The Long-Term Effect of Industrial Waste Landfill on Surface Water. An Example from Central Poland
Abstract
:1. Introduction
2. Materials and Methods
2.1. Study Area
2.2. Water and Sediment Sampling, Preparation, and Analysis
2.3. Statistical Methods
3. Results and Discussion
3.1. Physicochemical Properties of the Bzura River Water
3.2. Spatial-Temporal Variability of Metal Concentrations in River Water
3.2.1. Spatial Variability of Nickel Concentrations
3.2.2. Spatial Variability of Cd, Pb, Cu, Zn, Mn, and Fe Concentrations
3.2.3. Temporal Variability of Ni, Cd, Pb, Cu, Zn, Mn, and Fe Concentrations
3.2.4. Coefficients of Variation
3.3. Water Quality
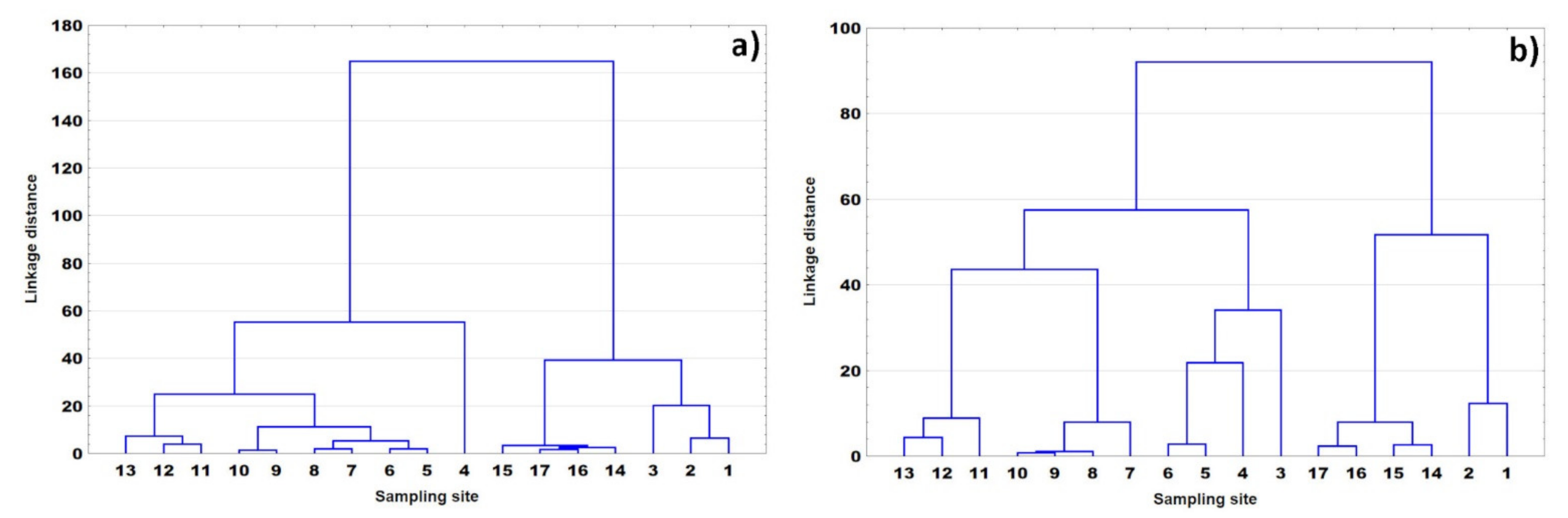
3.4. Multivariate Statistics
3.4.1. Comparison between February and July
3.4.2. Comparison between Years
4. Conclusions
- (1)
- Our study is the first comprehensive investigation that provided detailed information about the trace metal variability in the Bzura River water within the Łódź Province for 24 months.
- (2)
- It has been found that industrial and hazardous waste dumps located above site 4 are significant sources of water pollution by metals. Waste from the dye production plant, municipal and industrial waste, electronic and electrical equipment, construction debris, and others were deposited in landfills. Part of the industrial waste is stored in metal containers. Their corrosion, found as a result of the inspection, is an additional source of heavy metals.
- (3)
- The most interesting finding is the spatial trend of nickel concentrations. Contrary to the remaining metals, long-distance migration was detected. In the case of this metal, the impact of the landfill is visible within about 70 km. This poses a particular threat to the areas below site 4 in the case of the release of exceptionally high nickel contents from the waste landfill.
- (4)
- The contamination of the river with the other metals comes from mixed sources, i.e., waste dumping, municipal sewage treatment plants, agricultural areas, transportation.
- (5)
- Following the multivariate statistics, one hotspot and groups of sites depending on the pollution sources were distinguished.
- (6)
- Water quality has improved since the 1990s, but anthropogenic factors still dominate water chemistry. Additionally, the exceedance of the threshold concentrations occurs unpredictably. Therefore, intensive monitoring of water quality should be constantly carried out.
