The Depressing Effect of Kaolinite on Molybdenite Flotation in Seawater
Abstract
1. Introduction
2. Experimental
2.1. Samples and Reagents
2.2. Microflotation Tests
2.3. Induction Time Measurements
2.4. Turbidity Measurements
2.5. Electrophoretic Mobility Measurements
3. Results
3.1. Microflotation
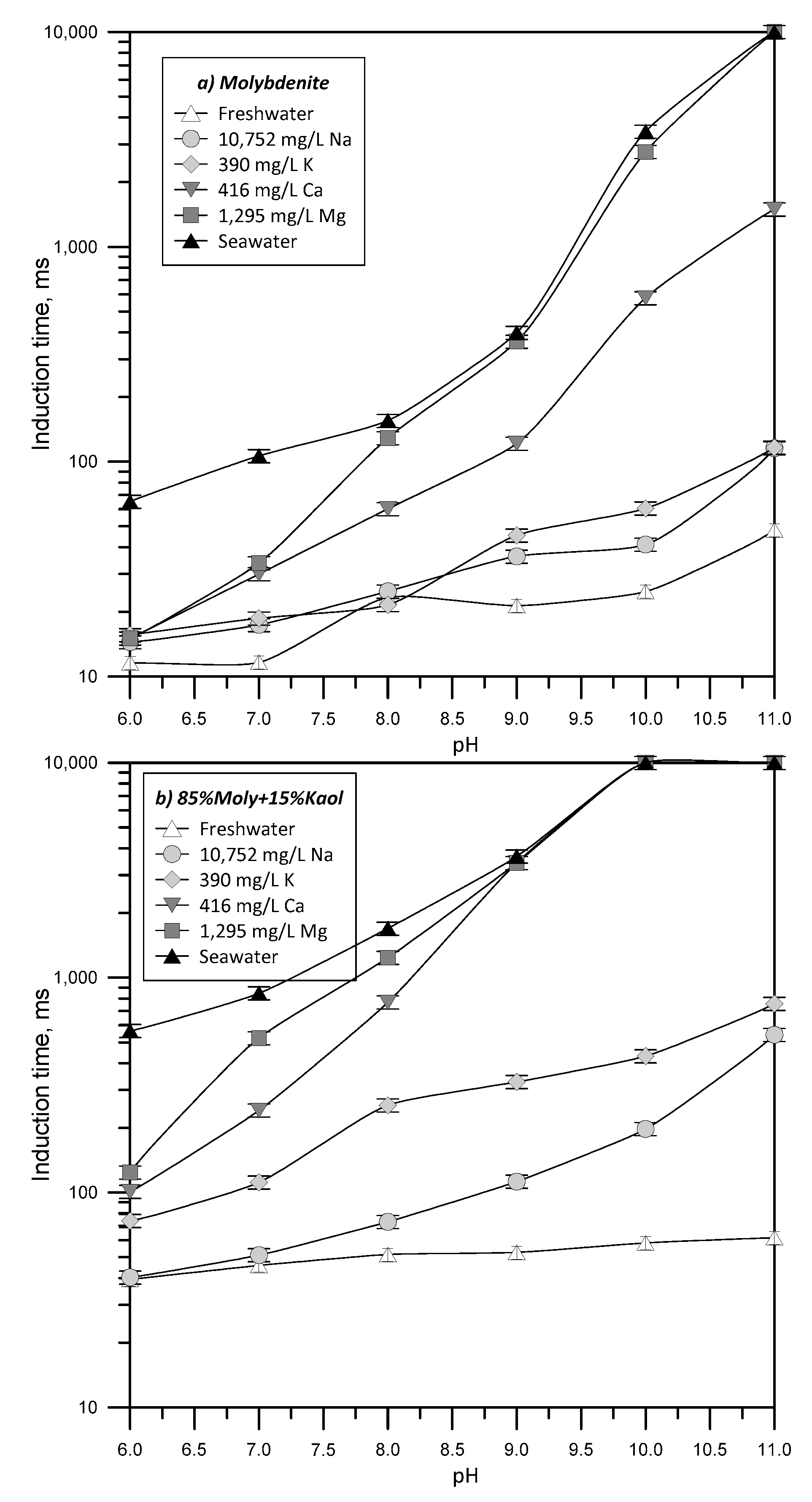
3.2. Induction Times
3.3. Turbidity
3.4. Electrophoretic Mobility
4. Discussion
5. Conclusions
Author Contributions
Funding
Acknowledgments
Conflicts of Interest
References
- Kelm, U.; Helle, S.; Jerez, O.; Pincheira, M. What are copper clays? Geometallurgical implications. In Proceedings of the Copper International Conference (COPPER 2013), Santiago, Chile, 1–4 December 2013; pp. 257–266. [Google Scholar]
- Bakker, C.W.; Meyer, C.J.; Deglon, D.A. Numerical modelling of non-Newtonian slurry in a mechanical flotation cell. Miner. Eng. 2009, 22, 944–950. [Google Scholar] [CrossRef]
- Ndlovu, B.; Farrokhpay, S.; Bradshaw, D. The effect of phyllosilicate minerals on mineral processing industry. Int. J. Miner. Process. 2013, 125, 149–156. [Google Scholar] [CrossRef]
- Ndlovu, B.; Forbes, E.; Farrokhpay, S.; Becker, M.; Deglon, D.; Bradshaw, D.J. A preliminary rheological classification of phyllosilicate group minerals. Miner. Eng. 2014, 55, 190–200. [Google Scholar] [CrossRef]
- Ralston, J.; Fornasiero, D.; Grano, S.; Duan, J.; Akroyd, T. Reducing uncertainty in mineral flotation—Flotation rate constant prediction for particles in an operating plant ore. Int. J. Miner. Process. 2007, 84, 89–98. [Google Scholar] [CrossRef]
- Liu, J.; Mak, T.; Zhou, Z.; Xu, Z. Fundamental study of reactive oily-bubble flotation. Miner. Eng. 2002, 15, 667–676. [Google Scholar] [CrossRef]
- McFarlane, A.J.; Addai-Mensah, J.; Bremmell, K. Rheology of flocculated kaolinite dispersions. Korea-Aust. Rheol. J. 2005, 17, 181–190. [Google Scholar]
- Uribe, L.M. Efecto del Agua de Mar en la Recuperación de Minerales de Cobre Molibdeno por Procesos de Flotación. Ph.D. Thesis, Universidad de Concepcion, Concepción, Chile, 2017. [Google Scholar]
- Uribe, L.; Gutierrez, L.; Jerez, O. The depressing effect of clay minerals on the floatability of chalcopyrite. Miner. Process. Extr. Metall. Rev. 2016, 37, 227–235. [Google Scholar] [CrossRef]
- Rebolledo, E.; Laskowski, J.S.; Gutierrez, L.; Castro, S. Use of dispersants in flotation of molybdenite in seawater. Miner. Eng. 2017, 100, 71–74. [Google Scholar] [CrossRef]
- Yepsen, R.; Gutierrez, L.; Laskowski, J.S. Flotation behavior of enargite in the process of flotation using seawater. Miner. Eng. 2019, 142, 105897. [Google Scholar] [CrossRef]
- Ramirez, A.; Gutierrez, L.; Laskowski, J.S. Sodium hexametaphosphate and sodium silicate as dispersants to reduce the negative effect of kaolinite on the flotation of chalcopyrite in seawater. Miner. Eng. 2018, 125, 10–14. [Google Scholar] [CrossRef]
