Liberation Characteristics of Ta–Sn Ores from Penouta, NW Spain
Abstract
1. Introduction
2. Geological Setting and Mining History
3. Materials and Methods
3.1. Materials
3.2. Analytical Methods
4. Results and Discussion
4.1. Chemical Composition
4.2. Mineralogy Mineral Chemistry
4.2.1. Bulk Mineralogy
4.2.2. Ore Minerals
4.3. Mineral Liberation Analysis
4.3.1. Modal Mineralogy
4.3.2. Particle Size
4.3.3. Mineral Association
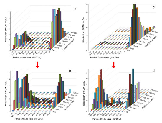
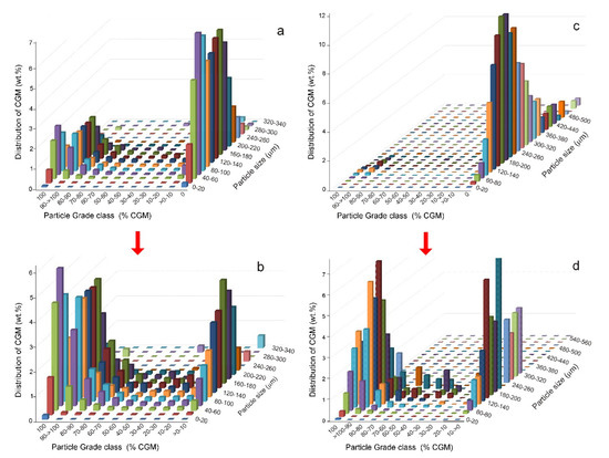
4.3.4. Liberation Analysis
5. Conclusions
Author Contributions
Funding
Acknowledgments
Conflicts of Interest
References
- Sungail, C.; Abid, A.D. Additive manufacturing of tantalum—A study of chemical and physical properties of printed tantalum. Met. Powder Rep. 2020, 75, 28–33. [Google Scholar] [CrossRef]
- Köck, W.; Paschen, P.J.O.M. Tantalum—Processing, properties and applications. JOM 1989, 41, 33–39. [Google Scholar] [CrossRef]
- Mackay, D.A.R.; Simandl, G.J. Geology, market and supply chain of niobium and tantalum—A review. Miner. Depos. 2014, 49, 1025–1047. [Google Scholar] [CrossRef]
- Nassar, N.T. Shifts and trends in the global anthropogenic stocks and flows of tantalum. Resour. Conserv. Recycl. 2017, 125, 233–250. [Google Scholar] [CrossRef]
- Sverdrup, H.U.; Olafsdottir, A.H. A system dynamics model assessment of the supply of niobium and tantalum using the WORLD6 model. Biophys. Econ. Resour. Qual. 2018, 3, 5. [Google Scholar] [CrossRef]
- Cunningham, L.D. Columbium (Niobium) and Tantalum; USGS: Reston, VA, USA, 2003.
- Kobayashi, Y.; Hata, H.; Salama, M.; Mallouk, T.E. Scrolled sheet precursor route to niobium and tantalum oxide nanotubes. Nano Lett. 2007, 7, 2142–2145. [Google Scholar] [CrossRef]
- Simandl, G.J. Tantalum market and resources: An overview. Brittish Columbia Geological Survey. Geol. Fieldwork 2001, 2002, 313–318. [Google Scholar]
- Mancheri, N.A.; Sprecher, B.; Deetman, S.; Young, S.B.; Bleischwitz, R.; Dong, L.; Klenijn, R.; Tukker, A. Resilience in the tantalum supply chain. Resour. Conserv. Recycl. 2018, 129, 56–69. [Google Scholar] [CrossRef]
- Hennebel, T.; Boon, N.; Maes, S.; Lenz, M. Biotechnologies for critical raw material recovery from primary and secondary sources: R&D priorities and future perspectives. New Biotechnol. 2015, 32, 121–127. [Google Scholar]
- Grandell, L.; Lehtilä, A.; Kivinen, M.; Koljonen, T.; Kihlman, S.; Lauri, L.S. Role of critical metals in the future markets of clean energy technologies. Renew. Energy 2016, 95, 53–62. [Google Scholar] [CrossRef]
- European Comission. Methodology for Establishing the EU list of Critical Raw Materials; European Commission: Brussels, Belgium, 2017; p. 30. [Google Scholar] [CrossRef]
- Nikishina, E.E.; Drobot, D.V.; Lebedeva, E.N. Niobium and Tantalum: State of the World Market, application fields, and sources of raw materials. Part 2. Russ. J. Nonferrous Met. 2014, 55, 130–140. [Google Scholar] [CrossRef]
