Petrographical and Geochemical Characteristics of Magmatic Rocks in the Northwestern Siberian Traps Province, Kulyumber River Valley. Part II: Rocks of the Kulyumber Site
Abstract
1. Introduction
2. Brief Geological Characteristics of the Kulyumber River Valley
3. Materials and Methods
4. Results
4.1. Sedimentary Rocks
4.2. Volcanic Rocks
4.3. Intrusive Rocks
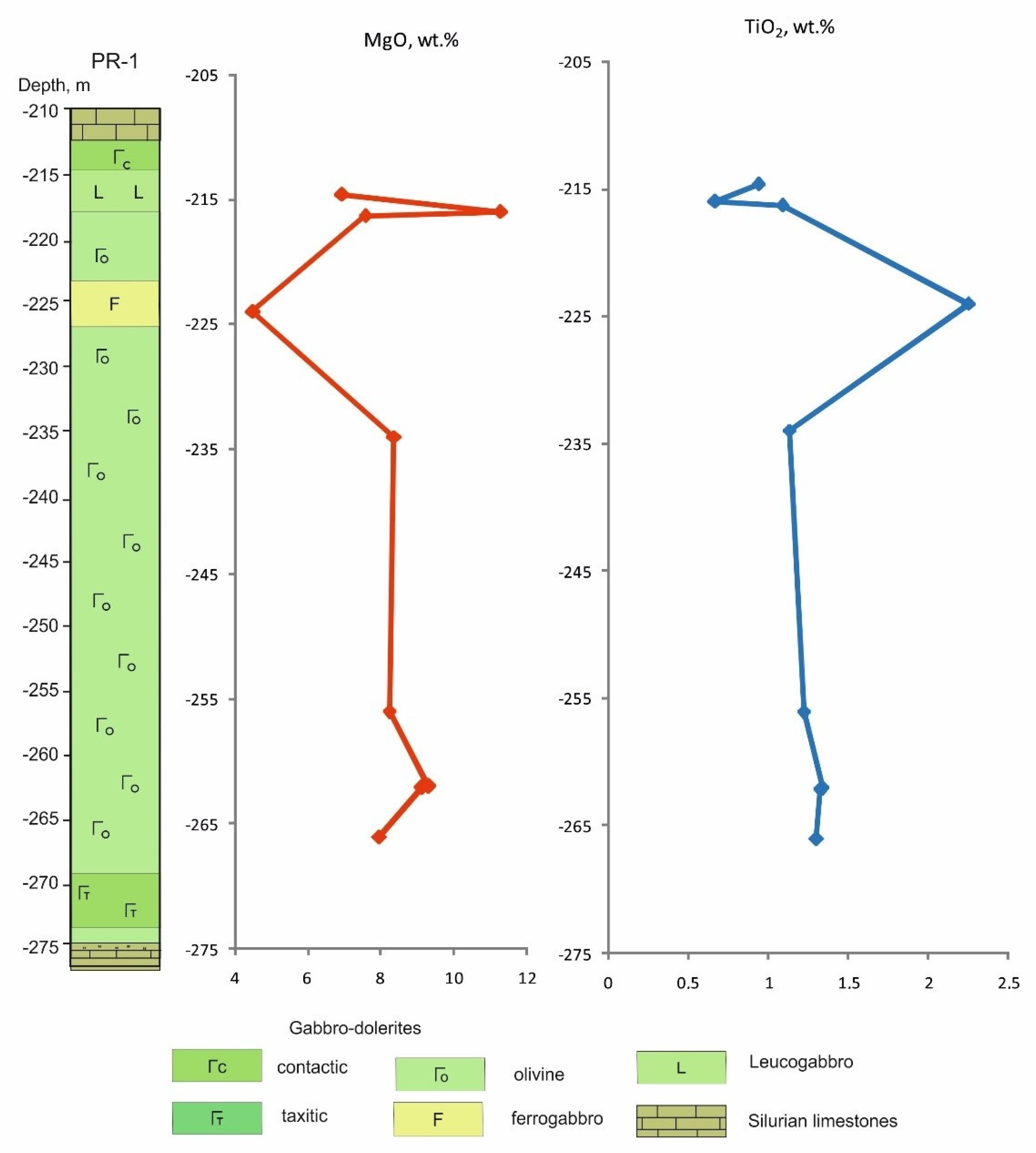
4.3.1. General Characteristics of Intrusive Rocks
4.3.2. Petrographical and Mineralogical Characteristics of Intrusive Rocks
4.3.3. Chemical Composition of Intrusive Rocks
4.3.4. Isotope Composition of Intrusive Rocks
5. Discussion
5.1. Tectonic Structure
5.2. Magmatic Rocks
Subdivision of Intrusive Rocks
5.3. Magma Sources
6. Conclusions
- (1)
- The geochemical study of the volcanic rocks in the Kulyumber river valley allowed distinguishing the following formations similar to those of the Norilsk area: Syverminsky, Gudchikhinsky, Khakanchansky, and Nadezhdinsky. The absence of the Ivakinsky formation in the studied area implied that it pinched out from the north to the south. The tuffs of the Syverminsky formation were analyzed for the first time, and we have demonstrated how they differ from the Khakanchansky tuffs. Basalts of the Gudchikhinsky formation from the Kulyumber area were enriched in alkalis and depleted in U and Th, in comparison with the Gudchikhinsky basalts from the Norilsk area.
