Experimental Study on Influence of Al2O3, CaO and SiO2 on Preparation of Zinc Ferrite
Abstract
1. Introduction
2. Materials and Methods
- (1)
- According to the molar ratio of reactants, the appropriate amount of analytically pure zinc oxide and iron oxide, as well as different amounts of alumina, calcium oxide, and silicon oxide were weighed and mixed by ultrasonic oscillation, and then poured into the zirconium tank of planetary mill.
- (2)
- Put the zirconium ball into the zirconium tank, cover the tank cover, put it into the slot symmetrically, set the rotation speed and time of the planetary mill, and carry out the mechanical activation pretreatment of the material at different times.
- (3)
- The pretreated materials were taken out and put into the ceramic crucible. The roasting test was conducted under different roasting times and temperatures, and finally the zinc ferrite product was obtained.
3. Results and Discussion
3.1. Effect of Al2O3 on Preparation of Zinc Ferrite
3.1.1. XRD Analysis of Roasted Products
3.1.2. SEM Analysis
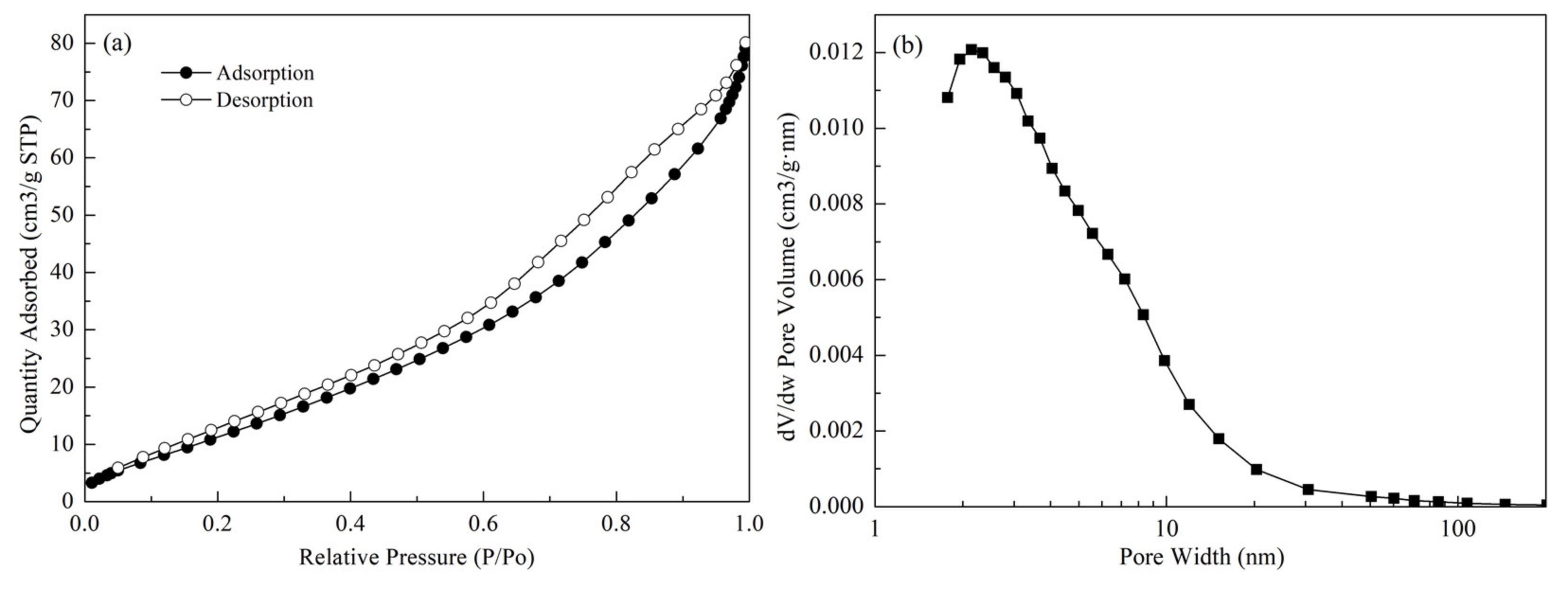
3.1.3. BET Analysis
3.2. Effect of CaO on Preparation of Zinc Ferrite
3.2.1. XRD Analysis of Roasted Products
3.2.2. SEM Analysis
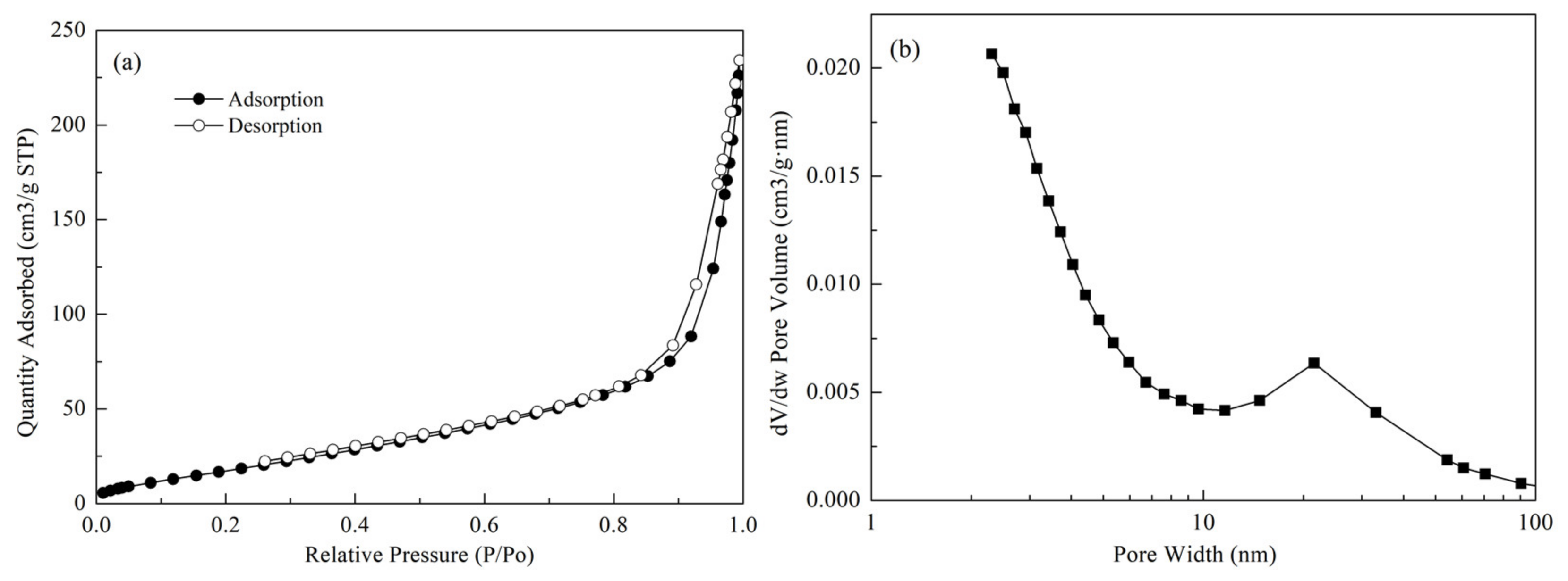
3.2.3. BET Analysis
3.3. Effect of SiO2 on Preparation of Zinc Ferrite
3.3.1. XRD Analysis of Roasted Products
3.3.2. SEM Analysis
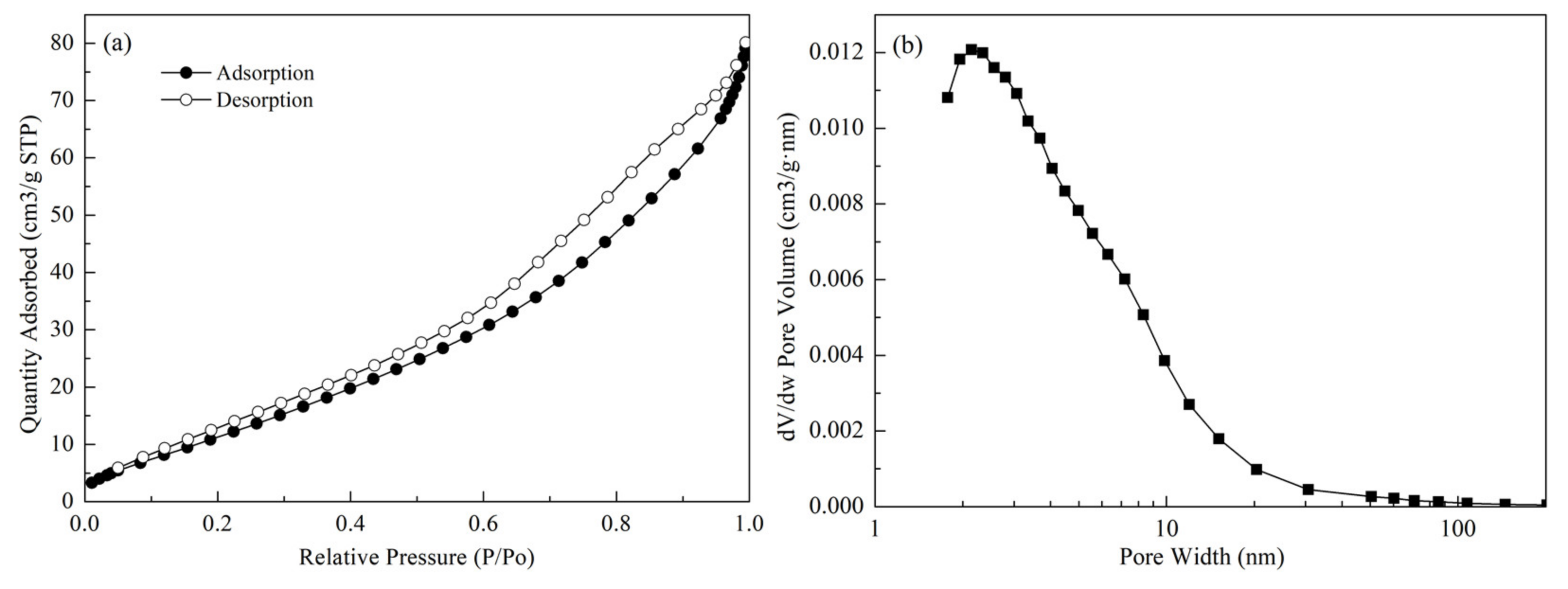
3.3.3. BET Analysis
4. Conclusions
Author Contributions
Funding
Institutional Review Board Statement
Informed Consent Statement
Data Availability Statement
Conflicts of Interest
References
- Xue, C.J.; Qi, S.J.; Yi, H.M. Basic Ore Deposit Science; Geological Publishing House: Beijing, China, 2006. (In Chinese) [Google Scholar]
- Hayes, S.M.; Root, R.A.; Perdrial, N. Surficial weathering of iron sulfide mine tailings under semi-arid climate. Geochim. Cosmochim. Acta 2014, 141, 240–257. [Google Scholar] [CrossRef]
