Effect of Oxycations in Clay Mineral on Adsorption—Vanadyl Exchange Bentonites and Their Ability for Amiloride Removal
Abstract
:1. Introduction
2. Materials and Methods
2.1. Chemicals and Materials
2.2. Quartz Removal
2.3. Preparation of the Vanadyl Exchanged Bentonites
2.4. Adsorption of Amirolide
2.5. Characterizations
2.6. Kinetic and Equilibrium Models
3. Results
3.1. Characterizations of the Sodium and Vanadyl Exchanged Bentonites before and after Amiloride Adsorption
3.1.1. X-ray Fluorescence (XRF)
3.1.2. X-ray Diffractometry
3.1.3. Zeta Potential
3.1.4. Spectroscopy
3.1.5. SEM and EDX Analysis
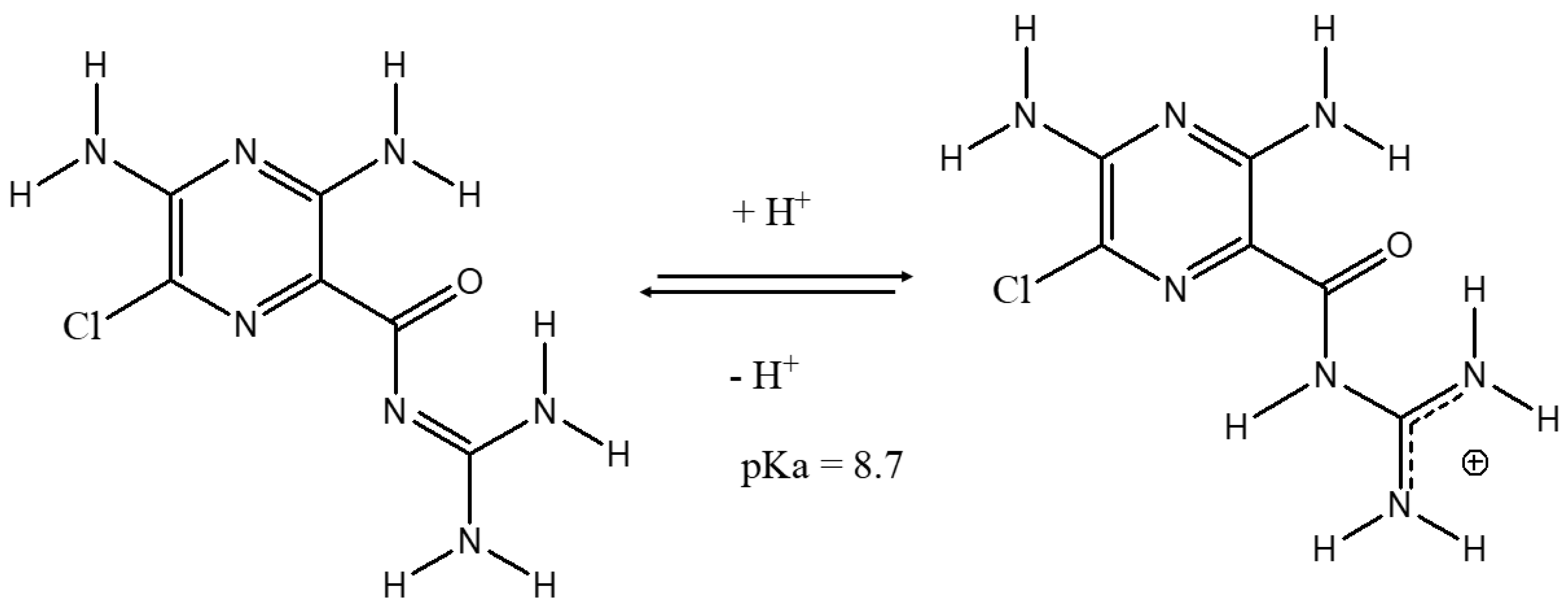
3.2. Mechanism of Amiloride Clay Interaction
3.3. Adsorption
3.3.1. Adsorbent Dosage
3.3.2. Influence of Time
3.3.3. Equilibrium Isotherms
4. Conclusions
Supplementary Materials
Author Contributions
Funding
Data Availability Statement
Conflicts of Interest
References
- Sodré, F.F.; Locatelli, M.A.F.; Jardim, W.F. Occurrence of emerging contaminants in Brazilian drinking waters: A sewage-to-tap issue. Water Air Soil Pollut. 2010, 206, 57–67. [Google Scholar] [CrossRef]
- De Andrade, J.R.; Oliveira, M.F.; Da Silva, M.G.C.; Vieira, M.G.A. Adsorption of Pharmaceuticals from Water and Wastewater Using Nonconventional Low-Cost Materials: A Review. Ind. Eng. Chem. Res. 2018, 57, 3103–3127. [Google Scholar] [CrossRef]
- Lonappan, L.; Kaur, S.; Kumar, R.; Verma, M.; Surampalli, R.Y. Diclofenac and its transformation products: Environmental occurrence and toxicity—A review. Environ. Int. 2016, 96, 127–138. [Google Scholar] [CrossRef] [Green Version]
- Rizzi, V.; Gubitosa, J.; Fini, P.; Romita, R.; Agostiniano, A.; Nuzzo, S.; Cosma, P. Commercial bentonite clay as low-cost and recyclable ‘natural’ adsorbent for the Carbendazim removal/recover from water: Overview on the adsorption process and preliminary photodegradation considerations. Colloids Surf. A Physicochem. Eng. Asp. 2020, 602. in press. [Google Scholar] [CrossRef]
- Quadra, G.R.; Oliveira de Souza, H.; dos Santos Costa, R.; dos Santos Fernandez, M.A. Do pharmaceuticals reach and affect the aquatic ecosystems in Brazil? A critical review of current studies in a developing country. Environ. Sci. Pollut. Res. 2017, 24, 1200–1218. [Google Scholar] [CrossRef] [PubMed]
- Świacka, K.; Szaniawska, A.; Caban, M. Evaluation of bioconcentration and metabolism of diclofenac in mussels Mytilus trossulus—laboratory study. Mar. Pollut. Bull. J. 2019, 141, 249–255. [Google Scholar] [CrossRef]
- De Jesus Silva Chaves, M.; Barbosa, S.C.; Mallinowski, M.M.; Volpato, D.; Castro, I.B.; Franco, T.C.R.S.; Primel, E.G. Pharmaceuticals and personal care products in a Brazilian wetland of international importance: Occurrence and environmental risk assessment. Sci. Total Environ. 2020, 734, 139–374. [Google Scholar]
- Veras, T.B.; Luiz Ribeiro de Paiva, A.; Duarte, M.M.M.B.; Napoleão, D.C.; da Silva Pereira Cabral, J.J. Analysis of the presence of anti-inflammatories drugs in surface water: A case study in Beberibe river—PE, Brazil. Chemosphere 2019, 222, 961–969. [Google Scholar] [CrossRef]
