Pollution Characteristics, Distribution and Ecological Risk of Potentially Toxic Elements in Soils from an Abandoned Coal Mine Area in Southwestern China
Abstract
1. Introduction
2. Materials and Methods
2.1. Soil Sampling
2.2. Sample Preparation and Analysis
2.3. Quality Assurance and Quality Control
2.4. Data Analysis
2.5. The Geoaccumulation Index (Igeo)
2.6. Potential Ecological Risk Index (RI)
3. Results and Discussion
3.1. pH
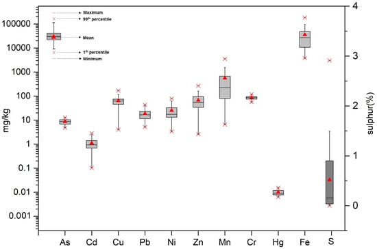
3.2. Concentrations of Potentially Toxic Elements in Soils
3.3. Spatial Distribution of Potentially Toxic Elements
3.4. Ecological Risk of Potentially Toxic Elements
4. Conclusions
Supplementary Materials
Author Contributions
Funding
Institutional Review Board Statement
Informed Consent Statement
Data Availability Statement
Acknowledgments
Conflicts of Interest
References
- Simate, G.S.; Ndlovu, S. Acid mine drainage: Challenges and opportunities. J. Environ. Chem. Eng. 2014, 2, 1785–1803. [Google Scholar] [CrossRef]
- Park, I.; Tabelin, C.B.; Jeon, S.; Li, C.L.; Seno, K.; Ito, M.; Hiroyoshi, N. A review of recent strategies for acid mine drainage prevention and mine tailings recycling. Chemosphere 2019, 219, 588–606. [Google Scholar] [CrossRef]
- Gray, N. Environmental impact and remediation of acid mine drainage: A management problem. Environ. Geol. 1997, 30, 62–71. [Google Scholar] [CrossRef]
- Manzano, M.; Ayora, C.; Domenech, C.; Navarrete, P.; Antonio, G.; Maria-Jesús, T. The impact of the Aznalcóllar mine tailing spill on groundwater. Sci. Total Environ. 1999, 242, 189–209. [Google Scholar] [CrossRef]
- Wates, J.A.; Rykaart, E.M. The Performance of Natural Soil Covers in Rehabilitating Opencast Mines and Waste Dumps in South Africa; Research Report 575/1/99; Water Research Commission: Pretoria, South Africa, 1999. [Google Scholar]
- Hua, C.H.; Zhou, G.Z.; Yin, X.; Wang, C.Z.; Chi, B.R.; Cao, Y.Y.; Wang, Y.; Zheng, Y.; Cheng, Z.R.; Li, R.Y. Assessment of heavy metal in coal gangue: Distribution, leaching characteristic and potential ecological risk. Environ. Sci. Pollut. Res. 2018, 25, 32321–32331. [Google Scholar] [CrossRef] [PubMed]
- Druschel, G.K.; Baker, B.J.; Gihring, T.M.; Banfield, J.F. Acid mine drainage biogeochemistry at iron mountain, California. Geochem. Trans. 2004, 5, 13–32. [Google Scholar] [CrossRef]
- Azhari, A.E.; Rhoujjati, A.; Hachimi, M.L.E.; Ambrosi, J. Pollution and ecological risk assessment of heavy metals in the soil-plant system and the sediment-water column around a former Pb/Zn-mining area in NE Morocco. Ecotoxicol. Environ. Saf. 2017, 144, 464–474. [Google Scholar] [CrossRef]
- Hallberg, K.B. New perspectives in acid mine drainage microbiology. Hydrometallurgy 2010, 104, 448–453. [Google Scholar] [CrossRef]
- Johnson, D.B.; Hallberg, K.B. Acid mine drainage remediation options: A review. Sci. Total Environ. 2005, 338, 3–14. [Google Scholar] [CrossRef]
- Department of Natural Resource of Guizhou Province. 2019. Available online: http://zrzy.guizhou.gov.cn/zfxxgk/zfxxgkml/tjsj_81192/gtzyddjcjb/201907/t20190702_25808845.html (accessed on 2 June 2019).
