VIS-NIR/SWIR Spectral Properties of H2O Ice Depending on Particle Size and Surface Temperature
Abstract
:1. Introduction and Motivation
2. Experiment Procedure
2.1. Sample Preparation
2.2. Experiment Setup and Measurement Procedure
3. Spectral Parameter Analysis
3.1. Spectral Changes with Particle Size
3.2. Spectral Changes with Temperature
3.3. Spectral Changes between Samples with Different Particle Shape
3.4. Fresnel Reflection—Particle Size, Crystallinity, or Temperature Related?
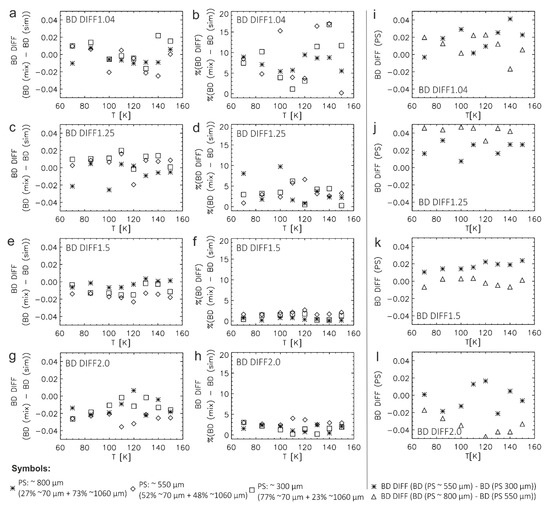
3.5. Spectral Changes in Particle Size Mixtures
4. Discussion
- the band depths (BDs) of the H2O-ice absorptions at 1.04, 1.25, 1.5, and 2 µm vary depending on the size of the H2O-ice particles but are fairly stable within the studied range of temperatures, thus supporting that the BDs of these absorptions are a good indicator for particle size variations in the case of pure H2O ice;
- the BDs of the H2O-ice absorptions at 1.31, 1.57, and 1.65 µm show a stronger relationship to the temperature but are still to some degree affected by the particle size of the H2O-ice samples;
- as the BDs of the H2O-ice absorptions at 1.31, 1.57, and 1.65 µm increase with decreasing temperature, they can affect the band centers (BCs) of the H2O-ice absorptions at 1.25 µm and possibly also at 1.5 and 2 µm;
- similarly, also the Fresnel reflection peak at 3.1 µm with its associated peak at 3.2 µm also weakens with increasing temperature and the BC slightly shifts to shorter wavelengths;
- the intensity of the Fresnel reflection peak also varies with H2O-ice particle size at low temperatures;
- the trends in the spectral parameters (BD, BC, FWHM) with temperature are the same for cooling or heating the samples;
- the trends in the spectral parameters (BD, BC, FWHM) with temperature are the same for particles with a spherical and an irregular shape;
- the shape and the BC of the H2O-ice absorption bands at 1.5 and 2 µm can be affected by the saturation of the bands in the case of large H2O-ice particles (>~680 µm).
Author Contributions
Funding
Data Availability Statement
Acknowledgments
Conflicts of Interest
References
- Grasset, O.; Dougherty, M.K.; Coustenis, A.; Bunce, E.J.; Erd, C.; Titov, D.; Blanc, M.; Coates, A.; Drossart, P.; Fletcher, L.N.; et al. JUpiter ICy moons Explorer (JUICE): An ESA mission to orbit Ganymede and to characterise the Jupiter system. Planet. Space Sci. 2013, 78, 1–21. [Google Scholar] [CrossRef]
- Hansen, G.B.; McCord, T.B. Amorphous and crystalline ice on the Galilean satellites: A balance between thermal and radiolytic processes. J. Geophys. Res. 2004, 109, E01012. [Google Scholar] [CrossRef]
- Stephan, K.; Ciarniello, M.; Jaumann, R.; Ore, C.D.; Filacchione, G.; Cruikshank, D.P.; Wagner, R. H2O-Ice Particle Sizes of Fresh Impact Craters in the Jovian and Saturnian System—Relationships to Subsurface Properties and Surface Temperature. In Proceedings of the Lunar and Planetary Science Conference, The Woodlands, TX, USA, 16–20 March 2020; Volume 2372. [Google Scholar]
- Stephan, K.; Hibbitts, C.A.; Jaumann, R. H2O-ice particle size variations across Ganymede’s and Callisto’s surface. Icarus 2020, 337, 113440. [Google Scholar] [CrossRef]
- Mura, A.; Adriani, A.; Sordini, R.; Sindoni, G.; Plainaki, C.; Tosi, F.; Filacchione, G.; Bolton, S.; Zambon, F.; Hansen, C.J.; et al. Infrared Observations of Ganymede From the Jovian InfraRed Auroral Mapper on Juno. J. Geophys. Res. 2020, 125, e2020JE006508. [Google Scholar] [CrossRef]
- Grundy, W.M.; Schmitt, B. The temperature-dependent near-infrared absorption spectrum of hexagonal H2O ice. J. Geophys. Res. 1998, 103, 25809–25822. [Google Scholar] [CrossRef]