- Sánchez, L.; Cruells, M.; Roca, A. Sulphidization-cyanidation of jarosite species: Applicability to the gossan ores of Rio Tinto. Hydrometallurgy 1996, 1, 35–49. [Google Scholar] [CrossRef]
- Celep, O.; Serbest, V. Characterization of an iron oxy/hydroxide (gossan type) bearing refractory gold and silver ore by diagnostic leaching. Trans. Nonferrous Metals Soc. China 2015, 4, 1286–1297. [Google Scholar] [CrossRef]
- Li, J.M. Experimental study on cyanidation leaching of a gossan type gold silver ore in Qinghai. Gold Sci. Technol. 2015, 5, 88–93. (In Chinese) [Google Scholar]
- Chen, S.P.; Wang, C. Comprehensive recovery of copper, gold and iron from Qinghai Derni gossan ore and high sulfur semi oxide ore. Hydrometallurgy 2016, 4, 311–315. (In Chinese) [Google Scholar]
- Yang, J.L.; Zhang, H.M.; Feng, J.P.; Ma, S.J.; Su, X.J. An Investigation for Recovering Zinc and Iron from Gossan. Adv. Mater. Res. 2013, 826, 10–13. [Google Scholar] [CrossRef]
- Yang, J.L.; Ma, S.J.; Mo, W.; Feng, J.P.; Su, X.J.; Wang, G.F. Study on Recovering Zinc from Gossan. Adv. Mater. Res. 2012, 454, 329–332. [Google Scholar] [CrossRef]
- Bernardi, M.I.B.; Candeia, R.A.; Longo, E. Synthesis and characterization of spinel pigment CaFe2O4 obtained by the polymeric precursor method. Mater. Lett. 2004, 5, 569–572. [Google Scholar]
- Wang, H.; Di, Y.P.; Xu, L.H. Preparation of zinc ferrite photocatalyst powder from Dachang tin ore in Guangxi. Rare Met. Mater. Eng. 2008, 2, 394–397. (In Chinese) [Google Scholar]
- Xing, Z.; Ju, Z.; Yang, J. One-step hydrothermal synthesis of ZnFe2O4, nano-octahedrons as a high capacity anode material for Li-ion batteries. Nano Res. 2012, 7, 477–485. (In Chinese) [Google Scholar] [CrossRef]
- Mohai, I.; Szépvölgyi, J.; Bertóti, I. Thermal plasma synthesis of zinc ferrite nanopowders. Solid State Ion 2001, 141, 163–168. [Google Scholar] [CrossRef]