- (7)
- To improve the water quality in the Bzura River, it is necessary to limit the inflow of metals from the urban areas. The solution to this problem requires prevention of the leachate migration from landfills and an increase in wastewater treatment efficiency.
Supplementary Materials
Author Contributions
Funding
Data Availability Statement
Acknowledgments
Conflicts of Interest
Appendix A
| Metal Concentrations [µg/L] | |||||||
|---|---|---|---|---|---|---|---|
| Sub-sample | Ni | Cd | Pb | Cu | Zn | Fe | Mn |
| 1 | 246 | 251 | 267 | 243 | 312 | 349 | 260 |
| 2 | 257 | 245 | 268 | 243 | 308 | 344 | 256 |
| 3 | 249 | 247 | 272 | 240 | 303 | 338 | 260 |
| 4 | 250 | 249 | 275 | 238 | 313 | 337 | 262 |
| 5 | 243 | 249 | 276 | 242 | 315 | 316 | 261 |
| 6 | 244 | 248 | 279 | 235 | 308 | 328 | 258 |
| Found value [µg/L] | 248 ± 5 | 248 ± 2 | 273 ± 5 | 240 ± 3 | 310 ± 5 | 335 ± 12 | 260 ± 2 |
| Certified value [µg/L] | 251 ± 17 | 258 ± 21 | 280 ± 22 | 261 ± 19 | 320 ± 26 | 229 ± 21 | 293 ± 17 |
| Recovery [%] | 98.8 | 96.1 | 97.5 | 92.0 | 96.9 | 112 | 88.7 |
| Metal | Site 1 | Site 4 | Site 11 |
|---|---|---|---|
| Zn | 2.46 | 4.39 | 3.36 |
| Fe | 4.64 | 4.03 | 4.03 |
| Mn | 3.46 | 3.03 | 3.04 |
| Ni | 3.72 | 1.84 | 2.61 |
| Cu | 2.79 | 3.32 | 2.75 |
| Cd | 2.57 | 3.87 | 2.86 |
| Pb | 2.99 | 3.87 | 2.89 |
References
- Global Compact Network Poland. Available online: https://ungc.org.pl/info/zasoby-wodne-polsce (accessed on 8 February 2021).
- Bureau of Reclamation. Available online: https://www.usbr.gov/mp/arwec/water-facts-ww-water-sup.html (accessed on 8 February 2021).
- Bhuyan, M.S.; Bakar, M.A.; Rashed-Un-Nabi, M.; Senapathi, V.; Chung, S.Y.; Islam, M.S. Monitoring and assessment of heavy metal contamination in surface water and sediment of the Old Brahmaputra River, Bangladesh. Appl. Water Sci. 2019, 9, 125. [Google Scholar] [CrossRef] [Green Version]
- Wieczorek, K.; Turek, A.; Szczesio, M.; Wolf, W.M. Comprehensive Evaluation of Metal Pollution in Urban Soils of a Post-Industrial City—A Case of Łódź, Poland. Molecules 2020, 25, 4350. [Google Scholar] [CrossRef] [PubMed]
- Wuana, R.A.; Okieimen, F.E. Heavy Metals in Contaminated Soils: A Review of Sources, Chemistry, Risks and Best Available Strategies for Remediation. Int. Sch. Res. Not. 2011, 2011, 402647. [Google Scholar] [CrossRef] [Green Version]
- Huang, X.; Luo, D.; Zhao, D.; Li, N.; Xiao, T.; Liu, J.; Wei, L.; Liu, Y.; Liu, L.; Liu, G. Distribution, Source and Risk Assessment of Heavy Metal(oid)s in Water, Sediments, and Corbicula Fluminea of Xijiang River, China. Int. J. Environ. Res. Public Health 2019, 16, 1823. [Google Scholar] [CrossRef] [PubMed] [Green Version]
- Okupny, D.; Rzepecki, S.; Borówka, R.K.; Forysiak, J.; Twardy, J.; Fortuniak, A.; Tomkowiak, J. Factors influencing temporal changes in chemical composition of biogenic deposits in the middle Tążyna Fiver Valley (Kuyavian Lakeland, central Poland). Geologos 2016, 22, 121–136. [Google Scholar] [CrossRef] [Green Version]
- Skorbiłowicz, E.; Skorbiłowicz, M.; Misztal, W. Distribution of Nickel, Copper and Cobalt in the Grain Fractions of Bottom Sediments of the Sokołda River and its Tributaries (Poland). J. Ecol. Eng. 2020, 21, 89–97. [Google Scholar] [CrossRef]
- Dibofori-Orji, A.N.; Ihunwo, O.C.; Udo, K.S.; Shahabinia, A.R.; Onyema, M.O.; Mmom, P.C. Spatial and temporal distribution and contamination assessment of heavy metal in Woji Creek. Environ. Res. Commun. 2019, 1, 111003. [Google Scholar] [CrossRef]