- Mastrapa, R.M.E.; Bernstein, M.P.; Sandford, S.A.; Roush, T.L.; Cruikshank, D.P.; Ore, C.M.D. Optical constants of amorphous and crystalline H2O-ice in the near infrared from 1.1 to 2.6 μm. Icarus 2008, 197, 307–320. [Google Scholar] [CrossRef]
- Mastrapa, R.M.E.; Sandford, S.A.; Roush, T.L.; Cruikshank, D.P.; Ore, C.M.D. Optical Constants of Amorphous and Crystalline H2O-ice: 2.5–22 μm (4000–455 cm–1) Optical Constants of H2O-ice. Astrophys. J. 2009, 701, 1347. [Google Scholar] [CrossRef]
- Hapke, B. Theory of Reflectance and Emittance Spectroscopy; Cambridge University Press: Cambridge, UK, 1993; p. 513. [Google Scholar]
- Roush, T.L. Charon: More than Water Ice? Icarus 1994, 108, 243–254. [Google Scholar] [CrossRef]
- Hansen, G.B. Calculation of single-scattering albedos: Comparison of Mie results with Hapke approximations. Icarus 2009, 203, 672–676. [Google Scholar] [CrossRef]
- Grundy, W.M.; Douté, S.; Schmitt, B. A Monte Carlo ray-tracing model for scattering and polarization by large particles with complex shapes. J. Geophys. Res. 2000, 105, 29291. [Google Scholar] [CrossRef]
- Squyres, S.W. Surface temperatures and retention of H2O frost on Ganymede and Callisto. Icarus 1980, 44, 502–510. [Google Scholar] [CrossRef]
- Pommerol, A.; Poch, O.; Jost, B.; Feller, C.; Capelo, H.; Spadaccia, S.; Sunshine, J.; Thomas, N. Sublimation of ice/dust mixtures. In Proceedings of the Joined EPSC-DPS Meeting 2019, Geneva, Switzerland, 15–20 September 2019. [Google Scholar]
- Grisolle, F.; Schmitt, B.; Beck, P.; Philippe, S.; Brissaud, O. Experimental simulation of the condensation and metamorphism of seasonal CO2 condensates under martian conditions. In Proceedings of the European Planetary Science Conference (EPSC) 2014, Cascais, Portugal, 7–12 September 2014. [Google Scholar]
- Brissaud, O.; Schmitt, B.; Bonnefoy, N.; Douté, S.; Rabou, P.; Grundy, W.; Fily, M.J.A.O. Spectrogonio Radiometer for the Study of the Bidirectional Reflectance and Polarization Functions of Planetary Surfaces. 1. Design and Tests. Appl. Opt. 2004, 43, 1926. [Google Scholar] [CrossRef]
- Bonnefoy, N. Développement d’un Spectrophoto-Goniomètre pour l’étude de la Réflectance Bidirectionnelle des Surfaces Géophysiques. Application au Soufre et Perspectives pour le Satellite Io. Ph.D. Thesis, LPG Université Joseph Fourier, Grenoble, France, 2001. [Google Scholar]
- Pommerol, A.; Schmitt, B.; Beck, P.; Brissaud, O. Water sorption on martian regolith analogs: Thermodynamics and near-infrared reflectance spectroscopy. Icarus 2009, 204, 114–136. [Google Scholar] [CrossRef]
- Warren, S.G. Optical constants of ice from the ultraviolet to the microwave. Appl. Opt. 1984, 23, 1206–1225. [Google Scholar] [CrossRef] [PubMed]
- Warren, S.G.; Brandt, R.E. Optical constants of ice from the ultraviolet to the microwave: A revised compilation. J. Geophys. Res. 2008, 113, D14220. [Google Scholar] [CrossRef]
- Schmitt, B.; Quirico, E.; Trotta, F.; Grundy, W.M. Optical Properties of Ices From UV to Infrared. In Solar System Ices: Based on Reviews Presented at the International Symposium “Solar System Ices” Held in Toulouse; Schmitt, B., De Bergh, C., Festou, M., Eds.; Springer: Dordrecht, The Netherlands, 1995; pp. 199–240. [Google Scholar]
- Filacchione, G.; D’Aversa, E.; Capaccioni, F.; Clark, R.N.; Cruikshank, D.P.; Ciarniello, M.; Cerroni, P.; Bellucci, G.; Brown, R.H.; Buratti, B.J.; et al. Saturn’s icy satellites investigated by Cassini-VIMS. IV. Daytime temperature maps. Icarus 2016, 271, 292–313. [Google Scholar] [CrossRef] [Green Version]
- Filacchione, G.; Adriani, A.; Mura, A.; Tosi, F.; Lunine, J.I.; Raponi, A.; Ciarniello, M.; Grassi, D.; Piccioni, G.; Moriconi, M.L.; et al. Serendipitous infrared observations of Europa by Juno/JIRAM. Icarus 2019, 328, 1–13. [Google Scholar] [CrossRef]
