Effect of the Long-Term Application of Sewage Sludge to A Calcareous Soil on Its Total and Bioavailable Content in Trace Elements, and Their Transfer to the Crop
Abstract
1. Introduction
2. Materials and Methods
2.1. Site Description
2.2. Experimental Design
2.3. Sewage Sludge Characteristics and Application
2.4. Soil and Crops Sampling
2.5. Analytical Methods
2.5.1. Total Concentration in TM in Soil and Crop Samples
2.5.2. Extraction with DTPA of Soil Samples
2.5.3. Trace Metals Determination
2.6. Statistical Analysis
3. Results
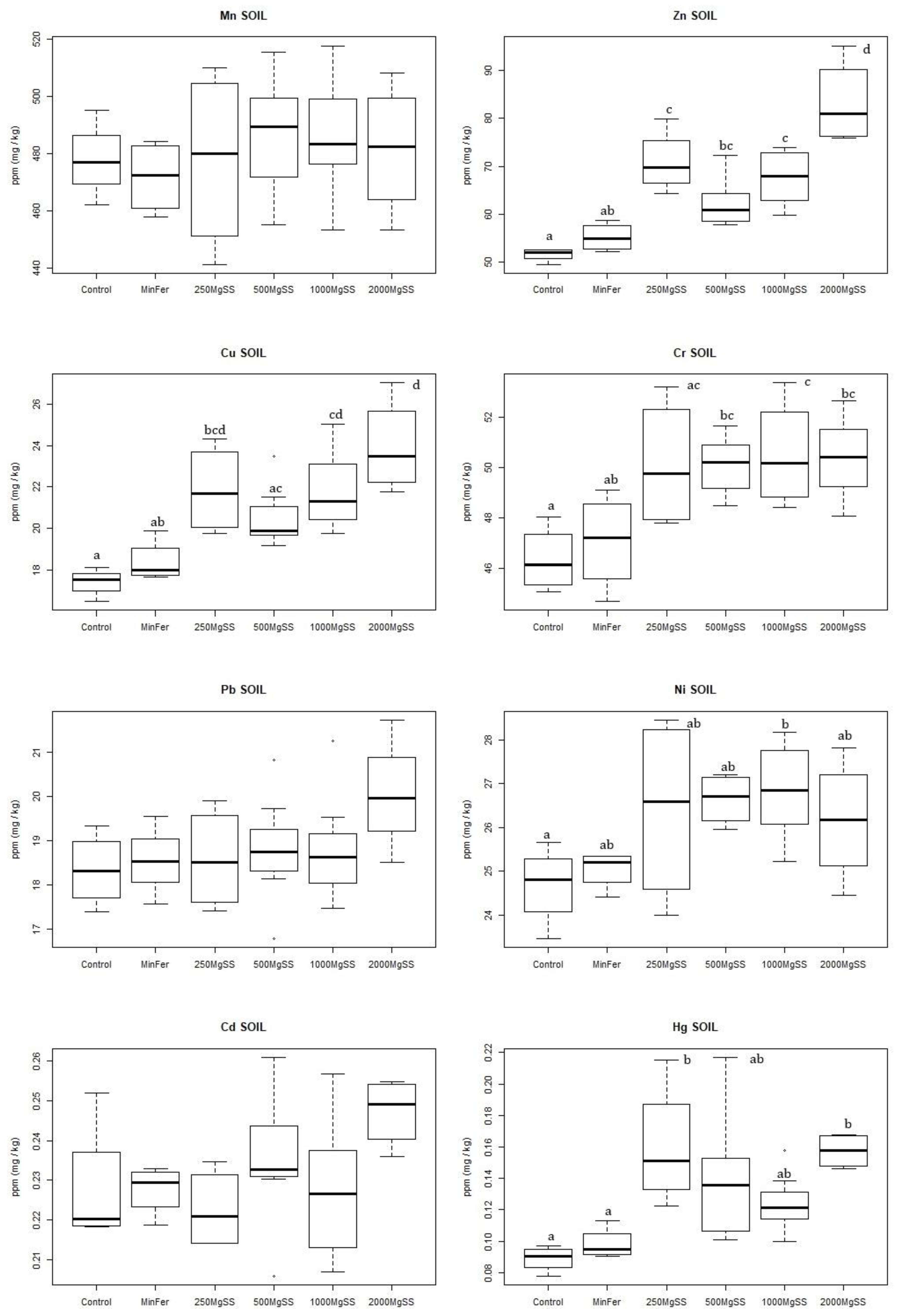
3.1. Total Concentration of Trace Metals in Soil
3.2. Concentration of DTPA-Extracted Trace Metals in Soil
3.3. Concentration of Trace Metals in Barley Grain and Straw
4. Discussion
4.1. Influence of Sewage Sludge in Total and DTPA-Extracted Concentrations of Trace Metals in Soil
4.1.1. Total TM Concentrations in Soil
4.1.2. DTPA-Extractable TM Concentrations in Soil
4.2. Concentration of TM in Barley
5. Conclusions
Supplementary Materials
Author Contributions
Funding
Data Availability Statement
Acknowledgments
Conflicts of Interest
References
- Ministerio de la Presidencia, Relaciones con las Cortes y Memoria Democrática. Ley 22/2011, de 28 de Julio, de Residuos y Suelos Contaminados; Agencia Estatal Boletín Oficial del Estado: Madrid, España, 2011; Número 181; pp. 85650–85705. (In Spanish)
- Ministerio de agricultura pesca y alimentación. Resolución de 8 de Octubre de 2015; Agencia Estatal Boletín Oficial del Estado: Madrid, España, 2015; Número 253; pp. 99107–99116. (In Spanish)
- McBride, M.B. Toxic metals in sewage sludge-amended soils: Has promotion of beneficial use discounted the risks? Adv. Environ. Res. 2003, 8, 5–19. [Google Scholar] [CrossRef]
- Singh, R.P.; Agrawal, M. Potential benefits and risks of land application of sewage sludge. Waste Manag. 2008, 28, 347–358. [Google Scholar] [CrossRef]
- Roig, N.; Sierra, J.; Martí, E.; Nadal, M.; Schuhmacher, M.; Domingo, J.L. Long-term amendment of Spanish soils with sewage sludge: Effects on soil functioning. Agric. Ecosyst. Environ. 2012, 158, 41–48. [Google Scholar] [CrossRef]
- Alvarenga, P.; Mourinha, C.; Farto, M.; Santos, T.; Palma, P.; Sengo, J.; Morais, M.C.; Cunha-Queda, C. Sewage sludge, compost and other representative organic wastes as agricultural soil amendments: Benefits versus limiting factors. Waste Manag. 2015, 40, 44–52. [Google Scholar] [CrossRef] [PubMed]
- Latare, A.M.; Kumar, O.; Singh, S.K.; Gupta, A. Direct and residual effect of sewage sludge on yield, heavy metals content and soil fertility under rice-wheat system. Ecol. Eng. 2014, 69, 17–24. [Google Scholar] [CrossRef]
- Lloret, E.; Pascual, J.A.; Brodie, E.L.; Bouskill, N.J.; Insam, H.; Juárez, M.F.D.; Goberna, M. Sewage sludge addition modifies soil microbial communities and plant performance depending on the sludge stabilization process. Appl. Soil Ecol. 2016, 101, 37–46. [Google Scholar] [CrossRef]
- Parat, C.; Chaussod, R.; Lévêque, J.; Andreux, F. Long-term effects of metal-containing farmyard manure and sewage sludge on soil organic matter in a fluvisol. Soil Biol. Biochem. 2005, 37, 673–679. [Google Scholar] [CrossRef]
- Börjesson, G.; Kirchmann, H.; Kätterer, T. Four Swedish long-term field experiments with sewage sludge reveal a limited effect on soil microbes and on metal uptake by crops. J. Soils Sediments 2014, 14, 164–177. [Google Scholar] [CrossRef]
- Urra, J.; Alkorta, I.; Mijangos, I.; Epelde, L.; Garbisu, C. Application of sewage sludge to agricultural soil increases the abundance of antibiotic resistance genes without altering the composition of prokaryotic communities. Sci. Total Environ. 2019, 647, 1410–1420. [Google Scholar] [CrossRef]
- Hamdi, H.; Hechmi, S.; Khelil, M.N.; Zoghlami, I.R.; Benzarti, S.; Mokni-Tlili, S.; Hassen, A.; Jedidi, N. Repetitive land application of urban sewage sludge: Effect of amendment rates and soil texture on fertility and degradation parameters. Catena 2019, 172, 11–20. [Google Scholar] [CrossRef]