- Guan, J.; Wang, J.; Pan, H.; Yang, C.; Qu, J.; Lu, N.; Yuan, X. Heavy metals in Yinma River sediment in a major Phaeozems zone, Northeast China: Distribution, chemical fraction, contamination assessment and source apportionment. Sci. Rep. 2018, 8, 12231. [Google Scholar] [CrossRef] [PubMed] [Green Version]
- Hussain, J.; Hussain, I.; Arif, M.; Gupta, N. Studies on heavy metal contamination in Godavari river basin. Appl. Water Sci. 2017, 7, 4539–4548. [Google Scholar] [CrossRef]
- Mohiuddin, K.M.; Ogawa, Y.; Zakir, H.M.; Otomo, K.; Shikazono, N. Heavy metals contamination in water and sediments of an urban river in a developing country. Int. J. Environ. Sci. Tech. 2011, 8, 723–736. [Google Scholar] [CrossRef] [Green Version]
- Naveen, B.P.; Mahapatra, D.M.; Sitharam, T.G.; Sivapullaiah, P.V.; Ramachandra, T.V. Physico-chemical and biological characterization of urban municipal landfill leachate. Environ. Pollut. 2017, 220, 1–12. [Google Scholar] [CrossRef] [PubMed]
- Zhou, Q.; Yang, N.; Li, Y.; Ren, B.; Ding, X.; Bian, H.; Yao, X. Total concentration and sources of heavy metal pollution in global river and lake water bodies from 1972 to 2017. Glob. Ecol. Conserv. 2020, 22, e00925. [Google Scholar] [CrossRef]
- Haque, M.A. Effects of specimen size and mix ratio on the nickel migration behavior of landfill waste mixed mortar. J. Environ. Manag. 2017, 190, 290–301. [Google Scholar] [CrossRef] [PubMed]
- Mekonnen, B.; Haddis, A.; Zeine, W. Assessment of the Effect of solid Waste Dump Site on Surrounding Soil and River Water Quality in Tepi Town, Southwest Ethiopia. J. Environ. Public Health 2020, 5157046. [Google Scholar] [CrossRef] [PubMed]
- Pastor, J.; Hernández, A.J. Heavy metals, salts and organic residues in old solid urban waste landfills and surface waters in their discharge areas: Determinations for restoring their impact. J. Environ. Manag. 2012, 95, 542–549. [Google Scholar] [CrossRef] [PubMed]
- Prevention of Threats from Both Landfills from the Area of the Lodzkie Voivodeship. Supreme Audit Office 2020. No 170/2020/P19/112/LLO. Available online: https://www.nik.gov.pl/kontrole/P/19/112/LLO/ (accessed on 5 April 2021).
- Kopeć, D.; Ratajczyk, N.; Wolańska-Kamińska, A.; Walisch, M.; Kruk, A. Floodplain forest vegetation response to hydroengineering and climatic pressure—A five decade comparative analysis in the Bzura River valley (Central Poland). Forest Ecol. Manag. 2014, 314, 120–130. [Google Scholar] [CrossRef]
- Kobojek, E. Environmental effects of land reclamation and regulation of rivers in the Bzura valley near Łowicz. Acta Univ. Lodz. Folia Geogr. 2004, 6, 31–46. [Google Scholar]
- Trawczyńska, A.; Tołoczko, W.; Niewiadomski, A. The content of trace elements in water of the upper course of the Bzura river. Ochr. Śr. Zasobów Nat. 2009, 40, 491–496. (In Polish) [Google Scholar]
- Statistical Office in Łódź. Data on Łódź. Population. Population Based On Balances by Former Office Agencies of the City of Łódź Office (2010, 2015, 2016, 2017). Available online: https://lodz.stat.gov.pl/en/information-about-voivodship/capital-of-voivodship-614/population-data-on-lodz-2018/ (accessed on 27 June 2020).
- Head Office of Geodesy and Cartography. Available online: www.gugik.gov.pl (accessed on 20 April 2021).
