Study on the Effect of Bond Strength on the Failure Mode of Coarse-Grained Sandstone in Weakly Cemented Stratum
Abstract
1. Introduction
2. Methods
3. Results
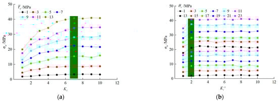
3.1. Relationship between Bond Strength and Peak Strength
3.2. Effect of Bond Strength on Failure Mode
3.3. Effect of Tensile−Shear Bond Strength Ratio
4. Discussion
4.1. Analysis of Maximum Value of Peak Strength
4.2. Analysis of Failure Mode Limit and Crack Evolution
4.3. Failure Mode of Coarse Sandstone
5. Conclusions
- (1)
- In the numerical simulation of the bond strength of the weakly cemented coarse-grained sandstone, the tensile bond strength is more sensitive to changes in the peak strength and the failure mode of the weakly cemented coarse-grained sandstone than the shear bond strength. When other weakly cemented rocks are studied, the tensile bond strength should be emphasized.
- (2)
- Tensile bond strength and shear bond strength are established separately as a function of peak strength. When the tensile-shear bond strength ratio ranges from 0.5 to 7, the peak strength of the weakly cemented coarse-grained sandstone can vary with the change in bond strength. When the tensile-shear bond strength ratio is out of this range, the peak strength will not change. Therefore, the tensile-shear bond strength ratio should be emphasized when studying weakly cemented rocks.
- (3)
- When the tensile-shear bond strength ratio is greater than 2.0, the failure mode of the rock is shear failure. When the bond strength ratio is less than 1.9, the failure mode of the rock is tensile failure. When the bond strength ratio is 1.9–2.0, the failure mode of the rock is tensile-shear composite failure. The failure mode of weakly cemented coarse-grained sandstone is shear failure, and the bond strength ratio is more than 2.0.
Author Contributions
Funding
Data Availability Statement
Acknowledgments
Conflicts of Interest
References
- Wang, Z.K.; Li, W.P.; Wang, Q.Q.; Liu, S.L.; Hu, Y.B.; Fan, K.F. Relationships between the petrographic, physical and mechanical characteristics of sedimentary rocks in Jurassic weakly cemented strata. Environ. Earth Sci. 2019, 78, 131. [Google Scholar] [CrossRef]
- Zhang, J.H.; Wang, L.G.; Li, Q.H.; Zhu, S.S. Plastic zone analysis and support optimization of shallow roadway with weakly cemented soft strata. Int. J. Min. Sci. Technol. 2015, 25, 395–400. [Google Scholar] [CrossRef]
- Meng, Q.B.; Han, L.J.; Xiao, Y.; Li, H.; Wen, S.Y.; Zhang, J. Numerical simulation study of the failure evolution process and failure mode of surrounding rock in deep soft rock roadways. Int. J. Min. Sci. Technol. 2016, 26, 209–221. [Google Scholar] [CrossRef]
- Shi, G.H.; Goodman, R.E. Two-dimensional discontinuous deformation analysis. Int. J. Numer. Anal. Methods Geomech. 1985, 9, 541–556. [Google Scholar] [CrossRef]
- Shi, G.H.; Goodman, R.E. Generalization of two-dimensional discontinuous deformation analysis for forward modeling. Int. J. Numer. Anal. Methods Geomech. 1989, 13, 359–380. [Google Scholar] [CrossRef]
- Shi, G.H.; Pei, J.M. Numerical Manifold Method (NMM) and Discontinuous Deformation Analysis (DDA); Tsinghua University Press: Beijing, China, 1987. [Google Scholar]
- Munjiza, A.; Owen, D.R.J.; Bicanic, N. A combined finite-discrete element method in transient dynamics of fracturing solids. Eng. Comput. 1995, 12, 145–174. [Google Scholar] [CrossRef]
- Munjiza, A. The Combined Finite-Discrete Element Method; John Wiley: Chichester, UK, 2004. [Google Scholar]
- Munjiza, A.; Rougier, E.; Knight, E.E. Large Strain Finite Element Method: A Practical Course; John Wiley: Chichester, UK, 2015. [Google Scholar]
- Xu, C.Y.; Liu, Q.S.; Wu, J.; Deng, P.H.; Liu, P.; Zhang, H.H. Numerical study on P-wave propagation across the jointed rock masses by the combined finite-discrete element method. Comput. Geotech. 2022, 142, 104554. [Google Scholar] [CrossRef]
