High-Pressure Raman Spectroscopy and X-ray Diffraction Study on Scottyite, BaCu2Si2O7
Abstract
:1. Introduction
2. Experimental Method
2.1. Raman Spectroscopy
2.2. X-ray Diffraction
3. Results
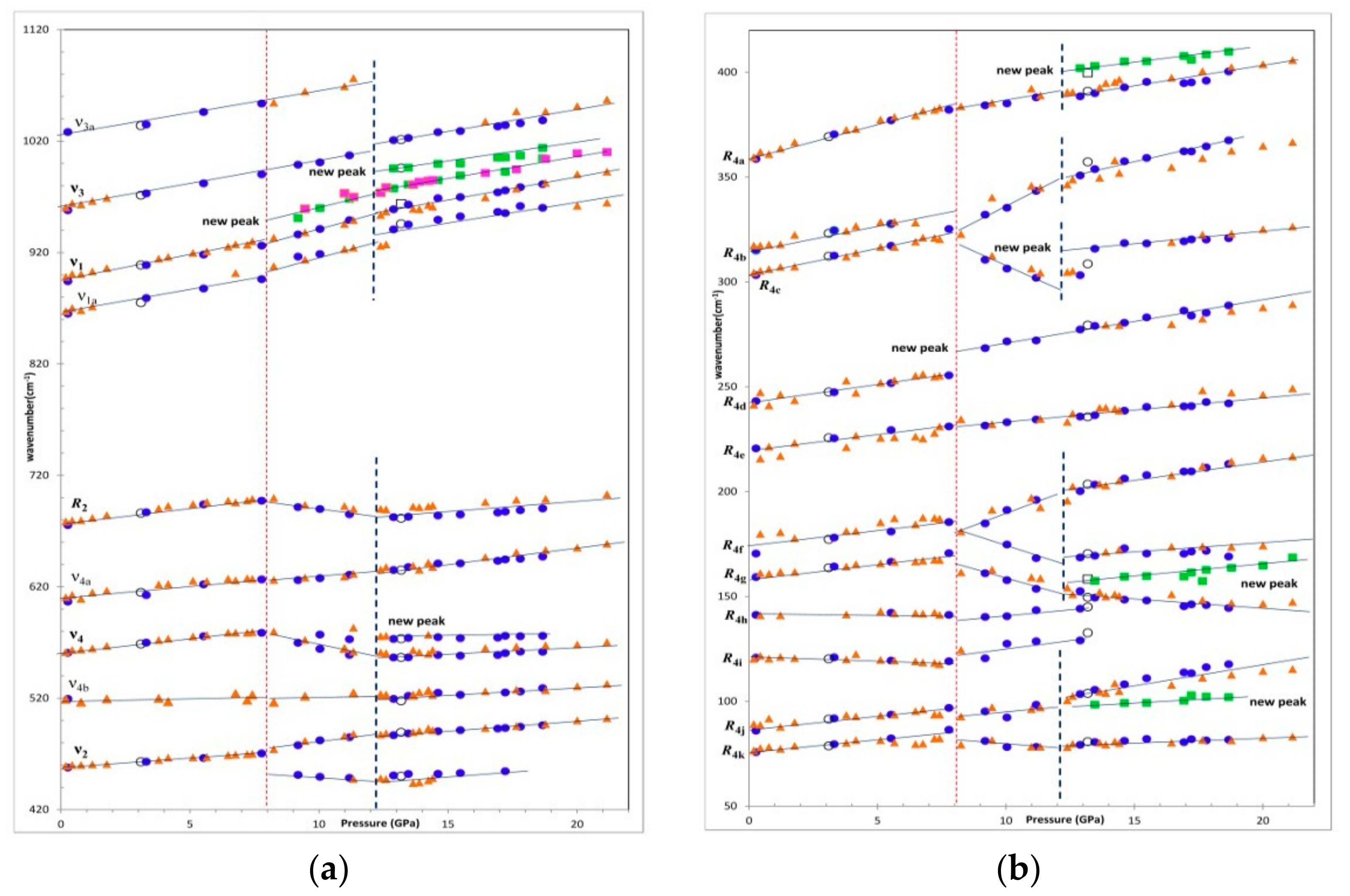
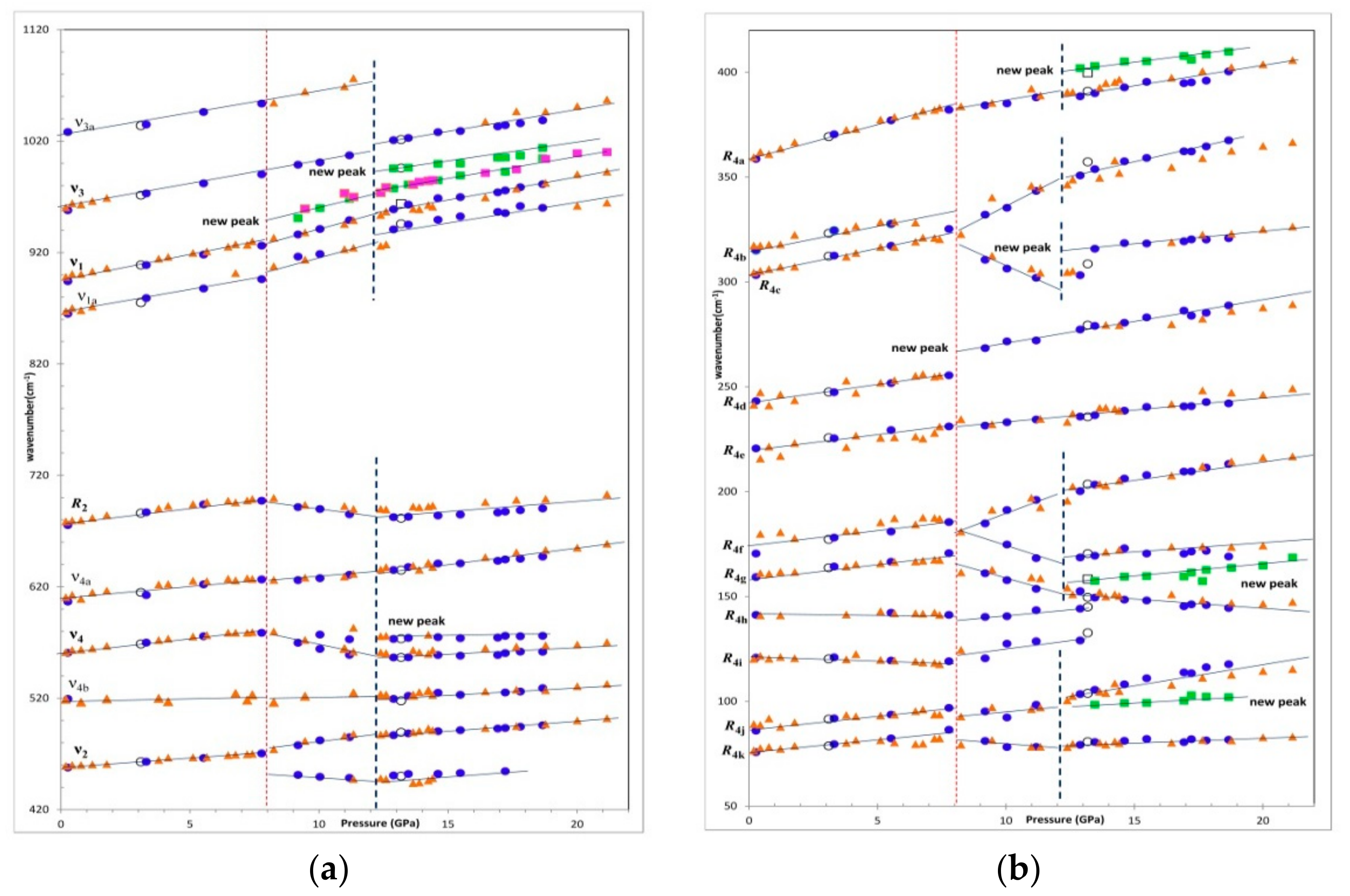
3.1. Raman Spectroscopy
3.2. X-ray Diffraction Studies
4. Discussion
4.1. Anisotropic Compressibility
4.2. The Pressure of the Phase Transition
4.3. Post-Scottyite Structure Analysis
Author Contributions
Funding
Data Availability Statement
Acknowledgments
Conflicts of Interest
References
- Durben, D.J.; Mcmillan, P.F.; Wolf, G.H. Raman study of the high-pressure behavior of forsterite (Mg2SiO4) crystal and glass. Am. Mineral. 1993, 78, 1143–1148. [Google Scholar]
- Yang, H.; Downs, R.T.; Evans, S.H.; Pinch, W.W. Scottyite, the natural analog of synthetic BaCu2Si2O7, a new mineral from the Wessels mine, Kalahari Manganese Fields, South Africa. Am. Mineral. 2013, 98, 478–484. [Google Scholar] [CrossRef]
- Hentschel, G. Die Lavaströme der Graulai: Eine neue Fundstelle in der Westeifel. Lapis 1993, 12, 11–23. (In German) [Google Scholar]
- Blass, G.; Graf, H.-W.; Kolitsch, U.; Sebold, D. The new finds from the volcanic Eifel (II). Miner. Welt 2009, 20, 38–49. (In German) [Google Scholar]
- Blass, G.; Schüller, W. “Unglaubliche” Kupfermineralien aus der Vulkaneifel: Auf’m Kopp bei Neroth. Lapis 2011, 36, 21–28. (In German) [Google Scholar]
- Janczak, J.; Kubiak, R.; Glowiak, T. Structure of barium copper pyrosilicate at 300 K. Acta Crystallogr. 1990, C46, 1383–1385. [Google Scholar] [CrossRef]
- Yamada, T.; Hiroi, Z.; Takano, M. Spin-1/2 quantum antiferromagnetic chains with tunable super exchange interactions found in BaCu2(Si1-xGex)2O7. J. Solid State Chem. 2001, 156, 101–109. [Google Scholar] [CrossRef]
