Applied Calibration and Validation Method of Dynamic Process Simulation for Crushing Plants
Abstract
:1. Introduction
2. Process Modeling and Simulation Approach
2.1. Dynamic Process Simulation
2.2. Crusher Model
2.3. Screen Model
3. Applied Experimental Method Description
3.1. Process Mapping
3.2. Experimental Design and Data Collection
- A series of four experiments were performed consisting of crusher closed-side setting (CSS) calibration, crusher operation, crusher CSS re-check, followed by a crash stop of the circuit for belt-cut sampling. The rationale behind the chosen incremental crusher set points is based on the type of crusher, top size particle in incoming feed, and the practical possibility of operation. The crusher CSS was calibrated and re-checked using hard clay to observe the deviation in the setting before and after the continuous operation.
- Continuous operation of the crusher at the choke feed condition and steady-state process condition was performed to capture continuous data for mass flow. The crusher was operated for 25 min to be able to capture a minimum of 20 min of the steady-state performance condition.
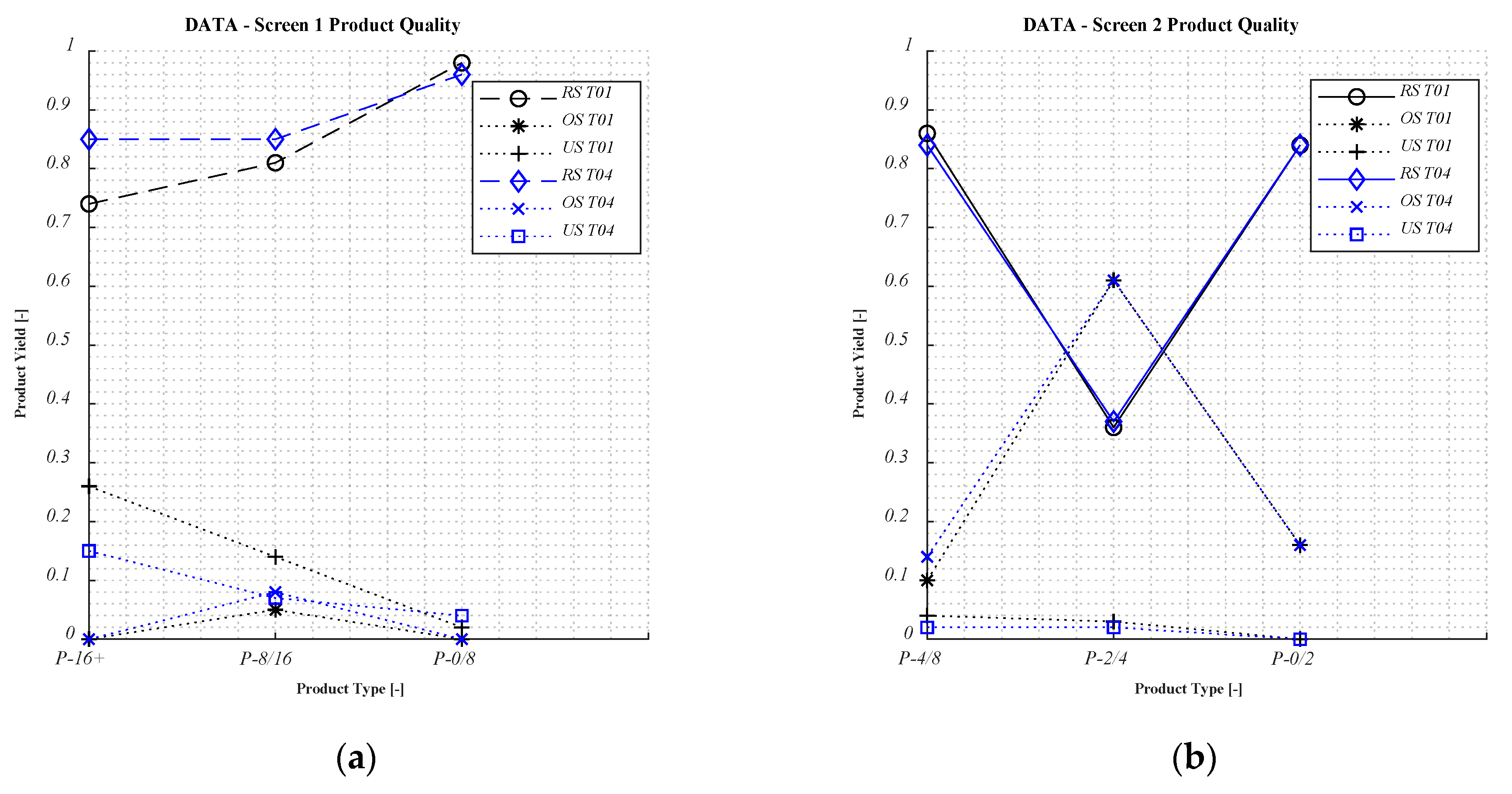
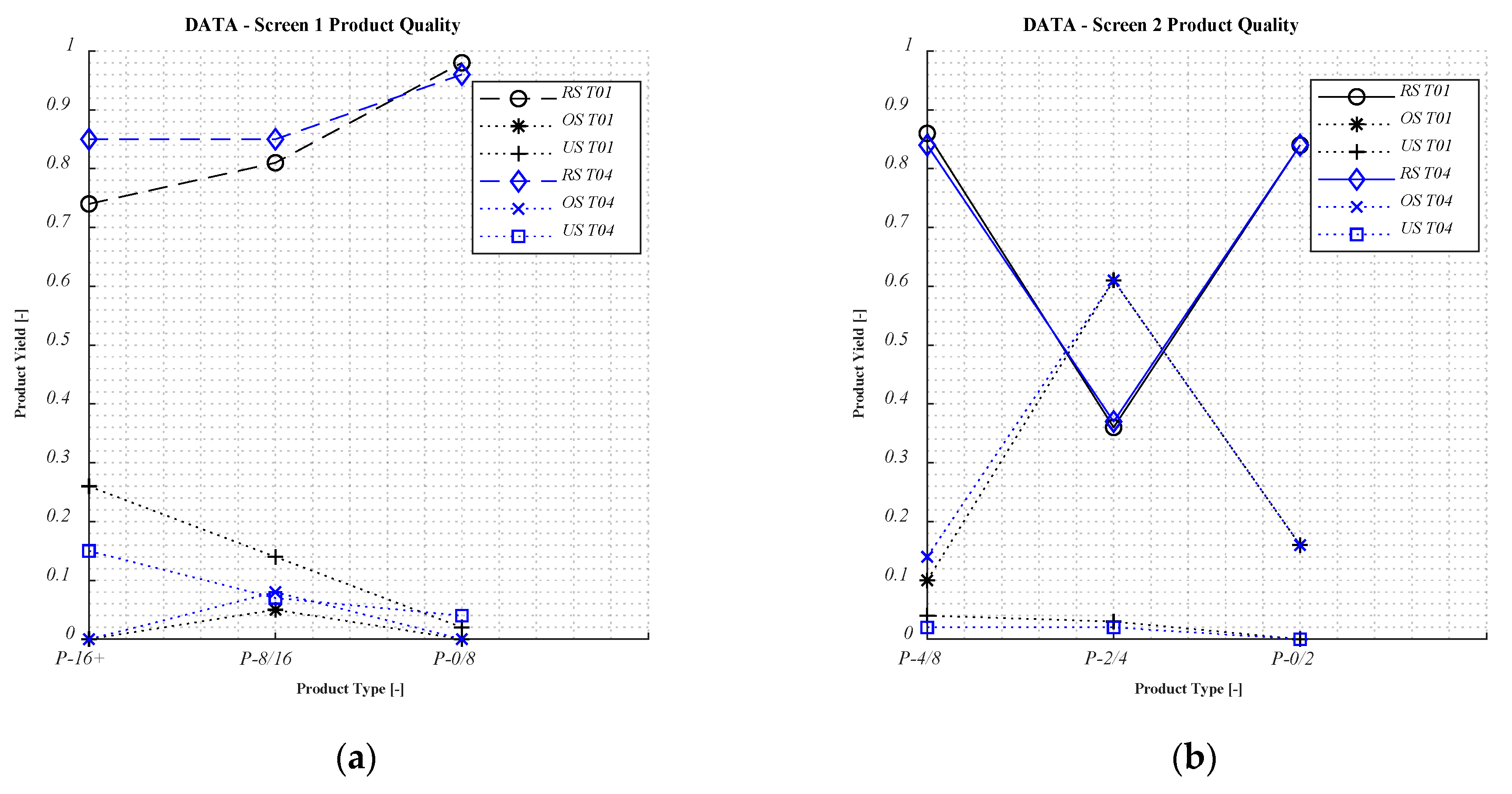
- The circuit was crash-stopped to perform the belt-cut sampling at various conveyor points based on the experimental plan. For all four test runs, crusher feed and product were sampled. For the screen calibration, two experimental tests (T01 and T04) captured the belt cut samples for screen feeds and products. The rationale behind choosing these two tests was to capture the screens’ performance at two loading conditions: low CSS (T01) created a high load on screen 2 (high generation of fine material), while high CSS (T04) created a high loading condition in screen 1 (high generation of coarse material).