- Clark, R.N.; Roush, T.L. Reflectance spectroscopy: Quantitative analysis techniques for remote sensing applications. J. Geophys. Res. Solid Earth 1984, 89, 6329–6340. [Google Scholar] [CrossRef]
- Stephan, K.; Jaumann, R.; Wagner, R.; Clark, R.N.; Cruikshank, D.P.; Hibbitts, C.A.; Roatsch, T.; Hoffmann, H.; Brown, R.H.; Filiacchione, G.; et al. Dione’s spectral and geological properties. Icarus 2010, 206, 631–652. [Google Scholar] [CrossRef] [Green Version]
- Cloutis, E.A.; Izawa, M.R.M.; Pompilio, L.; Reddy, V.; Hiesinger, H.; Nathues, A.; Mann, P.; le Corre, L.; Palomba, E.; Bell, J.F. Spectral reflectance properties of HED meteorites+CM2 carbonaceous chondrites: Comparison to HED grain size and compositional variations and implications for the nature of low-albedo features on Asteroid 4 Vesta. Icarus 2013, 223, 850–877. [Google Scholar] [CrossRef]
- Clark, R.N. Ganymede, Europa, Callisto, and Saturn’s rings: Compositional analysis from reflectance spectroscopy. Icarus 1980, 44, 388–409. [Google Scholar] [CrossRef]
- Clark, R.N.; Lucey, P.G. Spectral properties of ice-particulate mixtures and implications for remote sensing. 1. Intimate mixtures. J. Geophys. Res. 1984, 89, 6341–6348. [Google Scholar] [CrossRef]
- Mastrapa, R.M.E.; Grundy, W.M.; Gudipati, M.S. Amorphous and Crystalline H2O-Ice. In The Science of Solar System Ices; Gudipati, M.S., Castillo-Rogezedited, J., Eds.; Springer: Berlin/Heidelberg, Germany, 2013; pp. 371–408. [Google Scholar] [CrossRef]
- Jenniskens, P.; Blake, D.F.; Kouchi, A.J. Amorphous Water Ice—A solar system material. In Solar System Ices; Schmitt, B., De Bergh, C., Festou, M., Eds.; Astrophysics and Space Science Library; Springer: Dordrecht, The Netherlands, 1998; Volume 227, pp. 139–155. [Google Scholar] [CrossRef]
- Feng, H.; Xu, Y.; Yang, T. Study on Leidenfrost effect of cryoprotectant droplets on liquid nitrogen with IR imaging technology and non-isothermal crystallization kinetics model. Int. J. Heat Mass Transf. 2018, 127, 413–421. [Google Scholar] [CrossRef]
- Clark, R.N.; Cruikshank, D.P.; Jaumann, R.; Brown, R.H.; Stephan, K.; Dalle Ore, C.M.; Eric Livo, K.; Pearson, N.; Curchin, J.M.; Hoefen, T.M.; et al. The surface composition of Iapetus: Mapping results from Cassini VIMS. Icarus 2012, 218, 831–860. [Google Scholar] [CrossRef]
- Manolakis, D.G.; Lockwood, R.B.; Cooley, T.W. Spectral Mixture Analysis. In Hyperspectral Imaging Remote Sensing: Physics, Sensors, and Algorithms; Cambridge University Press: Cambridge, UK, 2016; pp. 443–493. [Google Scholar] [CrossRef]
- Ciarniello, M.; Capaccioni, F.; Filacchione, G.; Clark, R.N.; Cruikshank, D.P.; Cerroni, P.; Coradini, A.; Brown, R.H.; Buratti, B.J.; Tosi, F.; et al. Hapke modeling of Rhea surface properties through Cassini-VIMS spectra. Icarus 2011, 214, 541–555. [Google Scholar] [CrossRef] [Green Version]
- Clark, R.N.; Cruikshank, P.D.; Dalle Ore, C.M.; Jaumann, R.; Curchin, J.M.; Hoefen, T.M.; Stephan, K.; Buratti, B.J.; Filacchione, G.; Baines, K.H.; et al. Composition and Grain Sizes of Dark Material in Saturn’s Icy Satellites and Rings. EPSC-DPS Jt. Meet. 2011, 2011, 1563. [Google Scholar]
- Stephan, K.; Ciarniello, M.; Poch, O.; Haack, D.; Raponi, A. Vis-NIR Reflectance Spectra of H2O Ice with Varying Grain Sizes (70–1060 µm), Shapes (Spherical or Irregular) and Three Mixtures, from 70 to 220 K; SSHADE: “Solid Spectroscopy Hosting Architecture of Databases and Expertise” and Its Databases; OSUG Data Center: Grenoble, France, 26 November 2021; Available online: https://www.sshade.eu/data/EXPERIMENT_OP_20201223_001 (accessed on 20 November 2021).
