Vibrational and Thermodynamic Properties of Hydrous Iron-Bearing Lowermost Mantle Minerals
Abstract
:1. Introduction
2. Computational Methods
2.1. Computational Details
2.2. The Configurations of Hydrogen Defects and Spin State of Iron
3. Results and Discussion
3.1. Incorporation of Hydrogen and Ferric
3.2. Vibrational Properties
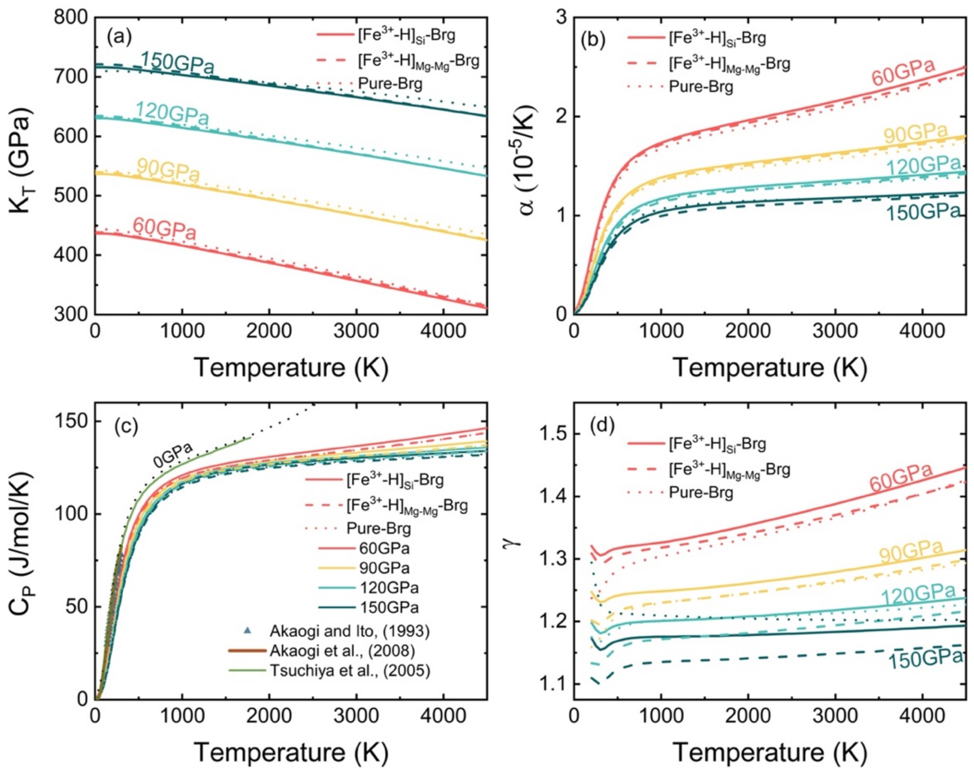
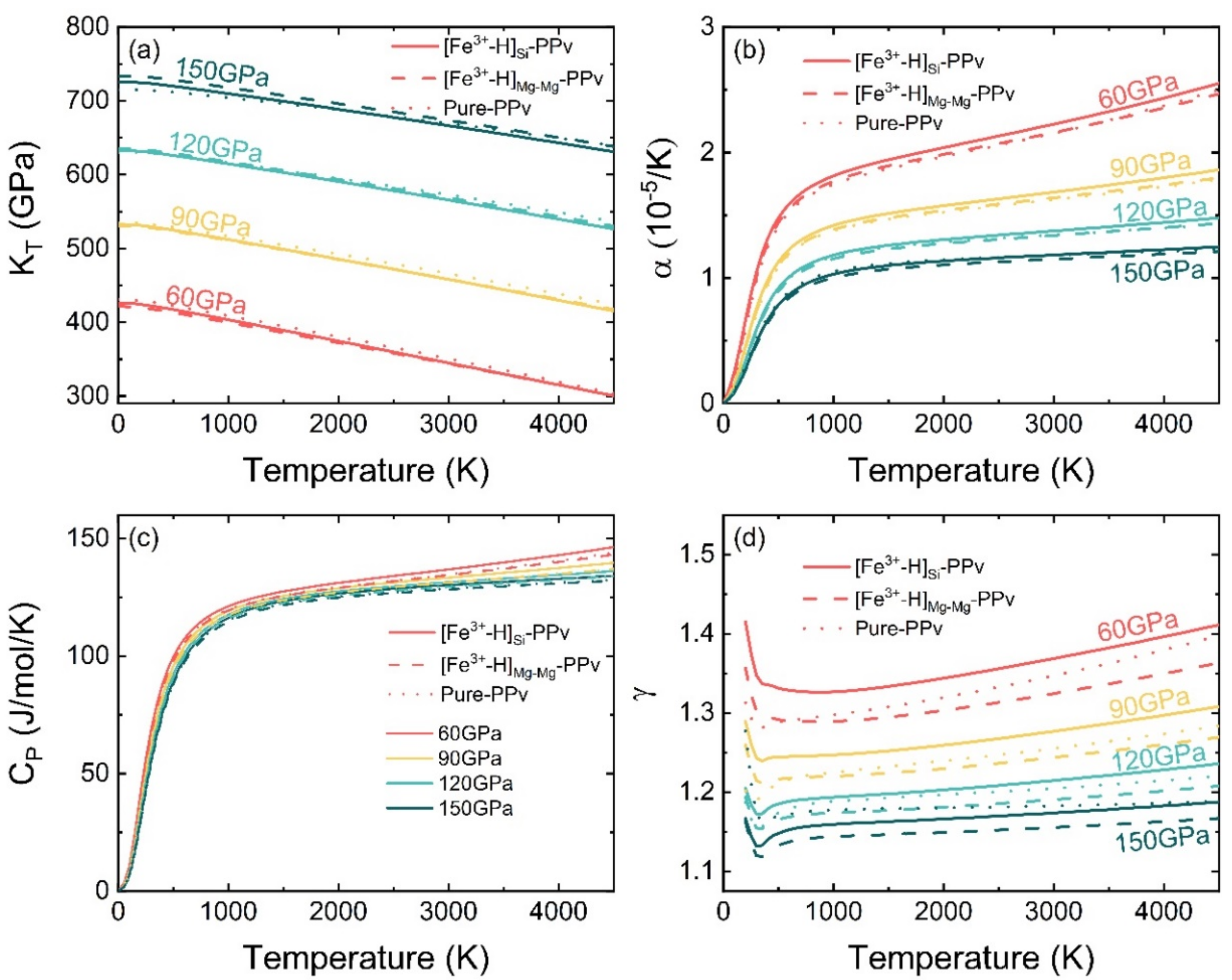
3.3. Thermodynamic Properties
4. Conclusions
Supplementary Materials
Author Contributions
Funding
Data Availability Statement
Acknowledgments
Conflicts of Interest
References
- Irifune, T.; Tsuchiya, T. Mineralogy of the Earth–Phase transitions and mineralogy of the lower mantle. In Treatise on Geophysics; Schubert, G., Ed.; Elsevier: Amsterdam, The Netherlands, 2007; pp. 33–62. [Google Scholar]
- Lin, J.F.; Speziale, S.; Mao, Z.; Marquardt, H. Effects of the electronic spin transitions of iron in lower mantle minerals: Implications for deep mantle geophysics and geochemistry. Rev. Geophys. 2013, 51, 244–275. [Google Scholar] [CrossRef]
- Murakami, M.; Hirose, K.; Kawamura, K.; Sata, N.; Ohishi, Y. Post-perovskite phase transition in MgSiO3. Science 2004, 304, 855–858. [Google Scholar] [CrossRef] [Green Version]
- Oganov, A.R.; Ono, S. Theoretical and experimental evidence for a post-perovskite phase of MgSiO3 in Earth’s D″ layer. Nature 2004, 430, 445–448. [Google Scholar] [CrossRef]
- Tsuchiya, T.; Tsuchiya, J.; Umemoto, K.; Wentzcovitch, R.M. Phase transition in MgSiO3 perovskite in the earth’s lower mantle. Earth Planet. Sci. Lett. 2004, 224, 241–248. [Google Scholar] [CrossRef]
- Sun, N.; Wei, W.; Han, S.; Song, J.; Li, X.; Duan, Y.; Prakapenka, V.B.; Mao, Z. Phase transition and thermal equations of state of (Fe,Al)-bridgmanite and post-perovskite: Implication for the chemical heterogeneity at the lowermost mantle. Earth Planet. Sci. Lett. 2018, 490, 161–169. [Google Scholar] [CrossRef]
- Lay, T.; Garnero, E.J. Reconciling the Post-Perovskite Phase with Seismological Observations of Lowermost Mantle Structure; Washington DC American Geophysical Union Geophysical Monograph Series; American Geophysical Union: Malden, MA, USA, 2007; Volume 174, pp. 129–153. [Google Scholar] [CrossRef] [Green Version]
