Next Article in Journal
Mineralogical Analysis of Bentonite from the ABM5 Heater Experiment at Äspö Hard Rock Laboratory, Sweden
Next Article in Special Issue
Leaching Behaviors of Calcium and Aluminum from an Ionic Type Rare Earth Ore Using MgSO4 as Leaching Agent
Previous Article in Journal
Differentiation of Trace Metal Contamination Level between Different Urban Functional Zones in Permafrost Affected Soils (the Example of Several Cities in the Yamal Region, Russian Arctic)
Previous Article in Special Issue
Recovery and Enhanced Upgrading of Rare Earth Elements from Coal-Based Resources: Bioleaching and Precipitation
 
 
Font Type:
Arial Georgia Verdana
Font Size:
Aa Aa Aa
Line Spacing:
Column Width:
Background:
Article

Thermodynamic Analysis of Precipitation Characteristics of Rare Earth Elements with Sulfate in Comparison with Other Common Precipitants

1
Department of Materials and Metallurgical Engineering, South Dakota School of Mines and Technology, Rapid City, SD 57701-3995, USA
2
Resources Recovery Research Center, Mineral Resources Division, Korea Institute of Geoscience and Mineral Resources (KIGAM), Daejeon 34132, Korea
3
Resources Recycling, Korea University of Science and Technology (UST), Daejeon 34132, Korea
*
Author to whom correspondence should be addressed.
Minerals 2021, 11(7), 670; https://doi.org/10.3390/min11070670
Submission received: 20 May 2021 / Revised: 18 June 2021 / Accepted: 18 June 2021 / Published: 23 June 2021

Abstract

:
The selective precipitation of rare earth elements (REEs) in acidic media often plays a key role in the effective extraction of these elements from various sources such as ores and recycling streams. In this study, the precipitation characteristics of REEs with sulfate, a frequently used precipitant, were carefully examined, and the results were compared with those of other precipitants, such as phosphate, oxalate, and fluoride/carbonate systems. Emphasis is given on various forms of precipitates, such as anhydrous sulfate, octa-hydrated sulfate, and sodium double salt, in which the sodium double salt was compared with the anionic double salt precipitation of the fluoride-carbonate system. It was found that anions such as Cl, NO3, and SO42− play an important role in the precipitation behavior, particularly through complexation with the dissolved REEs. In general, the effectiveness of precipitation follows the order of sodium double salt, a hydrated form of sulfate, and anhydrous sulfate. In this study, it was observed that the synergistic role of a double salt precipitation, either cationic or anionic, is frequently as effective as that of oxalate and phosphate, even in a low pH range.

1. Introduction

In general, there are two types of ores containing rare earth elements (REEs), one of which is bastnaesite, one of the predominant REE-bearing minerals found in the Mountain Pass in California, and other common REE minerals are monazite and xenotime, which are often found in beach sands. The former type of mineral consists primarily of Ce and La, forming fluoro-REE carbonate, and the latter are mainly REE phosphates. These minerals are usually refractory and present difficulties in dissolving at normal temperatures and pressures. As a result, these minerals are often treated at a high temperature, mixed with sulfuric acid or sodium hydroxide, making the refractory nature of ores amenable to leaching in mild acid [1,2,3,4,5,6,7,8,9]. Another method of extracting REEs from refractory ores is to leach in a high concentration of acids such as HCl, HNO3, H3PO4, and H2SO4 [10,11,12,13].
After leaching REEs from various sources, the solution containing dissolved REEs and many other elements, such as Fe3+, Al3+, and Ca2+, is subjected to precipitation after the pH of the solution was raised to >3–4 to remove the impurity ions. This is followed by the precipitation of REEs using an appropriate precipitant, such as sulfate, carbonate, phosphate, oxalate, and fluoride. Unfortunately, during the first precipitation of impurities, including Fe3+ and Al3+, REEs are also co-precipitated or adsorbed on the surface of the precipitated products, resulting in the loss of valuable REEs. To prevent this loss, it would be desirable to be able to preferentially precipitate REEs at low pH values where impurities are still present in the solution.
It is well understood that the choice of sulfate as a precipitant for REEs is a wise strategy in the selective precipitation of REEs from the rest of the impurities in leach liquor. Sulfate is relatively cheap, and the precipitation efficiency with REEs is well established [14,15,16,17,18,19,20,21,22]. For instance, regardless of the treatment method of REE ores, i.e., either acid or alkali treatment, double sulfate precipitation has been considered a significant step of the REE ore processing to purify REEs from impurity elements or each other [23]. In Bayan Obo, China, bastnaesite is first baked by sulfuric acid and water-leached, and then, REEs are recovered through a double-sulfate precipitation method [24]. In the following steps, REEs are further purified to be a separated element.
In this study, the precipitation behavior of REEs with sulfate was examined carefully and thoroughly, especially in the low pH range. The effects of anions, such as Cl, NO3, and SO42 that are present because of the inevitable use of acids in the leaching process, will be carefully examined in this study. The significant role of anions in the leaching and precipitation processes has been examined in the past [22,25,26]. It is hoped that a careful and detailed examination of the effect of anions on the precipitation characteristics of REEs will allow the identification of conditions in which REEs can be preferentially separated from impurities at a low pH range. Then, the results will be compared with other precipitants, including phosphate, carbonate, fluoride, and oxalate.

2. Acquisition of Thermodynamic Data

A detailed description of the thermodynamic data has been given in an earlier study by one of the authors [25,26]. Table 1 lists the Gibbs standard free energy formation values of 10 chosen REE complexes that were used in this study. There are 17 REEs, including Sc and Y, in addition to lanthanide group elements. Five light REEs (LREEs: La, Ce, Pr, Nd, and Sm) and five heavy REEs (HREEs: Gd, Tb, Dy, Ho, and Er) were selected as representatives. Other data used in this study and not shown in this table were taken from previous studies. Most data were obtained by HSC [27], and other references as described earlier [28,29,30,31,32,33]. It should be noted that the Gibbs standard free energy formation values of sodium double salts of the 10 REEs were taken from OLI Studio [34]. These values are consistent with those measured by Lokshin et al. [14,15].

3. Process Description of Leaching and Precipitation in Different Acids

As shown in Figure 1, when an ore-bearing REE is dissolved in an acid, it is presumably dissolved first to bring a free REE ion, Rn3+, into the solution. However, as soon as the free REE ions appear in the solution, they are surrounded by anions such as Cl, NO3, or HSO4 in the leaching process depending on the type of acid used: hydrochloric (HCl), nitric (HNO3), or sulfuric (H2SO4) acid. As these REE species are subjected to precipitation with a precipitant such as sulfate, all these species undergo similar precipitation.
The three acids, HCl, HNO3, and H2SO4, are commonly used to extract REEs from various sources. When REEs are extracted into solution, there are many forms of REE complexes that are produced during the leaching process [22,25,26]. Examples of Ce speciation in different acid systems are shown in Figure 2. As shown in Figure 2, in HCl, Rn3+, RnCl2+, RnCl2+, RnCl3, and RnCl4 (Figure 2a) were formed in the solution depending on the concentration of Cl in the solution. It can be noted that the concentration of the free rare earth element, Rn3+, decreases rapidly with an increase in the Cl concentration. For the nitrate system, as shown in Figure 2b, Rn3+, RnNO32+, and Rn(NO3)3 are present in the system, whereas in the H2SO4 system, as shown in Figure 2c, RnSO4+, Rn(SO4)2, and Rn2(SO4)3 are present in the system.
In the species diagrams shown in Figure 2, the most abundant species of REEs is RnCl2+ in the Cl system and RnNO32+ in the NO3 system, while Rn(SO4)2 is the predominant sulfate species over a wide range of SO42 concentrations.
The speciation diagrams of 17 REEs generally show remarkably similar behaviors. However, there are differences that should be noted. For example, for the diagrams with Cl, most REEs show a similar behavior, as shown in Figure 2 with cerium, in which RnCl2+ is the most abundant complex over a wide range of Cl concentrations. However, although not covered in this study, it should be mentioned that Sc and Eu show a quite different behavior, in which RnCl2+ is the predominant species. Regarding the NO3 system, there are more exceptions than in the case of the Cl system. Six elements, including Eu, Ho, Er, Tm, Y, and Sc, exhibit Rn(NO3)3 as the most abundant complex, while the other elements show Rn(NO3)2+ as the most dominant complex over a wide range of NO3 concentrations, as shown in Figure 2 with cerium. However, for the sulfate system, the exceptions are found with Tb, Ho, Lu, and Sc, in which the predominant complex is Rn(SO4)+ instead of Rn(SO4)2, with all the other elements showing the same trend as seen in Figure 2 with Ce [35].
It can easily be envisaged that the free ion is easily precipitated kinetically because it involves one chemical bonding step with the precipitant, while the other species involve at least two steps, one being dissociation from Cl or NO3 first, before reacting with sulfate, resulting in precipitation. However, when the chemical environment is such that the free ion is scarcely available, as in the case of the sulfate environment (Figure 2c), this may not be possible without two consecutive reactions taking place, namely dissociation and precipitation reactions.
Thermodynamic principles only indicate that the final equilibrium is determined by the reaction that yields the lowest solubility. Therefore, to determine the concentration of the species that is responsible for the final equilibrium status in the precipitation process, each equation must be solved. This is demonstrated in the subsequent calculations to determine the equilibrium concentration of REEs when subjected to precipitation.