- Chiba, M.K.; Mattiazzo, M.E.; Oliveira, F.C. Sugarcane cultivation in a sewage-sludge treated ultisol. I—Soil nitrogen availability and plant yield. Rev. Bras. Cienc. Solo 2008, 32, 643–652. [Google Scholar] [CrossRef][Green Version]
- López-Rayo, S.; Laursen, K.H.; Lekfeldt, J.D.S.; Delle Grazie, F.; Magid, J. Long-term amendment of urban and animal wastes equivalent to more than 100 years of application had minimal effect on plant uptake of potentially toxic elements. Agric. Ecosyst. Environ. 2016, 231, 44–53. [Google Scholar] [CrossRef]
- Alloway, B.J.; Jackson, A.P. The behaviour of heavy metals in sewage sludge-amended soils. Sci. Total Environ. 1991, 100, 151–176. [Google Scholar] [CrossRef]
- Iglesias, M.; Marguí, E.; Camps, F.; Hidalgo, M. Extractability and crop transfer of potentially toxic elements from mediterranean agricultural soils following long-term sewage sludge applications as a fertilizer replacement to barley and maize crops. Waste Manag. 2018, 75, 312–318. [Google Scholar] [CrossRef] [PubMed]
- Marguí, E.; Iglesias, M.; Camps, F.; Sala, L.; Hidalgo, M. Long-term use of biosolids as organic fertilizers in agricultural soils: Potentially toxic elements occurrence and mobility. Environ. Sci. Pollut. Res. 2016, 23, 4454–4464. [Google Scholar] [CrossRef] [PubMed]
- Moolenaar, S.W.; Beltrami, P. Heavy metal balances of an Italian soil as affected by sewage sludge and bordeaux mixture applications. J. Environ. Qual. 1998, 27, 828–835. [Google Scholar] [CrossRef]
- Gascó, G.; Lobo, M.C.; Guerrero, F. Land application of sewage sludge: A soil columns study. Water SA 2005, 31, 309–318. [Google Scholar] [CrossRef][Green Version]
- Toribio, M.; Romanyà, J. Leaching of heavy metals (Cu, Ni and Zn) and organic matter after sewage sludge application to Mediterranean forest soils. Sci. Total Environ. 2006, 363, 11–21. [Google Scholar] [CrossRef]
- Cameron, K.C.; Di, H.J.; McLaren, R.G. Is soil an appropriate dumping ground for our wastes? Aust. J. Soil Res. 1997, 35, 995–1035. [Google Scholar] [CrossRef]
- Smith, S.R. A critical review of the bioavailability and impacts of heavy metals in municipal solid waste composts compared to sewage sludge. Environ. Int. 2009, 35, 142–156. [Google Scholar] [CrossRef] [PubMed]
- Yoshida, H.; ten Hoeve, M.; Christensen, T.H.; Bruun, S.; Jensen, L.S.; Scheutz, C. Life cycle assessment of sewage sludge management options including long-term impacts after land application. J. Clean. Prod. 2018, 174, 538–547. [Google Scholar] [CrossRef]
- Sharma, S.; Sharma, P.; Bhattacharyya, A.K. Accumulation of Heavy Metals in Wheat (Triticum aestivum L.) Seedlings Grown in Soils Amended with Electroplating Industrial Sludge. Commun. Soil Sci. Plant Anal. 2010, 41, 2505–2516. [Google Scholar] [CrossRef]
- Collivignarelli, M.; Abbà, A.; Frattarola, A.; Carnevale Miino, M.; Padovani, S.; Katsoyiannis, I.; Torretta, V. Legislation for the Reuse of Biosolids on Agricultural Land in Europe: Overview. Sustainability 2019, 11, 6015. [Google Scholar] [CrossRef]
- Ministerio de agricultura pesca y alimentación. Real Decreto 1310/1990U, de 29 de Octubre, por el que se Regula la Utilización de los Lodos de Depuración en el Sector Agrario; Agencia Estatal Boletín Oficial del Estado: Madrid, España, 1990; Número 262; pp. 32339–32340. (In Spanish)
- European Commission. Council Directive of 12 June 1986 on The Protection of The Environment, and in Particular of The Soil, When Sewage Sludge is Used in Agriculture; Official Journal of the European Communities: Aberdeen, UK, 1986; Volume 181, pp. 6–12. [Google Scholar]
- European Commission. Directive 2002/32/EC of the European Parliament and of the Council of 7 May 2002 on Undesirable Substances in Animal Feed; Official Journal of the European Communities: Aberdeen, UK, 2002; Volume 140, pp. 10–22. [Google Scholar]
- European Commission. Commission Regulation (EC) No. 1881/2006 of 19 December 2006 Setting Maximum Levels for Certain Contaminants in Foodstuffs; Official Journal of the European Communities: Aberdeen, UK, 2006; Volume 364, pp. 5–24. [Google Scholar]