- Cundall, P.A.; Strack, O.D.L. A discrete numerical model for granular assemblies. Geotechnique 1979, 29, 47–65. [Google Scholar] [CrossRef]
- Kafashan, J.; Wiącek, J.; Rahman, N.A.; Gan, J.Q. Two-dimensional particle shapes modelling for DEM simulations in engineering: A review. Granul. Matter 2019, 21, 80. [Google Scholar] [CrossRef]
- Shimizu, H.; Murata, S.; Ishida, T. Effects of particle number and size distribution on macroscopic mechanical properties of rock models in DEM. J. Soc. Mater. Sci. Jpn. 2010, 59, 219–226. [Google Scholar] [CrossRef][Green Version]
- Potyondy, D.O.; Cundall, P.A. A bonded-particle model for rock. Int. J. Rock Mech. Min. Sci. 2004, 41, 1329–1364. [Google Scholar] [CrossRef]
- Hsieh, Y.M.; Li, H.H.; Huang, T.H.; Jeng, F.S. Interpreta-tions on how the macroscopic mechanical behavior of sand-stone affected by microscopic properties—Revealed by bonded-particle model. Eng. Geol. 2008, 99, 1–10. [Google Scholar] [CrossRef]
- Kazerani, T.; Zhao, J. Micromechanical parameters in bonded particle method for modeling of brittle material failure. Int. J. Numer. Anal. Methods Geomech. 2010, 34, 1877–1895. [Google Scholar] [CrossRef]
- Obermayr, M.; Dressler, K.; Vrettos, C.; Eberhard, P. A bonded-particle model for cemented sand. Comput. Geotech. 2013, 49, 299–313. [Google Scholar] [CrossRef]
- Zhang, S.H.; Wu, S.C.; Duan, K. Study on the deformation and strength characteristics of hard rock under true triaxial stress state using bonded-particle model. Comput. Geotech. 2019, 112, 1–16. [Google Scholar] [CrossRef]
- Kulatilake, P.H.S.W.; Malama, B.; Wang, J.L. Physical and particle flow modeling of jointed rock block behavior under uniaxial loading. Int. J. Rock Mech. Min. Sci. 2001, 38, 641–657. [Google Scholar] [CrossRef]
- Holt, R.M.; Kjølaas, J.; Larsen, I.; Li, L.; Pillitteri, A.G.; Sønstebø, E.F. Comparison between controlled laboratory experiments and discrete particle simulations of the mechanical behaviour of rock. Int. J. Rock Mech. Min. Sci. 2005, 42, 985–995. [Google Scholar] [CrossRef]
- Bahaaddini, M.; Sharrock, G.; Hebblewhite, B.K. Numerical investigation of the effect of joint geometrical parameters on the mechanical properties of a non-persistent jointed rock mass under uniaxial compression. Comput. Geotech. 2013, 49, 206–225. [Google Scholar] [CrossRef]
- Helmons, R.L.J.; Miedema, S.A.; Rhee, C.V. Simulating hydro mechanical effects in rock deformation by combination of the discrete element method and the smoothed particle method. Int. J. Rock Mech. Min. Sci. 2016, 86, 224–234. [Google Scholar] [CrossRef]
- Mehranpour, M.H.; Kulatilake, P.H.S.W. Improvements for the smooth joint contact model of the particle flow code and its applications. Comput. Geotech. 2017, 87, 163–177. [Google Scholar] [CrossRef]
- Saadat, M.; Taheri, A.; Kawamura, Y. Investigating asperity damage of natural rock joints in polycrystalline rocks under confining pressure using grain-based model. Comput. Geotech. 2021, 135, 104144. [Google Scholar] [CrossRef]
- Potyondy, O. David. Simulating stress corrosion with a bonded-particle model for rock. Int. J. Rock Mech. Min. Sci. 2007, 44, 677–691. [Google Scholar] [CrossRef]
- Filgueira, U.C.; Alejano, L.R.; Arzúa, J.; Ivars, D.M. Sensitivity analysis of the micro-parameters used in a PFC analysis towards the mechanical properties of rocks. Procedia Eng. 2017, 191, 488–495. [Google Scholar] [CrossRef]
- Manso, J.; Marcelino, J.; Caldeira, L. Effect of the clump size for bonded particle model on the uniaxial and tensile strength ratio of rock. Int. J. Rock Mech. Min. Sci. 2019, 114, 131–140. [Google Scholar] [CrossRef]
- Abi, E.D.; Zheng, Y.R.; Feng, X.T.; Cong, Y. Relationship between particle micro and macro mechanical parameters of parallel-bond model. Rock Soil Mech. 2018, 39, 1289–1301. [Google Scholar] [CrossRef]
- Cong, Y.; Wang, Z.Q.; Zheng, Y.R.; Feng, X.T. Experimental study on microscopic parameters of brittle materials based on particle flow theory. Chin. J. Geotech. Eng. 2015, 37, 1031–1040. [Google Scholar] [CrossRef]