4. Precipitation to Various Forms of Sulfates

4.1. Effect of Cl on the Precipitation Process

Precipitation of REE species in the HCl environment is considered first. Let us assume that a low-grade REE-bearing ore is subjected to leaching at a low pH—for example, pH 1 with HCl. Consider an ore containing REEs with an overall 1% of REEs and further assume that this ore is placed in a reactor at 30% by weight of solid, as normally practiced in leaching processes. If REEs are dissolved completely in the solution, the total concentration of REEs would be 3.0 × 10−2 mol/L, assuming the average molecular weight of REEs to be 150. Then, the leach liquor would be filtered to remove the solid particles present in the system. As a result, in the following calculations, we assume the initial concentration of total REEs in the solution to be 0.03 mol/L, which has a significant consequence, especially when Cl or NO3 is being released from the REE-complexed species due to precipitation to form a sulfate precipitate. Furthermore, calculations were performed for pH values of 1 and 3 for comparison.
In this section, the precipitation of REE species to anhydrous sulfate, Rn2(SO4)3, octa-hydrated sulfate, Rn2(SO4)3·8H2O, and NaRn(SO4)2·H2O (Na-double salt) was considered, and the resulting concentrations of REEs in each system were compared to determine the best precipitation reaction under comparable conditions. It has been assumed that the precipitation begins at a given pH (pH 1 or pH 3), which has been predetermined for the chosen acid. Then, sodium sulfate, Na2SO4, is added to the solution containing various complexed species of REEs at increments of 0.1, 0.3, 0.5, 1, and 2 mol/L as HSO4 or SO42, noting that the solubility of Na2SO4 in water is approximately 2 mol/L. For each added concentration of Na2SO4, the equilibrium concentration of the reactant, in this case, the chosen REE-complexed species, with respect to the solid precipitate was calculated. It should be noted that the thermodynamic calculations for high ionic strength, especially in the range of 1–2 mol/L of the precipitants added, may not be accurate enough to implement the results directly into practice without further analysis.
As shown in Figure 1a, when HCl or HNO3 is used in the leaching process of REE-bearing ores, the dissolved free REE ion, Rn3+, is subjected to complexation with either Cl or NO3, and then, the solution is subjected to precipitation into sulfate by adding Na2SO4 to the solution. Figure 1b demonstrates the case in which H2SO4 is used to leach REE ores. In this case, free REE ion immediately complexes with sulfate to form sulfate complexes, which are then subjected to precipitation by adding Na2SO4.
An alternate model is shown in Figure 1c, in which complexed REE species with either Cl or NO3 are re-complexed with sulfate, as Na2SO4 is added to precipitate to a desired sulfate. This is possible because chloride or nitrate complexes are easily converted into sulfate complexes under high concentrations of sulfate in the system. Figure 3 shows the ratio of Rn(SO4)2 to RnCl2+ as the concentration of HSO4 increased from 10−4 to 2 mol/L. As seen in this figure, the chloride form of the Rn complex is predominant at low sulfate concentrations, while the ratio increases significantly with increasing sulfate concentration. As the concentration of sulfate exceeds 0.01, which is in the range of practical applications, the dominant species becomes the Rn–sulfate complex.
If such a reverse trend occurs before the precipitation, it is possible that the kinetic process of precipitation for such a process could be rather slow. To the best of the authors’ knowledge, there is no proof of any of these theories.
The precipitation of Rn3+ to the three sulfate precipitates was considered first, and the relevant equations considered are given in Equations (1)–(3).
2Rn3+ + 3HSO4 = <Rn2(SO4)3> +3H+
2Rn3+ + 3HSO4 + 8H2O = <Rn2(SO4)3·8H2O> +3H+
Na+ +Rn3+ + 2HSO4 + H2O = <NaRn(SO4)2·H2O> +2H+
Almost identical equations as Equations (1)–(3) were written for pH 3, except instead of HSO4, SO42 was used because the pKa for sulfate is 2. First, the equilibrium constants were calculated. When the pH of the system is determined, the only remaining variables in these three equations are Rn3+ and HSO4. As a result, the equilibrium concentration of Rn3+ can be calculated for a given concentration of HSO4 that is supplied to the system via Na2SO4. However, it should be noted that when the calculated equilibrium concentration value of the free REE ion is greater than the initial concentration in the leach liquor, precipitation does not occur.
When species other than free REE ion, such as RnCl2+, RnCl2+, RnNO32+, RnSO4+, and Rn(SO4)2 are concerned, the relevant chemical equations are written as follows: for example, RnCl2+ is precipitated into anhydrous sulfate, octa-hydrated sulfate, and sodium double salt, and the following precipitation equations are considered:
2RnCl2+ + 3HSO4 = <Rn2(SO4)3> +3H+ + 4Cl
2RnCl2+ + 3HSO4 + 8H2O = <Rn2(SO4)3·8H2O> +3H+ + 4Cl
Na+ +RnCl2+ + 2HSO4 + H2O = <NaRn(SO4)2·H2O> +2H+ +2Cl
Here, Equations (4)–(6) are analogous to Equations (1)–(3), given earlier. However, the important difference is the fact that these equations contain Cl as a product with precipitation, which plays an important role in the calculation of the equilibrium concentrations of REE-bearing species. The source of Cl in the system comes from HCl used to adjust the pH of the solution. Therefore, at pH 1, there will be at least 0.1 mol/L of Cl present, and as the precipitation proceeds, RnCl2+ will also produce Cl, as shown in Equations (4)–(6). These should be considered in the calculation of the final concentration of RnCl2+, which is in equilibrium with the precipitate. Therefore, the initial amounts of REEs dissolved in the leaching process are important for the accurate determination of the equilibrium concentrations of REE species. It should be noted that throughout the calculation, the pH of the system was assumed to be constant at a given value of pH 1 or pH 3 in this study.
Another important aspect to be considered in the calculation of the equilibrium concentration of REE-bearing species is that when Na2SO4 is added to increase the concentration of the precipitant, HSO4 or SO42, there are two moles of Na+ present for each mole of HSO4 or SO42, which should be reflected in the calculation, as in the case of Equation (6).
These calculations were performed for the 10 REEs chosen in this study, as mentioned earlier (Table 1). The average concentration of the 10 elements in each addition of the precipitant, HSO4, was calculated, and the resulting values are given in Table 2 and are also plotted in Figure 4, all of which were performed for pH 1. Similar calculations were carried out at pH 3, and the results were compared with those obtained at pH 1. The resulting plots are shown in Figure 5. Almost identical shapes of plots are given for these two pH values except that the amounts of precipitation are much higher at pH 3 than at pH 1. As seen in Table 3, the amount of precipitate at pH 3 is approximately 3–5 times that at pH 1. The precipitation of REEs into anhydrous and octa-hydrated sulfates was remarkably similar. In general, the degree of precipitation of these two systems is practically the same, although hydrated sulfates seem to be more stable than anhydrous sulfate. Most of the calculations carried out in this study also support the results shown in Figure 4 and Figure 5. Remarkably, the precipitation of REEs as the sodium double salt is significantly more pronounced than in the other two systems, as shown in Figure 4 and Figure 5 (Note that the dashed line shown in the following figures represents a concentration of 1 ppm as a reference).
In Figure 6, the effect of the concentration of Cl is shown. Examples are taken from the precipitation of RnCl2+ and RnCl3. It should be noted that for each mole of RnCl2+ precipitated, an additional mole of Cl would be released from RnCl2+, but 3 moles of Cl would be added to the system from RnCl3. In this demonstration, we considered the additional Cl added to the system to be 0.13, 0.5, 1, and 3, considering that the solubility of NaCl is slightly more than 6 mol/L in water. The value of 0.13 was chosen because at pH 1, 0.1 mol/L of Cl is already present, and 0.03 mol/L of Cl is added by the dissociation of the complex due to precipitation. It is seen that the adverse effect of this additional chloride on the amount of sulfate precipitation is remarkable.
In the calculation of the equilibrium concentrations with Rn-Cl complexes, as given in Equations (4)–(6), it has been assumed that the individual Cl complex is the predominant species among the Rn species considered at that time, and therefore all chloride released from the complexes come from that species.
It is generally shown that the precipitation of REEs into anhydrous sulfate is quite significant, especially when the addition of sulfate is more than 0.5 mol/L, which is acceptable from the practical aspect. As seen in Figure 7, LREEs show an acceptable precipitation into anhydrous sulfate, while the precipitation of HREEs is not significant, as their concentrations were calculated to be higher than 1 ppm.
The effect of sodium concentration on the precipitation of Rn3+ to sodium double salt is shown in Figure 8. As the concentration of Na+ increases from 0.1 to 2 mol/L, the degree of precipitation of the Na double salt increases by nearly one order of magnitude, as seen in Figure 8. The degree of precipitation was more pronounced at pH 3 than at pH 1.