- Filacchione, G.; Capaccione, F.; Ciarniello, M.; Clark, R.N.; Cuzzi, J.N.; Nicholson, P.D.; Cruikshank, P.D.; Hedman, M.M.; Buratti, B.J.; Lunine, J.; et al. Saturn’s icy satellites and rings investigated by Cassini-VIMS: III-Radial compositional variability. Icarus 2012, 220, 1064–1096. [Google Scholar] [CrossRef] [Green Version]
- McCord, T.B.; Hansen, G.B.; Clark, R.N.; Martin, P.D.; Hibbitts, C.A.; Fanale, F.P.; Grnahan, J.C.; Segura, M.; Matson, D.L.; Johnson, T.V.; et al. Non-water-ice constituents in the surface material of the icy Galilean satellites from the Galileo near-infrared mapping spectrometer investigation. J. Geophys. Res. 1998, 103, 8603–8626. [Google Scholar] [CrossRef]
- Grundy, W.M.; Buie, M.W.; Stansberry, J.A.; Spencer, J.R.; Schmitt, B. Near-Infrared Spectra of Icy Outer Solar System Surfaces: Remote Determination of H2O Ice Temperatures. Icarus 1999, 142, 536–549. [Google Scholar] [CrossRef]
- Ligier, N.; Paranicas, C.; Carter, J.; Poulet, F.; Calvin, W.M.; Nordheim, T.A.; Snodgrass, C.; Ferellec, L. Surface composition and properties of Ganymede: Updates from ground-based observations with the near-infrared imaging spectrometer SINFONI/VLT/ESO. Icarus 2019, 333, 496–515. [Google Scholar] [CrossRef] [Green Version]
















Publisher’s Note: MDPI stays neutral with regard to jurisdictional claims in published maps and institutional affiliations. |
© 2021 by the authors. Licensee MDPI, Basel, Switzerland. This article is an open access article distributed under the terms and conditions of the Creative Commons Attribution (CC BY) license (https://creativecommons.org/licenses/by/4.0/).
Share and Cite
Stephan, K.; Ciarniello, M.; Poch, O.; Schmitt, B.; Haack, D.; Raponi, A. VIS-NIR/SWIR Spectral Properties of H2O Ice Depending on Particle Size and Surface Temperature. Minerals 2021, 11, 1328. https://doi.org/10.3390/min11121328
Stephan K, Ciarniello M, Poch O, Schmitt B, Haack D, Raponi A. VIS-NIR/SWIR Spectral Properties of H2O Ice Depending on Particle Size and Surface Temperature. Minerals. 2021; 11(12):1328. https://doi.org/10.3390/min11121328
Chicago/Turabian StyleStephan, Katrin, Mauro Ciarniello, Olivier Poch, Bernard Schmitt, David Haack, and Andrea Raponi. 2021. "VIS-NIR/SWIR Spectral Properties of H2O Ice Depending on Particle Size and Surface Temperature" Minerals 11, no. 12: 1328. https://doi.org/10.3390/min11121328
APA StyleStephan, K., Ciarniello, M., Poch, O., Schmitt, B., Haack, D., & Raponi, A. (2021). VIS-NIR/SWIR Spectral Properties of H2O Ice Depending on Particle Size and Surface Temperature. Minerals, 11(12), 1328. https://doi.org/10.3390/min11121328

