005 m3/s.
Figure 9. Cut (separation) sizes for particles having entered the sedimentation channel of the SBC from a position ranging from Rweir to rrev,in and settled at the last cross-section of the channel, at feed solids concentration 5% and feed flow rate 0.0005 m3/s.
Minerals 12 01288 g009
Figure 10. The relationship between the feed rate & feed solids concentration and solids recovery.
Figure 10. The relationship between the feed rate & feed solids concentration and solids recovery.
Minerals 12 01288 g010
Figure 11. Cut sizes of the SBC at various feed flowrates and feed solids concentrations.
Figure 11. Cut sizes of the SBC at various feed flowrates and feed solids concentrations.
Minerals 12 01288 g011
Figure 12. Solids recoveries and cut sizes of the SBC with different feeds of different particle size distributions.
Figure 12. Solids recoveries and cut sizes of the SBC with different feeds of different particle size distributions.
Minerals 12 01288 g012
Figure 13. (A) The cumulative curve of Feed-6 to Feed-9, (B) in-range fraction histogram of Feed-6 to Feed-9 and (C) solids recoveries and cut sizes of the SBC for Feed-6 to Feed-9.
Figure 13. (A) The cumulative curve of Feed-6 to Feed-9, (B) in-range fraction histogram of Feed-6 to Feed-9 and (C) solids recoveries and cut sizes of the SBC for Feed-6 to Feed-9.
Minerals 12 01288 g013
Figure 14. Effect of the liquid dynamic viscosity on the solids recovery and cut size.
Figure 14. Effect of the liquid dynamic viscosity on the solids recovery and cut size.
Minerals 12 01288 g014
Table 1. Geometries of the hypothetical SBC used in the present work.
Table 1. Geometries of the hypothetical SBC used in the present work.
Machine ParameterBowl RadiusBowl LengthPitchBlade Thickness
RbowlLbowlpTblade
Values (m)0.10.450.0650.005
Table 2. Operative variables of the SBC tested in the present work.
Table 2. Operative variables of the SBC tested in the present work.
Machine VariableBowl Rotational Speed
N (rpm)
Differential Speed
N (rpm)
Weir Height
Rbowl–Rweir (mm)
Values2000; 3000; 4000; 500010; 15; 20; 25; 30; 35; 405; 6; 7; 9; 11; 13; 15; 20; 26; 30; 35; 40; 45; 50; 60
Table 3. Feed parameters tested in the present work.
Table 3. Feed parameters tested in the present work.
Feed VariablesFeed RateFeed Solids ConcentrationLiquid Dynamic Viscosity
Q (m3/s)ϕ (%, v/v) η l   ( Pa · s )
Values0.0001; 0.0003; 0.0005; 0.0007; 0.0011; 3; 5; 7;10; 15; 200.0001; 0.0005; 0.001; 0.002; 0.005; 0.01
Publisher’s Note: MDPI stays neutral with regard to jurisdictional claims in published maps and institutional affiliations.

Share and Cite

MDPI and ACS Style

Bai, C.; Park, H.; Wang, L. A Model–Based Parametric Study of Centrifugal Dewatering of Mineral Slurries. Minerals 2022, 12, 1288. https://doi.org/10.3390/min12101288

AMA Style

Bai C, Park H, Wang L. A Model–Based Parametric Study of Centrifugal Dewatering of Mineral Slurries. Minerals. 2022; 12(10):1288. https://doi.org/10.3390/min12101288

Chicago/Turabian Style

Bai, Changzhi, Hangil Park, and Liguang Wang. 2022. "A Model–Based Parametric Study of Centrifugal Dewatering of Mineral Slurries" Minerals 12, no. 10: 1288. https://doi.org/10.3390/min12101288

APA Style

Bai, C., Park, H., & Wang, L. (2022). A Model–Based Parametric Study of Centrifugal Dewatering of Mineral Slurries. Minerals, 12(10), 1288. https://doi.org/10.3390/min12101288

Note that from the first issue of 2016, this journal uses article numbers instead of page numbers. See further details here.

Article Metrics

Back to TopTop