4.2. Effect of NO3 on Precipitation Process

As discussed earlier, when HNO3 is used in the leaching of REE-bearing sources, it is conceivable to assume that Rn3+ would be leached out first. However, as soon as the free REE ion is dissolved into the leach liquor, it will form a complex with NO3 to give either RnNO32+ or Rn(NO3)3, as shown in Figure 1. A similar analysis of the precipitation of these dissolved species with sulfate ions was performed as in the case of the HCl system.
It should be noted that the precipitation of Rn3+ is identical for all three forms of sulfate precipitates, namely anhydrous, octa-hydrated, and sodium double salt precipitates. However, the precipitation of RnNO32+ and Rn(NO3)3 into the sulfates is different because nitrate, instead of chloride, is involved in the precipitation process. However, the difference is very minor, as shown in Table 4 and Figure 9, where the precipitation of RnCl2+ and RnNO32+ into the sodium double salt are given to demonstrate the difference between these two systems.

4.3. REEs Precipitation in the H2SO4 System

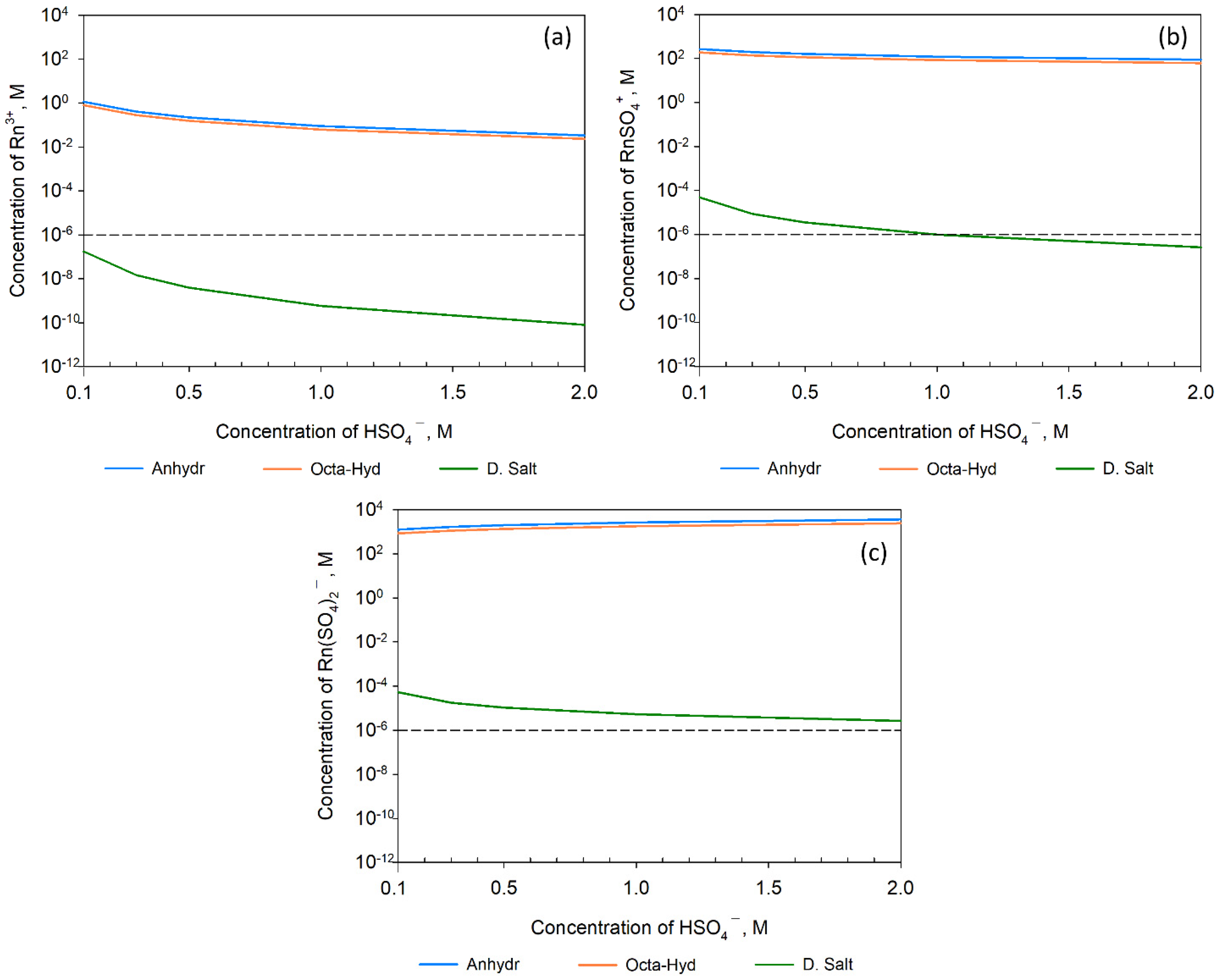
As seen in Figure 2, the precipitation of REE complexes in H2SO4 is somewhat different from that of the other two, namely HCl and HNO3 systems. To be consistent, we begin at a given pH, that is, pH 1, but with H2SO4 in this case. Therefore, the concentration of HSO4 was already 0.1 mol/L, and Na2SO4 was added at 0.1, 0.3, 0.5, 1, and 2 mol/L to influence the precipitation of the REE-bearing species. Equilibrium concentrations of Rn3+ in equilibrium with the three sulfate precipitates were calculated, and the results are shown in Figure 10 and Table 5. Therefore, in the calculation of the equilibrium concentration with the addition of 0.1 mol/L of the precipitant, HSO4 at pH 1 or SO42 at pH 3 by adding Na2SO4, the concentration of this precipitant was 0.2 in the case of pH 1 and 0.101 mol/L for pH 3.
Two equations relevant to Figure 10c are given as follows, Equations (7) and (8):
2Rn(SO4)2 + H+ = <Rn2(SO4)3> +HSO4
2Rn(SO4)2 + H+ + 8H2O = <Rn2(SO4)3·8H2O> + HSO4
The characteristics of precipitation described by these two equations are those of the decomposition reaction. As a result, adding HSO4 deters the precipitation reaction, resulting in an increase in the equilibrium concentration of Rn(SO4)2. This is clearly shown in Figure 10c.
It is noted that there are as many equilibrium concentrations as REE-bearing species in each system, including Cl, NO3, or SO42. However, thermodynamic principles indicate that there should be only one equilibrium concentration for a given system. To answer this question, let us consider the precipitation of these complexes into the sodium double salt as an example. Figure 11 shows the precipitation from the three different acid systems based on the equations provided in Table 6 (Equations (9)–(17)), namely HCl, HNO3, and H2SO4. As shown in this figure, there is no clear pattern in the precipitation order. The species that gives the lowest equilibrium concentration represents the final concentration for precipitation. The equilibrium concentration should also satisfy the relationships that determine the distribution of these species, as shown in Figure 2.
As seen in Figure 11, the equilibrium concentration of REE-bearing species in the sodium double salt varies with different species. Again, the values given here are the averages of ten different REEs, as mentioned earlier. Figure 11a shows the equilibrium concentrations of various REE species in the Cl system. The precipitation of RnCl3 yielded the lowest concentration, followed by RnCl2+, RnCl2+, and Rn3+. In contrast, in the NO3 system, the order was RnNO32+, Rn3+, and Rn(NO3)3. It is noted that in the nitrate system, the spread of the concentrations is very narrow, while for the Cl system, the spread is very wide, giving orders of magnitude difference between various species. In the SO42 system, Rn3+ precipitates very well, followed by Rn(SO4)+ and Rn(SO4)2.