- Zhao, G.Y.; Dai, B.; Ma, C. Study of effects of microparameters on macroproperties for parallel bonded model. Chin. J. Rock Mech. Eng. 2012, 31, 1491–1498. [Google Scholar] [CrossRef]
- Su, H.; Yang, J.Q.; Hu, B.W.; Gao, X.; Ma, H. Study of particle size effect of rock model based on particle discrete element method. Rock Soil Mech. 2018, 39, 4642–4650. [Google Scholar] [CrossRef]
- Yoon, J. Application of experimental design and optimization to PFC model calibration in uniaxial compression simulation. Int. J. Rock Mech. Min. Sci. 2007, 44, 871–889. [Google Scholar] [CrossRef]
- Yang, B.D.; Jiao, Y.; Lei, S.T. A study on the effects of microparameters on macroproperties for specimens created by bonded particles. Eng. Comput. 2006, 23, 607–631. [Google Scholar] [CrossRef]
- Xu, J.M.; Xie, Z.L.; Jia, H.T. Simulation of mesomechanical properties of limestone using particle flow code. Rock Soil Mech. 2011, 30, 2084–2089. [Google Scholar] [CrossRef]
- Deng, S.X.; Zheng, Y.L.; Feng, L.P.; Zhu, P.Y.; Ni, Y. Application of design of experiments in microscopic parameter calibration for hard rocks of PFC3d model. Chin. J. Geotech. Eng. 2019, 41, 655–664. [Google Scholar] [CrossRef]
- Saadat, M.; Taheri, A. A numerical approach to investigate the effects of rock texture on the damage and crack propagation of a pre-cracked granite. Comput. Geotech. 2019, 111, 89–111. [Google Scholar] [CrossRef]
- Filgueira, U.C.; Alejano, L.R.; Ivars, D.M. Particle flow code simulation of intact and fissured granitic rock samples. J. Rock Mech. Geotech. Eng. 2020, 12, 960–974. [Google Scholar] [CrossRef]
- Lie, K.; Pathegama, G.R.; Bing, Q.L. Fluid-driven micro-cracking behaviour of crystalline rock using a coupled hydro-grain-based discrete element method. Int. J. Rock Mech. Min. Sci. 2021, 144, 104766. [Google Scholar] [CrossRef]










| Parameter | Value | Parameter | Value | Parameter | Value |
|---|---|---|---|---|---|
| Particle density/kg/m3 | 2195 | Particle stiffness ratio | 2.6 | PBM stiffness ratio | 2.6 |
| Porosity | 0.16 | PBM elastic modulus/Pa | 4 × 109 | PBM radius factor | 1.0 |
| Particle size ratio | 1.66 | Local damping coefficient | 0.7 | Particle friction coefficient | 0.6 |
| Parameter | Specimen 1 | Specimen 2 | Specimen 3 | Specimen 4 | Specimen 5 | Specimen 6 |
|---|---|---|---|---|---|---|
| Compressive strength/MPa | 12.21 | 26.05 | 5.72 | 6.34 | 23.04 | 30.86 |
| Tensile strength/MPa | 0.66 | 1.14 | 0.33 | 0.39 | 0.90 | 0.23 |
| Cohesion/MPa | 1.21 | 3.75 | 0.74 | 0.58 | 2.77 | 0.66 |
| Internal friction angle/° | 36.80 | 36.30 | 35.5 | 38.50 | 36.6 | 48.6 |
Publisher’s Note: MDPI stays neutral with regard to jurisdictional claims in published maps and institutional affiliations. |
© 2021 by the authors. Licensee MDPI, Basel, Switzerland. This article is an open access article distributed under the terms and conditions of the Creative Commons Attribution (CC BY) license (https://creativecommons.org/licenses/by/4.0/).
Share and Cite
Yang, X.; Sun, L.; Song, J.; Yang, B.; Lan, C.; He, Q. Study on the Effect of Bond Strength on the Failure Mode of Coarse-Grained Sandstone in Weakly Cemented Stratum. Minerals 2022, 12, 55. https://doi.org/10.3390/min12010055
Yang X, Sun L, Song J, Yang B, Lan C, He Q. Study on the Effect of Bond Strength on the Failure Mode of Coarse-Grained Sandstone in Weakly Cemented Stratum. Minerals. 2022; 12(1):55. https://doi.org/10.3390/min12010055
Chicago/Turabian StyleYang, Xianda, Lihui Sun, Jiale Song, Bensheng Yang, Chengren Lan, and Qingfeng He. 2022. "Study on the Effect of Bond Strength on the Failure Mode of Coarse-Grained Sandstone in Weakly Cemented Stratum" Minerals 12, no. 1: 55. https://doi.org/10.3390/min12010055
APA StyleYang, X., Sun, L., Song, J., Yang, B., Lan, C., & He, Q. (2022). Study on the Effect of Bond Strength on the Failure Mode of Coarse-Grained Sandstone in Weakly Cemented Stratum. Minerals, 12(1), 55. https://doi.org/10.3390/min12010055