- European Comission. Report on Critical Raw materials for the EU. In Report of the Ad hoc Working Group on Defining Critical Raw Materials; European Commission: Brussels, Belgium, 2014. [Google Scholar]
- Chakhmouradian, A.R.; Smith, M.P.; Kynicky, J. From “strategic” tungsten to “green” neodymium: A century of critical metals at a glance. Ore Geol. Rev. 2015, 64, 455–458. [Google Scholar] [CrossRef]
- Fortier, S.M.; Thomas, C.L.; McCullough, E.A.; Tolcin, A.C. Global Trends in Mineral Commodities for Advanced Technologies. Nat. Resour. Res. 2018, 27, 191–200. [Google Scholar] [CrossRef]
- McCullough, E.; Nassar, N.T. Assessment of critical minerals: Updated application of an early-warning screening methodology. Miner. Econ. 2017, 30, 257–272. [Google Scholar] [CrossRef]
- Løvik, A.N.; Hagelüken, C.; Wäger, P. Improving supply security of critical metals: Current developments and research in the EU. Sustain. Mater. Technol. 2018, 15, 9–18. [Google Scholar] [CrossRef]
- Simandl, G.J.; Burr, R.O.; Trueman, D.L.; Paradis, S. Economic geology models 2. Tantalum and niobium: Deposits, resources, exploration methods and market—A primer for geoscientists. Geosci. Can. 2018, 45, 85–96. [Google Scholar] [CrossRef]
- Figueiredo, J.; Vila, M.C.; Fiúza, A.; Góis, J.; Futuro, A.; Dinis, M.L.; Martins, D. A Holistic Approach in Re-Mining Old Tailings Deposits for The Supply of Critical Metals: A Portuguese Case. Minerals 2019, 9, 638. [Google Scholar] [CrossRef]
- Wikedzi, A.; Arinanda, M.A.; Leißner, T.; Peuker, U.A.; Mütze, T. Breakage and liberation characteristics of low grade sulphide gold ore blends. Miner. Eng. 2018, 115, 33–40. [Google Scholar] [CrossRef]
- Johmson, C.; Pownceby, M.I.; Wilson, N.C. The application of automated electron beam mapping techniques to the characterisation of low grade, fine-grained mineralisation; potential problems and recommendations. Miner. Eng. 2015, 79, 68–83. [Google Scholar] [CrossRef]
- Zhang, J.; Subasinghe, N. Prediction of mineral liberation characteristics of comminuted particles of high grade ores. Miner. Eng. 2013, 49, 68–76. [Google Scholar] [CrossRef]
- Gu, Y. Automated Scanning Electron Microscope Based Mineral Liberation Analysis an Introduction to JKMRC/FEI Mineral Liberation Analyser. J. Miner. Mater. Charact. Eng. 2003, 2, 33–41. [Google Scholar] [CrossRef]
- Fandrich, R.; Gu, Y.; Burrows, D.; Moeller, K. Modern SEM-based mineral liberation analysis. Int. J. Miner. Process. 2007, 84, 310–320. [Google Scholar] [CrossRef]
- Lastra, R. Seven practical application cases of liberation analysis. Int. J. Miner. Process. 2007, 84, 337–347. [Google Scholar] [CrossRef]
- Quinteros, J.; Wightman, E.; Johnson, N.W.; Bradshaw, D. Evaluation of the response of valuable and gangue minerals on a recovery, size and liberation basis for a low-grade silver ore. Miner. Eng. 2015, 74, 150–155. [Google Scholar] [CrossRef]