- Kacprzak, M.; Neczaj, E.; Fijałkowski, K.; Grobelak, A.; Grosser, A.; Worwag, M.; Rorat, A.; Brattebo, H.; Almås, Å.; Singh, B.R. Sewage sludge disposal strategies for sustainable development. Environ. Res. 2017, 156, 39–46. [Google Scholar] [CrossRef] [PubMed]
- Campbell, H.W. Sludge management—Future issues and trends. Water Sci. Technol. 2000, 41, 1–8. [Google Scholar] [CrossRef]
- Börjesson, G.; Menichetti, L.; Kirchmann, H.; Kätterer, T. Soil microbial community structure affected by 53 years of nitrogen fertilisation and different organic amendments. Biol. Fertil. Soils 2012, 48, 245–257. [Google Scholar] [CrossRef]
- Hamnér, K.; Kirchmann, H. Trace element concentrations in cereal grain of long-term field trials with organic fertilizer in Sweden. Nutr. Cycl. Agroecosyst. 2015, 103, 347–358. [Google Scholar] [CrossRef]
- Cambier, P.; Michaud, A.; Paradelo, R.; Germain, M.; Mercier, V.; Guérin-Lebourg, A.; Revallier, A.; Houot, S. Trace metal availability in soil horizons amended with various urban waste composts during 17 years—Monitoring and modelling. Sci. Total Environ. 2019, 651, 2961–2974. [Google Scholar] [CrossRef]
- Jamali, M.K.; Kazi, T.G.; Arain, M.B.; Afridi, H.I.; Jalbani, N.; Kandhro, G.A.; Shah, A.Q.; Baig, J.A. Heavy metal accumulation in different varieties of wheat (Triticum aestivum L.) grown in soil amended with domestic sewage sludge. J. Hazard. Mater. 2009, 164, 1386–1391. [Google Scholar] [CrossRef]
- Naidu, R.; Rogers, S.; Gupta, V.V.S.R.; Kookana, R.S.; Bolan, N.S.; Adriano, D. Bioavailability of metals in the soil-plant environment and its potential role in risk assessment. In Bioavailability, Toxicity, and Risk Relationship in Ecosystems; Naidu, R., Rogers, S., Gupta, V.V.S.R., Kookana, R.S., Bolan, N.S., Adriano, D., Eds.; Science Publishers: Enfield, NH, USA, 2003; pp. 21–59. [Google Scholar]
- Madrid, F.; López, R.; Cabrera, F. Metal accumulation in soil after application of municipal solid waste compost under intensive farming conditions. Agric. Ecosyst. Environ. 2007, 119, 249–256. [Google Scholar] [CrossRef]
- Karami, M.; Afyuni, M.; Rezainejad, Y.; Schulin, R. Heavy metal uptake by wheat from a sewage sludge-amended calcareous soil. Nutr. Cycl. Agroecosystems 2009, 83, 51–61. [Google Scholar] [CrossRef]
- Morera, M.T.; Echeverría, J.C.; Garrido, J.J. Mobility of heavy metals in soils amended with sewage sludge. Can. J. Soil Sci. 2001, 81, 405–414. [Google Scholar] [CrossRef]
- Nogueirol, R.C.; De Melo, W.J.; Alleoni, L.R.F. Testing extractants for Cu, Fe, Mn, and Zn in tropical soils treated with sewage sludge for 13 consecutive years. Water Air Soil Pollut. 2013, 224, 1–13. [Google Scholar] [CrossRef]
- Dhanker, R.; Chaudhary, S.; Bhatia, T.; Goyal, S. Impact of Long Term Application of Municipal Solid Waste on Physicochemical and Microbial Parameters and Heavy Metal Distribution in Soils in Accordance to Its Agricultural Uses. Int. J. Agric. Biosyst. Eng. 2017, 11, 351–359. [Google Scholar]
- Naidu, R.; Kookana, R.S.; Sumner, M.E.; Harter, R.D.; Tiller, K.G. Cadmium Sorption and Transport in Variable Charge Soils: A Review. J. Environ. Qual. 1997, 26, 602–617. [Google Scholar] [CrossRef]
- Achiba, W.B.; Lakhdar, A.; Gabteni, N.; Du Laing, G.; Verloo, M.; Boeckx, P.; Van Cleemput, O.; Jedidi, N.; Gallali, T. Accumulation and fractionation of trace metals in a Tunisian calcareous soil amended with farmyard manure and municipal solid waste compost. J. Hazard. Mater. 2010, 176, 99–108. [Google Scholar] [CrossRef]
- Raikhy, N.P.; Takkar, P.N. Zinc and Copper Adsorption by a Soil with and without Removal of Carbonates. J. Indian Soc. Soil Sci. 1983, 31, 611–614. [Google Scholar]
- Smith, S.R. Effect of soil pH on availability to crops of metals in sewage sludge-treated soils. I. Nickel, copper and zinc uptake and toxicity to ryegrass. Environ. Pollut. 1994, 85, 321–327. [Google Scholar] [CrossRef]
- FAO-UNESCO Soil Map of the World. Available online: http://www.fao.org/soils-portal/data-hub/soil-maps-and-databases/faounesco-soil-map-of-the-world/en/.# (accessed on 24 November 2020).