- The belt-cut sampling lengths (1–3 m) were selected based on the top size of material on the conveyor, uniformity of material distribution, and material weight required to achieve statistical significance based on top size [15,26]. The samples were limited to include replicates. Sieving analysis was performed on each sampled material using SS-EN 933-1:2012 standard [26]. For the survey data, a basic check was performed if the data set was in line with the knowledge of the equipment. For example, opening the CSS of the crusher should lead to increased production of coarse products.
3.3. Applied Optimization Method
3.3.1. Crusher Optimization Problem Formulation
3.3.2. Screen Optimization Problem Formulation
3.3.3. Production Data Collection and Filtering
4. Results
4.1. Crusher Calibration
4.2. Screen Calibration
4.3. Process Validation
5. Discussion
6. Conclusions
Author Contributions
Funding
Institutional Review Board Statement
Informed Consent Statement
Data Availability Statement
Acknowledgments
Conflicts of Interest
Appendix A




References
- Asbjörnsson, G. Crushing Plant Dynamics; Chalmers University of Technology: Gothenburg, Sweden, 2015. [Google Scholar]
- King, R.P. Modeling and Simulation of Mineral Processing Systems; Elsevier Science: Amsterdam, The Netherlands, 2001. [Google Scholar]
- Yamashita, A.S.; Thivierge, A.; Euzébio, T.A. A review of modeling and control strategies for cone crushers in the mineral processing and quarrying industries. Miner. Eng. 2021, 170, 107036. [Google Scholar] [CrossRef]
- Bhadani, K.; Asbjörnsson, G.; Hulthén, E.; Hofling, K.; Evertsson, M. Application of Optimization Method for Calibration and Maintenance of Power-Based Belt Scale. Minerals 2021, 11, 412. [Google Scholar] [CrossRef]
- Bhadani, K.; Asbjörnsson, G.; Hulthén, E.; Evertsson, M. Development and implementation of key performance indicators for aggregate production using dynamic simulation. Miner. Eng. 2020, 145, 106065. [Google Scholar] [CrossRef]
- Bhadani, K. Optimization Framework for Crushing Plants; Chalmers University of Technology: Gothenburg, Sweden, 2019. [Google Scholar]