- Klass, P.; van der Wielen, K.P.; Rollinson, G. Texture-based analysis of liberation behaviour using Voronoi tessellations. Miner. Eng. 2016, 89, 93–107. [Google Scholar]
- Sousa, R.; Simons, B.; Bru, K.; de Sousa, A.B.; Rollinson, G.; Andersen, J.; Martin, M.; Leite, M.M. Use of mineral liberation quantitative data to assess separation efficiency in mineral processing—Some case studies. Miner. Eng. 2018, 127, 134–142. [Google Scholar] [CrossRef]
- Lotter, N.O. Modern Process Mineralogy: An integrated multi-disciplined approach to flowsheeting. Miner. Eng. 2011, 24, 1229–1237. [Google Scholar] [CrossRef]
- Kern, M.; Möckel, R.; Rrause, J.; Teichmann, J.; Gutzmer, J. Calculating the deportment of a fine-grained and compositionally complex Sn skarn with a modified approach for automated mineralogy. Miner. Eng. 2018, 116, 213–225. [Google Scholar] [CrossRef]
- Hamid, S.A.; Alfonso, P.; Anticoi, H.; Guasch, E.; Oliva, J.; Dosbaba, M.; Garcia-Valles, M.; Chugunova, M. Quantitative mineralogical comparison between HPGR and ball mill products of a Sn-Ta ore. Minerals 2018, 8, 151. [Google Scholar] [CrossRef]
- Anticoi, H.; Guasch, E.; Hamid, S.A.; Oliva, J.; Alfonso, P.; Garcia-Valles, M.; Bascompta, M.; Sanmiquel, L.; Escobet, T.; Argelaguet, R.; et al. Breakage function for HPGR: Mineral and mechanical characterization of tantalum and tungsten ores. Minerals 2018, 8, 170. [Google Scholar] [CrossRef]
- Guldris Leon, L.; Hogmalm, K.J.; Bengtsson, M. Understanding Mineral Liberation during Crushing Using Grade-by-Size Analysis—A Case Study of the Penuota Sn-Ta Mineralization, Spain. Minerals 2020, 10, 164. [Google Scholar] [CrossRef]
- Ghorbani, Y.; Fitzpatrick, R.; Kinchington, M.; Rollinson, G.; Hegarty, P. A process mineralogy approach to gravity concentration of Tantalum bearing minerals. Minerals 2017, 7, 194. [Google Scholar] [CrossRef]
- López, F.A.; García-Díaz, I.; Rodríguez Largo, O.; Polonio, F.G.; Llorens, T. Recovery and purification of tin from tailings from the Penouta Sn–Ta–Nb deposit. Minerals 2018, 8, 20. [Google Scholar] [CrossRef]
- Guldris Leon, L.; Bengtsson, M.; Evertsoon, M. Analysis of the concentration in rare metal ores during compression crushing. Miner. Eng. 2018, 120, 7–18. [Google Scholar] [CrossRef]
- Anticoi, H.; Guasch, E.; Hamid, S.A.; Oliva, J.; Alfonso, P.; Bascompta, M.; Sanmiquel, L.; Escobet, T.; Escobet, A.; Parcerisa, D.; et al. An improved high-pressure roll crusher model for tungsten and tantalum ores. Minerals 2018, 8, 483. [Google Scholar] [CrossRef]
- Llorens González, T.; García Polonio, F.; López Moro, F.J.; Fernández-Fernández, A.; Sans Contreras, J.L.; Moro Benito, M.C. Tin-tantalum-niobium mineralization in the Penouta deposit (NW Spain): Textural features and mineral chemistry to unravel the genesis and evolution of cassiterite and columbite group minerals in a peraluminous system. Ore Geol. Rev. 2017, 81, 79–95. [Google Scholar] [CrossRef]