- Murakami, M.; Sinogeikin, S.V.; Bass, J.D.; Sata, N.; Ohishi, Y.; Hirose, K. Sound velocity of MgSiO3 post-perovskite phase: A constraint on the D″ discontinuity. Earth Planet. Sci. Lett. 2007, 259, 18–23. [Google Scholar] [CrossRef]
- Dorfman, S.M.; Meng, Y.; Prakapenka, V.B.; Duffy, T.S. Effects of Fe-enrichment on the equation of state and stability of (Mg,Fe)SiO3 perovskite. Earth Planet. Sci. Lett. 2013, 361, 249–257. [Google Scholar] [CrossRef]
- Grocholski, B.; Catalli, K.; Shim, S.H.; Prakapenka, V. Mineralogical effects on the detectability of the postperovskite boundary. Proc. Natl. Acad. Sci. USA 2012, 109, 2275–2279. [Google Scholar] [CrossRef] [PubMed] [Green Version]
- Tateno, S.; Hirose, K.; Sata, N.; Ohishi, Y. Phase relations in Mg3Al2Si3O12 to 180 GPa: Effect of Al on post-perovskite phase transition. Geophys. Res. Lett. 2005, 32, 1–4. [Google Scholar] [CrossRef]
- Sinmyo, R.; McCammon, C.; Dubrovinsky, L. The spin state of Fe3+ in lower mantle bridgmanite. Am. Mineral. 2017, 102, 1263–1269. [Google Scholar] [CrossRef]
- Frost, D.J.; Liebske, C.; Langenhorst, F.; McCammon, C.A.; Tronnes, R.G.; Rubie, D.C. Experimental evidence for the existence of iron-rich metal in the Earth’s lower mantle. Nature 2004, 428, 409–412. [Google Scholar] [CrossRef]
- Liu, Z.D.; McCammon, C.; Wang, B.; Dubrovinsky, L.; Ishii, T.; Bondar, D.; Nakajima, A.; Tange, Y.; Higo, Y.J.; Cui, T.; et al. Stabili and solubility of the FeAlO3 component in bridgmanite at uppermost lower mantle conditions. J. Geophys. Res. Solid Earth 2020, 125, 1–16. [Google Scholar] [CrossRef]
- Frost, D.J.; McCammon, C.A. The redox state of Earth’s mantle. Annu. Rev. Earth Planet. Sci. 2008, 36, 389–420. [Google Scholar] [CrossRef]
- Catalli, K.; Shim, S.H.; Prakapenka, V.B.; Zhao, J.Y.; Sturhahn, W.; Chow, P.; Xiao, Y.M.; Liu, H.Z.; Cynn, H.; Evans, W.J. Spin state of ferric iron in MgSiO3 perovskite and its effect on elastic properties. Earth Planet. Sci. Lett. 2010, 289, 68–75. [Google Scholar] [CrossRef]
- Hsu, H.; Yu, Y.G.G.; Wentzcovitch, R.M. Spin crossover of iron in aluminous MgSiO3 perovskite and post-perovskite. Earth Planet. Sci. Lett. 2012, 359, 34–39. [Google Scholar] [CrossRef]