- Thornthwaite, C.W. An approach towards a rational classification of climate. Geogr. Rev. 1948, 38, 55–94. [Google Scholar] [CrossRef]
- Gobierno de Navarra Mapa de Estaciones. Available online: http://meteo.navarra.es/estaciones/mapadeestaciones.cfm# (accessed on 12 December 2020).
- Hendershot, W.H.; Lalande, H. Chapter 16. Soil Reactionand Exchangeable Acidity. In Soil Sampling and Methods of Analysis; Carter, M.R., Ed.; CRC Press LLC: Boca Raton, FL, USA, 1993; pp. 141–142. [Google Scholar]
- Pansu, M.; Gautheyrou, J. Chapter 18. Soluble Salts. In Handbook of Soil Analysis. Mineralogical, Organic and Inorganic Methods; Springer Netherlands: Dordrecht, The Netherlands, 2003; pp. 608–609. [Google Scholar]
- Culley, J.L.B. Chapter 50. Density and Compressibility. In Soil Sampling and Methods of Analysis; Carter, M., Ed.; CRC Press LLC: Boca Raton, FL, USA, 1993; pp. 530–533. [Google Scholar]
- Pansu, M.; Gautheyrou, J. Chapter 17. Carbonates. In Handbook of Soil Analysis. Mineralogical, Organic and Inorganic Methods; Springer Netherlands: Dordrecht, The Netherlands, 2003; pp. 593–601. [Google Scholar]
- Tiessen, H.; Moir, J.O. Chapter 21. Total and Organic Carbon. In Soil Sampling and Methods of Analysis; Carter, M., Ed.; CRC Press LLC: Boca Raton, FL, USA, 1993; pp. 187–191. [Google Scholar]
- AENOR. Alimentos para animales. Métodos de Muestreo y Análisis. Determinación de Elementos Traza, Metales Pesados y Otros Elementos en los Alimentos Para Animales por ICP-MS (UNE-EN 17053); Asociación Española de Normalización: Génova, Madrid, 2018. (In Spanish) [Google Scholar]
- U.S. EPA. Method 3051A (SW-846): Microwave Assisted Acid Digestion of Sediments, Sludges, and Oils, Revision 1; United States Environmental Protection Agency: Washington, DC, USA, 2007.
- Pansu, M.; Gautheyrou, J. Chapter 29. Phosphorus. In Handbook of Soil Analysis. Mineralogical, Organic and Inorganic Methods; Springer Netherlands: Dordrecht, The Netherlands, 2003; p. 809. [Google Scholar]
- Pansu, M.; Gautheyrou, J. Chapter 26. Cation Exchange Capacity. In Handbook of Soil Analysis. Mineralogical, Organic and Inorganic Methods; Springer Netherlands: Dordrecht, The Netherlands, 2003; pp. 732–738. [Google Scholar]
- Instituto Nacional de Estadística INE. Available online: https://www.ine.es/ (accessed on 12 December 2020).
- Ministerio de la Presidencia, Relaciones con las Cortes y Memoria Democrática. Orden de 17 de Septiembre de 1981 por la que se Establecen Métodos Oficiales de Análisis de Aceites y Grasas, Aguas, Carnes y Productos Cárnicos, Fertilizantes, Productos Fitosanitarios, Leche y Productos Lácteos, Piensos y sus Primeras Materias, Producto; Agencia Estatal Boletín Oficial del Estado: Madrid, España, 1981; Número 246; pp. 24003–24034. (In Spanish)
- McGill, W.B.; Figueiredo, C.T. Chapter 22. Total Nitrogen. In Soil Sampling and Methods of Analysis; Carter, M., Ed.; CRC Press LLC: Boca Raton, FL, USA, 1993; pp. 201–207. [Google Scholar]
- U.S. EPA. Method 3052 (SW-846): Microwave Assisted Acid Digestion of Siliceous and Organically Based Matrices; United States Environmental Protection Agency: Washington, DC, USA, 1996.