- Pivetta, R.C.; Rodrigues-Silva, C.; Ribeiro, A.R.; Rath, S. Tracking the occurrence of psychotropic pharmaceuticals in Brazilian wastewater treatment plants and surface water, with assessment of environmental risks. Sci. Total Environ. 2020, 727, 138–661. [Google Scholar] [CrossRef]
- Arsand, J.B.; Roff, R.B.; Jank, L.; Bussamara, R.; Dallegrave, A.; Bento, F.M.; Kmetzsch, L.; Falção, D.A.; Peralba, M.C.R.; Gomes, A.A.; et al. Presence of antibiotic resistance genes and its association with antibiotic occurrence in Dilúvio River in southern Brazil. Sci. Total Environ. 2020, 738, 139–781. [Google Scholar] [CrossRef]
- Aus der Beek, T.; Weber, F.A.; Bergman, A.; Hickmann, S.; Ebert, I.; Hein, A.; Küster, A. Pharmaceuticals in the environment—Global occurrences and perspectives. Environ. Toxicol. Chem. 2016, 35, 823–835. [Google Scholar] [CrossRef] [PubMed]
- Trigueiro, P.; Pereira, F.A.R.; Guillermin, D.; Rigaud, B.; Balme, S.; Janot, J.; Ieda, M.G.; Fonseca, M.G.; Walter, P.; Jaber, M. Dyes and Pigments When anthraquinone dyes meet pillared montmorillonite: Stability or fading upon exposure to light? Dyes Pigm. 2018, 159, 384–394. [Google Scholar] [CrossRef]
- Starón, P.; Chwastowski, J.; Banach, M. Sorption behavior of methylene blue from aqueous solution by raphia fibers. Int. J. Environ. Sci. Technol. 2019, 16, 8449–8460. [Google Scholar] [CrossRef] [Green Version]
- Sophia, C.A.; Lima, E.C. Removal of emerging contaminants from the environment by adsorption. Ecotoxicol. Environ. Saf. 2018, 150, 1–17. [Google Scholar] [CrossRef] [PubMed]
- França, D.B.; Trigueiro, P.; Filho, E.C.S.; Fonseca, M.G.; Jaber, M. Monitoring diclofenac adsorption by organophilic alkylpyridinium bentonites. Chemosphere 2020, 242, 125019. [Google Scholar] [CrossRef] [PubMed]
- Yotsuji, K.; Tachi, Y.; Sakuma, H.; Kawamura, K. Effect of interlayer cations on montmorillonite swelling: Comparison between molecular dynamic simulations and experiments. Appl. Clay Sci. 2021, 204, 106034. [Google Scholar] [CrossRef]
- Bergaya, F.; Lagaly, G. Introduction to Pure Clay Minerals. In Handbook of Clay Science, 2nd ed.; Bergaya, F., Lagaly, G., Eds.; Developments in Clay Science; Elsevier: Amsterdam, The Netherlands, 2013; pp. 211–222. [Google Scholar]
- Wypych, F.; Satyanarayana, K.G. Clay Surfaces: Fundamentals and Applications; Elsevier: Amsterdam, The Netherlands, 2004. [Google Scholar]
- Maged, A.; Iqbal, J.; Kharbish, S.; Ismael, I.S.; Bhatnagar, A. Tuning tetracycline removal from aqueous solution onto activated 2:1 layered clay mineral: Characterization, sorption and mechanistic studies. J. Hazard. Mater. 2020, 384, 121–320. [Google Scholar] [CrossRef] [PubMed]
- Xing Zha, S.; Zhou, Y.; Jin, X.; Chen, Z. The removal of amoxicillin from wastewater using organobentonite. J. Environ. Manage. 2013, 129, 569–576. [Google Scholar]
- Wu, Q.; Que, Z.; Li, Z.; Chen, S.; Zhang, W.; Yin, K. Photodegradation of ciprofloxacin adsorbed in the intracrystalline space of montmorillonite. J. Hazard. Mater. 2018, 359, 414–420. [Google Scholar] [CrossRef]