- Arribas, A.; Gonzalo, F.; Iglesias, M. Génesis de una mineralización asociada a una cúpula granítica: El yacimiento de estaño de Golpeas (Salamanca). Lab. Xeol. Laxe 1982, 3, 563–592. [Google Scholar]
- Gonzalo, F.J.; Gracia, A.S. Yacimientos de estaño del oeste de España: Ensayo de caracterización y clasificación económicas. Cuad. Lab. Xeolóx. Laxe 1985, 9, 265–303. [Google Scholar]
- López Moro, F.J.; García Polonio, F.; Llorens González, T.; Sanz Contreras, J.L.; Fernández-Fernández, A.; Moro Benito, M.C. Ta and Sn concentration by muscovite fractionation and degassing in a lens-like granite body: The case study of the Penouta rare-metal albite granite (NW Spain). Ore Geol. Rev. 2017, 82, 10–30. [Google Scholar] [CrossRef]
- Philpotts, A.; Ague, J. Principles of Igneous and Metamorphic Petrology; Cambridge University Press: New York, NY, USA, 2009. [Google Scholar]
- Pollard, P.J.; Pichavant, M.; Charoy, B. Contrasting evolution of fluorine- and boron-rich systems. Miner. Depos. 1987, 22, 315–321. [Google Scholar] [CrossRef]
- Alfonso, P.; Hamid, S.A.; Garcia-Valles, M.; Llorens, T.; Tomasa, O.; Calvo, D.; Guasch, E.; Anticoi, H.; Oliva, J.; López Moro, J.; et al. Textural and mineral-chemistry constraints on columbite-group minerals in the Penouta deposit: Evidence from magmatic and fluid-related processes. Mineral. Mag. 2018, 82, S199–S222. [Google Scholar] [CrossRef]
- Vegas, N.; Aranguren, A.; Cuevas, J.; Tubía, J.M. Variaciones en los mecanismos de emplazamiento de los granitos del eje Sanabria-Viana do Bolo (Macizo Ibérico, España). Bol. Geol. Min. 2001, 112, 79–88. [Google Scholar]
- Gutiérrez-Alonso, G.; Collins, A.S.; Fernández-Suárez, J.; Pastor-Galán, D.; González-Clavijo, E.; Jourdan, F.; Weil, A.B.; Johnston, S.T. Dating of lithospheric buckling: 40Ar/39Ar ages of syn-orocline strike–slip shear zones in northwestern Iberia. Tectonophysics 2015, 643, 44–54. [Google Scholar] [CrossRef]
- Chicharro, E.; Martín-Crespo, T.; Gómez-Ortiz, D.; López-García, J.A.; Oyarzun, R.; Villaseca, C. Geology and gravity modeling of the Logrosán Sn–(W) ore deposits (Central Iberian Zone, Spain). Ore Geol. Rev. 2015, 65, 294–307. [Google Scholar] [CrossRef]
- ADARO. Proyecto de Investigación de la Mina de Penouta. Cálculo de reservas para leyes de corte de 800 y 600 g/t. Internal unpublished report, Madrid, Spain. 1982. [Google Scholar]
- ADARO. Investigación Minera del Yacimiento de Penouta. 9 volumes. Internal Unpublished report, Madrid, Spain. 1985. [Google Scholar]
- García Polonio, F. El Interés Económico y Estratégico del Aprovechamiento de Metales Raros y Minerales Industriales Asociados, en el Marco Actual de la Minería Sostenible: La Mina de Penouta (Orense, España). Ph.D. Thesis, Universidad Politécnica de Madrid, Madrid, Spain, 2016. [Google Scholar]