5. Comparison of Sulfate to Other Precipitants: Carbonate, Fluoride, Oxalate, and Phosphate Systems

The results obtained from various forms of REE precipitates with sulfate as the precipitant were compared with those of other precipitants, including carbonate, fluoride, phosphate, and oxalate. These precipitants have been used by numerous investigators and/or practitioners within the industry [36,37,38,39,40,41,42,43,44,45,46,47]. It is of particular interest to compare the unusual precipitation behavior of sodium double salt, which is a cationic double salt with an anionic double salt, fluoro-carbonate precipitate, which is frequently observed in real situations via a bastnaesite configuration.
The equations used in this section of the study were arranged to be comparable to those used in sulfate systems. For the convenience of the readers, the equations used in this section of the study were tabulated and listed immediately after relevant figures.
Carbonate or CO2 is commonly used to precipitate REEs from the solution after increasing the pH of the solution to remove iron and other impurities prior to REE precipitation. When carbonate or CO2 is added to water, the most stable species is H2CO3 at pH 1 or 3 because the pKa value for the system is 6.38 [22]. For comparison, the above three acid systems are chosen at pH 1 and pH 3, and the concentration of REEs in the solution is approximately 1000 ppm (i.e., 0.03 mol/L), as discussed earlier. H2CO3 was added at the same rate as done in the sulfate system.
The relevant equations for Rn3+ precipitates to carbonate are given in Table 7 as Equations (21) and (28) for pH 1 and 3, respectively. As can be seen in Figure 12, the precipitation of the three acid systems and carbonate system is impractical at these pH values because the equilibrium concentration of REEs is far above the critical line (1 ppm line), as shown in Figure 12.
Fluoride is one of the strong precipitants for REEs [45,46]. The relevant equations for the free REE ion precipitate with HF are given in Table 7, Equations (22) and (29) for pH 1 and pH 3, respectively. It shows the strongest precipitant for REEs at pH 3 and the second strongest at pH 1, as shown in Figure 12.
It should be noted that the REE precipitation with a mixture of fluoride and carbonate, often referred to as the fluoro-carbonate precipitate, resembles the precipitation of sodium double sulfate, in which the anions are responsible for the double salt precipitation, unlike the sodium double salt with sulfate, where two cations are responsible. In either case, synergy works to help the overall precipitation more effectively. This is illustrated in Figure 13.
Oxalate and phosphate are also well known as strong precipitants of REEs. The precipitation equations are given as Equations (23) and (24) at pH 1 and Equations (30) and (31) at pH 3 for oxalate and phosphate, respectively. At pH 1, oxalate is the strongest precipitant considered in this study, and phosphate results in about 10−8 mol/L of the dissolved Rn3+ concentration, which is less than the 1 ppm level. At pH 3, these two precipitants gave almost similar precipitation powers for REEs, leaving 10−13 to 10−14 mol/L of dissolved Rn3+.
As shown in Figure 13, REE carbonate precipitation is not as effective, and it is performed only at high pH values, with the advantage that the precipitated products are easily re-dissolved in mild acid [22,36]. Therefore, no attempt has been made to precipitate REEs at low pH with carbonate. However, fluoride is known to be one of the most effective precipitants of REEs, and numerous investigators and practitioners have shown its effectiveness in the past [17,45,46,47]; this has been demonstrated in this study, as shown in Figure 13. Table 8 presents the relevant equations used in the analysis (Equations (32)–(34)). It is clear that fluoro-carbonate is an effective anionic double salt exhibiting a synergistic characteristic in the precipitation of REEs.
Based on the analysis of different precipitants, the selected precipitants that showed good precipitation ability, i.e., less than 1 ppm dissolved REE level, were compared, as shown in Figure 14. For practical purposes, only the results at pH 1 were considered. Oxalate and phosphate are the two efficient precipitants for REEs, as shown in Figure 14. Oxalate may be the most widely and frequently used precipitant for REEs, especially at low pH values. The solubility of sodium oxalate is rather low, approximately 0.3 mol/L. However, the solubility of oxalic acid is relatively high, more than 1 mol/L in water, and its pKa values are 1 and 4.2 [22].
As seen in Figure 14, the precipitation of REEs of carbonate and sulfate is not likely to be a candidate for the preferential precipitation of REEs at low pH values. However, the double salt forms, either anionic or cationic, are very strong candidates for use in the separation of REEs from other elements at low pH, such as pH 1, as demonstrated in Figure 14. The equations used in these calculations are listed in Table 9 (Equations (35)–(39)).

6. Conclusions

Ores and secondary sources bearing REEs are often treated with acids such as HCl, HNO3, and H2SO4 to extract REEs into the solution. When free REE ions are dissolved in aqueous media, they are easily subjected to complexation with anions, such as Cl, NO3, and SO42, present in the system derived from acids used in the leaching process. These anions play an important role in the subsequent precipitation processes and can help or hamper the precipitation process with various precipitants.
This study focused on the precipitation behavior of REEs with sulfate into three common precipitates, namely anhydrous, octa-hydrated, and Na double salt sulfate. Emphasis has been given on the synergistic effect of cationic and anionic double salts and their effectiveness in the precipitation of REEs at low pH values. It has been found that Na double salt sulfate is the most preferred precipitate among the three sulfate precipitates, whose degree of precipitation is comparable with other strong precipitants such as fluoride, oxalate, and phosphate.

Author Contributions

Conceptualization, K.N.H. and R.K.; methodology, K.N.H. and R.K.; software, K.N.H. and R.K.; validation, K.N.H. and R.K.; formal analysis, K.N.H. and R.K.; investigation, K.N.H. and R.K.; resources, R.K.; data curation, K.N.H. and R.K.; writing—original draft preparation, K.N.H.; writing—review and editing, K.N.H. and R.K.; visualization, K.N.H.; supervision, K.N.H.; project administration, K.N.H. and R.K.; funding acquisition, R.K. All authors have read and agreed to the published version of the manuscript.

Funding

Part of the study has been supported by the Korea Evaluation Institute of Industrial Technology funded by the Ministry of Trade, Industry and Energy in Korea (Project No.: 20010817, 21-9806).

Acknowledgments

The authors extend their appreciation to the Minerals staff, especially Anker He, for their assistance and encouragement throughout the process. Rina Kim is also grateful for the support of the Korea Evaluation Institute of Industrial Technology funded by the Ministry of Trade, Industry and Energy in Korea (Project No.: 20010817, 21-9806).

Conflicts of Interest

The authors declare no conflict of interest in relation to this paper.