- Bergaya, F.; Jaber, M. Clay for nanocomposites. In Rubber-Clay Nanocomposites, 1st ed.; Galimberti, M., Ed.; IntechOpen: London, UK, 2011; pp. 1–44. [Google Scholar]
- Brigatti, M.F.; Galán, E.; Theng, B.K.G. Structure and mineralogy of clay minerals. In Handbook of Clay Science, 2nd ed.; Bergaya, F., Lagaly, G., Eds.; Developments in Clay Science; Elsevier: Amsterdam, The Netherlands, 2013; pp. 21–81. [Google Scholar]
- He, H.; Ma, L.; Zhu, J.; Frost, R.L.; Theng, B.K.G.; Bergaya, F. Synthesis of organoclays: A critical review and some unresolved issues. Appl. Clay Sci. 2014, 100, 22–28. [Google Scholar] [CrossRef]
- Parolo, M.E.; Avena, M.J.; Pettinari, G.R.; Baschini, M.T. Influence of Ca2+ on tetracycline adsorption on montmorillonite. J. Colloid Interface Sci. 2012, 368, 420–426. [Google Scholar] [CrossRef]
- Wu, L.; Liao, L.; Lv, G. Influence of interlayer cations on organic intercalation of montmorillonite. J. Colloid Interface Sci. 2015, 454, 1–7. [Google Scholar] [CrossRef] [PubMed]
- Zulfiqar, S.; Ahmad, Z.; Ishaq, M.; Sarwar, M.I. Aromatic-aliphatic polyamide/montmorillonite clay nanocomposite materials: Synthesis, nanostructure and properties. Mater. Sci. Eng. A 2009, 525, 30–36. [Google Scholar] [CrossRef]
- Komadel, P.; Madejová, J. Acid Activation of Clay Minerals. In Handbook of Clay Science, 2nd ed.; Bergaya, F., Lagaly, G., Eds.; Developments in Clay Science; Elsevier: Amsterdam, The Netherlands, 2013; pp. 385–409. [Google Scholar]
- Fatimah, I.; Wijaya, K.; Narsito. Microwave assisted preparation of TiO2/Al-pillared saponite for photocatalytic phenol photo-oxidation in aqueous solution. Arab. J. Chem. 2015, 8, 228–232. [Google Scholar] [CrossRef] [Green Version]
- Chauhan, M.; Saini, V.K.; Suthar, S. Ti-pillared montmorillonite clay for adsorptive removal of amoxicillin, imipramine, diclofenac-sodium, and paracetamol from water. J. Hazard. Mater. 2020, 399, 122832. [Google Scholar] [CrossRef] [PubMed]
- Oliveira, T.; Boussafir, M.; Fougère, L.; Destandau, E.; Sugahara, Y.; Guégan, R. Use of a clay mineral and its nonionic and cationic organoclay derivatives for the removal of pharmaceuticals from rural wastewater effluents. Chemosphere 2020, 259, 127–480. [Google Scholar] [CrossRef]
- Maged, A.; Kharbish, S.; Ismael, I.S.; Bhatnagar, A. Characterization of activated bentonite clay mineral and the mechanisms underlying its sorption for ciprofloxacin from aqueous solution. Environ. Sci. Pollut. Res. 2020, 32, 980–997. [Google Scholar] [CrossRef]
- Rakić, V.; Rajić, N.; Daković, A.; Auroux, A. The adsorption of salicylic acid, acetylsalicylic acid and atenolol from aqueous solutions onto natural zeolites and clays: Clinoptilolite, bentonite and kaolin. Microporous Mesoporous Mater. 2013, 166, 185–194. [Google Scholar] [CrossRef]
- Nourmoradi, H.; Daneshfar, A.; Mazloomi, S.; Bagheri, J.; Barati, S. Removal of Penicillin G from aqueous solutions by a cationic surfactant modified montmorillonite. MethodsX 2019, 6, 1967–1973. [Google Scholar] [CrossRef] [PubMed]