- Yamada, T.; Takano, M.; Hiroi, Z. Spin-1/2 quantum antiferromagnetic chains with adjustable super exchange interactions found in BaCu2(Si1-xGex)2O7. J. Alloys Compd. 2001, 317–318, 171–176. [Google Scholar] [CrossRef]
- Shapenkov, S.V.; Zolotarev, A.A., Jr.; Zhitova, E.S.; Krivovichev, S.V.; Krzhizhanovskaya, M.G. High-temperature behavior of synthetic analogues of scottyite BaCu2Si2O7 and colinowensite BaCuSi2O6. Zap. RMO 2017, 146, 125–134. [Google Scholar]
- Mao, H.K.; Xu, J.; Bell, P.M. Calibration of the ruby pressure gauge to 800 kbar under quasi-hydrostatic conditions. J. Geophys. Res. 1986, 91, 4673–4676. [Google Scholar] [CrossRef]
- Hammersley, A.P.; Svensson, S.O.; Hanfland, M.; Fitch, A.N.; Häusermann, D. Two-Dimensional Detector Software: From Real Detector to Idealised Image or Two-Theta Scan. High Press. Res. 1996, 14, 235–248. [Google Scholar] [CrossRef]
- Novak, G.A.; Colville, A.A. A practical interactive least-squares cell-parameter program using an electronic spreadsheet and a personal computer. Am. Mineral. 1989, 74, 488–490. [Google Scholar]
- Toby, B.H.; Von Dreele, R.B. GSAS-II: The genesis of a modern open-source all purpose crystallography software package. J. Appl. Crystallogr. 2013, 46, 544–549. [Google Scholar] [CrossRef]
- Cannillo, E.; Mazzi, F.; Rossi, G. Crystal structure of andremeyerite, BaFe(Fe,Mn,Mg)Si2O7. Am. Mineral. 1988, 73, 608–612. [Google Scholar]
- Adams, R.D.; Layland, R. Syntheses, structural analyses, and unusual magnetic properties of Ba2CoSi2O7 and BaCo2Si2O7. Inorg. Chem. 1996, 35, 3492–3497. [Google Scholar] [CrossRef]
- Park, C.-H.; Choi, Y.-N. Crystal structure of BaMg2Si2O7 and Eu2+ luminescence. J. Solid State Chem. 2009, 182, 1884–1888. [Google Scholar] [CrossRef]
- Lu, G.X.; Yang, L.Q.; Lin, J.H. One-dimensional magnetic interaction in BaMn2Si2O7. Solid State Commun. 2000, 114, 113–116. [Google Scholar] [CrossRef]