- Mao, Z.; Lin, J.F.; Yang, J.; Inoue, T.; Prakapenka, V.B. Effects of the Fe3+ spin transition on the equation of state of bridgmanite. Geophys. Res. Lett. 2015, 42, 4335–4342. [Google Scholar] [CrossRef]
- Zhang, F.; Oganov, A.R. Valence state and spin transitions of iron in Earth’s mantle silicates. Earth Planet. Sci. Lett. 2006, 249, 436–443. [Google Scholar] [CrossRef]
- Fiquet, G.; Dewaele, A.; Andrault, D.; Kunz, M.; Le Bihan, T. Thermoelastic properties and crystal structure of MgSiO3 perovskite at lower mantle pressure and temperature conditions. Geophys. Res. Lett. 2000, 27, 21–24. [Google Scholar] [CrossRef]
- Katsura, T.; Yokoshi, S.; Kawabe, K.; Shatskiy, A.; Manthilake, M.; Zhai, S.M.; Fukui, H.; Hegoda, H.; Yoshino, T.; Yamazaki, D.; et al. P-V-T relations of MgSiO3 perovskite determined by in situ X-ray diffraction using a large-volume high-pressure apparatus. Geophys. Res. Lett. 2009, 36, 6. [Google Scholar] [CrossRef]
- Mosenfelder, J.L.; Asimow, P.D.; Frost, D.J.; Rubie, D.C.; Ahrens, T.J. The MgSiO3 system at high pressure: Thermodynamic properties of perovskite, postperovskite, and melt from global inversion of shock and static compression data. J. Geophys. Res. Solid Earth 2009, 114, 16. [Google Scholar] [CrossRef] [Green Version]
- Karki, B.B.; Wentzcovitch, R.M.; de Gironcoli, S.; Baroni, S. First principles thermoelasticity of MgSiO3-perovskite: Consequences for the inferred properties of the lower mantle. Geophys. Res. Lett. 2001, 28, 2699–2702. [Google Scholar] [CrossRef]
- Caracas, R.; Cohen, R.E. Effect of chemistry on the stability and elasticity of the perovskite and post-perovskite phases in the MgSiO3-FeSiO3-Al2O3 system and implications for the lowermost mantle. Geophys. Res. Lett. 2005, 32, 4. [Google Scholar] [CrossRef]
- Tsuchiya, J.; Tsuchiya, T.; Wentzcovitch, R.M. Vibrational and thermodynamic properties of MgSiO3 postperovskite. J. Geophys. Res. Solid Earth 2005, 110, 1–6. [Google Scholar] [CrossRef]
- Oganov, A.R.; Price, G.D. Ab initio thermodynamics of MgSiO3 perovskite at high pressures and temperatures. J. Chem. Phys. 2005, 122, 1–6. [Google Scholar] [CrossRef] [Green Version]
- Metsue, A.; Tsuchiya, T. Lattice dynamics and thermodynamic properties of (Mg,Fe2+)SiO3 postperovskite. J. Geophys. Res. Solid Earth 2011, 116, 11. [Google Scholar] [CrossRef]