- Karim, Z.; Qureshi, B.A.; Mumtaz, M.; Qureshi, S. Heavy metal content in urban soils as an indicator of anthropogenic and natural influences on landscape of Karachi—A multivariate spatio-temporal analysis. Ecol. Indic. 2014, 42, 20–31. [Google Scholar] [CrossRef]
- Cengiz, M.F.; Kilic, S.; Yalcin, F.; Kilic, M.; Yalcin, M.G. Evaluation of heavy metal risk potential Bogacayi River water (Antalya, Turkey). Environ. Monit. Assess. 2017, 189, 248. [Google Scholar] [CrossRef]
- Kretschmer, F.; Simperler, L.; Ertl, T. Analysing wastewater temperature development in a sewer system as a basis for the evaluation of wastewater heat recovery potentials. Energy Build. 2016, 128, 639–648. [Google Scholar] [CrossRef]
- Rzymski, P.; Klimaszyk, P.; Niedzielski, P.; Marszelewski, W.; Borowiak, D.; Nowiński, K.; Baikenzheyeva, A.; Kurmanbayev, R.; Aladin, N. Pollution with trace elements and rare-earth metals in the lower course of Syr Darya River and Small Aral Sea, Kazakhstan. Chemosphere 2019, 234, 81–88. [Google Scholar] [CrossRef]
- Ciazela, J.; Siepak, M.; Wojtowicz, P. Tracking heavy metal contamination in a complex river-oxbow lake system: Middle Odra Valley, Germany/Poland. Sci. Total Environ. 2018, 616–617, 996–1006. [Google Scholar] [CrossRef]
- Skorbiłowicz, M. The sources of nutrients in waters of rivers in the wetland areas of Narew National Park in north-eastern Poland. J. Ecol. Eng. 2013, 14, 1–7. [Google Scholar] [CrossRef]
- Moniewski, P. Seasonal changes of the selected physicochemical characteristics of the suburban small river waters on the Dzierżązna river example. Monogr. Kom. Gospod. Wodnej PAN 2014, 20, 407–416. [Google Scholar]
- Saarinen, T.S.; Kløve, B. Past and future seasonal variation in pH and metal concentrations in runoff from river basins on acid sulphate soils in Western Finland. J. Environ. Scieces Health Part A 2012, 47, 1614–1625. [Google Scholar] [CrossRef] [PubMed]
- Martinez-Tavera, E.; Rodriguez-Espinosa, P.F.; Shruti, V.C.; Sujitha, S.B.; Morales-Garcia, S.S.; Muñoz-Sevilla, N.P. Monitoring the seasonal dynamics of physicochemical parameters from Atoyac River basin (Puebla), Central Mexico: Multivariate approach. Environ. Earth Sci. 2017, 76, 95. [Google Scholar] [CrossRef] [Green Version]
- Suthar, S.; Sharma, J.; Chabukdhara, M.; Nema, A.K. Water quality assessment of river Hindon at Ghaziabad, India: Impact of industrial and urban wastewater. Environ. Monit. Assess. 2010, 165, 103–112. [Google Scholar] [CrossRef]
- Emenike, C.P.; Neris, J.B.; Tenebe, I.T.; Nnaji, C.C.; Jarvis, P. Estimation of some trace metal pollutants in River Atuwara southwestern Nigeria and spatio-temporal human health risks assessment. Chemosphere 2020, 239, 124770. [Google Scholar] [CrossRef] [PubMed]
- Górniak, A. Spatial and temporal patterns of total organic carbon along the Vistula River course (Central Europe). Appl. Geochem. 2017, 87, 93–101. [Google Scholar] [CrossRef]
- Siddiqui, E.; Pandey, J. Assessment of heavy metal pollution in water and surface sediment and evaluation of ecological risks associated with sediment contamination in the Ganga River: A basin-scale study. Environ. Sci. Pollut. Res. 2019, 26, 10926–10940. [Google Scholar] [CrossRef]
- Adamiec, E.; Helios-Rybicka, E. Distribution of Pollutants in the Odra River System. Part IV. Heavy Metal Distribution in Water of the Upper and Middle Odra River, 1998–2000. Pol. J. Environ. Stud. 2002, 11, 669–673. [Google Scholar]
- Samecka-Cymerman, A.; Kempers, A.J. Heavy Metals in Aquatic Macrophytes from Two Small Rivers Polluted by Urban, Agricultural and Textile Industry Sewages SW Poland. Arch. Environ. Contam. Toxicol. 2007, 53, 198–206. [Google Scholar] [CrossRef] [PubMed]
- Helios-Rybicka, E.; Adamiec, E.; Aleksander-Kwaterczak, U. Distribution of trace metals in the Odra River system: Water–suspended matter–sediments. Limnologica 2005, 35, 185–198. [Google Scholar] [CrossRef] [Green Version]
- Frankowski, M.; Sojka, M.; Zioła-Frankowska, A.; Siepak, M.; Murat-Błażejewska, S. Distribution of heavy metals in the Mała Wełna River system (western Poland). Oceanol. Hydrobiol. Stud. 2009, 38, 51–61. [Google Scholar] [CrossRef]
- Gao, L.; Chen, J.; Tang, C.; Ke, Z.; Wang, J.; Shimizu, Y.; Zhu, A. Distribution, migration and potential risk of heavy metals in the Shima River catchment area, South China. Environ. Sci. Process Impacts 2015, 17, 1769–1782. [Google Scholar] [CrossRef] [PubMed]
- Dundar, M.; Altundag, H. Investigation of heavy metal contaminations in the lower Sakarya river water and sediments. Environ. Monit. Assess. 2007, 128, 177–181. [Google Scholar] [CrossRef] [PubMed]
- Sinha, D.K.; Kumar, N. Monitoring of Trace Metals in Gagan River Water at Moradabad. Indian J. Environ. Prot. 2006, 26, 516–520. [Google Scholar]
- Müller, A.; Österlund, H.; Marsalek, J.; Viklander, M. The pollution conveyed by urban runoff: A review of sources. Sci. Total Eniron. 2020, 709, 136125. [Google Scholar] [CrossRef]
- State of the Environment. Available online: https://www.gios.gov.pl/pl/stan-srodowiska/monitoring-wod (accessed on 6 June 2021).