- Černý, P.; Chapman, R.; Ferreira, K.; Smeds, S.A. Geochemistry of oxide minerals of Nb, Ta, Sn, and Sb in the Varuträsk granitic pegmatite, Sweden: The case of an “anomalous” columbite-tantalite trend. Am. Mineral. 2004, 89, 505–518. [Google Scholar] [CrossRef]
- Yin, L.; Pollard, P.J.; Shouxi, H.; Taylor, R.G. Geologic and geochemical characteristics of the Yichun Ta–Nb–Li deposit, Jiangxi Province, South China. Econ. Geol. 1995, 90, 577–585. [Google Scholar] [CrossRef]
- Belkasmi, M.; Cuney, M.; Polard, P.J.; Bastoul, A. Chemistry of the Ta-Nb-Sn-W oxide minerals from the Yichun rare metal granite (SE China): Genetic implications and comparison with Maroccan and French Hercynian examples. Miner. Mag. 2000, 64, 507–533. [Google Scholar] [CrossRef]
- Huang, X.L.; Wang, R.C.; Chen, X.M.; Hu, H.; Liu, C.S. Vertical variations in the mineralogy of the Yichun topaz–lepidolite granite, Jiangxi Province, southern China. Can. Mineral. 2002, 40, 1047–1068. [Google Scholar] [CrossRef]
- Dehaine, Q.; Filippov, L.O. Rare earth (La, Ce, Nd) and rare metals (Sn, Nb, W) as by-product of kaolin production, Cornwall: Part1: Selection and characterisation of the valuable stream. Miner. Eng. 2015, 76, 141–153. [Google Scholar] [CrossRef]
- Goodall, W.R.; Scales, P.J. An overview of the advantages and disadvantages of the determination of gold mineralogy by automated mineralogy. Miner. Eng. 2007, 20, 506–517. [Google Scholar] [CrossRef]
- Stamboliadis, E.T. The evolution of a mineral liberation model by the repetition of a simple random breakage pattern. Miner. Eng. 2008, 21, 213–223. [Google Scholar] [CrossRef]
- Mariano, R.A.; Evans, C.L. Error analysis in ore particle composition distribution measurements. Miner. Eng. 2015, 82, 36–44. [Google Scholar] [CrossRef]
- Anderson, K.F.; Wall, F.; Rollinson, G.K.; Moon, C.J. Quantitative mineralogical and chemical assessment of the Nkout iron ore deposit, Southern Cameroon. Ore Geol. Rev. 2014, 62, 25–39. [Google Scholar] [CrossRef]
- Leistner, T.; Embrechts, M.; Leißner, T.; Chelgani, S.C.; Osbahr, I.; Möckel, R.; Peuker, U.A.; Rudolph, M. A study of the reprocessing of fine and ultrafine cassiterite from gravity tailing residues by using various flotation techniques. Miner. Eng. 2016, 96, 94–98. [Google Scholar] [CrossRef]
- Miettinen, T.; Ralston, J.; Fornasiero, D. The limits of fine particle flotation. Miner. Eng. 2010, 23, 420–437. [Google Scholar] [CrossRef]
- Dehaine, Q.; Filippov, L.O.; Royer, J.J. Comparing univariate and multivariate approaches for process variograms: A case study. Chemom. Intell. Lab. Syst. 2016, 152, 107–117. [Google Scholar] [CrossRef]















| Oxides (wt%) | P-7-10 | P-11 | P-12 | P-16 | P-17 | P-18 | P-19 | P-20 | P-21 | Pen T |
|---|---|---|---|---|---|---|---|---|---|---|
| SiO2 | 77.34 | 58.19 | 62.47 | 56.48 | 78.51 | 79.16 | 67.18 | 72.31 | 71.03 | 74.9 |