- Wu, Y.Y.; Jing, F.L.; Luo, S.Z. CuZnAl mixed-metal oxides prepared by a novel sol-gel route and the application for synthesis of 2-methylpyrazine. J. Sol Gel Sci. Technol. 2011, 1, 142–147. (In Chinese) [Google Scholar] [CrossRef]
- Córdoba, P. Status of Flue Gas Desulphurisation (FGD) systems from coal-fired power plants: Overview of the physic-chemical control processes of wet limestone FGDs. Fuel 2015, 144, 274–286. [Google Scholar] [CrossRef]
- Li, Q.; Zhuang, L.; Chen, S. Preparation of Carbon-Supported Zinc Ferrite and Its Performance in the Catalytic Degradation of Mercaptan. Energy Fuels 2012, 12, 7092–7098. [Google Scholar] [CrossRef]
- Shi, X.B.; Tan, J.; Liang, H.Z. Preparation and catalytic performance of zinc ferrite nanoparticles. Chem. World 2002, 9, 21–221. (In Chinese) [Google Scholar]
- Shinoda, K.; Liang, S.; Sampath, S. Processing effects on in-flight particle state and functional coating properties of plasma-sprayed manganese zinc ferrite. Mater. Sci. Eng. B 2011, 1, 22–31. [Google Scholar] [CrossRef]
- Kundu, A.; Anand, S.; Verma, H.C. Acitrate process to synthesize nanocrystalline zinc ferrite from 7 to 23 nm crystallite size. Powder Technol. 2003, 132, 131–136. [Google Scholar] [CrossRef]
- Yoo, P.S.; Bo, W.L.; Liu, C. Effects of pH value, Reaction time, and Filling Pressure on the Hydrothermal Syntheswas of ZnFe2O4 nanoparticles. IEEE Trans. Magn. 2015, 11, 1–4. [Google Scholar]
- Yao, X.; Kong, J.; Zhao, C. Zinc ferrite nanorods coated with polydopamine-derived carbon for high-rate lithium ion batteries. Electrochim. Acta 2014, 146, 464–471. [Google Scholar] [CrossRef]
- Yang, H.; Qi, D.Z.; Moses, T. Facile syntheswas and characterization of ZnFe2O4/α-Fe2O3, composite hollow nanospheres. Mater. Res. Bull. 2011, 12, 2235–2239. [Google Scholar]
- Chen, Z.P.; Fang, W.Q.; Zhang, B. High-yield synthesis and magnetic properties of ZnFe2O4, single crystal nanocubes in aqueous solution. Cheminform 2013, 10, 348–352. [Google Scholar] [CrossRef]