- Lim, W.Y.; Aris, A.Z.; Zakaria, M.P. Spatial Variability of Metals in Surface Water and Sediment in the Langat River and Geochemical Factors That Influence Their Water-Sediment Interactions. Sci. World J. 2012, 652150. [Google Scholar] [CrossRef] [Green Version]
- Calbo, J.; Sorlí, S.; Llusar, M.; Tena, M.A.; Monrós, G. Minimisation of toxicity in nickel ferrite black pigment. Br. Ceram. Transit. 2004, 103, 3–9. [Google Scholar] [CrossRef]
- Cempel, M.; Nikel, G. Nickel: A Review of Its Sources and Environmental Toxicology. Polish J. Environ. Stud. 2006, 15, 375–382. [Google Scholar]
- Chaudhry, A.U.; Mittal, V.; Mishra, B. Nano nickel ferrite (NiFe2O4) as anti-corrosion pigment for API 5L X-80 steel: An electrochemical study in acidic and saline media. Dye. Pigment. 2015, 118, 18–26. [Google Scholar] [CrossRef]
- Foster, S.L.; Estoque, K.; Voecks, M.; Rentz, N.; Greenlee, L.F. Removal of Synthetic Azo Dye Using Bimetallic Nickel-Iron Nanopartices. J. Nanomater. 2019, 9807605. [Google Scholar] [CrossRef]
- Harasim, P.; Filipek, T. Nickel in the environment. J. Elem. 2015, 20, 525–534. [Google Scholar] [CrossRef] [Green Version]
- Rathor, G.; Chopra, N.; Adhikari, T. Nickel as a Pollutant and its Management. Int. Res. J. Environment Sci. 2014, 3, 94–98. [Google Scholar]
- Naveen, B.P.; Sumalatha, J.; Malik, R.K. A study on contamination of ground and surface water bodies by leachate leakage from a landfill in Bangalore, India. Geo-Engineering 2018, 9, 27. [Google Scholar] [CrossRef]
- Zgierz City Council. Resolution No. XXX/359/2020 of the Zgierz City Council of 29 December 2020 on Demarcation of the Zgierz Agglomeration. Off. J. Lodzkie Voiv. 2021, 376. Available online: https://www.infor.pl/akt-prawny/U72.2021.027.0000376,metryka,uchwala-nr-xxx3592020-rady-miasta-zgierza-w-sprawie-wyznaczenia-aglomeracji-zgierz.html (accessed on 5 April 2021).
- Lourino-Cabana, B.; Billon, G.; Lesven, L.; Sabbe, K.; Gillan, D.C.; Gao, Y.; Leermakers, M.; Baeyens, W. Monthly variation of trace metals in North Sea sediments. From experimental data to modeling calculations. Mar. Pollut. Bull. 2014, 87, 237–246. [Google Scholar] [CrossRef]
- Research results and comprehensive assessment of the state of bottom sediments of rivers and lakes in 2016–2017. In Chief Inspectorate of Environmental Protection; Biblioteka Monitoringu Środowiska: Warsaw, Poland, 2017. Available online: https://www.gios.gov.pl/images/dokumenty/pms/monitoring_wod/Wyniki_badan_20180111.pdf (accessed on 6 June 2021).
- Lis, J.; Pasieczna, A. Geochemical Atlas of Łódź Agglomeration 1:100 000. Part I. Soils, Water Sediments, Surface Waters, 1st ed.; Państwowy Instytut Geologiczny: Warsaw, Poland, 1998. [Google Scholar]
- Kuśmierz, A.; Krawczyńska, B.; Krawczyński, J. Assessment of the Impact of Landfills Located on the Areas of the Former “Boruta” Plant in Zgierz on the Life and Health of the Inhabitants of Zgierz and the Surrounding area, and on the Environment; Institute of Environmental Protection—National Research Institute: Warsaw, Poland, 2019; p. 20. [Google Scholar]
- Han, X.Q.; Xiao, X.Y.; Guo, Z.H.; Xie, Y.H.; Liang, Y.Q. Release of cadmium in contaminated paddy soil amended with NPK fertilizer and lime under water management. Ecotoxicol. Environ. Saf. 2018, 159, 38–45. [Google Scholar] [CrossRef]
- Guidelines for Drinking-Water Quality: Fourth Edition Incorporating the First Addendum; World Health Organization: Geneva, Switzerland, 2017.