References

  1. Jordrens, A.; Cheng, Y.P.; Waters, K.E. A review of the beneficiation of rare earth element hearing minerals. Miner. Eng. 2013, 41, 97–114. [Google Scholar] [CrossRef]
  2. Jha, M.K.; Kumari, A.; Panda, R.; Kumar, J.R.; Yoo, K.; Lee, J.-Y. Review on hydrometallurgical recovery of rare earth metals. Hydrometallurgy 2016, 161, 77. [Google Scholar] [CrossRef]
  3. Han, K.N.; Kellar, J.J.; Cross, W.M.; Safarzadeh, S. Opportunities and challenges for treating rare-earth elements. Geosystem. Eng. 2014, 17, 178–194. [Google Scholar] [CrossRef]
  4. Gupta, C.K.; Krishnamurthy, N. Extractive metallurgy of rare earths. Int. Mater. Rev. 1992, 37, 197–248. [Google Scholar] [CrossRef]
  5. Kim, R.; Cho, H.; Jeong, J.; Kim, J.; Lee, S.; Chung, K.W.; Yoon, H.S.; Kim, C.J. Effect of sulfuric acid baking and caustic digestion 3 enhancing rare earth elements recovery from a refractory ore. Minerals 2020, 10, 532. [Google Scholar] [CrossRef]
  6. Borra, C.R.; Mermans, J.; Blanpain, B.; Pontikes, Y.; Binnemans, K.; Van Gerven, T. Selective recovery of rare earths from bauxite residue by combination of sulfation, roasting and leaching. Miner. Eng. 2016, 92, 151–159. [Google Scholar] [CrossRef]
  7. Berry, L.; Agarwal, V.; Galvin, J.; Safarzadeh, M.S. Decomposition of monazite concentrate in sulphuric acid. Can. Met. Q. 2018, 57, 422–433. [Google Scholar] [CrossRef]
  8. Demol, J.; Ho, E.; Senanayake, G. Sulfuric acid baking and leaching of rare earth elements, thorium and phosphate from a monazite concentrate: Effect of bake temperature from 200 to 800 °C. Hydrometallurgy 2018, 179, 254–267. [Google Scholar] [CrossRef]
  9. Sadri, F.; Nazari, A.M.; Ghahreman, A. A review on the cracking, baking and leaching processes of rare earth element concentrates. J. Rare Earths 2017, 35, 739–752. [Google Scholar] [CrossRef]
  10. Kim, R.; Cho, H.; Han, K.N.; Kim, K.; Mun, M. Optimization of Acid Leaching of Rare-Earth Elements from Mongolian Apatite-Based Ore. Minerals 2016, 6, 63. [Google Scholar] [CrossRef] [Green Version]
  11. Senanayake, G.; Jayasekera, S.; Bandara, A.; Koenigsberger, E.; Koenigsberger, L.; Kyle, J. Rare earth metal ion solubility in sulphate-phosphate solutions of pH range −0.5 to 5.0 relevant to processing fluorapatite rich concentrates: Effect of calcium, aluminium, iron and sodium ions and temperature up to 80 °C. Miner. Eng. 2016, 98, 169–176. [Google Scholar] [CrossRef]
  12. Bandara, A.; Senanayake, G. Leachability of rare-earth, calcium and minor metal ions from natural Fluorapatite in perchloric, hydrochloric, nitric and phosphoric acid solutions: Effect of proton activity and anion participation. Hydrometallurgy 2015, 153, 179–189. [Google Scholar] [CrossRef]
  13. Lee, J.H.; Byrne, H.R. Complexation of trivalent rare earth elements (Ce, Eu, Gd, Tv, Yb) by carbonate ions. Geochim. Cosmochim. Acta 1993, 57, 295–302. [Google Scholar]
  14. Lokshin, E.P.; Tareeva, O.A.; Ivlev, K.G.; Kashulina, T.G. Solubility of Double Alkali Metal (Na, K) Rare-Earth (La, Ce) Sulfates in Sulfuric-Phosphoric Acid Solutions at 20 °C. Russ. J. Appl. Chem. 2005, 78, 1058–1063. [Google Scholar] [CrossRef]
  15. Lokshin, E.P.; Tareeva, O.A.; Kashulina, T.G. A study of the solubility of yttrium, praseodymium, neodymium, and gadolinium sulfates in the presence of sodium and potassium in sulfuric-phosphoric acid solutions at 20 °C. Russ. J. Appl. Chem. 2007, 80, 1275–1280. [Google Scholar] [CrossRef]
  16. Kul, M.; Topkaya, Y.; Karakaya, I. Rare earth double sulfates from pre-concentrated bastnasite. Hydrometallurgy 2008, 93, 129–135. [Google Scholar] [CrossRef]
  17. Abreu, R.D.; Morais, C.A. Purification of rare earth elements from monazite sulphuric acid leach liquor and the production of high-purity ceric oxide. Miner. Eng. 2010, 23, 536–540. [Google Scholar] [CrossRef]
  18. Rard, J.A. Aqueous solubilities of praseodymium, europium, and lutetium sulfates. J. Solut. Chem. 1988, 17, 499–517. [Google Scholar] [CrossRef]
  19. Ahmed, S.H.; Helaly, O.S.; Abd El-Ghany, M.S. Evaluation of Rare Earth Double Sulphate Precipitation from Monazite Leach Solutions. Int. J. Inorg. Biochem. 2015, 5, 1–8. [Google Scholar]
  20. Antti, P.; Benjamin, P.; Wilson, M.L. Lanthanide-alkali double sulfate precipitation from strong sulfuric acid NiMH battery waste leachate. Waste Manag. 2018, 71, 381–389. [Google Scholar]
  21. Beltrami, D.; Deblonde, G.J.-P.; Bélair, S.; Weigel, V. Recovery of yttrium and lanthanides from sulfate solutions with high concentration of iron and low rare earth content. Hydrometallurgy 2015, 157, 356–362. [Google Scholar] [CrossRef] [Green Version]
  22. Han, K.N. Characteristics of Precipitation of Rare Earth Elements with Various Precipitants. Minerals 2020, 10, 178. [Google Scholar] [CrossRef] [Green Version]
  23. Gupta, C.K.; Krishnamurthy, N. Extractive Metallurgy of Rare Earths; CRC Press: Boca Raton, FL, USA, 2005. [Google Scholar]
  24. Royen, H.; Fortkamp, U. Rare Earth Elements—Purification, Separation and Recycling; IVL Swedish Environmental Research Institute: Stockholm, Sweden, 2016. [Google Scholar]
  25. Han, K.N. Effect of anions on the solubility of rare earth element-bearing minerals in acids. In Mining, Metallurgy & Exploration; Springer: Berlin/Heidelberg, Germany, 2019; Volume 36, pp. 215–225. [Google Scholar] [CrossRef]
  26. Han, K.N. Effect of metal complexation on the solubility of rare earth compounds. In Critical and Rare Earth Elements/Recovery from Secondary Resources; Abhilash, A.A., Ed.; CRC Press: Boca Raton, FL, USA, 2019; pp. 59–84. [Google Scholar]
  27. HSC Chemistry 5. 11. Chemical Reaction and Equilibrium Software with Extensive Thermochemical Database; Version 5.0; Outokumpu Research Oy: Piori, Finland, 2002. [Google Scholar]
  28. Kim, E.; Osseo-Asare, K. Aqueous stability of thorium and rare earth metals in monazite 386 hydrometallurgy: Eh-pH diagrams for the systems Th-, La-, Nd-, (PO4)-(SO4)-H2O at 25 °C. Hydrometallurgy 2012, 113–114, 67–78. [Google Scholar] [CrossRef]
  29. Firsching, F.H.; Mohammadzadel, J. Solubillty Products of the Rare-Earth Carbonates. Am. Chem. Soc. 1986, 31, 40–42. [Google Scholar]
  30. Firsching, F.H.; Brune, S.N. Solubility products of the trivalent rare-earth phosphates. J. Chem. Eng. Data 1991, 36, 93–95. [Google Scholar] [CrossRef]
  31. Spedding, F.H.; Jaffe, S. Conductances, Solubilities and Ionization Constants of Some Rare Earth Sulfates in Aqueous Solutions at 25°. J. Am. Chem. Soc. 1954, 76, 882–884. [Google Scholar] [CrossRef]
  32. Migdiscov AWilliams-Jones, A.E.; Wagner, T. An experimental study of the solubility and speciation of the rare earth elements (III) in fluoride- and chloride-bearing aqueous solutions at temperatures up to 300 C. Geochim. Cosmochim. Acta 2009, 73, 7087–7109. [Google Scholar]
  33. Chung DY Kim EH Lee, E.H.; Yoo, J.Y. Solubility of rare earth oxalate in oxalic and nitric acid media. J. Ind. Eng. Chem. 1998, 4, 277–284. [Google Scholar]