- Huband, S.; Barone, L.; Hingston, P.; While, L.; Tuppurainen, D.; Bearman, R. Designing Comminution Circuits with a Multi-Objective Evolutionary Algorithm. In Proceedings of the 2005 IEEE Congress on Evolutionary Computation, Scotland, UK, 2–5 September 2005; pp. 1815–1822. [Google Scholar]
- Huband, S.; Tuppurainen, D.; While, L.; Barone, L.; Hingston, P.; Bearman, R. Maximising overall value in plant design. Miner. Eng. 2006, 19, 1470–1478. [Google Scholar] [CrossRef]
- Bhadani, K.; Asbjörnsson, G.; Hulthén, E.; Evertsson, M. Application of multi-disciplinary optimization architectures in mineral processing simulations. Miner. Eng. 2018, 128, 27–35. [Google Scholar] [CrossRef]
- Bhadani, K.; Asbjörnsson, G.; Hulthén, E.; Bengtsson, M.; Evertsson, M. Comparative Study of Optimization Schemes in Mineral Processing Simulations. In Proceedings of the XXIX International Mineral Processing Congress, Moscow, Russia, 17–21 September 2018. [Google Scholar]
- Brown, R.P.; Steyn, C.W.; Fouchee, R.J. Improving crusher performance by comparing various control strategies using a validated simulation. In Proceedings of the Comminution 2016, Cape Town, South Africa, 11–14 April 2016. [Google Scholar]
- Evertsson, C.M. Cone Crusher Performance; Chalmers University of Technology: Gothenburg, Sweden, 2000. [Google Scholar]
- Whiten, W.J. The simulation of crushing plants with models developed using multiple spline regression. J. South. Afr. Inst. Min. Metall. 1972, 72, 257–264. [Google Scholar]
- Karra, V.K. Development of a model for predicting the screening performance of a vibrating screen. CIM Bull. 1979, 72, 167–171. [Google Scholar]
- Napier-Munn, T.J.; Morrell, S.; Morrison, R.D.; Kojovic, T. Mineral Comminution Circuits: Their Operation and Optimisation; Julius Kruttschnitt Mineral Research Centre, The University of Queensland: Indooroopilly, Australia, 1996. [Google Scholar]
- Soldinger, M. Screening of Crushed Rock Material; Chalmers University of Technology: Gothenburg, Sweden, 2002. [Google Scholar]