- Rehman, M.; Liu, L.; Wang, Q.; Saleem, M.H.; Bashir, S.; Ullah, S.; Peng, D. Copper environmental toxicology, recent advances, and future outlook: A review. Envrion. Sci. Pollut. Res. 2019, 26, 18003–18016. [Google Scholar] [CrossRef]
- Alves, R.I.S.; Sampaio, C.F.; Nadal, M.; Schuhmacher, M.; Domingo, J.L.; Segura-Muñoz, S.I. Metal concentrations in surfacewater and sediments from Pardo River, Brazil: Human health risks. Environ. Res. 2014, 133, 149–155. [Google Scholar] [CrossRef] [PubMed]
- Desaulty, A.M.; Petelet-Giraud, E. Zinc isotope composition as a tool for tracing sources and fate of metal contaminants in rivers. Sci. Total Environ. 2020, 728, 138599. [Google Scholar] [CrossRef] [PubMed]
- Saha, N.; Rahman, M.S.; Ahmed, M.B.; Zhou, J.L.; Ngo, H.H.; Guo, W. Industrial metal pollution in water and probabilistic assessment of human health risk. J. Environ. Manag. 2017, 185, 70–78. [Google Scholar] [CrossRef]
- Hou, D.; O’Connor, D.; Nathanail, P.; Tian, L.; Ma, Y. Integrated GIS and multivariate statistical analysis for regional scale assessment of heavy metal soil contamination: A critical review. Environ. Pollut. 2017, 231, 1188–1200. [Google Scholar] [CrossRef]
- Barhoumi, B.; Beldean-Galea, M.S.; Al-Rawabdeh, A.M.; Roba, C.; Martonos, I.M.; Bălc, R.; Kahlaoui, M.; Touil, S.; Tedetti, M.; Driss, M.R.; et al. Occurrence, distribution and ecological risk of trace metals and organic pollutants in surface sediments from a Southeastern European river (Someşu Mic River, Romania). Sci. Total Environ. 2019, 660, 660–676. [Google Scholar] [CrossRef]
- Siepak, M.; Sojka, M. Application of multivariate statistical approach to identify trace elements sources in surface waters: A case study of Kowalskie and Stare Miasto reservoirs, Poland. Environ. Monit. Assess. 2017, 189, 364. [Google Scholar] [CrossRef] [PubMed] [Green Version]
- Hong, Z.; Zhao, Q.; Chang, J.; Peng, L.; Wang, S.; Hong, Y.; Liu, G.; Ding, S. Evaluation of Water Quality and Heavy Metals in Wetlands along the Yellow River in Henan Province. Sustainability 2020, 12, 1300. [Google Scholar] [CrossRef] [Green Version]
- National Primary Drinking Water Regulations. United States Environmental Protection Agency. 2009. Available online: https://www.epa.gov/ground-water-and-drinking-water/national-primary-drinking-water-regulations (accessed on 21 April 2021).