  34. OLI Studio. Stream Analyzer Database; Version 9.6; OLI Systems, Inc.: Parsippany, NJ, USA, 2018. [Google Scholar]
  35. Han, K.N. Speciation of rare earth elements with Cl, NO3 and SO42−. Unpublished work. 2021. [Google Scholar]
  36. De Vasconcellos, M.E.; da Rocha, S.; Pedreira, W.; Queiroz, C.A.D.S.; Abrão, A. Solubility behavior of rare earths with ammonium carbonate and ammonium carbonate plus ammonium hydroxide: Precipitation of their peroxicarbonates. J. Alloys Compd. 2008, 451, 426–428. [Google Scholar] [CrossRef]
  37. Kim, P.; Anderko, A.; Navrotsky, A.; Riman, R.E. Trends in Structure and Thermodynamic Properties of Normal Rare Earth Carbonates and Rare Earth Hydroxycarbonates. Minerals 2018, 8, 106. [Google Scholar] [CrossRef] [Green Version]
  38. Konishi, Y.; Noda, Y. Precipitation Stripping of Rare-Earth Carbonate Powders from Rare-Earth-Loaded Carboxylate Solutions Using Carbon Dioxide and Water. Ind. Eng. Chem. Res. 2001, 40, 1793–1797. [Google Scholar] [CrossRef]
  39. Wu, S.; Zhao, L.; Wang, L.; Huang, X.; Zhang, Y.; Feng, Z.; Cui, D. Simultaneous recovery of rare earth elements and phosphorus from phosphate rock by phosphoric acid leaching and selective precipitation: Towards green process. J. Rare Earths 2019, 37, 652–658. [Google Scholar] [CrossRef]
  40. Zakharova, B.; Komissarova, L.; Traskin, V.; Naumov, S.; Melnikov, P. Precipitation of Rare Earth Phosphates from H3PO4 Solutions. Phosphorus Sulfur Silicon Relat. Elem. 1996, 111, 2. [Google Scholar] [CrossRef]
  41. Ahmed, S.H.; Helaly, O.S.; Abd El-Ghany, M.S. Preliminary study for separation of heavy rare earth concentrates from Egyptian crude monazite. Int. J. Mat. Met. Eng. 2014, 8, 866–872. [Google Scholar]
  42. Cantrell, K.J.; Byrne, R.H. Rare earth element complexation by carbonate and oxalate ions. Geochim. Cosmochim. Acta 1987, 51, 597–605. [Google Scholar] [CrossRef]
  43. Chi, R.; Xu, Z. A solution chemistry approach to the study of rare earth element precipitation by oxalic acid. Met. Mater. Trans. A 1999, 30, 189–195. [Google Scholar] [CrossRef]
  44. Battsengel, A.; Batnasan, A.; Narankhuu, A.; Haga, K.; Watanabe, Y.; Shibayama, A. Recovery of light and heavy rare earth elements from apatite ore using sulphuric acid leaching, solvent extraction and precipitation. Hydrometallurgy 2018, 179, 100–109. [Google Scholar] [CrossRef]
  45. Sarfo, P.; Frasz, T.; Das, A.; Young, C. Hydrometallurgical production of rare earth fluorides from recycled magnets and process optimization. Minerals 2020, 10, 340. [Google Scholar] [CrossRef] [Green Version]
  46. Yang, Y.; Lan, C.; Wang, Y.; Zhao, Z.; Li, B. Recycling of ultrafine NdFeB waste by the selective precipitation of rare earth and the electrodeposition of iron in hydrofluoric acid. Sep. Purif. Technol. 2020, 230, 115870. [Google Scholar] [CrossRef]
  47. Khawassek, Y.; Eliwa, A.; Gawad, E.; Abdo, S. Recovery of rare earth elements from El-Sela effluent solutions. J. Radiat. Res. Appl. Sci. 2015, 8, 583–589. [Google Scholar] [CrossRef] [Green Version]
Figure 1. Schematics showing leaching process and precipitation process of (a) HCl or HNO3 system; (b) H2SO4 system; and (c) conversion of Rn-Cl complexes to the Rn-SO4 complexes and their precipitation.
Figure 1. Schematics showing leaching process and precipitation process of (a) HCl or HNO3 system; (b) H2SO4 system; and (c) conversion of Rn-Cl complexes to the Rn-SO4 complexes and their precipitation.
Minerals 11 00670 g001
Figure 2. Cerium (III) speciation in (a) HCl; (b) HNO3; and (c) in H2SO4 systems.
Figure 2. Cerium (III) speciation in (a) HCl; (b) HNO3; and (c) in H2SO4 systems.
Minerals 11 00670 g002
Figure 3. The ratio of Rn(SO4)2 to RnCl2+ as a function of HSO4 concentration at pH 1.
Figure 3. The ratio of Rn(SO4)2 to RnCl2+ as a function of HSO4 concentration at pH 1.
Minerals 11 00670 g003
Figure 4. Graphical presentation of precipitation of Rn3+, RnCl2+, RnCl2+, and RnCl3 into three sulfates, anhydrous, octa-hydrated, and sodium double salt at pH 1 with HCl (dashed line: 1 ppm line). (a) Rn3+ precipitates into the three products. (b) RnCl2+ precipitates into the three products. (c) RnCl2+ precipitates into the three products. (d) RnCl3 precipitates into the three products.
Figure 4. Graphical presentation of precipitation of Rn3+, RnCl2+, RnCl2+, and RnCl3 into three sulfates, anhydrous, octa-hydrated, and sodium double salt at pH 1 with HCl (dashed line: 1 ppm line). (a) Rn3+ precipitates into the three products. (b) RnCl2+ precipitates into the three products. (c) RnCl2+ precipitates into the three products. (d) RnCl3 precipitates into the three products.
Minerals 11 00670 g004
Figure 5. Graphical presentation of precipitation of Rn3+, RnCl2+, RnCl2+, and RnCl3 into three sulfates, anhydrous, octa-hydrated, and sodium double salt at pH 3 with HCl (dashed line: 1 ppm). (a) Rn3+ precipitates into the three products. (b) RnCl2+ precipitates into the three products. (c) RnCl2+ precipitates into the three products. (d) RnCl3 precipitates into the three products.
Figure 5. Graphical presentation of precipitation of Rn3+, RnCl2+, RnCl2+, and RnCl3 into three sulfates, anhydrous, octa-hydrated, and sodium double salt at pH 3 with HCl (dashed line: 1 ppm). (a) Rn3+ precipitates into the three products. (b) RnCl2+ precipitates into the three products. (c) RnCl2+ precipitates into the three products. (d) RnCl3 precipitates into the three products.
Minerals 11 00670 g005
Figure 6. Effect of Cl on the precipitation of (a) RnCl2+; and (b) RnCl3.
Figure 6. Effect of Cl on the precipitation of (a) RnCl2+; and (b) RnCl3.
Minerals 11 00670 g006
Figure 7. Concentrations of RnCl2+ of the ten different REEs in equilibrium with Rn2(SO4)3 at pH 1 with HCl.
Figure 7. Concentrations of RnCl2+ of the ten different REEs in equilibrium with Rn2(SO4)3 at pH 1 with HCl.
Minerals 11 00670 g007
Figure 8. Effect of Na+ on the precipitation of Rn3+ on Na double salt at pH 1 (a) and 3 (b).
Figure 8. Effect of Na+ on the precipitation of Rn3+ on Na double salt at pH 1 (a) and 3 (b).
Minerals 11 00670 g008
Figure 9. Equilibrium concentrations of (a) RnCl2+ or (b) RnNO32+ in equilibrium with sodium double salt at pH 1 with HSO4 (dashed line: 1 ppm line).
Figure 9. Equilibrium concentrations of (a) RnCl2+ or (b) RnNO32+ in equilibrium with sodium double salt at pH 1 with HSO4 (dashed line: 1 ppm line).
Minerals 11 00670 g009
Figure 10. Graphical presentation of precipitation of Rn3+, Rn(SO4)+, and Rn(SO4)2 into three sulfates, anhydrous, octa-hydrated, and sodium double salt at pH 1 with H2SO4. (a) Rn3+ precipitates into the three products. (b) Rn(SO4)+ precipitates into the three products. (c) Rn(SO4)2 precipitates into the three products.