- De Oliveira, T.; Guégan, R.; Thiebault, T.; Le Milbeau, C.; Muller, F.; Teixeira, V.; Giovanela, M.; Boussafir, M. Adsorption of diclofenac onto organoclays: Effects of surfactant and environmental (pH and temperature) conditions. J. Hazard. Mater. 2017, 323, 558–566. [Google Scholar] [CrossRef]
- Bizi, M.; El Bachra, F.E. Evaluation of the ciprofloxacin adsorption capacity of common industrial minerals and application to tap water treatment. Powder Technol. 2020, 362, 323–333. [Google Scholar] [CrossRef]
- Cavalcanti, G.R.S.; Fonseca, M.G.; da Silva Filho, E.C.; Jaber, M. Thiabendazole/bentonites hybrids as controlled release systems. Colloids Surf. B Biointerfaces 2019, 176, 249–255. [Google Scholar] [CrossRef]
- Parolo, M.E.; Avena, M.J.; Savini, M.C.; Baschini, M.T.; Nicotra, V. Adsorption and circular dichroism of tetracycline on sodium and calcium-montmorillonites. Colloids Surf. A Physicochem. Eng. Asp. 2013, 417, 57–64. [Google Scholar] [CrossRef]
- Rivagli, E.; Pastorello, A.; Sturini, M.; Maraschi, F.; Speltini, A.; Zampori, L.; Setti, M.; Malavasi, L.; Profumo, A. Clay minerals for adsorption of veterinary FQs: Behavior and modeling. J. Environ. Chem. Eng. 2014, 2, 738–744. [Google Scholar] [CrossRef]
- Mahouachi, L.; Rastogi, T.; Palm, W.U.; Ghorbel-Abid, I.; Ben Hassen Chehimi, D.; Kümmerer, K. Natural clay as a sorbent to remove pharmaceutical micropollutants from wastewater. Chemosphere 2020, 258, 127–213. [Google Scholar] [CrossRef] [PubMed]
- Thiebault, T.; Boussafir, M.; Guégan, R.; Le Milbeau, C.; Le Forestier, L. Clayey-sand filter for the removal of pharmaceuticals from wastewater effluent: Percolation experiments. Environ. Sci. Water Res. Technol. 2016, 2, 529–538. [Google Scholar] [CrossRef] [Green Version]
- Tiwari, D. Efficient use of hybrid materials in the remediation of aquatic environment contaminated with micro-pollutant diclofenac sodium. Chem. Eng. J. 2015, 263, 364–373. [Google Scholar]
- Silva, D.T.C.; Arruda, I.E.S.; França, L.M.; França, D.B.; Fonseca, M.G.; Soares, M.F.L.R.; Iborra, C.V.; Soares-Sobrinho, J.L. Tamoxifen/montmorillonite system—Effect of the experimental conditions. Appl. Clay Sci. 2019, 180, 105–142. [Google Scholar] [CrossRef]
- Del Mar Orta, M.; Martín, J.; Medina-Carrasco, S.; Santos, J.L.; Aparicio, I.; Alonso, E. Adsorption of propranolol onto montmorillonite: Kinetic, isotherm and pH studies. Appl. Clay Sci. 2019, 173, 107–114. [Google Scholar] [CrossRef]
- Chang, P.-H.; Jiang, W.-T.; Li, Z.; Kuo, C.-Y.; Jean, J.-H.; Chen, W.-R.; Lv, G. Mechanism of amitriptyline adsorption on Ca-montmorillonite (SAz-2). J. Hazard. Mater. 2014, 277, 44–52. [Google Scholar] [CrossRef] [PubMed]
- Thomsen, K.; Jonassen, T.E.N.; Christensen, S.; Shirley, D.G. Amiloride inhibits proximal tubular reabsorption in conscious euvolemic rats. Eur. J. Pharmacol. 2002, 437, 85–90. [Google Scholar] [CrossRef]
- Sun, Q.; Sever, P. Amiloride: A review. J. Renin-Angiotensin-Aldosterone Syst. 2020, 21, 1470320320975893. [Google Scholar] [CrossRef]