- Alvarez, A.; Gutierrez, L.; Laskowski, J.S. Use of polyethylene oxide to improve flotation of fine molybdenite. Miner. Eng. 2018, 127, 232–237. [Google Scholar] [CrossRef]
- Hirajima, T.; Suyantara, G.P.W.; Ichikawa, O.; Elmahdy, A.M.; Miki, H.; Sasaki, K. Effect of Mg2+ and Ca2+ as divalent seawater cations on the floatability of molybdenite and chalcopyrite. Miner. Eng. 2016, 96, 83–93. [Google Scholar] [CrossRef]
- Castro, S. Proceso Para Pre-Tratar Agua de Mar y Otras Aguas Salinas Para Su Utilización en Procesos Industriales. Universidad de Concepcion. Chilean Patent No. 00475/INAPI, 12 May 2010. [Google Scholar]
- Castro, S. Challenges in flotation of Cu-Mo sulfide ores in sea water. Water Miner. Process. 2012, 29–40. [Google Scholar]
- Castro, S.; Rioseco, P.; Laskowski, J.S. Depression of molybdenite in sea water. In Proceedings of the 26th International Mineral Processing Congress, New Delhi, India, 1 December 2012; pp. 739–752. [Google Scholar]
- Castro, S.; Uribe, L.; Laskowski, J.S. Depression of inherently hydrophobic minerals by hydrolysable metal cations: Molybdenite depression in seawater. In Proceedings of the XXVII International Mineral Processing Congress-IMPC, Santiago, Chile, 20–24 October 2014; pp. 20–24. [Google Scholar]
- Ramos, O.; Castro, S.; Laskowski, J.S. Copper–molybdenum ores flotation in seawater: Floatability and frothability. Miner. Eng. 2013, 53, 108–112. [Google Scholar] [CrossRef]
- Castro, S.; Miranda, C.; Toledo, P.; Laskowski, J.S. Effect of frothers on bubble coalescence and foaming in electrolyte solutions and seawater. Int. J. Miner. Process. 2013, 124, 8–14. [Google Scholar] [CrossRef]
- Liu, S.B.; Wei, E.B.; Jia, Y.X. Estimating microwave emissivity of sea foam by Rayleigh method. J. Appl. Remote Sens. 2013, 7, 073598. [Google Scholar] [CrossRef]
- Laskowski, J.S. Particle-bubble attachment in flotation. Min. Sci. Eng. 1974, 6, 223–235. [Google Scholar]
- Klassen, V.I.; Mokrousov, V.A. An Introduction to the Theory of Flotation; Butterworths: London, UK, 1963; p. 493. [Google Scholar]
- Laskowski, J.; Castro, S. Flotation in concentrated aqueous electrolyte solutions. In Proceedings of the 11th International Mineral Processing Symposium, Belek-Antalya, Turkey, 21–23 October 2008; pp. 21–23. [Google Scholar]
- Bremmell, Kristen, E.; Fornasiero, Daniel; Ralston, John. Pentlandite–lizardite interactions and implications for their separation by flotation. Colloids Surf. A Physicochem. Eng. Asp. 2005, 252, 207–212. [CrossRef]
- Edwards, C.R.; Kipkie, W.B.; Agar, G.E. The effect of slime coatings of the serpentine minerals, chrysotile and lizardite, on pentlandite flotation. Int. J. Miner. Process. 1980, 7, 33–42. [Google Scholar] [CrossRef]