- Metsue, A.; Tsuchiya, T. Thermodynamic properties of (Mg,Fe2+)SiO3 perovskite at the lower-mantle pressures and temperatures: An internally consistent LSDA+U study. Geophys. J. Int. 2012, 190, 310–322. [Google Scholar] [CrossRef] [Green Version]
- Tsuchiya, T.; Wang, X.L. Ab initio investigation on the high-temperature thermodynamic properties of Fe3+-bearing MgSiO3 perovskite. J. Geophys. Res. Solid Earth 2013, 118, 83–91. [Google Scholar] [CrossRef]
- Wang, X.L.; Tsuchiya, T.; Hase, A. Computational support for a pyrolitic lower mantle containing ferric iron. Nat. Geosci. 2015, 8, 556–559. [Google Scholar] [CrossRef]
- Gonnermann, H.M.; Mukhopadhyay, S. Non-equilibrium degassing and a primordial source for helium in ocean-island volcanism. Nature 2007, 449, 1037–1040. [Google Scholar] [CrossRef] [PubMed]
- Hallis, L.J.; Huss, G.R.; Nagashima, K.; Taylor, G.J.; Halldorsson, S.A.; Hilion, D.R.; Mottl, M.J.; Meech, K.J. Evidence for primordial water in Earth’s deep mantle. Science 2015, 350, 795–797. [Google Scholar] [CrossRef] [PubMed] [Green Version]
- Inoue, T.; Wada, T.; Sasaki, R.; Yurimoto, H. Water partitioning in the Earth’s mantle. Phys. Earth Planet. Inter. 2010, 183, 245–251. [Google Scholar] [CrossRef] [Green Version]
- Ohtani, E. Hydrous minerals and the storage of water in the deep mantle. Chem. Geol. 2015, 418, 6–15. [Google Scholar] [CrossRef]
- Pearson, D.G.; Brenker, F.E.; Nestola, F.; McNeill, J.; Nasdala, L.; Hutchison, M.T.; Matveev, S.; Mather, K.; Silversmit, G.; Schmitz, S.; et al. Hydrous mantle transition zone indicated by ringwoodite included within diamond. Nature 2014, 507, 221–224. [Google Scholar] [CrossRef] [PubMed]
- Bolfan-Casanova, N.; Keppler, H.; Rubie, D.C. Water partitioning at 660 km depth and evidence for very low water solubility in magnesium silicate perovskite. Geophys. Res. Lett. 2003, 30, 1–4. [Google Scholar] [CrossRef]
- Panero, W.R.; Pigott, J.S.; Reaman, D.M.; Kabbes, J.E.; Liu, Z.X. Dry (Mg,Fe)SiO3 perovskite in the Earth’s lower mantle. J. Geophys. Res. Solid Earth 2015, 120, 894–908. [Google Scholar] [CrossRef]
- Litasov, K.; Ohtani, E.; Langenhorst, F.; Yurimoto, H.; Kubo, T.; Kondo, T. Water solubility in Mg-perovskites and water storage capacity in the lower mantle. Earth Planet. Sci. Lett. 2003, 211, 189–203. [Google Scholar] [CrossRef]