- Evangelou, V.P. Pyrite Oxidation and its Control; CRC Press: Boca Raton, FL, USA, 1995. [Google Scholar]
- Tabelin, C.B.; Igarashi, T.; Villacorte-Tabelin, M.; Park, I.; Opiso, E.M.; Ito, M.; Hiroyoshi, N. Arsenic, selenium, boron, lead, cadmium, copper, and zinc in naturally contaminated rocks: A review of their sources, modes of enrichment, mechanisms of release, and mitigation strategies. Sci. Total Environ. 2018, 645, 1522–1553. [Google Scholar] [CrossRef] [PubMed]
- Equeenuddin, S.M.; Tripathy, S.; Sahoo, P.K.; Panigrahi, M.K. Metal behavior in sediment associated with acid mine drainage stream: Role of pH. J. Geochem. Explor. 2013, 124, 230–237. [Google Scholar] [CrossRef]
- Gao, P.; Sun, X.X.; Xiao, E.Z.; Xu, Z.X.; Li, B.Q.; Sun, W.M. Characterization of iron-metabolizing communities in soils contaminated by acid mine drainage from an abandonded coal mine in Southwest China. Environ. Sci. Pollut. Res. 2019, 26, 9585–9598. [Google Scholar] [CrossRef] [PubMed]
- Huaxi Annals Compilation Committee. Huaxi Annuals; Guizhou People’s Publishing House: Bejing, China, 2007. (In Chinese) [Google Scholar]
- Pan, L.B.; Ma, J.; Wang, X.L.; Hou, H. Heavy metals in soils from a typical county in Shanxi Province, China: Levels, sources and spatial distribution. Chemosphere 2016, 148, 248–254. [Google Scholar] [CrossRef]
- USEPA. Method 3050B: Acid Digestion of Sediments, Sludges and Soils; United States Environmental Protection Agency: Washington, WA, USA, 1996.
- USEPA. Method 6010C: Inductively Coupled Plasma Atomic Emission Spectrometry; United States Environmental Protection Agency: Washington, WA, USA, 1996.
- CEPA (Chinese Environmental Protection Administration). Soil-Determination of pH-Potentiometry (HJ962-2018). In National Environmental Protection Standards of the People’s Republic of China; China Environmental Science Press: Beijing, China, 2018. (In Chinese) [Google Scholar]
- Müller, G. Index of geoaccumulation in sediments of the Rhine River. Geojournal 1969, 2, 108–118. [Google Scholar]
- Solgi, E.; Esmailisari, A.; Riyahibakhtiari, A.; Hadipour, M. Soil contamination of metals in the three industrial estates, Arak, Iran. Bull. Environ. Contam. Toxicol. 2012, 88, 634–638. [Google Scholar] [CrossRef]
- Hakanson, L. An ecological risk index for aquatic pollution control, a sedimentological approach. Water Res. 1980, 14, 975–1001. [Google Scholar] [CrossRef]
- Wu, Q.; Qi, J.; Xia, X. Long-term variations in sediment heavy metals of a reservoir with changing trophic states: Implications for the impact of climate change. Sci. Total Environ. 2017, 609, 242–250. [Google Scholar] [CrossRef]
- Liu, J.; Luo, X.W.; Wang, J.; Xiao, T.F.; Chen, D.Y.; Sheng, G.D.; Yin, M.L.; Lppold, H.; Wang, C.L.; Chen, Y.H. Thallium contamination in arable soils and vegetables around a steel plant—A newly-found significant source of tl pollution in South China. Environ. Pollut. 2017, 224, 445–453. [Google Scholar] [CrossRef] [PubMed]
- Institute of Soil Science; Chinese Academy of Sciences. Chinese Soil; Scientific Publisher: Beijing, China, 1978. [Google Scholar]
- Zhu, H.L.; Liu, H.Y.; Long, J.H.; Yan, Z.Y. Pollution characteristics of heavy metals in soils in typical polluted areas of Guizhou Province. Earth Environ. 2014, 4, 505–512. (In Chinese) [Google Scholar]
- Yang, L.J.; Long, J.; Li, J.; Wu, D.; Liu, F.; Liao, H.K.; Han, S. Effect of Acidic Waste Water from Coal Mine on Cu Form Change in Coal Gangue and Surrounding Farmland Soils. Guizhou Agri. Sci. 2011, 9, 88–91. [Google Scholar]