Figure 10. Graphical presentation of precipitation of Rn3+, Rn(SO4)+, and Rn(SO4)2 into three sulfates, anhydrous, octa-hydrated, and sodium double salt at pH 1 with H2SO4. (a) Rn3+ precipitates into the three products. (b) Rn(SO4)+ precipitates into the three products. (c) Rn(SO4)2 precipitates into the three products.
Minerals 11 00670 g010
Figure 11. Equilibrium concentration of REE complexes with Na double salt at pH 1 in (a) HCl; (b) HNO3; and (c) H2SO4 systems (dashed line: 1 ppm line).
Figure 11. Equilibrium concentration of REE complexes with Na double salt at pH 1 in (a) HCl; (b) HNO3; and (c) H2SO4 systems (dashed line: 1 ppm line).
Minerals 11 00670 g011
Figure 12. Equilibrium concentrations of Rn3+ for precipitation into Rn2(SO4)3 at (a) pH 1; and (b) pH 3, and the results are compared with those of carbonate, fluoride, oxalate, and phosphate (dashed line: 1 ppm line).
Figure 12. Equilibrium concentrations of Rn3+ for precipitation into Rn2(SO4)3 at (a) pH 1; and (b) pH 3, and the results are compared with those of carbonate, fluoride, oxalate, and phosphate (dashed line: 1 ppm line).
Minerals 11 00670 g012
Figure 13. Equilibrium concentration of Rn3+ with carbonate, fluoride, and fluoro-carbonate precipitate at pH 1 (dashed line: 1 ppm line).
Figure 13. Equilibrium concentration of Rn3+ with carbonate, fluoride, and fluoro-carbonate precipitate at pH 1 (dashed line: 1 ppm line).
Minerals 11 00670 g013
Figure 14. Equilibrium concentrations of Rn3+ for precipitation into NaRn(SO4)2·H2O at pH 1, and the results are compared with those of fluoride, fluoro-carbonate, oxalate, and phosphate (dashed line: 1 ppm line).
Figure 14. Equilibrium concentrations of Rn3+ for precipitation into NaRn(SO4)2·H2O at pH 1, and the results are compared with those of fluoride, fluoro-carbonate, oxalate, and phosphate (dashed line: 1 ppm line).
Minerals 11 00670 g014
Table 1. The Gibbs standard free energy formation of various compounds in kJ/mol. (Information taken from references [22,25,26] with some modifications).
Table 1. The Gibbs standard free energy formation of various compounds in kJ/mol. (Information taken from references [22,25,26] with some modifications).
Na-D SaltRnCl2+RnCl2+RnCl3RnCl4RnNO32+Rn(NO3)3RnSO4+Rn(SO4)2Rn2(SO4)3
La−2745.0−818.2−947.8−1076.4−1205.4−799.3−1016.5−1450.1−2201.2−3668.5
Ce−2714.6−808.6−938.0−1067.2−1195.9−790.1−1008.8−1439.8−2189.1−3583.6
Pr−2741.8−812.8−941.9−1071.2−1192.0−794.4−1011.7−1444.0−2196.7−3589.4
Nd−2754.3−804.8−934.0−1062.8−1192.0−786.8−1003.9−1435.8−2187.7
Sm−2720.1−798.1−927.2−1056.3−1185.1−780.2−995.4−1429.6−2186.9−3556.8
Gd−2715.6−796.1−925.0−1054.0−1182.7−776.7−993.0−1427.5−2176.8−3551.9
Tb−2717.9−799.5−928.7−1057.9−1186.3−780.5−997.8−1431.3−2169.6−3561.7
Dy−2706.4−796.0−925.1−1054.0−1182.6−774.8−994.7−1427.3−2180.3−3555.4
Ho−2711.3−807.4−936.8−1065.4−1194.4−786.9−1019.6−1438.8−2189.1−3605.2
Er−2720.7−800.7−930.0−1058.8−1187.5−779.3−1004.2−1432.0−2186.2−3574.3
Na-D Salt: NaRn(SO4)2·H2O: Data obtained from OLI Studio (the symbol Rn is used throughout this study representing rare earth elements).
Table 2. Concentrations of Rn3+ in equilibrium with three sulfate precipitates; anhydrous, octa-hydrated, and sodium double salt at pH 1 with HCl.
Table 2. Concentrations of Rn3+ in equilibrium with three sulfate precipitates; anhydrous, octa-hydrated, and sodium double salt at pH 1 with HCl.
Reaction2Rn3+ + 3HSO4 = <Re2(SO4)3> +3H+2Rn3+ + 3HSO4 + 8H2O = <Rn2(SO4)3·8H2O> +3H+Na+ +Rn3+ + 2HSO4 + H2O = <NaRn(SO4)2·H2O> +2H+
HSO4 Added (mol/L)0.10.30.5120.10.30.5120.10.30.512
La1.44 × 10−102.77 × 10−111.29 × 10−114.55 × 10−121.61 × 10−121.38 × 10−142.67 × 10−151.24 × 10−154.38 × 10−161.55 × 10−162.17 × 10−108.05 × 10−121.74 × 10−122.17 × 10−132.72 × 10−14
Ce1.04 × 10−92.01 × 10−109.33 × 10−113.30 × 10−111.17 × 10−111.31 × 10−102.53 × 10−111.17 × 10−114.15 × 10−121.47 × 10−124.13 × 10−71.53 × 10−83.31 × 10−94.13 × 10−105.17 × 10−11
Pr2.57 × 10−64.94 × 10−72.30 × 10−78.12 × 10−82.87 × 10−82.24 × 10−104.32 × 10−112.01 × 10−117.10 × 10−122.51 × 10−121.96 × 10−107.24 × 10−121.56 × 10−121.96 × 10−132.44 × 10−14
Nd6.09 × 10−71.17 × 10−75.45 × 10−81.93 × 10−86.81 × 10−91.16 × 10−82.22 × 10−91.03 × 10−93.65 × 10−101.29 × 10−104.82 × 10−141.78 × 10−153.86 × 10−164.82 × 10−176.02 × 10−18
Sm1.18 × 10−82.28 × 10−91.06 × 10−93.74 × 10−101.32 × 10−101.11 × 10−72.14 × 10−89.95 × 10−93.52 × 10−91.24 × 10−93.44 × 10−91.27 × 10−102.75 × 10−113.44 × 10−124.30 × 10−13
Gd1.43 × 10−72.75 × 10−81.28 × 10−84.52 × 10−91.60 × 10−92.07 × 10−73.99 × 10−81.85 × 10−86.55 × 10−92.32 × 10−95.33 × 10−91.97 × 10−104.26 × 10−115.33 × 10−126.66 × 10−13
Tb7.50 × 10−11.44 × 10−16.71 × 10−22.37 × 10−28.39 × 10−35.00 × 10−19.63 × 10−24.47 × 10−21.58 × 10−25.59 × 10−31.77 × 10−86.55 × 10−101.42 × 10−101.77 × 10−112.21 × 10−12
Dy1.64 × 10−33.16 × 10−41.47 × 10−45.19 × 10−51.83 × 10−52.43 × 10−54.68 × 10−62.17 × 10−67.69 × 10−72.72 × 10−74.25 × 10−71.57 × 10−83.40 × 10−94.25 × 10−105.31 × 10−11
Ho5.71 × 1001.10 × 1005.10 × 10−11.80 × 10−16.38 × 10−25.00 × 1009.62 × 10−14.47 × 10−11.58 × 10−15.59 × 10−26.20 × 10−62.30 × 10−74.96 × 10−86.20 × 10−97.76 × 10−10
Er2.60 × 1015.00 × 1002.32 × 1008.21 × 10−12.90 × 10−11.71 × 1013.29 × 1001.53 × 1005.41 × 10−11.91 × 10−18.69 × 10−93.22 × 10−106.96 × 10−118.69 × 10−121.09 × 10−12
Avg.3.24 × 1006.24 × 10−12.90 × 10−11.03 × 10−13.63 × 10−22.26 × 1004.35 × 10−12.02 × 10−17.15 × 10−22.53 × 10−27.08 × 10−72.62 × 10−85.66 × 10−97.08 × 10−108.85 × 10−11
Table 3. Average concentration of Rn3+ from the ten REEs selected when the concentration of sulfate or bisulfate is 1 mol/L in equilibrium with three sulfate precipitates at pH 1 and 3 with HCl. Concentration ratio at pH 1 to pH 3 are also given.
Table 3. Average concentration of Rn3+ from the ten REEs selected when the concentration of sulfate or bisulfate is 1 mol/L in equilibrium with three sulfate precipitates at pH 1 and 3 with HCl. Concentration ratio at pH 1 to pH 3 are also given.
pH 1pH 3pH1/pH3
Sulfate1.03 × 10−13.20 × 10−23.20
Octa-Hyd7.15 × 10−22.23 × 10−23.20
Double S7.08 × 10−101.50 × 10−104.72
Sulfate: Rn2(SO4)3; Octa-Hyd: Rn2(SO4)3·8H2O; Double S:NaRn(SO4)2·H2O.
Table 4. Concentrations of RnCl2+ or RnNO32+ in equilibrium with sodium double salt at pH 1.
Table 4. Concentrations of RnCl2+ or RnNO32+ in equilibrium with sodium double salt at pH 1.
ReactionNa+ +RnCl2++2HSO4 + H2O = <NaRn(SO4)2·H2O> +Cl +2H+Na+ +RnNO32+ + 2HSO4 +H2O = <NaRn(SO4)2·H2O> +NO3 +2H+
HSO4 Added (mol/L)0.10.30.5120.10.30.512
La1.53 × 10−105.67 × 10−121.23 × 10−121.53 × 10−131.91 × 10−143.00 × 10−101.11 × 10−112.40 × 10−123.00 × 10−133.75 × 10−14
Ce6.66 × 10−72.47 × 10−85.33 × 10−96.66 × 10−108.32 × 10−111.57 × 10−65.82 × 10−81.26 × 10−81.57 × 10−91.96 × 10−10
Pr6.00 × 10−112.22 × 10−124.80 × 10−136.00 × 10−147.50 × 10−151.44 × 10−105.34 × 10−121.15 × 10−121.44 × 10−131.80 × 10−14
Nd1.55 × 10−145.74 × 10−161.24 × 10−161.55 × 10−171.94 × 10−184.33 × 10−141.60 × 10−153.47 × 10−164.33 × 10−175.42 × 10−18
Sm1.00 × 10−93.71 × 10−118.00 × 10−121.00 × 10−121.25 × 10−132.96 × 10−91.10 × 10−102.37 × 10−112.96 × 10−123.70 × 10−13