- Vidt, D.G. Mechanism of Action, P harmaco kinetics, Adverse Effects, and Therapeutic Uses of Amiloride Hydrochloride, A New Potassium-Sparing Diuretic. Pharmacotherapy 1981, 1, 179–187. [Google Scholar] [CrossRef]
- Brack, W.; Altenburger, R.; Schüürmann, G.; Krauss, M.; López Herráez, D.; van Gils, J.; Slobodnik, J.; Munthe, J.; Manfred Gawlik, B.; van Wezel, A.; et al. Umbuzeiro, The SOLUTIONS project: Challenges and responses for present and future emerging pollutants in land and water resources management. Sci. Total Environ. 2015, 503–504, 22–31. [Google Scholar] [CrossRef] [Green Version]
- Wilkinson, J.; Hooda, P.S.; Barker, J.; Barton, S.; Swinden, J. Occurrence, fate and transformation of emerging contaminants in water: An overarching review of the field. Environ. Pollut. 2017, 231, 954–970. [Google Scholar] [CrossRef] [Green Version]
- Calza, P.; Massolino, C.; Medana, C.; Baiocchi, C. Study of the photolytic and photocatalytic transformation of amiloride in water. J. Pharm. Biomed. Anal. 2008, 48, 315–320. [Google Scholar] [CrossRef]
- Martins, N.D.J.; Gomes, I.S.C.; da Silva, G.T.S.T.; Torres, J.A.; Avansi, W., Jr.; Ribeiro, C.; Malagutti, A.R.; Mourão, H.A.J.L. Facile preparation of ZnO:g-C3N4 heterostructures and their application in amiloride photodegradation and CO2 photoreduction. J. Alloys Compd. 2020, 856, 156798. [Google Scholar] [CrossRef]
- De Luca, M.; Ioele, G.; Mas, S.; Tauler, R.; Ragno, G. A study of pH-dependent photodegradation of amiloride by a multivariate curve resolution approach to combined kinetic and acid–base titration UV data. Analyst 2015, 137, 5428–5435. [Google Scholar] [CrossRef]
- Wang, C.J.; Li, Z.; Jiang, W.T. Adsorption of ciprofloxacin on 2:1 dioctahedral clay minerals. Appl. Clay Sci. 2011, 53, 723–728. [Google Scholar] [CrossRef]
- Shi, Y.; Yang, Z.; Wang, B.; An, H.; Chen, Z.; Cui, H. Adsorption and photocatalytic degradation of tetracycline hydrochloride using a palygorskite-supported Cu2O-TiO2 composite. Appl. Clay Sci. 2016, 119, 311–320. [Google Scholar] [CrossRef]
- Gil, A.; Santamaría, L.; Korili, S.A.; Vicente, M.A.; Barbosa, L.V.; Souza, S.D.; Marçal, L.; Faria, E.H.; Ciuffi, K.J. A review of organic-inorganic hybrid clay based adsorbents for contaminants removal: Synthesis, perspectives and applications. J. Environ. Chem. Eng. 2021, 9, 105808. [Google Scholar] [CrossRef]
- Lima, L.C.B.; Coelho, C.C.; Silva, F.C.; Meneguin, A.B.; Barud, H.S.; Bezerra, R.D.S.; Viseras, C.; Osajima, J.A.; Silva-Filho, E.C. Hybrid Systems Based on Talc and Chitosan for Controlled Drug Release. Materials 2019, 12, 3634. [Google Scholar] [CrossRef] [Green Version]
- Guerrero-Pérez, M.O. Supported, bulk and bulk-supported vanadium oxide catalysts: A short review with an historical perspective. Catal. Today 2017, 285, 226–233. [Google Scholar] [CrossRef]
- Mcbride, M.B. Mobility and reactions of VO2+ on hydrated smectite surfaces I. Clays Clay Miner. 1979, 27, 91–96. [Google Scholar] [CrossRef]