- CEPA (Chinese Environmental Protection Administration). Environmental Quality Standard for Soils (GB 15618-1995); China Environmental Science Press: Beijing, China, 1995. (In Chinese)
- CNEMC (China National Environmental Monitoring Center). Soil Elements Background Values in China; China Environmental Science Press: Beijing, China, 1990. (In Chinese)
- Yang, C.; Liu, C.Q.; Song, Z.L.; Liu, Z.M.; Zheng, H.Y. Distribution characteristics of carbon, nitrogen and sulphur of plants and soils in Guizhou karst mountain area, southwestern China. J. Beijing For. Univ. 2008, 30, 45–51. (In Chinese) [Google Scholar]
- Li, J. Investigation and Study on Heavy Metal Pollution in Abandoned Coal Mine and Surrounding Soil in Huaxi District of Guiyang; Guizhou University: Guizhou, China, 2010. (In Chinese) [Google Scholar]
- Jiang, F.; Ren, B.Z.; Andrew, H.; Deng, R.J.; Wang, Z.H. Distribution, source indentification, and ecological-health risks of potentially toxic elements (PTEs) in soil of Thallium mine area (southwest Guizhou, China). Environ. Sci. Pollut. Res 2019, 26, 16556–16567. [Google Scholar] [CrossRef]
- Li, J. Study on Pollution Characters and Migration Rules of Heavy Metals on High-Sulfur Coal Gangue Abandoned Land; China University of Mining and Technology: Beijing, China, 2012. (In Chinese) [Google Scholar]
- Sun, Y.; Zhou, Q.; Xie, X.; Liu, R. Spatial, sources and risk assessment of heavy metal contamination of urban soils in typical regions of Shenyang, China. J Hazard Mater 2010, 174, 455–462. [Google Scholar] [CrossRef] [PubMed]
- Wang, H.; Lu, S. Spatial distribution, source identification and affecting factors of heavy metals contamination in urban-suburban soils of Lishui City, China. Environ. Earth Sci. 2011, 64, 1921–1929. [Google Scholar] [CrossRef]
- Yang, W.J.; Ding, K.B.; Zhang, P.; Qiu, H.; Cloquet, C.; Wen, H.J.; Morel, J.L.; Qiu, R.L.; Tang, Y.T. Cadmum stable isotope variation in a mountain are impacted by acid mine drainage. Sci. Total Environ. 2019, 646, 696–703. [Google Scholar] [CrossRef]
- Cathes, L.M. Attempts to model the industrial-scale leaching of copper-bearing mine waste in environmental geochemistry of sufide oxidation. Ame Chem. Soc. 1994, 550, 123–131. [Google Scholar]
- Yuan, H.; Song, S.; An, S.; Liu, E. Ecological risk assessment of potentially toxic elements (PTEs) in the soil-plant system after reclamation of dredged sediment. Environ. Sci. Pollut. Res. 2018, 25, 29181–29191. [Google Scholar] [CrossRef]
- Wang, M.; Chen, W.P.; Peng, C. Risk assessment of Cd polluted paddy soils in the industrial and township areas in Hunan, Southern China. Chemosphere 2016, 144, 346–351. [Google Scholar] [CrossRef]
- Kosolsaksakul, P.; Farmer, J.G.; Oliver, I.W.; Graham, M.C. Geochemical associations and availability of cadmium (Cd) in a paddy field system, northwestern Thailand. Environ. Pollut. 2014, 187, 153–161. [Google Scholar] [CrossRef] [PubMed]
- Chen, H.Y.; Teng, Y.G.; Lu, S.J.; Wang, Y.Y.; Wang, J.S. Contamination features and health risk of soil heavy metals in China. Sci. Total Environ. 2015, 512, 143–153. [Google Scholar] [CrossRef]
- Zhang, X.Y.; Chen, D.M.; Zhong, T.Y.; Zhang, X.M.; Cheng, M.; Li, X.H. Assessment of cadmium(Cd) concentration in arable soil in China. Environ. Sci. Pollut. Res. 2015, 22, 4932–4941. [Google Scholar] [CrossRef] [PubMed]