- AENOR. Calidad del suelo. Extracción de Oligoelementos con una Disolución Tampón de ADTP (UNE 77315:2001); Asociación Española de Normalización: Génova, Madrid, 2001. (In Spanish) [Google Scholar]
- ISO. Soil Quality—Extraction of Trace Elements by Buffered DTPA Solution; ISO: Geneva, Switzerland, 2001. [Google Scholar]
- González, D.; Almendros, P.; Álvarez, J.M. Metodos de analisis de elementos en suelos: Disponibilidad y fraccionamiento. An. Real Soc. Española Química 2009, 105, 205–212. [Google Scholar]
- Yang, Y.; Wang, Y.; Westerhoff, P.; Hristovski, K.; Jin, V.L.; Johnson, M.V.V.; Arnold, J.G. Metal and nanoparticle occurrence in biosolid-amended soils. Sci. Total Environ. 2014, 485–486, 441–449. [Google Scholar] [CrossRef]
- Gobierno de Navarra. Orden Foral 359/2010, de 26 de Julio, de la Consejera de Desarrollo Rural y Medio Ambiente, por la que se Regula la Utilización de Lodos de Depuración en la Agricultura de la Comunidad Foral de Navarra; Boletín Oficial de Navarra: Navarra, España, 2010; Número 16 de Agosto de 2010; pp. 1–11. (In Spanish) [Google Scholar]
- European Commission. Council Directive 91/676/CEE of 12 December 1991 Concerning the Protection of Waters Against Pollution Caused by Nitrates from Agricultural Sources; Official Journal of the European Communities: Aberdeen, UK, 1991; Volume 375, pp. 1–8. [Google Scholar]
- The European Parliament and the Council of the European Union. Regulation (Eu) 2019/1009 of The European Parliament and of the Council of 5 June 2019 Laying Down Rules on the Making Available on the Market of EU Fertilising Products and Amending Regulations (EC) No 1069/2009 and (EC) No 1107/2009 and Repealing Regula; Official Journal of the European Communities: Aberdeen, UK, 2019; Volume 170, pp. 1–114. [Google Scholar]
- Merrington, G.; Oliver, I.; Smernik, R.J.; McLaughlin, M.J. The influence of sewage sludge properties on sludge-borne metal availability. Adv. Environ. Res. 2003, 8, 21–36. [Google Scholar] [CrossRef]
- Reyes, Y.; Vergara, I.; Torres, O.E.; Díaz, M.; González, E. Heavy metals contamination: Implications for health and food safety Yulieth. Rev. Ing. Investig. Desarro. 2016, 16, 66–77. [Google Scholar] [CrossRef]
- Kidd, P.S.; Domínguez-Rodríguez, M.J.; Díez, J.; Monterroso, C. Bioavailability and plant accumulation of heavy metals and phosphorus in agricultural soils amended by long-term application of sewage sludge. Chemosphere 2007, 66, 1458–1467. [Google Scholar] [CrossRef]
- Alcantara, S.; Pérez, D.V.; Almeida, M.R.A.; Silva, G.M.; Polidoro, J.C.; Bettiol, W. Chemical Changes and Heavy Metal Partitioning in an Oxisol Cultivated with Maize (Zea mays, L.) after 5 Years Disposal of a Domestic and an Industrial Sewage Sludge. Water. Air. Soil Pollut. 2009, 203, 3–16. [Google Scholar] [CrossRef]
- Bolan, N.S.; Adriano, D.C.; Naidu, R. Role of phosphorus in (im)mobilization and bioavailability of heavy metals in the soil-plant system. Rev. Environ. Contam. Toxicol. 2003, 177, 1–44. [Google Scholar] [CrossRef]
- Naidu, R.; Bolan, N.S.; Megharaj, M.; Juhasz, A.L.; Gupta, S.K.; Clothier, B.E.; Schulin, R. Chapter 1. Chemical bioavailability in terrestrial environments. In Chemical Bioavailability in Terrestrial Environment; Hartemink, A.E., McBratney, A.B., Naidu, R.B.T.-D., Eds.; Elsevier: Amsterdam, The Netherlands, 2008; Volume 32, pp. 1–6. ISBN 0166-2481. [Google Scholar]
- de Melo, W.J.; de Stéfani Aguiar, P.; Maurício Peruca de Melo, G.; Peruca de Melo, V. Nickel in a tropical soil treated with sewage sludge and cropped with maize in a long-term field study. Soil Biol. Biochem. 2007, 39, 1341–1347. [Google Scholar] [CrossRef]
- Pardo, F.; Jordán, M.M.; Sanfeliu, T.; Pina, S. Distribution of Cd, Ni, Cr, and Pb in amended soils from alicante province (SE, Spain). Water. Air. Soil Pollut. 2011, 217, 535–543. [Google Scholar] [CrossRef]
- Navarro-Pedreño, J.; Almendro-Candel, M.B.; Jordán-Vidal, M.M.; Mataix-Solera, J.; García-Sánchez, E. Mobility of cadmium, chromium, and nickel through the profile of a calcisol treated with sewage sludge in the southeast of Spain. Environ. Geol. 2003, 44, 545–553. [Google Scholar] [CrossRef]
- Taylor, R.W.; Xiu, H.; Mehadi, A.A.; Shuford, J.W.; Tadesse, W. Fractionation of residual cadmium, copper, nickel, lead, and zinc in previously sludge-amended soil. Commun. Soil Sci. Plant Anal. 1995, 26, 2193–2204. [Google Scholar] [CrossRef]
- Cabral, A.R.; Lefebvre, G. Use of sequential extraction in the study of heavy metal retention by silty soils. Water. Air. Soil Pollut. 1998, 102, 329–344. [Google Scholar] [CrossRef]
- Moral, R.; Gilkes, R.J.; Jordán, M.M. Distribution of heavy metals in calcareous and non-calcareous soils in Spain. Water. Air. Soil Pollut. 2005, 162, 127–142. [Google Scholar] [CrossRef]
- Kabala, C.; Karczewska, A.; Szopka, K.; Wilk, J. Copper, zinc, and lead fractions in soils long-term irrigated with municipal wastewater. Commun. Soil Sci. Plant Anal. 2011, 42, 905–919. [Google Scholar] [CrossRef]
- Kabata-Pendias, A. Zinc. In Trace Elements in Soil and Plants; CRC Press LLC: Boca Raton, FL, USA, 2000; pp. 146–158. [Google Scholar]
- Kiekens, L. Zinc. In Heavy Metals in Soils; Alloway, B.J., Ed.; Blackie Academic and Professional: Glasgow, Scotland, 1995; pp. 284–305. [Google Scholar]
- Gonzalez Flores, E.; Tornero Campante, M.A.; Sandoval Castro, E.; Pérez Magaña, A.; Gordillo Martínez, A.J. Biodisponibilidad y Fraccionamiento de Metales Pesados en Suelos Agrícolas Enmendados con Biosólidos de Origen Municipal. Available online: http://www.scielo.org.mx/scielo.php?script=sci_arttext&pid=S0188-49992011000400002 (accessed on 23 December 2020).