| TiO2 | 0.06 | 0.28 | 0.47 | 0.33 | 0.10 | 0.10 | 0.12 | 0.15 | 0.23 | 0.00 |
| Al2O3 | 10.06 | 25.89 | 22.48 | 26.64 | 11.90 | 11.32 | 11.17 | 10.85 | 16.53 | 15.3 |
| FeO | 0.84 | 2.41 | 3.42 | 2.68 | 1.12 | 1.17 | 1.20 | 1.33 | 1.83 | 0.67 |
| MnO | 0.14 | 0.08 | 0.07 | 0.11 | 0.07 | 0.11 | 0.10 | 0.10 | 0.12 | 0.05 |
| CaO | 0.06 | 0.04 | 0.14 | 0.10 | 0.04 | 0.06 | 0.04 | 0.08 | 0.34 | 0.15 |
| MgO | 0.12 | 0.48 | 0.78 | 0.61 | 0.22 | 0.22 | 0.25 | 0.32 | 0.46 | 0.04 |
| Na2O | n.a. | n.a. | n.a. | n.a. | n.a. | n.a. | n.a. | n.a. | n.a. | 5.40 |
| K2O | 4.86 | 4.65 | 4.51 | 5.36 | 4.09 | 3.95 | 3.95 | 3.80 | 5.21 | 3.18 |
| P2O5 | 0.02 | 0.07 | 0.08 | 0.07 | 0.02 | 0.02 | 0.03 | 0.02 | 0.03 | 0.03 |
| Traces (ppm) | ||||||||||
| Nb | 79.7 | 26.0 | 17.6 | 31.6 | 45.6 | 77.6 | 97.5 | 45.1 | 51.5 | 81.0 |
| Ta | 134.2 | 36.4 | 16.7 | 46.5 | 84.0 | 156.0 | 215.0 | 79.0 | 89.1 | 103.0 |
| Sn | 541.7 | 295.0 | 112.0 | 366.0 | 716.0 | 1040 | 1340 | 591.0 | 437.0 | 383.0 |
| W | 314.5 | 54.5 | 155.0 | 29.6 | 142.0 | 227.0 | 179.0 | 352.0 | 108.0 | 35.0 |
| U | 2.9 | 5.0 | 6.4 | 4.4 | 2.2 | 2.4 | 2.9 | 2.5 | 3.3 | 2.5 |
| Th | 3.50 | 7.3 | 10.9 | 8.3 | 3.5 | 3.6 | 4.2 | 5.0 | 6.4 | 2.4 |
| Pb | 11.6 | 18.4 | 54.6 | 14.6 | 7.9 | 8.0 | 8.1 | 7.0 | 13.0 | 6.8 |
| Rb | 1217 | 1020 | 639 | 1550 | 1000 | 1000 | 990 | 924 | 1270 | 966 |
| Cs | 52.2 | 60.3 | 42.0 | 88.1 | 50.9 | 52.3 | 52.7 | 52.7 | 68.9 | 64.0 |
| Weight % | Nb | Ta | Sn | Nb/Ta |
|---|---|---|---|---|
| Penouta tailings | 79 | 134 | 542 | 0.59 |
| Penouta waste from tailings concentration | 21 | 20 | 94 | 1.05 |
| Penouta leucogranite | 81 | 102 | 385 | 0.79 |
| Penouta waste from the leucogranite concentration | 9 | 7 | 53 | 1.23 |
| Mineral (wt%) | Original Leucogranite | Leucogranite Concentrate | Tailings Concentrate |
|---|---|---|---|
| Columbite | - | 6.5 | 1.4 |
| Tantalite | - | 20.1 | 2.0 |
| Microlite | - | 0.3 | 0.1 |
| Cassiterite | - | 53.6 | 10.1 |
| Quartz | 20.2 | 2.0 | 42.1 |
| Albite | 55.4 | 2.6 | 2.6 |
| K-Feldspar | 10.9 | 0.9 | 2.4 |
| Almandine | - | 0.5 | 0.7 |
| Spessartine | 0.1 | 5.1 | 4.4 |
| Muscovite | 6.7 | 1.7 | 7. 5 |
| Kaolinite | 5.4 | 1.5 | 1.9 |
| Fe (Mn) oxide/hydroxide | 0.6 | 2.6 | 10.4 |
| Zircon | 0.03 | 1.30 | 0.64 |
| Monazite | 0.02 | 0.21 | 0.38 |
| Xenotime | - | 0.12 | 0.15 |
| Pyrite | 0.01 | 0.24 | 0.66 |
| Other | 0.64 | 0.73 | 20.07 |
| Columbite | Tantalite | Columbite | Tantalite | Cassiterite | Cassiterite | |
|---|---|---|---|---|---|---|
| Weight% Locked in | LG | LG | T | T | LG | T |
| Columbite | 16.49 | 32.94 | 0.17 | 0.19 | ||
| Tantalite | 59.29 | 59.86 | 2.98 | 0.78 | ||
| Microlite | 0.00 | 1.15 | 0.02 | 1.05 | 0.28 | 0.52 |
| Cassiterite | 0.72 | 2.81 | 0.11 | 1.15 | ||
| Quartz | 0.49 | 4.81 | 1.45 | 3.93 | 2.52 | 4.42 |
| Albite | 0.35 | 2.62 | 0.00 | 0.34 | 1.91 | 1.00 |
| K-Feldspar | 0.07 | 1.32 | 0.35 | 1.27 | 1.66 | 2.09 |
| Spessartine | 0.12 | 0.06 | 0.00 | 0.12 | 0.08 | 0.07 |