- Berbenni, V.; Milanese, C.; Bruni, G.; Marini, A.; Pallecchi, I. Synthsis and magnetic properties of ZnFe2O4 obtained by menchanochemically assisted low—Temperature annealing of mixtures of Zn and Fe oxalates. Thermochim. Acta 2006, 44, 184–489. [Google Scholar] [CrossRef]
- Cai, C.; Zhang, Z.; Liu, J. Vwasible light-assisted heterogeneous Fenton with ZnFe2O4, for the degradation of Orange II in water. Appl. Catal. B Environ. 2016, 182, 456–468. [Google Scholar] [CrossRef]
- Niu, X.S.; Liu, Y.L.; Xu, J.Q.; Jiang, K. Solid state synthesis and gas sensing properties of ZnFe2O4 nanopowders at room temperature. Funct. Mater. 2002, 33, 413–417. (In Chinese) [Google Scholar]
- Archana, S.; Ajendra, S.; Satyendra, S.; Poonam, T.; Yadav, B.C.; Yadav, R.R. Synthesis, characterization and performance of zinc ferrite nanorods for room temperature sensing applications. J. Allys Compd. 2014, 618, 475–483. [Google Scholar]
- Deraz, N.M.; Abd-Elkader, O.H. Fabrication and Characterization of ZnFe2O4/ZnO Based Anticorrosion Pigments. Int. J. Electrochem. Sci. 2015, 10, 7103–7110. [Google Scholar]
- Tadjarodi, A.; Salehi, M.; Imani, M. Innovative one pot syntheswas method of the magnetic zinc ferrite nanoparticles with a superior adsorption performance. Mater. Lett. 2015, 152, 57–59. [Google Scholar] [CrossRef]
- Yang, J.L. Separation and Recovery of Zinc and Iron from Gossan Ore; Guangxi University: Nanning, China, 2012. (In Chinese) [Google Scholar]









| Reactant Ratio | Activation Time/min | Roasting Temperature /°C | Roasting Time/min | ZnO | Fe2O3 | Al2O3 | ZnFe2O4 | ZnAl2O4 |
|---|---|---|---|---|---|---|---|---|
| 1:1:0.5 | 60 | 750 | 120 | 0.6 | 6.6 | - | 91.0 | 1.8 |
| 1:1:1 | 0.5 | 9.4 | - | 88.1 | 2.0 | |||
| 1:1:1.5 | 0.7 | 12.1 | - | 84.5 | 2.7 | |||
| 0.5:1:1 | - | 47.9 | - | 50.4 | 1.7 | |||
| Activation Time/min | Reactant Ratio | Roasting Temperature /°C | Roasting Time/min | ZnO | Fe2O3 | Al2O3 | ZnFe2O4 | ZnAl2O4 |
| 30 | 1:1:1 | 750 | 120 | 0.3 | 6.5 | - | 91.6 | 1.5 |
| 60 | 0.5 | 9.4 | - | 87.2 | 2.5 | |||