- Zid, T.B.; Fadhli, M.; Khedher, I.; Fraile, J.M. New bis(oxazoline)–vanadyl complexes, supported by electrostatic interaction in Laponite clay, asheterogeneous catalysts forasymmetric oxidation of methyl phenyl sulfide. Microporous Mesoporous Mater. 2016, 239, 167–172. [Google Scholar]
- Gao, X.; Xu, J. A new application of clay-supported vanadium oxide catalyst to selective hydroxylation of benzene to phenol. Appl. Clay Sci. 2006, 33, 1–6. [Google Scholar] [CrossRef]
- Soriano, M.D.; Cecilia, J.A.; Natoli, A.; Jiménez-Jiménez, J.; López Nieto, J.M.; Rodríguez-Castellón, E. Vanadium oxide supported on porous clay heterostructure for the partial oxidation of hydrogen sulphide to sulfur. Catal. Today 2015, 254, 36–42. [Google Scholar] [CrossRef]
- Wang, Q.; Zhang, Y.; Zheng, J.; Hu, T.; Meng, C. Synthesis, structure, optical and magnetic properties of interlamellar decoration of magadiite using vanadium oxide species. Microporous Mesoporous Mater. 2017, 244, 264–277. [Google Scholar] [CrossRef]
- Dohrmann, R. Cation exchange capacity methodology I: An efficient model for the detection of incorrect cation exchange capacity and exchangeable cation results. Appl. Clay Sci. 2006, 34, 31–37. [Google Scholar] [CrossRef]
- Brito, D.F.; Silva-Filho, E.C.; Fonseca, M.G.; Jaber, M. Organophilic bentonites obtained by microwave heating as adsorbents for anionic dyes. J. Environ. Chem. Eng. 2018, 6, 7080–7090. [Google Scholar] [CrossRef] [Green Version]
- Amilwide, D.J. Amiloride: Transport a molecular probe of sodium in tissues and cells. Am. J. Physiol. 1982, 242, 131–145. [Google Scholar]
- Cullity, B.D.; Stock, S.R. Elements of X ray Diffraction, 3rd ed.; AW Publish: New York, NY, USA, 1967. [Google Scholar]
- Lagergren, S. Zur theorie der sogenannten adsorption geloster kungliga svenska vetenskapsakdemiens. Handlingar 1898, 24, 1–39. [Google Scholar]
- Ho, Y.S.; McKay, G. Pseudo-second order model for sorption processes. Process Biochem. 1999, 34, 451–465. [Google Scholar] [CrossRef]
- Chien, S.H.; Clayton, W.R. Application of Elovich equation to the kinetics of phosphate release and sorption in soils1. Soil Sci. Soc. Am. J. 1984, 44, 265–268. [Google Scholar] [CrossRef]
- Langmuir, I. The adsorption of gases on plane surfaces of glass mica and platinum. J. Am. Chem. Soc. 1918, 40, 1361–1403. [Google Scholar] [CrossRef] [Green Version]
- Freundlich, H.M.F. Over the adsorption in solution. J. Phys. Chem. 1906, 57, 385–471. [Google Scholar]
- Temkin, M.J.; Pyzhev, V. Recent modifications to Langmuir isotherms. Acta Physicochim. USSR 1940, 12, 217–222. [Google Scholar]
- Lima, É.C.; Adebayo, M.A.; Machado, F.M. Kinetic and Equilibrium Models of Adsorption. In Carbon Nanomaterials as Adsorbents for Environmental and Biological Applications, 1st ed.; Bergmann, C.P., Machado, F.M., Eds.; Springer: Berlin/Heidelberg, Germany, 2015; pp. 33–69. [Google Scholar]
- Bergaya, F.; Lagaly, G. General introduction: Clays, clay minerals, and clay science. In Handbook of Clay Science, 2nd ed.; Bergaya, F., Lagaly, G., Eds.; Developments in Clay Science; Elsevier: Amsterdam, The Netherlands, 2013; pp. 1–18. [Google Scholar]