- Qi, G.X.; Jia, Y.F.; Liu, W.J.; Wei, Y.H.; Du, B.; Fang, W.; Guo, Y.M.; Guo, F.; Wu, Y.H.; Zou, Q.; et al. Leaching behavior and potential ecological risk of heavy metals in Southwestern China soils applied with sewage sludge compost under acid precipitation based on lysimeter trials. Chemosphere 2020, 249, 126212. [Google Scholar] [CrossRef] [PubMed]








| - | pH | As (mg/kg) | Cd (mg/kg) | Cu (mg/kg) | Pb (mg/kg) | Ni (mg/kg) | Zn (mg/kg) | Mn (mg/kg) | Cr (mg/kg) | Hg (mg/kg) | Fe (mg/kg) | S (%) |
|---|---|---|---|---|---|---|---|---|---|---|---|---|
| Mean | 5.44 | 8.74 | 1.12 | 62.68 | 18.40 | 25.95 | 72.52 | 593.60 | 86.06 | 0.010 | 35,575.95 | 0.44 |
| SD | 2.06 | 0.70 | 27.52 | 9.05 | 18.88 | 49.12 | 775.69 | 14.30 | 0.00 | 33,710.01 | 0.59 | SD |
| CV | 23.59 | 62.17 | 43.90 | 49.19 | 72.76 | 72.65 | 130.68 | 16.62 | 24.76 | 94.76 | 132.53 | CV |
| Igeo | - | −0.13 | 0.22 | −1.26 | −0.79 | −1.05 | −1.51 | −0.11 | −2.65 | 2.47 | - | Igeo |
| CEQS | - | 25.00 | 0.30 | 200.00 | 350.00 | 50.00 | 300.00 | - | 250.00 | 1.00 | - | - |
| Background values in Guizhou province | 6.2 | 8.6 | 0.21 | 32.0 | 26.2 | 23.4 | 67.0 | 482 | 61.0 | 0.040 | 2920 | - |
| Sampling Sites | As | Cd | Cu | Pb | Ni | Zn | Cr | Hg | RI |
|---|---|---|---|---|---|---|---|---|---|
| TM | 10.39 | 85.60 | 11.66 | 3.87 | 10.71 | 1.66 | 3.08 | 14.50 | 141.47 |
| AMD | 11.27 | 73.17 | 8.93 | 3.61 | 5.11 | 0.91 | 3.26 | 12.30 | 118.56 |
| SCG | 9.63 | 44.78 | 8.95 | 3.11 | 3.69 | 0.69 | 2.75 | 9.45 | 83.06 |
| CK | 10.78 | 32.84 | 11.29 | 3.62 | 5.96 | 1.35 | 2.66 | 9.00 | 77.50 |
| Mean | 10.17 | 51.16 | 9.79 | 3.51 | 5.55 | 1.01 | 2.82 | 9.87 | 93.87 |
| Median | 10.46 | 43.84 | 9.82 | 3.14 | 3.91 | 0.82 | 2.82 | 9.12 | 82.15 |
| Maximum | 15.04 | 129.70 | 26.24 | 8.23 | 16.61 | 3.95 | 3.88 | 15.24 | 199.51 |
| Minimum | 5.64 | 4.69 | 0.63 | 0.98 | 0.72 | 0.04 | 1.85 | 6.32 | 38.96 |
| SD | 2.40 | 31.81 | 4.30 | 1.73 | 4.04 | 0.73 | 0.47 | 2.44 | 36.25 |
Publisher’s Note: MDPI stays neutral with regard to jurisdictional claims in published maps and institutional affiliations. |
© 2021 by the authors. Licensee MDPI, Basel, Switzerland. This article is an open access article distributed under the terms and conditions of the Creative Commons Attribution (CC BY) license (http://creativecommons.org/licenses/by/4.0/).
Share and Cite
Pan, L.; Guan, X.; Liu, B.; Chen, Y.; Pei, Y.; Pan, J.; Zhang, Y.; Hao, Z. Pollution Characteristics, Distribution and Ecological Risk of Potentially Toxic Elements in Soils from an Abandoned Coal Mine Area in Southwestern China. Minerals 2021, 11, 330. https://doi.org/10.3390/min11030330
Pan L, Guan X, Liu B, Chen Y, Pei Y, Pan J, Zhang Y, Hao Z. Pollution Characteristics, Distribution and Ecological Risk of Potentially Toxic Elements in Soils from an Abandoned Coal Mine Area in Southwestern China. Minerals. 2021; 11(3):330. https://doi.org/10.3390/min11030330
Chicago/Turabian StylePan, Libo, Xiao Guan, Bo Liu, Yanjun Chen, Ying Pei, Jun Pan, Yi Zhang, and Zhenzhen Hao. 2021. "Pollution Characteristics, Distribution and Ecological Risk of Potentially Toxic Elements in Soils from an Abandoned Coal Mine Area in Southwestern China" Minerals 11, no. 3: 330. https://doi.org/10.3390/min11030330
APA StylePan, L., Guan, X., Liu, B., Chen, Y., Pei, Y., Pan, J., Zhang, Y., & Hao, Z. (2021). Pollution Characteristics, Distribution and Ecological Risk of Potentially Toxic Elements in Soils from an Abandoned Coal Mine Area in Southwestern China. Minerals, 11(3), 330. https://doi.org/10.3390/min11030330