| 90 | 1.3 | 11.3 | - | 84.6 | 2.8 | |||
| 120 | 0.6 | 12.3 | - | 83.6 | 3.6 | |||
| Roasting Temperature /°C | Reactant Ratio | Activation time/min | Roasting Time/min | ZnO | Fe2O3 | ZnFe2O4 | ZnAl2O4 | FeAl2O4 |
| 650 | 1:1:1 | 60 | 120 | 5.8 | 18.3 | 75.2 | 0.7 | - |
| 750 | 1.4 | 10.7 | 84.5 | 3.4 | - | |||
| 850 | - | 22.3 | 70.3 | 7.4 | - | |||
| 950 | - | 32.8 | 54.0 | - | 13.2 | |||
| Roasting Time/min | Reactant Ratio | Roasting Temperature /°C | Activation Time/min | ZnO | Fe2O3 | Al2O3 | ZnFe2O4 | ZnAl2O4 |
| 60 | 1:1:1 | 750 | 60 | 2.1 | 12.0 | - | 83.3 | 2.6 |
| 120 | 1.2 | 10.1 | - | 86.0 | 2.7 | |||
| 180 | 1.0 | 12.3 | - | 84.1 | 2.6 | |||
| 240 | 0.8 | 13.9 | - | 83.1 | 2.2 |
Publisher’s Note: MDPI stays neutral with regard to jurisdictional claims in published maps and institutional affiliations. |
© 2021 by the authors. Licensee MDPI, Basel, Switzerland. This article is an open access article distributed under the terms and conditions of the Creative Commons Attribution (CC BY) license (https://creativecommons.org/licenses/by/4.0/).
Share and Cite
Yang, J.; Xu, S.; Zhou, W.; Zhu, P.; Liu, J.; Ma, S. Experimental Study on Influence of Al2O3, CaO and SiO2 on Preparation of Zinc Ferrite. Minerals 2021, 11, 396. https://doi.org/10.3390/min11040396
Yang J, Xu S, Zhou W, Zhu P, Liu J, Ma S. Experimental Study on Influence of Al2O3, CaO and SiO2 on Preparation of Zinc Ferrite. Minerals. 2021; 11(4):396. https://doi.org/10.3390/min11040396
Chicago/Turabian StyleYang, Jinlin, Shuo Xu, Wentao Zhou, Pengyan Zhu, Jiguang Liu, and Shaojian Ma. 2021. "Experimental Study on Influence of Al2O3, CaO and SiO2 on Preparation of Zinc Ferrite" Minerals 11, no. 4: 396. https://doi.org/10.3390/min11040396
APA StyleYang, J., Xu, S., Zhou, W., Zhu, P., Liu, J., & Ma, S. (2021). Experimental Study on Influence of Al2O3, CaO and SiO2 on Preparation of Zinc Ferrite. Minerals, 11(4), 396. https://doi.org/10.3390/min11040396