- Bolan, N.; Adriano, D.; Mani, S.; Khan, A. Adsorption, complexation, and phytoavailability of copper as influenced by organic manure. Environ. Toxicol. Chem. 2003, 22, 450–456. [Google Scholar] [CrossRef]
- Bünemann, E.K.; Smernik, R.J.; Marschner, P.; McNeill, A.M. Microbial synthesis of organic and condensed forms of phosphorus in acid and calcareous soils. Soil Biol. Biochem. 2008, 40, 932–946. [Google Scholar] [CrossRef]
- Rundle, H.; Calcroft, H.; Holt, C. Agricultural disposal of sludges on a historic sludge disposal site. Water Pollut. Control 1982, 81, 619–632. [Google Scholar]
- McGrath, S.P.; Zhao, F.J.; Dunham, S.J.; Crosland, A.R.; Coleman, K. Long-Term Changes in the Extractability and Bioavailability of Zinc and Cadmium after Sludge Application. J. Environ. Qual. 2000, 29, 875–883. [Google Scholar] [CrossRef]
- Nkinahamira, F.; Suanon, F.; Chi, Q.; Li, Y.; Feng, M.; Huang, X.; Yu, C.P.; Sun, Q. Occurrence, geochemical fractionation, and environmental risk assessment of major and trace elements in sewage sludge. J. Environ. Manag. 2019, 249. [Google Scholar] [CrossRef]
- Zhu, N.; Li, Q.; Guo, X.J.; Zhang, H.; Deng, Y. Sequential extraction of anaerobic digestate sludge for the determination of partitioning of heavy metals. Ecotoxicol. Environ. Saf. 2014, 102, 18–24. [Google Scholar] [CrossRef] [PubMed]
- Motaghian, H.R.; Hosseinpur, A.R. Rhizosphere effects on Cu availability and fractionation in sewage sludge-amended calcareous soils. J. Plant Nutr. Soil Sci. 2015, 178, 713–721. [Google Scholar] [CrossRef]
- Garnett, T.P.; Graham, R.D. Distribution and Remobilization of Iron and Copper in Wheat. Ann. Bot. 2005, 95, 817–826. [Google Scholar] [CrossRef] [PubMed]
- Morera, M.T.; Echeverría, J.; Garrido, J. Bioavailability of heavy metals in soils amended with sewage sludge. Can. J. Soil Sci. 2002, 82, 433–438. [Google Scholar] [CrossRef]
- Codling, E.E. Long-Term Effects of Biosolid-Amended Soils on Phosphorus, Copper, Manganese, and Zinc Uptake by Wheat. Soil Sci. 2014, 179, 21–27. [Google Scholar] [CrossRef]


| Soil Physical-Chemical Properties | Control | After 26 Years | Analysis Methods |
|---|---|---|---|
| pH | 8.67 ± 0.03 | 8.45 ± 0.11 | Soil pH in water 1:2 [49] |
| Electric Conductivity (μs cm−3) | 169 ± 10 | 233 ± 11 | Diluted soil:water Extract 1:2.5 [50] |
| Bulk density (g cm−3) | 1.59 ± 0.08 | 1.54 ± 0.01 | Core Method [51] |
| Carbonates (%) | 16.0 ± 2.1 | 16.7 ± 1.4 | Bernard calcimeter [52] |
| Organic Carbon (%) | 1.35 ± 0.02 | 1.56 ± 0.03 | Wet Oxidation-Redox Titration Method [53] |
| Total Phosphorus (mg kg−1) | 603 ± 52 | 945 ± 38 | Microwave digestion + ICP-MS [54,55] |
| Available Phosphorus (mg kg−1) | 32.2 ± 1.5 | 99.4 ± 8.4 | Sodium Bicarbonate-Extractable P at pH 8.5 [56] |
| Total Potassiun (mg kg−1) | 9294 ± 550 | 9709 ± 185 | Microwave digestion + ICP-MS [54,55] |
| Available Potassiun (mg kg−1) | 109 ± 15.0 | 110 ± 9.00 | Ammonium Acetate Method at pH 7.0 [57] |
| Doses Sewage Sludge | NFU 1992 | NFU 2018 |
|---|---|---|
| 40 Mg ha−1 every year | 250 | 480 |
| 80 Mg ha−1 every year | 500 | 960 |
| Sewage Sludge Physical-Chemical Properties | 1992 | 2018 | Legal Limit | Analysis Method |
|---|---|---|---|---|
| General parameters | ||||
| pH | 8.01 | 8.16 ± 0.03 | NA | Soil pH in water 1:5 [49] |