- Lin, J.H.; Lu, G.X.; Du, J.; Su, M.Z.; Loong, C.-K.; Richardson, J.W., Jr. Phase transition and crystal structures of BaZn2Si2O7. J. Phys. Chem. Solids 1999, 60, 975–983. [Google Scholar] [CrossRef]







| Major Raman Bands | ν1 Strong, Sharp; SiO4 Symmetric Stretching | ν2 Very Strong, Sharp; SiO4 Symmetric Bending | ν3 Relatively Weak; SiO4 Anti-symmetric Stretching | ν4 Relatively Strong, Sharp; SiO4 Anti-Symmetric Bending | R2 1 Strong, Sharp; Si-O-Si Bending Mode | R4 1 Strong to Weak; SiO4 Rotational and Translational Modes |
|---|---|---|---|---|---|---|
| Yang et al. [2] | 896 | 459 | 1019, 958, 866 | 612, 578, 560 | 675 | <420 |
| This study | 895 | 458 | 1016, 958, 863 | 608, 579, 560 | 675 | 358, 315, 303, 243, 220, 170, 159, 141, 120, 86, 75 |
| Raman Mode | ν1 | v2 | ν3 | ν4 | R2 | |||||||
|---|---|---|---|---|---|---|---|---|---|---|---|---|
| ν1 | New | New | ν1a | ν2 | ν2a | ν3 | v3a | ν4 | New | ν4a | R2 | |
| <8 GPa slope | 4.27 | - | - | 4.12 | 1.90 | 4.28 | 3.51 | 2.26 | - | 2.09 | 2.68 | |
| 8–12 GPa slope | 5.59 | 5.24 | - | 4.09 | 3.57 | −1.33 | 4.29 | - | −4.68 | - | 2.44 | −3.35 |
| >12 GPa slope | 3.62 | 3.97 | 2.68 | 3.35 | 1.56 | 0.78 | - | - | 1.25 | 1.12 | 1.89 | 1.32 |
| Raman Mode | R4 | |||||||||||||||||
|---|---|---|---|---|---|---|---|---|---|---|---|---|---|---|---|---|---|---|
| New | a | b | c | New | d | New | e | f | g | h | i | j | k | |||||
| c1 | c2 | f1 | f2 | g1 | g2 | j1 | j2 | |||||||||||
| <8 GPa slope | - | 3.14 | 2.44 | 2.31 | - | 1.66 | - | 1.62 | 1.95 | 1.48 | 0.13 | 0.58 | 0.96 | 0.57 | ||||
| 8–12 GPa slope | - | 1.94 | - | 5.78 | −4.27 | - | - | 1.75 | 1.43 | 5.54 | −5.71 | −3.72 | 1.69 | 3.91 | 1.79 | −1.35 | ||
| >12 GPa slope | 1.18 | 1.53 | - | 2.44 | - | 0.92 | - | 1.07 | 1.76 | 0.19 | −0.93 | 0.96 | - | - | 2.35 | 0.95 | 0.12 | |