- Lagaly, G.; Ogawa, M.; Dékány, I. Clay mineral–organic interactions. In Handbook of Clay Science, 2nd ed.; Bergaya, F., Lagaly, G., Eds.; Developments in Clay Science; Elsevier: Amsterdam, The Netherlands, 2013; pp. 435–505. [Google Scholar]
- Günister, E.; Pestreli, Ü.D.C.H.; Atici, O.; Güngör, N. Synthesis and characterization of chitosan-MMT biocomposite systems. Carbohydr. Polym. 2007, 67, 358–365. [Google Scholar] [CrossRef]
- Jiang, Z.; Klyukin, K.; Alexandrov, V. Structure, hydrolysis and diffusion of aqueous vanadium ions from Car-Parrinello molecular dynamics. J. Chem. Phys. 2016, 145, 114303. [Google Scholar] [CrossRef] [Green Version]
- Madejová, J.; Bujdák, J.; Janek, M.; Komadel, P. Comparative FT-IR study of structural modifications during acid treatment of dioctahedral smectites and hectorite. Spectrochim. Acta A Mol. Biomol. Spectrosc. 1998, 54, 1397–1406. [Google Scholar] [CrossRef]
- Zhen, Q.; Li, L.; Li, R.; Lu, F.; Li, Z.; Wang, Y. Morphology controllable preparation and infrared emissivity of vanadium pentoxide. Infrared Phys. Technol. 2015, 71, 303–306. [Google Scholar] [CrossRef]
- Mazzo, D.J.; Obetz, C.L.; Shuster, J.E. Analytical Profiles of Drugs Substances, 1st ed.; Florey, K., Brittain, H., Eds.; Elsevier: Amsterdam, Netherlands, 1986; pp. 237–301. [Google Scholar]
- Lin-Vien, D. The Handbook of Infrared and Raman Characteristic Frequencies of Organic Molecules, 1st ed.; Academic Press: Cambridge, MA, USA, 1991. [Google Scholar]
- Bagnati, E.Z.R.; Natangelo, F.F.M.; Fanelli, D.C.R. Environmental Loads and Detection of Pharmaceuticals in Italy. Pharm. Environ. 2001, 3, 19–27. [Google Scholar]








| Samples | ||||||
|---|---|---|---|---|---|---|
| BentV1 | BentV3 | BentV5 | ||||
| % Oxide | Before | After | Before | After | Before | After |
| SiO2 | 54.07 | 57.90 | 52.64 | 53.69 | 51.26 | 51.26 |
| Al2O3 | 16.57 | 17.70 | 16.20 | 16.58 | 15.91 | 15.90 |
| Fe2O3 | 15.25 | 11.83 | 14.22 | 13.23 | 14.38 | 14.38 |
| V2O5 | 5.13 | 4.35 | 10.44 | 9.11 | 11.92 | 11.92 |
| SO3 | 2.81 | 2.84 | 1.64 | 2.24 | 2.47 | 2.47 |
| CaO | 2.27 | 1.67 | 1.58 | 1.58 | 0.76 | 0.76 |
| TiO2 | - | - | - | - | - | - |
| K2O | 0.82 | 0.79 | 0.77 | 0.71 | 0.73 | 0.73 |
| MgO | 0.79 | 0.65 | 0.61 | 0.61 | 0.46 | 0.46 |
| BaO | - | - | 1.82 | 2.13 | 1.93 | 1.93 |
| MnO | - | - | - | - | 0.06 | 0.46 |
| Na * (mg·L−1) | 351.4 | - | 334.1 | - | 334.4 | - |
| Sample | 2θ | d (nm) | ∆d * (nm) | D (nm) |
|---|---|---|---|---|
| Na+-Bent | 7.21 | 1.22 | 0.26 | 8.86 |
| BentAmil | 6.20 | 1.42 | 0.46 | 5.10 |
| BentV1 | 6.58 | 1.34 | 0.38 | 4.86 |
| BentV1Amil | 6.76 | 1.30 | 0.34 | 7.15 |
| BentV3 | 6.43 | 1.37 | 0.41 | 5.86 |
| BentV3Amil | 6.83 | 1.29 | 0.33 | 5.62 |
| BentV5 | 6.13 | 1.44 | 0.48 | 5.21 |
| BentV5Amil | 6.52 | 1.35 | 0.39 | 4.94 |
| Pseudo-First-Order Model | |||||
|---|---|---|---|---|---|
| Adsorbent | qteor (mg·g−1) | qexp (mg·g−1) | k1 (min−1) | R2 | SD (mg·g−1) |
| Na+-Bent | 80.10 ± 0.26 | 80.69 ± 0.04 | 0.34 ± 0.02 | 0.9993 | 0.69 |
| BentV1 | 35.32 ± 0.31 | 36.12 ± 0.02 | 0.36 ± 0.03 | 0.9940 | 0.86 |