| Electric Conductivity (μs cm−3) | NA | 1795 ± 28 | NA | Diluted Extracts 1:5 [50] |
| Dry material (%) | 28.8 | 18.1 ± 0.4 | NA | Direct calcination at 540 °C [59] |
| Volatile matter (% of dry substance) | NA | 62.8 ± 1.9 | NA | Direct calcination at 540 °C [59] |
| C/N | 10 | 5.35 ± 0.08 | NA | |
| Fertilizing elements (% of dry substance) | ||||
| N total | 2.18 | 5.85 ± 0.13 | NA | Kjeldahl digestion and distillation [60] |
| N ammonium | 0.18 | 0.75 ± 0.02 | NA | Kjeldahl digestion and distillation [60] |
| Phosphorus (P2O5) | 3.62 | 5.59 ± 0.22 | NA | Microwave digestion + ICP-MS [54,55] |
| Potassium (K2O) | 0.51 | 0.62 ± 0.05 | NA | Microwave digestion + ICP-MS [54,55] |
| Iron (Fe) | 1.48 | 1.68 ± 0.04 | NA | Microwave digestion + ICP-MS [54,55] |
| Calcium (CaO) | NA | 7.98 ± 0.29 | NA | Microwave digestion + ICP-MS [54,55] |
| Magnesium (MgO) | NA | 1.10 ± 0.05 | NA | Microwave digestion + ICP-MS [54,55] |
| Trace metals (mg Kg−1 dry weight) | ||||
| Cadmium (Cd) | <10 | 0.88 ± 0.09 | 40 | Microwave digestion + ICP-MS [54,55] |
| Copper (Cu) | 302 | 187 ± 11 | 1750 | Microwave digestion + ICP-MS [54,55] |
| Nickel (Ni) | 75 | 32.1 ± 0.77 | 400 | Microwave digestion + ICP-MS [54,55] |
| Lead (Pb) | 191 | 39.0 ± 1.2 | 1200 | Microwave digestion + ICP-MS [54,55] |
| Zinc (Zn) | 1230 | 874 ± 38 | 4000 | Microwave digestion + ICP-MS [54,55] |
| Mercury (Hg) | NA | 0.003 ± 0.003 | 25 | Microwave digestion + ICP-MS [54,55] |
| Chromium (Cr) | 112 | 58.3 ± 3.2 | 1500 | Microwave digestion + ICP-MS [54,55] |
| Manganese (Mn) | NA | NA | NA | Microwave digestion + ICP-MS [54,55] |
| Treatment | TMSOIL TOTAL (mg kg−1) | |||||||
|---|---|---|---|---|---|---|---|---|
| Mn | Zn | Cu | Cr | Pb | Ni | Cd | Hg | |
| With SS | 484 ± 21 | 69.0 ± 9.2 | 21.7 ± 2.1 | 50.3 ± 1.7 | 19.0 ± 1.3 | 26.6 ± 1.2 | 0.23 ± 0.02 | 0.14 ± 0.03 |
| Without SS | 475 ± 13 | 53.4 ± 2.3 | 17.9 ± 1.0 | 46.7 ± 1.6 | 18.4 ± 0.8 | 24.9 ± 0.7 | 0.23 ± 0.01 | 0.09 ± 0.01 |
| p-value | 0.13 | 0.00 * | 0.00 * | 0.00 * | 0.14 | 0.00 * | 0.22 | 0.00 * |
| Treatment | TMSOIL DTPA (mg kg−1) | |||||
|---|---|---|---|---|---|---|
| Mn | Zn | Cu | Pb | Ni | Cd | |
| With SS | 8.85 ± 0.86 | 4.20 ± 1.27 | 2.82 ± 0.53 | 2.00 ± 0.11 | 0.28 ± 0.04 | 0.07 ± 0.00 |
| Without SS | 9.47 ± 0.28 | 1.89 ± 0.36 | 1.75 ± 0.16 | 1.74 ± 0.07 | 0.22 ± 0.02 | 0.06 ± 0.00 |
| p-value | 0.01 * | 0.00 * | 0.00 * | 0.00 * | 0.00 * | 0.00 * |
| Fertilizer Treatment | TM Crop (mg kg−1) | |||||||||||||||
|---|---|---|---|---|---|---|---|---|---|---|---|---|---|---|---|---|
| Mn | Zn | Cu | Cr | Pb | Ni | Cd | Hg | |||||||||
| Grain | Straw | Grain | Straw | Grain | Straw | Grain | Straw | Grain | Straw | Grain | Straw | Grain | Straw | Grain | Straw | |
| 250MgSS | 17.3 ± 0.6 | 16.8 ab ± 2.4 | 34.3 ab ± 2.4 | 8.16 ± 1.00 | 5.94 ± 0.39 | 2.88 ± 0.28 | 1.35 ± 0.23 | 1.71 ± 0.44 | 0.10 ± 0.00 | 0.24 ± 0.01 | 0.83 ± 0.11 | 0.95 ± 0.25 | 0.01 ± 0.00 | 0.04 ± 0.01 | 0.01 ± 0.00 | 0.01 ± 0.00 |
| 500MgSS | 16.8 ± 1.6 | 17.4 a ± 2.2 | 31.0 a ± 2.6 | 7.31 ± 0.96 | 5.69 ± 0.32 | 2.50 ± 0.41 | 1.23 ± 0.18 | 1.58 ± 0.19 | 0.10 ± 0.01 | 0.25 ± 0.07 | 0.81 ± 0.09 | 1.01 ± 0.21 | 0.01 ± 0.00 | 0.03 ± 0.00 | 0.01 ± 0.00 | 0.01 ± 0.00 |