| Pressure (GPa) | a | b | c | V | a/a0 | b/b0 | c/c0 | V/V0 |
|---|---|---|---|---|---|---|---|---|
| 0.01 | 6.876 | 13.173 | 6.864 | 621.72 | 1 | 1 | 1 | 1 |
| 1.00 | 6.849 | 13.138 | 6.822 | 613.86 | 0.996 | 0.997 | 0.994 | 0.987 |
| 2.00 | 6.81 | 13.140 | 6.817 | 610.01 | 0.990 | 0.997 | 0.993 | 0.981 |
| 2.92 | 6.793 | 13.099 | 6.775 | 602.85 | 0.988 | 0.994 | 0.987 | 0.970 |
| 4.01 | 6.778 | 13.089 | 6.761 | 599.82 | 0.986 | 0.994 | 0.985 | 0.965 |
| 5.02 | 6.766 | 13.063 | 6.74 | 595.71 | 0.984 | 0.992 | 0.982 | 0.958 |
| 5.52 | 6.765 | 13.047 | 6.715 | 592.69 | 0.984 | 0.990 | 0.978 | 0.953 |
| 6.10 | 6.754 | 13.047 | 6.709 | 591.19 | 0.982 | 0.990 | 0.977 | 0.951 |
| 7.20 | 6.730 | 13.028 | 6.685 | 586.13 | 0.979 | 0.989 | 0.974 | 0.943 |
| 8.22 | 6.698 | 12.997 | 6.656 | 579.43 | 0.974 | 0.987 | 0.970 | 0.932 |
| 9.06 | 6.735 | 12.946 | 6.667 | 581.30 | 0.979 | 0.983 | 0.971 | 0.935 |
| 10.08 | 6.703 | 12.897 | 6.723 | 581.19 | 0.975 | 0.979 | 0.979 | 0.935 |
| 11.19 | 6.714 | 12.887 | 6.729 | 582.22 | 0.976 | 0.978 | 0.980 | 0.936 |
| 12.29 | 6.741 | 12.868 | 6.602 | 572.68 | 0.980 | 0.977 | 0.962 | 0.921 |
| 13.14 | 6.723 | 12.835 | 6.583 | 568.05 | 0.978 | 0.974 | 0.959 | 0.914 |
| 14.26 | 6.725 | 12.807 | 6.584 | 567.06 | 0.978 | 0.972 | 0.959 | 0.912 |
| 15.03 | 6.659 | 12.813 | 6.649 | 567.30 | 0.968 | 0.973 | 0.969 | 0.912 |
| 16.06 | 6.66 | 12.859 | 6.653 | 569.77 | 0.969 | 0.976 | 0.969 | 0.916 |
| 16.40 | 6.498 | 12.883 | 6.688 | 559.88 | 0.945 | 0.978 | 0.974 | 0.901 |
| Unloading | ||||||||
| 12.29 | 6.752 | 12.935 | 6.612 | 577.47 | 0.982 | 0.982 | 0.963 | 0.929 |
| 8.05 | 6.737 | 13.002 | 6.684 | 585.48 | 0.980 | 0.987 | 0.974 | 0.942 |
| 6.12 | 6.739 | 13.014 | 6.693 | 586.99 | 0.980 | 0.988 | 0.975 | 0.944 |