Gd2.87 × 10−91.06 × 10−102.29 × 10−112.87 × 10−123.58 × 10−134.53 × 10−91.68 × 10−103.62 × 10−114.53 × 10−125.66 × 10−13
Tb4.29 × 10−91.59 × 10−103.43 × 10−114.29 × 10−125.36 × 10−138.23 × 10−93.05 × 10−106.59 × 10−118.23 × 10−121.03 × 10−12
Dy1.10 × 10−74.08 × 10−98.81 × 10−101.10 × 10−101.38 × 10−118.52 × 10−83.15 × 10−96.81 × 10−108.52 × 10−111.06 × 10−11
Ho1.50 × 10−65.57 × 10−81.20 × 10−81.50 × 10−91.88 × 10−101.57 × 10−65.82 × 10−81.26 × 10−81.57 × 10−91.97 × 10−10
Er2.34 × 10−98.66 × 10−111.87 × 10−112.34 × 10−122.92 × 10−131.65 × 10−96.09 × 10−111.32 × 10−111.65 × 10−122.06 × 10−13
Avg.2.29 × 10−78.48 × 10−91.83 × 10−92.29 × 10−102.86 × 10−113.25 × 10−71.20 × 10−82.60 × 10−93.25 × 10−104.06 × 10−11
Table 5. Concentration of Rn3+ in equilibrium with three sulfate precipitates; anhydrous, octa-hydrated, and sodium double salt at pH 3 with H2SO4.
Table 5. Concentration of Rn3+ in equilibrium with three sulfate precipitates; anhydrous, octa-hydrated, and sodium double salt at pH 3 with H2SO4.
Reaction2Rn3+ + 3HSO4 = <Re2(SO4)3> +3H+2Rn3+ + 3HSO4 + 8H2O = <Rn2(SO4)3·8H2O> +3H+Na+ +Rn3+ + 2HSO4 + H2O = <NaRn(SO4)2·H2O> +2H+
SO42− Added (mol/L)0.10.30.5120.10.30.5120.10.30.512
La4.42 × 10−118.60 × 10−124.00 × 10−121.42 × 10−125.02 × 10−134.26 × 10−158.29 × 10−163.86 × 10−161.37 × 10−164.83 × 10−174.52 × 10−111.70 × 10−123.67 × 10−134.60 × 10−145.76 × 10−15
Ce3.21 × 10−106.24 × 10−112.91 × 10−111.03 × 10−113.64 × 10−121.19 × 10−102.32 × 10−111.08 × 10−113.83 × 10−121.35 × 10−128.59 × 10−83.22 × 10−96.98 × 10−108.75 × 10−111.09 × 10−11
Pr7.90 × 10−71.54 × 10−77.15 × 10−82.53 × 10−88.96 × 10−92.05 × 10−103.98 × 10−111.85 × 10−116.55 × 10−122.32 × 10−124.06 × 10−111.53 × 10−123.30 × 10−134.14 × 10−145.18 × 10−15
Nd1.88 × 10−73.65 × 10−81.70 × 10−86.01 × 10−92.13 × 10−91.05 × 10−82.03 × 10−99.47 × 10−103.35 × 10−101.19 × 10−101.00 × 10−143.76 × 10−168.14 × 10−171.02 × 10−171.28 × 10−18
Sm3.64 × 10−97.07 × 10−103.29 × 10−101.17 × 10−104.13 × 10−113.43 × 10−86.66 × 10−93.10 × 10−91.10 × 10−93.88 × 10−107.15 × 10−102.68 × 10−115.81 × 10−127.28 × 10−139.11 × 10−14
Gd4.40 × 10−88.54 × 10−93.98 × 10−91.41 × 10−94.98 × 10−106.38 × 10−81.24 × 10−85.77 × 10−92.04 × 10−97.23 × 10−101.11 × 10−94.16 × 10−119.00 × 10−121.13 × 10−121.41 × 10−13
Tb2.31 × 10−14.49 × 10−22.09 × 10−27.40 × 10−32.62 × 10−31.54 × 10−12.99 × 10−21.39 × 10−24.94 × 10−31.75 × 10−33.68 × 10−91.38 × 10−102.99 × 10−113.74 × 10−124.68 × 10−13
Dy5.05 × 10−49.82 × 10−54.57 × 10−51.62 × 10−55.73 × 10−67.48 × 10−61.45 × 10−66.77 × 10−72.40 × 10−78.48 × 10−88.83 × 10−83.31 × 10−97.18 × 10−108.99 × 10−111.12 × 10−11
Ho1.76 × 1003.41 × 10−11.59 × 10−15.63 × 10−21.99 × 10−21.54 × 1002.99 × 10−11.39 × 10−14.93 × 10−21.74 × 10−21.29 × 10−64.84 × 10−81.05 × 10−81.31 × 10−91.64 × 10−10
Er7.99 × 1001.55 × 1007.24 × 10−12.56 × 10−19.06 × 10−25.27 × 1001.02 × 1004.77 × 10−11.69 × 10−15.98 × 10−21.81 × 10−96.78 × 10−111.47 × 10−111.84 × 10−122.30 × 10−13
Avg.9.98 × 10−11.94 × 10−19.03 × 10−23.20 × 10−21.13 × 10−26.96 × 10−11.35 × 10−16.30 × 10−22.23 × 10−27.90 × 10−31.47 × 10−75.52 × 10−91.20 × 10−91.50 × 10−101.87 × 10−11
Table 6. Precipitation equations for various REE complexes into Na double salt as shown in Figure 11.
Table 6. Precipitation equations for various REE complexes into Na double salt as shown in Figure 11.
Na+ + RnCl2+ +2HSO4 = <NaRn(SO4)2·H2O> + Cl + 2H+(9)
Na+ + RnCl2+ +2HSO4 + H2O= <NaRn(SO4)2·H2O> + 2Cl + 2H+(10)
Na+ + RnCl3 +2HSO4 + H2O= <NaRn(SO4)2·H2O> + 3Cl + 2H+(11)
Na+ + Rn3+ +2HSO4 +H2O= <NaRn(SO4)2·H2O> +2H+(12)
Na+ + RnNO32+ +2HSO4 +H2O= <NaRn(SO4)2·H2O> + NO3 + 2H+(13)
Na+ + Rn(NO3)3 +2HSO4 + H2O= <NaRn(SO4)2·H2O> + 3NO3 + 2H+ (14)
Na+ + Rn3+ +2HSO4 +H2O= <NaRn(SO4)2·H2O> +2H+ (15)
Na+ + Rn(SO4)+ + HSO4 + H2O = <NaRn(SO4)2·H2O> + H+ (16)
Na+ + Rn(SO4)2 + H2O= <NaRn(SO4)2·H2O> (17)
Table 7. Precipitation equations of Rn3+ for precipitation into Rn2(SO4)3 at pH 1 (a) and pH 3 (b) and the results are compared with those of carbonate, fluoride, oxalate, and phosphate (equations used in Figure 12).
Table 7. Precipitation equations of Rn3+ for precipitation into Rn2(SO4)3 at pH 1 (a) and pH 3 (b) and the results are compared with those of carbonate, fluoride, oxalate, and phosphate (equations used in Figure 12).
2Rn3+ + 3 HSO4 = <Rn2(SO4)3> +3H+(18)
2Rn3+ + 3 HSO4 = <Rn2(SO4)3> +3H+(19)
2Rn3+ + 3 HSO4 = <Rn2(SO4)3> +3H+(20)
2Rn3+ + 3 H2CO3 = <Rn2(CO3)3> +6H+(21)
Rn3+ + 3 HF = <RnF3> +3H+(22)
2Rn3+ + 3 HC2O4 = <Rn2(C2O4)3> +3H+(23)
Rn3+ + H3PO4 = <RnPO4> +3H+(24)
2Rn3+ + 3 SO42 = <Rn2(SO4)3>(25)
2Rn3+ + 3 SO42 = <Rn2(SO4)3> (26)
2Rn3+ + 3 SO42 = <Rn2(SO4)3> (27)
2Rn3+ + 3 H2CO3 = <Rn2(CO3)3> +6H+(28)
Rn3+ + 3 HF = <RnF3> +3H+(29)
2Rn3+ + 3 HC2O4 = <Rn2(C2O4)3> +3H+(30)
Rn3+ + H2PO4 = <RnPO4> +2H+(31)
Table 8. Precipitation equations of Rn3+ into various precipitants used in Figure 13.
Table 8. Precipitation equations of Rn3+ into various precipitants used in Figure 13.
2Rn3+ + 3 H2CO3 = <Rn2(CO3)3> +6H+(32)
Rn3+ + 3 HF = <RnF3> +3H+(33)
Rn3+ + HF + H2CO3 = <RnFCO3> + 3H+(34)
Table 9. Precipitation equations Rn3+ for precipitation into NaRn(SO4)2 H2O at pH 1 and the results are compared with fluoride, fluoro-carbonate, oxalate, and phosphate (equations used in Figure 14).
Table 9. Precipitation equations Rn3+ for precipitation into NaRn(SO4)2 H2O at pH 1 and the results are compared with fluoride, fluoro-carbonate, oxalate, and phosphate (equations used in Figure 14).
Na+ + Rn3+ + 2HSO4 + H2O = <NaRn(SO4)2·H2O> + 2H+(35)
Rn3+ + 3 HF = <RnF3> +3H+(36)
Rn3+ + HF + H2CO3 = <RnFCO3> + 3H+(37)
2Rn3+ + 3 HC2O4 = <Rn2(C2O4)3> +3H+(38)
Rn3+ + H3PO4 = <RnPO4> +2H+(39)
Publisher’s Note: MDPI stays neutral with regard to jurisdictional claims in published maps and institutional affiliations.

Share and Cite

MDPI and ACS Style

Han, K.N.; Kim, R. Thermodynamic Analysis of Precipitation Characteristics of Rare Earth Elements with Sulfate in Comparison with Other Common Precipitants. Minerals 2021, 11, 670. https://doi.org/10.3390/min11070670

AMA Style

Han KN, Kim R. Thermodynamic Analysis of Precipitation Characteristics of Rare Earth Elements with Sulfate in Comparison with Other Common Precipitants. Minerals. 2021; 11(7):670. https://doi.org/10.3390/min11070670

Chicago/Turabian Style

Han, Kenneth N., and Rina Kim. 2021. "Thermodynamic Analysis of Precipitation Characteristics of Rare Earth Elements with Sulfate in Comparison with Other Common Precipitants" Minerals 11, no. 7: 670. https://doi.org/10.3390/min11070670

APA Style

Han, K. N., & Kim, R. (2021). Thermodynamic Analysis of Precipitation Characteristics of Rare Earth Elements with Sulfate in Comparison with Other Common Precipitants. Minerals, 11(7), 670. https://doi.org/10.3390/min11070670

Note that from the first issue of 2016, this journal uses article numbers instead of page numbers. See further details here.

Article Metrics

Back to TopTop