- Asbjörnsson, G.; Bengtsson, M.; Hulthén, E.; Evertsson, M. Model of banana screen for robust performance. Miner. Eng. 2016, 91, 66–73. [Google Scholar] [CrossRef]
- King, R.P. Simulation—The modern cost-effective way to solve crusher circuit processing problems. Int. J. Miner. Process. 1990, 29, 249–265. [Google Scholar] [CrossRef]
- Qi, C.C. Big data management in the mining industry. Int. J. Miner. Met. Mater. 2020, 27, 131–139. [Google Scholar] [CrossRef]
- Kusiak, A. Smart manufacturing. Int. J. Prod. Res. 2017, 56, 508–517. [Google Scholar] [CrossRef]
- Li, H.; Evertsson, M.; Lindqvist, M.; Hulthén, E.; Asbjörnsson, G.; Bonn, G. Dynamic modelling of a SAG mill—Pebble crusher circuit by data-driven methods. In Proceedings of the SAG Conference 2019, Vancouver, BC, Canada, 22–26 September 2019. [Google Scholar]
- Li, H.; Evertsson, M.; Lindqvist, M.; Asbjörnsson, G. Isolating the impact of pebble recycling on AG/SAG circuit: A data-driven method. In Proceedings of the 12th International Comminution Symposium, Online, 27–30 April 2020. [Google Scholar]
- Asbjörnsson, G.; Evertsson, M.; Tavares, L.M.; Mainza, A.; Yahyaei, M. Different Perspectives of Dynamics in Comminution Processes. In Proceedings of the 12th International Comminution Symposium (Comminution ’21), Cape Town, South Africa, 27–30 April 2020. [Google Scholar]
- Asbjörnsson, G.; Hulthén, E.; Evertsson, M. Modelling and simulation of dynamic crushing plant behavior with MATLAB/Simulink. Miner. Eng. 2013, 43, 112–120. [Google Scholar] [CrossRef]
- Bond, F.C. Third theory of comminution. Min. Eng. 1952, 4, 484. [Google Scholar]
- SIS. Tests for Geometrical Properties of Aggregates—Part 1: Determination of Particle Size Distribution—Sieving Method; Swedish Standards Institute, SIS Förlag AB: Stockholm, Sweden, 2012; SS-EN 933-1:2012. [Google Scholar]
- Fletcher, R. Practical Methods of Optimization; Wiley: Hoboken, NJ, USA, 2000. [Google Scholar]
- Koroll, C. OJ:s Vågsystem—Belt Weigher Solutions. Available online: https://www.vagsystem.se/en/ (accessed on 28 June 2021).
