- Minister of Health. Regulation of the Minister of Health of 7 December 2017 on the quality of water intended for human consumption. In Journal of Laws of 2017, Item 2294; Wydawnictwo Sejmowe: Warsaw, Poland, 2017. (In Polish) [Google Scholar]
- Minister of Marine Economy and Inland Navigation. Regulation of the Minister of Marine Economy and Inland Navigation of 29 August 2019 on the requirements to be met by surface waters used to supply the population with water intended for human consumption. In Journal of Laws of 2019, Item 1747; Wydawnictwo Sejmowe: Warsaw, Poland, 2019. (In Polish) [Google Scholar]
- Minister of Marine Economy and Inland Navigation. Regulation of the Minister of Marine Economy and Inland Navigation of 11 October 2019 on the classification of ecological status, ecological potential, chemical status and the method of classifying the status of surface water bodies as well as environmental quality standards for priority substances. In Journal of Laws of 2019, Item 2149; Wydawnictwo Sejmowe: Warsaw, Poland, 2019. (In Polish) [Google Scholar]
- Kouassi, N.L.B.; Yao, K.F.; Sangare, N.; Trokourey, A.; Metongo, B.S. The mobility of the trace metals copper, zinc, lead, cobalt, and nickel in tropical estuarine sediments, Ebrie Lagoon, Côte d’Ivoire. J. Soils Sediments 2019, 19, 929–944. [Google Scholar] [CrossRef] [Green Version]
- Fisher-Power, L.M.; Cheng, T.; Rastghalam, Z.S. Cu and Zn adsorption to a heterogeneous natural sediment: Influence of leached cations and natural organic matter. Chemosphere 2016, 144, 1973–1979. [Google Scholar] [CrossRef] [PubMed]
- Zhang, M.; Jin, L.; Xu, L.; Ding, T. Effect of temperature, salinity, and pH on the adsorption of lead by sediment of a tidal river in east China. In Proceedings of the International Conference on Biomedical Engineering and Biotechnology, Macau, China, 28–30 May 2012; Institute of Electrical and Electronics Engineers: Macau, China, 2012; pp. 1389–1391. [Google Scholar] [CrossRef]
- Warren, L.A.; Zimmerman, A.P. The influence of temperature and NaCl on cadmium, copper and zinc partitioning among suspended particulate and dissolved phases in an urban river. Wat. Res. 1994, 28, 1921–1931. [Google Scholar] [CrossRef]
- Milivojević, J.; Krstić, D.; Šmit, B.; Djekić, V. Assessment of Heavy Metal Contamination and Calculation of its Pollution Index for Uglješnica River, Serbia. Bull. Environ. Contam. Toxicol. 2016, 97, 737–742. [Google Scholar] [CrossRef] [PubMed]
- Zakhem, B.A. Heavy metal pollution index for groundwater quality assessment in Damascus Oasis, Syria. Environ. Earth Sci. 2014, 73, 6591–6600. [Google Scholar] [CrossRef]
- Brereton, R.G. Chemometrics: Data Driven Extraction for Science, 2nd ed.; Wiley: Hoboken, NJ, USA, 2018; pp. 176–178. [Google Scholar]
- Oka, G.A.; Thomas, L.; Lavkulich, L.M. Soil assessment for urban agriculture: A Vancouver case study. J. Soil Sci. Plant Nut. 2014, 14, 657–669. [Google Scholar] [CrossRef] [Green Version]
- Varol, M.; Şen, B. Assessment of nutrient and heavy metal contamination in surface water and sediments of the upper Tigris River, Turkey. Catena 2012, 92, 1–10. [Google Scholar] [CrossRef]







| Sampling Site | Latitude | Longitude | Chainage [km + m] | Characteristics |
|---|---|---|---|---|
| 1 | 51°49′29″ N | 19°27′36″ E | 169 + 800 | Source area of the river; protection area |
| 2 | 51°51′01″ N | 19°26′43″ E | 166 + 200 | Residential area; near the national road |
| 3 | 51°51′06″ N | 19°24′07″ E | 162 + 100 | Urban area |
| 4 | 51°50′53″ N | 19°21′55″ E | 159 + 400 | Below the wastewater treatment plant, waste landfill, and industrial park; suburban area |
| 5 | 51°50′18″ N | 19°19′31″ E | 156 + 200 | Agriculture land |
| 6 | 51°50′51″ N | 19°15′53″ E | 151 + 400 | Below the wastewater treatment plant; meadows and agricultural land |
| 7 | 51°56′12″ N | 19°15′57″ E | 137 + 100 | Near the motorway; meadows and agricultural land |