- Feng, B.; Feng, Q.; Lu, Y. A novel method to limit the detrimental effect of serpentine on the flotation of pentlandite. Int. J. Miner. Process. 2012, 114, 11–13. [Google Scholar] [CrossRef]
- Feng, B.; Lu, Y.; Feng, Q.; Zhang, M.; Gu, Y. Talc–serpentine interactions and implications for talc depression. Miner. Eng. 2012, 32, 68–73. [Google Scholar] [CrossRef]
- Ramirez, A.; Gutierrez, L.; Laskowski, J.S. Use of oily bubbles and dispersants in flotation of molybdenite in fresh and seawater. Miner. Eng. 2020, 148, 106197. [Google Scholar] [CrossRef]
- Ekmekçi, Z.; Demirel, H. Effects of galvanic interaction on collectorless flotation behaviour of chalcopyrite and pyrite. Int. J. Miner. Process. 1997, 52, 31–48. [Google Scholar] [CrossRef]
- Ansari, A.; Pawlik, M. Floatability of chalcopyrite and molybdenite in the presence of lignosulfonates. Part, I. Adsorption studies. Miner. Eng. 2007, 20, 600–608. [Google Scholar] [CrossRef]
- Chander, S.; Fuerstenau, D.W. On the natural floatability of molybdenite. Trans. Soc. Min. Eng. AIME 1972, 252, 62–68. [Google Scholar]
- Yuan, D.; Cadien, K.; Liu, Q.; Zeng, H. Separation of talc and molybdenite: Challenges and opportunities. Miner. Eng. 2019, 143, 105923. [Google Scholar] [CrossRef]
- Castro, S.; Lopez-Valdivieso, A.; Laskowski, J.S. Review of the flotation of molybdenite. Part I: Surface properties and floatability. Int. J. Miner. Process. 2016, 148, 48–58. [Google Scholar] [CrossRef]
- López-Valdivieso, A.; Madrid-Ortega, I.; Valdez-Pérez, D.; Yang, B.; Song, S. The heterogeneity of the basal plane of molybdenite: Its effect on molybdenite floatability and calcium ion adsorption. In Proceedings of the 9th International Mineral Processing Conference, Santiago, Chile, 30 November 2012; pp. 20–23. [Google Scholar]
- Gutierrez, L.; Uribe, L.; Hernandez, V.; Vidal, C.; Texeira-Mendonca, R. Assessment of the use of lignosulfonates to separate chalcopyrite and molybdenite by flotation. Powder Technol. 2019, 359, 216–225. [Google Scholar] [CrossRef]
- Vanerek, A.; Alince, B.; Van de Ven, T.G.M. Delamination and flocculation efficiency of sodium-activated kaolin and montmorillonite. Colloids Surf. A Physicochem. Eng. Asp. 2006, 273, 193–201. [Google Scholar] [CrossRef]
- Hu, Y.; Sun, W.; Wang, D. Electrochemical flotation separation of sulphide minerals. In Electrochemistry of Flotation of Sulphide Minerals; Springer: Berlin/Heidelberg, Germany, 2009; pp. 244–268. [Google Scholar]
- Johnson, S.B.; Russell, A.S.; Scales, P.J. Volume fraction effects in shear rheology and electroacoustic studies of concentrated alumina and kaolin suspensions. Colloids Surf. A Physicochem. Eng. Asp. 1998, 141, 119–130. [Google Scholar] [CrossRef]