- Murakami, M.; Hirose, K.; Yurimoto, H.; Nakashima, S.; Takafuji, N. Water in Earth’s lower mantle. Science 2002, 295, 1885–1887. [Google Scholar] [CrossRef] [Green Version]
- Fu, S.Y.; Yang, J.; Karato, S.; Vasiliev, A.; Presniakov, M.Y.; Gavriliuk, A.G.; Ivanova, A.G.; Hauri, E.H.; Okuchi, T.; Purevjav, N.; et al. Water concentration in single-crystal (Al,Fe)-bearing bridgmanite grown from the hydrous melt: Implications for dehydration melting at the topmost lower mantle. Geophys. Res. Lett. 2019, 46, 10346–10357. [Google Scholar] [CrossRef]
- Townsend, J.P.; Tsuchiya, J.; Bina, C.R.; Jacobsen, S.D. Water partitioning between bridgmanite and postperovskite in the lowermost mantle. Earth Planet. Sci. Lett. 2016, 454, 20–27. [Google Scholar] [CrossRef]
- Jiang, J.; Zhang, F. Theoretical studies on the hydrous lower mantle and D″ layer minerals. Earth Planet. Sci. Lett. 2019, 525, 1–12. [Google Scholar] [CrossRef]
- Kresse, G.; Furthmuller, J. Efficient iterative schemes for ab initio total-energy calculations using a plane-wave basis set. Phys. Rev. B 1996, 54, 11169–11186. [Google Scholar] [CrossRef] [PubMed]
- Kresse, G.; Joubert, D. From ultrasoft pseudopotentials to the projector augmented-wave method. Phys. Rev. B 1999, 59, 1758–1775. [Google Scholar] [CrossRef]
- Perdew, J.P.; Burke, K.; Ernzerhof, M. Generalized gradient approximation made simple. Phys. Rev. Lett. 1996, 77, 3865–3868. [Google Scholar] [CrossRef] [Green Version]
- Hsu, H.; Blaha, P.; Cococcioni, M.; Wentzcovitch, R.M. Spin-state crossover and hyperfine interactions of ferric iron in MgSiO3 perovskite. Phys. Rev. Lett. 2011, 106, 1–4. [Google Scholar] [CrossRef] [Green Version]
- Muir, J.M.R.; Brodholt, J.P. Ferric iron in bridgmanite and implications for ULVZs. Phys. Earth Planet. Inter. 2020, 306, 1–10. [Google Scholar] [CrossRef]
- Monkhorst, H.J.; Pack, J.D. Special points for brillouin-zone integra tions. Phys. Rev. B 1976, 13, 5188–5192. [Google Scholar] [CrossRef]
- Gonze, X.; Lee, C. Dynamical matrices, born effective charges, dielectric permittivity tensors, and interatomic force constants from density-functional perturbation theory. Phys. Rev. B 1997, 55, 10355–10368. [Google Scholar] [CrossRef]