| 4.02 | 6.763 | 13.075 | 6.758 | 597.58 | 0.984 | 0.993 | 0.985 | 0.961 |
| 1.08 | 6.833 | 13.170 | 6.813 | 613.11 | 0.994 | 1.000 | 0.993 | 0.986 |
| 0.01 | 6.878 | 13.188 | 6.864 | 622.61 | 1.000 | 1.001 | 1.000 | 1.001 |
| Chemical Formula | Space Group | Unit-Cell Parameters | Si-O-Si (°) | |||
|---|---|---|---|---|---|---|
| a | b | c | β | |||
| BaFe2Si2O7 [14] | P21/c | 7.488 | 13.785 | 7.085 | 118.23 | 127.2 |
| BaCo2Si2O7 [15] | C2/c | 7.213 | 12.781 | 13.762 | 90.299 | 124.5 |
| BaMg2Si2O7 [16] | C2/c | 7.246 | 12.714 | 13.748 | 90.211 | 125.2 |
| BaMn2Si2O 7 [17] | C2/c | 7.295 | 12.963 | 14.032 | 90.248 | no data |
| BaZn2Si2O7-25 °C [18] | C2/c | 7.278 | 12.801 | 13.687 | 90.093 | 124.8 |
Publisher’s Note: MDPI stays neutral with regard to jurisdictional claims in published maps and institutional affiliations. |
© 2021 by the authors. Licensee MDPI, Basel, Switzerland. This article is an open access article distributed under the terms and conditions of the Creative Commons Attribution (CC BY) license (https://creativecommons.org/licenses/by/4.0/).
Share and Cite
Lee, P.-L.; Huang, E.; Kung, J. High-Pressure Raman Spectroscopy and X-ray Diffraction Study on Scottyite, BaCu2Si2O7. Minerals 2021, 11, 608. https://doi.org/10.3390/min11060608
Lee P-L, Huang E, Kung J. High-Pressure Raman Spectroscopy and X-ray Diffraction Study on Scottyite, BaCu2Si2O7. Minerals. 2021; 11(6):608. https://doi.org/10.3390/min11060608
Chicago/Turabian StyleLee, Pei-Lun, Eugene Huang, and Jennifer Kung. 2021. "High-Pressure Raman Spectroscopy and X-ray Diffraction Study on Scottyite, BaCu2Si2O7" Minerals 11, no. 6: 608. https://doi.org/10.3390/min11060608
APA StyleLee, P.-L., Huang, E., & Kung, J. (2021). High-Pressure Raman Spectroscopy and X-ray Diffraction Study on Scottyite, BaCu2Si2O7. Minerals, 11(6), 608. https://doi.org/10.3390/min11060608