| 1000MgSS | 17.1 ± 1.8 | 15.6 a ± 4.6 | 35.2 ab ± 3.2 | 6.98 ± 1.68 | 5.67 ± 0.32 | 2.67 ± 0.63 | 1.31 ± 0.3 | 1.84 ± 0.71 | 0.10 ± 0.01 | 0.22 ± 0.09 | 0.83 ± 0.13 | 1.02 ± 0.32 | 0.01 ± 0.00 | 0.03 ± 0.00 | 0.01 ± 0.00 | 0.01 ± 0.00 |
| 2000MgSS | 17.8 ± 1.2 | 17.7 ac ± 3.1 | 37.1 b ± 4.1 | 7.00 ± 0.37 | 5.63 ± 0.44 | 2.78 ± 0.53 | 1.41 ± 0.08 | 1.54 ± 0.82 | 0.11 ± 0.01 | 0.27 ± 0.14 | 0.90 ± 0.02 | 0.96 ± 0.48 | 0.01 ± 0.00 | 0.03 ± 0.01 | 0.00 ± 0.00 | 0.01 ± 0.00 |
| MinFer | 18.4 ± 1.1 | 24.4 bc ± 3.4 | 30.4 ab ± 2.6 | 6.91 ± 1.76 | 5.66 ± 0.21 | 2.82 ± 0.55 | 1.03 ± 0.06 | 2.26 ± 1.01 | 0.10 ± 0.01 | 0.31 ± 0.10 | 0.73 ± 0.05 | 1.51 ± 0.57 | 0.01 ± 0.00 | 0.04 ± 0.01 | 0.01 ± 0.00 | 0.01 ± 0.00 |
| Control | 17.3 ± 1.8 | 25.1 c ± 5.3 | 32.1 ab ± 2.6 | 9.26 ± 1.60 | 5.27 ± 0.17 | 2.25 ± 0.39 | 1.26 ± 0.47 | 2.55 ± 0.45 | 0.12 ± 0.03 | 0.23 ± 0.04 | 0.78 ± 0.25 | 1.34 ± 0.40 | 0.01 ± 0.00 | 0.03 ± 0.01 | 0.00 ± 0.00 | 0.01 ± 0.00 |
| Treatment | TMCROP (mg kg−1) | |||||||
|---|---|---|---|---|---|---|---|---|
| Mn | Zn | Cu | Cr | Pb | Ni | Cd | Hg | |
| GRAIN With SS | 17.1 ± 1.4 | 34.0 ± 3.7 | 5.71 ± 0.35 | 1.30 ± 0.22 | 0.10 ± 0.01 | 0.83 ± 0.10 | 0.01 ± 0.00 | 0.01 ± 0.00 |
| GRAIN Without SS | 17.8 ± 1.6 | 31.4 ± 2.6 | 5.47 ± 0.27 | 1.13 ± 0.30 | 0.11 ± 0.03 | 0.75 ± 0.15 | 0.01 ± 0.00 | 0.01 ± 0.00 |
| p-value | 0.32 | 0.045 * | 0.038 * | 0.047 * | 0.64 | 0.062 | 0.25 | 0.59 |
| STRAW With SS | 16.8 ± 3.3 | 7.29 ± 1.21 | 2.66 ± 0.48 | 1.68 ± 0.53 | 0.24 ± 0.09 | 1.00 ± 0.29 | 0.03 ± 0.01 | 0.01 ± 0.00 |
| STRAW Without SS | 24.8 ± 4.1 | 8.08 ± 2.00 | 2.53 ± 0.54 | 2.40 ± 0.74 | 0.27 ± 0.08 | 1.42 ± 0.47 | 0.03 ± 0.01 | 0.01 ± 0.00 |
| p-value | 0.00 * | 0.19 | 0.26 | 0.01 * | 0.40 | 0.00 * | 0.71 | 0.46 |
Publisher’s Note: MDPI stays neutral with regard to jurisdictional claims in published maps and institutional affiliations. |
© 2021 by the authors. Licensee MDPI, Basel, Switzerland. This article is an open access article distributed under the terms and conditions of the Creative Commons Attribution (CC BY) license (http://creativecommons.org/licenses/by/4.0/).
Share and Cite
Zaragüeta, A.; Enrique, A.; Virto, I.; Antón, R.; Urmeneta, H.; Orcaray, L. Effect of the Long-Term Application of Sewage Sludge to A Calcareous Soil on Its Total and Bioavailable Content in Trace Elements, and Their Transfer to the Crop. Minerals 2021, 11, 356. https://doi.org/10.3390/min11040356
Zaragüeta A, Enrique A, Virto I, Antón R, Urmeneta H, Orcaray L. Effect of the Long-Term Application of Sewage Sludge to A Calcareous Soil on Its Total and Bioavailable Content in Trace Elements, and Their Transfer to the Crop. Minerals. 2021; 11(4):356. https://doi.org/10.3390/min11040356
Chicago/Turabian StyleZaragüeta, Armelle, Alberto Enrique, Iñigo Virto, Rodrigo Antón, Henar Urmeneta, and Luis Orcaray. 2021. "Effect of the Long-Term Application of Sewage Sludge to A Calcareous Soil on Its Total and Bioavailable Content in Trace Elements, and Their Transfer to the Crop" Minerals 11, no. 4: 356. https://doi.org/10.3390/min11040356
APA StyleZaragüeta, A., Enrique, A., Virto, I., Antón, R., Urmeneta, H., & Orcaray, L. (2021). Effect of the Long-Term Application of Sewage Sludge to A Calcareous Soil on Its Total and Bioavailable Content in Trace Elements, and Their Transfer to the Crop. Minerals, 11(4), 356. https://doi.org/10.3390/min11040356