| BentV3 | 86.23 ± 1.99 | 91.45 ± 0.04 | 0.28 ± 0.05 | 0.9624 | 5.33 |
| BentV5 | 20.64 ± 0.09 | 20.64 ± 0.01 | 1.006 ± 0.42 | 0.9984 | 0.26 |
| Pseudo-Second-Order Model | |||||
| Adsorbent | qteor (mg·g−1) | qexp (mg·g−1) | k2 (g·mg−1·min−1) | R2 | SD (mg·g−1) |
| Na+-Bent | 80.98 ± 0.22 | 80.69 ± 0.04 | 0.026 ± 0.003 | 0.9998 | 0.39 |
| BentV1 | 36.28 ± 0.23 | 36.12 ± 0.02 | 0.027 ± 0.003 | 0.9980 | 0.4 |
| BentV3 | 90.86 ± 1.56 | 91.45 ± 0.04 | 0.006 ± 0.001 | 0.9988 | 3.05 |
| BentV5 | 20.59 ± 0.13 | 20.64 ± 0.01 | 0.84 ± 0.04 | 0.9978 | 0.31 |
| Langmuir | ||||
|---|---|---|---|---|
| Adsorbent | qteor (mg·g−1) | qmax (mg·g−1) | k (10−1 L·mg−1) | R2 |
| Na+-Bent | 457.08 ± 7.56 | 434.53 ± 2.17 | 0.081 ± 0.01 | 0.9948 |
| BentV1 | 374.64 ± 26.88 | 343.46 ± 1.71 | 0.115 ± 0.03 | 0.8972 |
| BentV3 | 102.56 ± 5.90 | 91.61 ± 0.04 | 0.637 ± 0.12 | 0.9287 |
| BentV5 | 25.63 ± 0.76 | 21.2 ± 0.01 | 0.316 ± 0.04 | 0.98767 |
| Freundlich | ||||
| Adsorbent | n | kf (mg·g−1) (mgL·mg−1)−1/n | R2 | SD (mg·g−1) |
| Na+-Bent | 3.39 ± 0.43 | 91.14 ± 16.57 | 0.9282 | 47.76 |
| BentV1 | 3.24 ± 0.58 | 74.72 ± 18.36 | 0.7727 | 64.92 |
| BentV3 | 4.70 ± 1.06 | 47.96 ± 5.81 | 0.7396 | 16.21 |
| BentV5 | 2.87 ± 0.43 | 8.21 ± 1.09 | 0.9347 | 1.90 |
| Temkin | ||||
| Adsorbent | bT (102 J·mol−1) | AT (L·mg−1) | R2 | SD (mg·g−1) |
| Na+-Bent | 0.01 ± 0.001 | 2.23 ± 0.60 | 0.9581 | 36.47 |
| BentV1 | 0.01 ± 0.002 | 1.24 ± 0.45 | 0.8398 | 54.51 |
| BentV3 | 0.06 ± 0.01 | 11.07 ± 7.80 | 0.7872 | 463.20 |
| BentV5 | 0.18 ± 0.01 | 2.84 ± 0.71 | 0.9679 | 1.33 |
Publisher’s Note: MDPI stays neutral with regard to jurisdictional claims in published maps and institutional affiliations. |
© 2021 by the authors. Licensee MDPI, Basel, Switzerland. This article is an open access article distributed under the terms and conditions of the Creative Commons Attribution (CC BY) license (https://creativecommons.org/licenses/by/4.0/).
Share and Cite
Oliveira, L.; Osajima, J.; Peña-Garcia, R.R.; Silva-Filho, E.C.; Fonseca, M.G. Effect of Oxycations in Clay Mineral on Adsorption—Vanadyl Exchange Bentonites and Their Ability for Amiloride Removal. Minerals 2021, 11, 1327. https://doi.org/10.3390/min11121327
Oliveira L, Osajima J, Peña-Garcia RR, Silva-Filho EC, Fonseca MG. Effect of Oxycations in Clay Mineral on Adsorption—Vanadyl Exchange Bentonites and Their Ability for Amiloride Removal. Minerals. 2021; 11(12):1327. https://doi.org/10.3390/min11121327
Chicago/Turabian StyleOliveira, Leandro, Josy Osajima, Ramon Raudel Peña-Garcia, Edson Cavalcanti Silva-Filho, and Maria Gardennia Fonseca. 2021. "Effect of Oxycations in Clay Mineral on Adsorption—Vanadyl Exchange Bentonites and Their Ability for Amiloride Removal" Minerals 11, no. 12: 1327. https://doi.org/10.3390/min11121327
APA StyleOliveira, L., Osajima, J., Peña-Garcia, R. R., Silva-Filho, E. C., & Fonseca, M. G. (2021). Effect of Oxycations in Clay Mineral on Adsorption—Vanadyl Exchange Bentonites and Their Ability for Amiloride Removal. Minerals, 11(12), 1327. https://doi.org/10.3390/min11121327