| Muscovite | 0.40 | 3.75 | 0.20 | 4.24 | 4.52 | 8.36 |
| Kaolinite | 0.27 | 5.34 | 0.00 | 0.73 | 0.75 | 0.58 |
| Fe (Mn) oxides/hydroxides | 0.12 | 0.23 | 1.06 | 2.43 | 0.07 | 2.88 |
| Zircon | 0.19 | 0.43 | 0.53 | 0.00 | 0.11 | 0.00 |
| Phosphates | 0.11 | 0.26 | 0.01 | 0.01 | 0.06 | 0.00 |
| Pyrite | 0.09 | 0.01 | 0.00 | 0.00 | 0.01 | 0.00 |
| Ore grade (wt%) | CGM(LG) | CGM (T) | Cst (LG) | Cst(T) |
|---|---|---|---|---|
| Free (100) | 12,513 | 553 | 23,182 | 1932 |
| Liberated (<100 to 90) | 2527 | 228 | 3555 | 519 |
| 90–80 | 1150 | 61 | 968 | 132 |
| 80–70 | 711 | 25 | 490 | 60 |
| 70–60 | 443 | 27 | 332 | 33 |
| 60–50 | 367 | 12 | 254 | 31 |
| 50–40 | 304 | 19 | 210 | 24 |
| 40–30 | 296 | 14 | 203 | 26 |
| 30–20 | 321 | 10 | 245 | 27 |
| 20–10 | 416 | 16 | 260 | 33 |
| 10 to >0 | 1442 | 150 | 607 | 121 |
| 0 | 48,772 | 20,228 | 38,956 | 18,406 |
| Total | 69,262 | 21,344 | 62,262 | 21,344 |
| Material | LG, CGM | T, CGM | LG, Cst | T, Cst |
|---|---|---|---|---|
| Total ore (wt%) | 26.6 | 3.4 | 53.6 | 10.1 |
| Number of particles (%) | ||||
| Ore-bearing | 29.6 | 5.2 | 43.9 | 13.8 |
| Free | 18.1 | 2.6 | 33.6 | 9.1 |
| Liberated | 21.7 | 3.7 | 38.7 | 11.5 |
| Mass of particles (wt%) | ||||
| Ore-bearing | 30.0 | 3.7 | 51.9 | 11.4 |
| Free | 9.2 | 0.6 | 19.2 | 2.1 |
| Liberated | 22.5 | 2.2 | 46.8 | 6.0 |
| Mass of ore (wt%) in particles | ||||
| Free | 30.0 | 22.5 | 35.5 | 29.4 |
| Liberated | 71.5 | 77.8 | 87.6 | 81.6 |
© 2020 by the authors. Licensee MDPI, Basel, Switzerland. This article is an open access article distributed under the terms and conditions of the Creative Commons Attribution (CC BY) license (http://creativecommons.org/licenses/by/4.0/).
Share and Cite
Alfonso, P.; Hamid, S.A.; Anticoi, H.; Garcia-Valles, M.; Oliva, J.; Tomasa, O.; López-Moro, F.J.; Bascompta, M.; Llorens, T.; Castro, D.; et al. Liberation Characteristics of Ta–Sn Ores from Penouta, NW Spain. Minerals 2020, 10, 509. https://doi.org/10.3390/min10060509
Alfonso P, Hamid SA, Anticoi H, Garcia-Valles M, Oliva J, Tomasa O, López-Moro FJ, Bascompta M, Llorens T, Castro D, et al. Liberation Characteristics of Ta–Sn Ores from Penouta, NW Spain. Minerals. 2020; 10(6):509. https://doi.org/10.3390/min10060509
Chicago/Turabian StyleAlfonso, Pura, Sarbast Ahmad Hamid, Hernan Anticoi, Maite Garcia-Valles, Josep Oliva, Oriol Tomasa, Francisco Javier López-Moro, Marc Bascompta, Teresa Llorens, David Castro, and et al. 2020. "Liberation Characteristics of Ta–Sn Ores from Penouta, NW Spain" Minerals 10, no. 6: 509. https://doi.org/10.3390/min10060509
APA StyleAlfonso, P., Hamid, S. A., Anticoi, H., Garcia-Valles, M., Oliva, J., Tomasa, O., López-Moro, F. J., Bascompta, M., Llorens, T., Castro, D., & García Polonio, F. (2020). Liberation Characteristics of Ta–Sn Ores from Penouta, NW Spain. Minerals, 10(6), 509. https://doi.org/10.3390/min10060509