| 8 | 51°56′36″ N | 19°17′22″ E | 134 + 750 | Near the local, busy road; meadows, and agricultural land |
| 9 | 51°58′02″ N | 19°17′01″ E | 131 + 300 | Urban area |
| 10 | 52°00′13″ N | 19°16′30″ E | 126 + 900 | Below the wastewater treatment plant; agricultural land |
| 11 | 52°03′44″ N | 19°13′03″ E | 116 + 700 | Near the provincial road; meadows, and wasteland |
| 12 | 52°07′45″ N | 19°26′29″ E | 99 + 150 | Agriculture land |
| 13 | 52°08′00″ N | 19°33′14″ E | 90 + 850 | Agriculture land |
| 14 | 52°07′13″ N | 19°48′36″ E | 70 + 750 | Agriculture land |
| 15 | 52°06′45″ N | 19°55′49″ E | 61 + 100 | Near the national road; warehouse and service areas |
| 16 | 52°06′39″ N | 19°56′50″ E | 59 + 900 | Urban area |
| 17 | 52°07′45″ N | 20°03′54″ E | 50 + 150 | Agriculture land |
| Geochemical Background [55] | Site 1 | Site 4 | Site 11 | |
|---|---|---|---|---|
| Zn | <73 | 10.1 | 765 | 39.4 |
| Cu | <7 | 24.4 | 110 | 19.5 |
| Cd | <0.5 | 0.04 | 1.0 | 0.2 |
| Ni | <6 | 2.7 | 3.8 | 4.2 |
| Pb | <15 | 3.1 | 42.4 | 6.4 |
| Mn | − | 106 | 73.8 | 44.1 |
| Fe | − | 2704 | 3535 | 2667 |
| Metal | WHO [59] | USEPA [68] | [69] | [70] | [71] |
|---|---|---|---|---|---|
| Cd [µg/L] | 3 | 5 | 5 | 5 (A1, A2, A3) | 1.5 |
| Pb [µg/L] | 10 | 15 | 10 | 50 (A1, A2, A3) | 14 |
| Ni [µg/L] | 70 | − | 20 | 50 (A1, A2) 200 (A3) | 34 |
| Cu [mg/L] | 2 | 1.3 | 2 | 0.05 (A1, A2) 0.5 (A3) | 0.05 |
| Zn [mg/L] | − | 5 | − | 3 (A1) 5 (A2, A3) | 1 |
| Mn [mg/L] | 0.1 | 0.05 | − | 0.05 (A1) 0.1 (A2, A3) | − |
| Fe [mg/L] | − | 0.3 | − | 0.3 (A1) 2 (A2, A3) | − |
| Metal | Cat. 1 | Cat. 2,3 | >Cat. 3 1 |
|---|---|---|---|
| Zn | 100 | − | − |
| Fe | 54.7 | 45.3 | − |
| Mn | 28.6 | 29.7 | 41.7 2 |
| Metal | Cat. 1,2 | Cat. 3 | >Cat. 3 1 |
| Ni | 94.7 | 4.7 | 0.6 3 |
| Cu | 94.7 | 7.3 | − |
| Metal | Cat. 1,2,3 | >Cat. 3 1 | |
| Cd | 100 | − | |
| Pb | 99.4 | 0.6 4 |
| February | July | ||||||
|---|---|---|---|---|---|---|---|
| PC1 | PC2 | PC3 | PC1 | PC2 | PC3 | PC4 | |
| Eigenvalue | 6.0 | 2.4 | 1.1 | 4.0 | 2.3 | 2.0 | 1.4 |
| temp. | −0.23 | 0.87 | 0.11 | −0.66 | −0.51 | −0.35 | 0.01 |
| TDS | −0.67 | 0.62 | 0.03 | −0.63 | −0.71 | 0.19 | 0.14 |
| pH | 0.53 | −0.09 | 0.78 | 0.36 | −0.11 | −0.52 | 0.69 |
| DOC | −0.71 | 0.56 | −0.09 | −0.88 | −0.23 | −0.21 | −0.30 |
| Fe | −0.93 | −0.19 | 0.21 | −0.38 | 0.24 | −0.73 | 0.31 |
| Mn | −0.67 | −0.03 | 0.60 | −0.18 | 0.33 | −0.86 | −0.21 |
| Ni | −0.90 | 0.29 | −0.17 | −0.79 | −0.44 | 0.14 | 0.11 |
| Cu | −0.66 | −0.62 | −0.22 | −0.57 | 0.74 | 0.02 | −0.15 |
| Zn | −0.93 | −0.08 | 0.05 | −0.89 | 0.37 | 0.14 | −0.01 |
| Pb | −0.77 | −0.58 | −0.01 | −0.34 | 0.23 | 0.31 | 0.81 |
| Cd | −0.87 | −0.21 | 0.10 | −0.51 | 0.63 | 0.38 | 0.13 |
Publisher’s Note: MDPI stays neutral with regard to jurisdictional claims in published maps and institutional affiliations. |
© 2021 by the authors. Licensee MDPI, Basel, Switzerland. This article is an open access article distributed under the terms and conditions of the Creative Commons Attribution (CC BY) license (https://creativecommons.org/licenses/by/4.0/).
Share and Cite
Wieczorek, K.; Turek, A.; Kubicki, J.; Wolf, W.M. The Long-Term Effect of Industrial Waste Landfill on Surface Water. An Example from Central Poland. Minerals 2021, 11, 861. https://doi.org/10.3390/min11080861
Wieczorek K, Turek A, Kubicki J, Wolf WM. The Long-Term Effect of Industrial Waste Landfill on Surface Water. An Example from Central Poland. Minerals. 2021; 11(8):861. https://doi.org/10.3390/min11080861
Chicago/Turabian StyleWieczorek, Kinga, Anna Turek, Jakub Kubicki, and Wojciech M. Wolf. 2021. "The Long-Term Effect of Industrial Waste Landfill on Surface Water. An Example from Central Poland" Minerals 11, no. 8: 861. https://doi.org/10.3390/min11080861
APA StyleWieczorek, K., Turek, A., Kubicki, J., & Wolf, W. M. (2021). The Long-Term Effect of Industrial Waste Landfill on Surface Water. An Example from Central Poland. Minerals, 11(8), 861. https://doi.org/10.3390/min11080861