- Togo, A.; Chaput, L.; Tanaka, I.; Hug, G. First-principles phonon calculations of thermal expansion in Ti3SiC2, Ti3AlC2, and Ti3GeC2. Phys. Rev. B 2010, 81, 1–6. [Google Scholar] [CrossRef] [Green Version]
- Yu, Y.G.G.; Hsu, H.; Cococcioni, M.; Wentzcovitch, R.M. Spin states and hyperfine interactions of iron incorporated in MgSiO3 post-perovskite. Earth Planet. Sci. Lett. 2012, 331, 1–7. [Google Scholar] [CrossRef]
- Shukla, G.; Wentzcovitch, R.M. Spin crossover in (Mg,Fe3+)(Si,Fe3+)O3 bridgmanite: Effects of disorder, iron concentration, and temperature. Phys. Earth Planet. Inter. 2016, 260, 53–61. [Google Scholar] [CrossRef] [Green Version]
- Keppler, H.; Bolfan-Casanova, N. Thermodynamics of water solubility and partitioning. Rev. Mineral. Geochem. 2006, 62, 193–230. [Google Scholar] [CrossRef]
- Wright, K. Atomistic models of OH defects in nominally anhydrous minerals. Rev. Mineral. Geochem. 2006, 62, 67–83. [Google Scholar] [CrossRef]
- Smyth, J.R. Hydrogen in high pressure silicate and oxide mineral structures. Rev. Mineral. Geochem. 2006, 62, 1–85. [Google Scholar] [CrossRef] [Green Version]
- Tsuchiya, T. First-principles prediction of the P-V-T equation of state of gold and the 660-km discontinuity in Earth’s mantle. J. Geophys. Res. Solid Earth 2003, 108, 9. [Google Scholar] [CrossRef]
- Akaogi, M.; Ito, E. Heat capacity of MgSiO3 perovskite. Geophys. Res. Lett. 1993, 20, 105–108. [Google Scholar] [CrossRef]
- Akaogi, M.; Kojitani, H.; Morita, T.; Kawaji, H.; Atake, T. Low-temperature heat capacities, entropies and high-pressure phase relations of MgSiO3 ilmenite and perovskite. Phys. Chem. Miner. 2008, 35, 287–297. [Google Scholar] [CrossRef]
- Yu, Y.G.G.; Wentzcovitch, R.M. Density functional study of vibrational and thermodynamic properties of ringwoodite. J. Geophys. Res. Solid Earth 2006, 111, 8. [Google Scholar] [CrossRef] [Green Version]
- Yu, Y.G.G.; Wentzcovitch, R.M.; Vinograd, V.L.; Angel, R.J. Thermodynamic properties of MgSiO3 majorite and phase transitions near 660 km depth in MgSiO3 and Mg2SiO4: A first principles study. J. Geophys. Res. Solid Earth 2011, 116, 1–19. [Google Scholar] [CrossRef]
- Wu, Z.; Wentzcovitch, R.M. Vibrational and thermodynamic properties of wadsleyite: A density functional study. J. Geophys. Res. Solid Earth 2007, 112, 11. [Google Scholar] [CrossRef] [Green Version]