- Bickmore, B.R.; Tadanier, C.J.; Rosso, K.M.; Monn, W.D.; Eggett, D.L. Bond-valence methods for pKa prediction: Critical reanalysis and a new approach. Geochim. Cosmochim. Acta 2004, 68, 2025–2042. [Google Scholar] [CrossRef]
- Brady, P.V.; Cygan, R.T.; Nagy, K.L. Molecular Controls on Kaolinite Surface Charge. J. Colloid Interface Sci. 1992, 183, 356–364. [Google Scholar] [CrossRef] [PubMed]
- Gupta, V.; Miller, J.D. Surface force measurements at the basal planes of ordered kaolinite particles. J. Colloid Interface Sci. 2010, 344, 362–371. [Google Scholar] [CrossRef] [PubMed]
- Tadros, T.F. Physical stability of suspension concentrates. Adv. Colloid Interface Sci. 1980, 12, 141–261. [Google Scholar] [CrossRef]
- Andreola, F.; Romagnoli, M.; Castellini, E.; Lusvardi, G.; Menabue, L. Role of the surface treatment in the deflocculation of kaolinite. J. Am. Ceram. Soc. 2006, 89, 1107–1109. [Google Scholar] [CrossRef]
- Andreola, F.; Castellini, E.; Ferreira, J.M.F.; Olhero, S.; Romagnoli, M. Effect of sodium hexametaphosphate and ageing on the rheological behaviour of kaolin dispersions. Appl. Clay Sci. 2006, 31, 56–64. [Google Scholar] [CrossRef]
- Ma, M. The dispersive effect of sodium hexametaphosphate on kaolinite in saline water. Clays Clay Miner. 2012, 60, 405–410. [Google Scholar] [CrossRef]
- Li, Y.; Xiao, Q.; Wei, Z.; Song, S. The influencing mechanisms of sodium hexametaphosphate on chalcopyrite flotation in the presence of MgCl2 and CaCl2. Minerals 2018, 8, 150. [Google Scholar] [CrossRef]
- Li, W.; Li, Y.; Wei, Z.; Xiao, Q.; Song, S. Fundamental studies of SHMP in reducing negative effects of divalent ions on molybdenite flotation. Minerals 2018, 8, 404. [Google Scholar] [CrossRef]








© 2020 by the authors. Licensee MDPI, Basel, Switzerland. This article is an open access article distributed under the terms and conditions of the Creative Commons Attribution (CC BY) license (http://creativecommons.org/licenses/by/4.0/).
Share and Cite
Ramirez, A.; Gutierrez, L.; Vega-Garcia, D.; Reyes-Bozo, L. The Depressing Effect of Kaolinite on Molybdenite Flotation in Seawater. Minerals 2020, 10, 578. https://doi.org/10.3390/min10060578
Ramirez A, Gutierrez L, Vega-Garcia D, Reyes-Bozo L. The Depressing Effect of Kaolinite on Molybdenite Flotation in Seawater. Minerals. 2020; 10(6):578. https://doi.org/10.3390/min10060578
Chicago/Turabian StyleRamirez, Andres, Leopoldo Gutierrez, Dennis Vega-Garcia, and Lorenzo Reyes-Bozo. 2020. "The Depressing Effect of Kaolinite on Molybdenite Flotation in Seawater" Minerals 10, no. 6: 578. https://doi.org/10.3390/min10060578
APA StyleRamirez, A., Gutierrez, L., Vega-Garcia, D., & Reyes-Bozo, L. (2020). The Depressing Effect of Kaolinite on Molybdenite Flotation in Seawater. Minerals, 10(6), 578. https://doi.org/10.3390/min10060578