| Test ID | CSS Setpoint (mm) | CSS Calibration (mm) | CSS Re-Check (mm) | Operation Time (min) | Belt-Cut Sampling Point |
|---|---|---|---|---|---|
| T01 | 12 | 11.5 | 12.5 | 25 | CV (3, 4, 5, 6, 7, 8, 9,10) |
| T02 | 15 | 15 | 15 | 25 | CV4, CV5 |
| T03 | 17 | 16.5 | 17.5 | 25 | CV4, CV5 |
| T04 | 19 | 18 | 19 | 25 | CV (3, 4, 5, 6, 7, 8, 9,10) |
| Product Stream | T01 | T02 | T03 | T04 |
|---|---|---|---|---|
| Crusher Product | 6.42 | 3.90 | 3.22 | 3.40 |
| P8/16 mm | 14.38 | 6.05 | 4.20 | 8.75 |
| P16+ mm | 5.10 | 8.40 | 11.38 | 7.72 |
| P4/8 mm | 2.56 | 0.70 | 1.77 | 1.48 |
| P2/4 mm | 2.06 | 0.78 | 1.28 | 1.01 |
| P0/2 mm | 1.90 | 2.42 | 2.22 | 1.50 |
Publisher’s Note: MDPI stays neutral with regard to jurisdictional claims in published maps and institutional affiliations. |
© 2021 by the authors. Licensee MDPI, Basel, Switzerland. This article is an open access article distributed under the terms and conditions of the Creative Commons Attribution (CC BY) license (https://creativecommons.org/licenses/by/4.0/).
Share and Cite
Bhadani, K.; Asbjörnsson, G.; Schnitzer, B.; Quist, J.; Hansson, C.; Hulthén, E.; Evertsson, M. Applied Calibration and Validation Method of Dynamic Process Simulation for Crushing Plants. Minerals 2021, 11, 921. https://doi.org/10.3390/min11090921
Bhadani K, Asbjörnsson G, Schnitzer B, Quist J, Hansson C, Hulthén E, Evertsson M. Applied Calibration and Validation Method of Dynamic Process Simulation for Crushing Plants. Minerals. 2021; 11(9):921. https://doi.org/10.3390/min11090921
Chicago/Turabian StyleBhadani, Kanishk, Gauti Asbjörnsson, Barbara Schnitzer, Johannes Quist, Christian Hansson, Erik Hulthén, and Magnus Evertsson. 2021. "Applied Calibration and Validation Method of Dynamic Process Simulation for Crushing Plants" Minerals 11, no. 9: 921. https://doi.org/10.3390/min11090921
APA StyleBhadani, K., Asbjörnsson, G., Schnitzer, B., Quist, J., Hansson, C., Hulthén, E., & Evertsson, M. (2021). Applied Calibration and Validation Method of Dynamic Process Simulation for Crushing Plants. Minerals, 11(9), 921. https://doi.org/10.3390/min11090921