- Brown, J.M.; Shankland, T.J. Thermodynamic parameters in the earth as determined from seismic profiles. Geophys. J. Royal Astron. Soc. 1981, 66, 579–596. [Google Scholar] [CrossRef]
- Katsura, T.; Yoneda, A.; Yamazaki, D.; Yoshino, T.; Ito, E. Adiabatic temperature profile in the mantle. Phys. Earth Planet. Inter. 2010, 183, 212–218. [Google Scholar] [CrossRef]
- Ono, S. Experimental constraints on the temperature profile in the lower mantle. Phys. Earth Planet. Inter. 2008, 170, 267–273. [Google Scholar] [CrossRef]




| Configuration | Temperature | 60 GPa | 90 GPa | 120 GPa | 150 GPa |
|---|---|---|---|---|---|
| [Fe3+-H]Si-Brg | 300 K | 1 | 1 | 1 | 1 |
| 1000 K | 0.94 | 1 | 1 | 1 | |
| 2000 K | 0.62 | 0.97 | 1 | 1 | |
| 3000 K | 0.41 | 0.86 | 0.97 | 0.99 | |
| 4000 K | 0.29 | 0.72 | 0.91 | 0.97 | |
| [Fe3+-H]Si-PPv | 300 K | 1 | 1 | 1 | 1 |
| 1000 K | 1 | 1 | 1 | 1 | |
| 2000 K | 0.92 | 0.99 | 1 | 1 | |
| 3000 K | 0.72 | 0.94 | 0.99 | 1 | |
| 4000 K | 0.56 | 0.83 | 0.94 | 0.98 |
Publisher’s Note: MDPI stays neutral with regard to jurisdictional claims in published maps and institutional affiliations. |
© 2021 by the authors. Licensee MDPI, Basel, Switzerland. This article is an open access article distributed under the terms and conditions of the Creative Commons Attribution (CC BY) license (https://creativecommons.org/licenses/by/4.0/).
Share and Cite
Jiang, J.; Muir, J.M.R.; Zhang, F. Vibrational and Thermodynamic Properties of Hydrous Iron-Bearing Lowermost Mantle Minerals. Minerals 2021, 11, 885. https://doi.org/10.3390/min11080885
Jiang J, Muir JMR, Zhang F. Vibrational and Thermodynamic Properties of Hydrous Iron-Bearing Lowermost Mantle Minerals. Minerals. 2021; 11(8):885. https://doi.org/10.3390/min11080885
Chicago/Turabian StyleJiang, Jiajun, Joshua M. R. Muir, and Feiwu Zhang. 2021. "Vibrational and Thermodynamic Properties of Hydrous Iron-Bearing Lowermost Mantle Minerals" Minerals 11, no. 8: 885. https://doi.org/10.3390/min11080885
APA StyleJiang, J., Muir, J. M. R., & Zhang, F. (2021). Vibrational and Thermodynamic Properties of Hydrous Iron-Bearing Lowermost Mantle Minerals. Minerals, 11(8), 885. https://doi.org/10.3390/min11080885