- (2)
- The studied intrusive rocks could be subdivided into three groups on the basis of major and trace elements’ contents: (1) Subalkaline rocks (MgO = 4 wt.%, TiO2 = 3.3 wt.%) with (La/Sm)n = 2.5–2.8 and Gd/Yb)n = 1.9–2.1 (Ergalakhsky complex); (2) mafic rocks (MgO = 6–9 wt.%, TiO2 = 0.8–1.7 wt.%) with strong negative Ta-Nb and positive Pb anomalies and varying ratios (La/Sm)n = 1.3–1.0, (Gd/Yb)n = 1.2–1.5 (Katangsky, Kureysky, and Norilsk complexes, Kruglogorsky subcomplex); and (3) mafic rocks (MgO = 6–7 wt.%, TiO2 = 1.4 wt.%) without Ta-Nb and Pb anomalies with moderate (La/Sm)n = 2.00 and high (Gd/Yb)n = 2.0 ratios. The first two groups were similar to the rocks from the Norilsk area and Tunguska syneclese, while the rocks of the third group were unknown earlier in the NW Siberian platform and have been attributed by the authors to a new intrusive complex named Kulyumbinsky complex.
- (3)
- Intrusive rocks of the second group formed massifs ranging in composition. The Norilsk complex was characterized by strong rock differentiation and elevated MgO and Cr, while Katangsky and Kureysky complexes of the Kulyumber river valley could not be distinguished from one another on the basis of geochemical data. A novel type of intrusion was recognized in the Khalil site. It takes an intermediate position between Norilsk and Katangsky complexes due to low TiO2 and elevated Cr contents. Intrusions of the Daldykansky and Ogonersky complexes have not been found in the Kukyumber river valley.
- (4)
- Igneous rocks of the Kulyumber river valley originated from different sources: Mantle and crustal. The products of the first are the volcanic rocks of the Gudchikhinsky formation (87Sr/86Sr = 0.706034 and εNd = 4.0) and gabbro-dolerites of the Kulyumbinsky complex (86Sr/87Sr = 0.70675 and εNd = −1.0). A separate source is typical of the Ergalakhsky trachydolerites (87Sr/86Sr = 0.706034 and εNd = −3.8), and an another source is typical of the rocks of many complexes (Norilsk, Katangsky, Kureysky, 87Sr/86Sr = 0.70489–0.70702, and εNd = 0.4–2.2, respectively).
- (5)
- The diversity of igneous rocks within the Kulyumber river valley could be explained by the complex tectonic structure of the paleorift zone, which is characterized by a long tectonic evolution and the effect of deep faults.
Supplementary Materials
Author Contributions
Funding
Acknowledgments
Conflicts of Interest
References
- Sobolev, V.S. Petrology of Traps from the Siberian Platform; Proceedings Arctic Insitiute: Leningrad, Russia, 1936; Volume 43, p. 224. (In Russian) [Google Scholar]
- Malitch, N.S. Tectonic Development of the Cover of the Siberian Platform; Nedra: Moscow, Russia, 1975; p. 215. (In Russian) [Google Scholar]
- Zolotukhin, V.V.; Vasil’ev, Y.R.; Dyuzhikov, O.A. Diversity of Traps and Initial Magmas: A Case of the Siberian Platform; Nauka: Novosibirsk, Russia, 1978; p. 289. (In Russian) [Google Scholar]
- Masaitis, V.L. Permian and Triassic volcanism of Siberia. Zap. Vmo 1983, 4, 412–425. (In Russian) [Google Scholar]
- Zolotukhin, V.V.; Vilensky, A.M.; Dyuzhikov, O.A. Basalts of the Siberian Platform; Nauka: Novosibirsk, Russia, 1986; p. 245. (In Russian) [Google Scholar]
- Zolotukhin, V.V.; Al’mukhamedov, A.I. Traps of the Siberian Platform. In Continental Flood Basalts; Macdougall, J.D., Ed.; Kluwer Academic Publishers: Dordrecht, The Netherlands, 1988; pp. 273–310. [Google Scholar]
- Zolotukhin, V.V.; Al’mukhamedov, A.I. Basalts of the Siberian platform: Composition and mechanism of formation. In Traps of Siberia and Deccan: Similarities and Differences; Nauka: Novosibirsk, Russia, 1991; pp. 7–39. (In Russian) [Google Scholar]
- Oleynikov, B.V.; Tomshin, M.D. Evolution of basic intrusive magmatism of the Siberian platform in time. In Traps of Siberia and Deccan: Similarities and differences; Nauka: Novosibirsk, Russia, 1991; pp. 39–63. (In Russian) [Google Scholar]
- Renne, P.R.; Basu, A.R. Rapid eruption of the Siberian Traps flood basalts at the Permo-Triassic boundary. Science 1991, 253, 176–179. [Google Scholar] [CrossRef]
- Sharma, M.; Basu, A.R.; Nesterenko, G.V. Nd-Sr isotopes, petrochemistry, and origin of the Siberian flood basalts, Siberia. Geochim. Cosmochim. Acta 1991, 55, 1183–1192. [Google Scholar] [CrossRef]
- Sharma, M.; Basu, A.R.; Nesterenko, G.V. Temporal Sr-, Nd-, and Pb-isotopic variations in the Siberian flood basalts: Implications for the plume-source characteristics. Earth Planet. Sci. Lett. 1992, 113, 365–381. [Google Scholar] [CrossRef]
- Coffin, M.F.; Eldholm, O. Large igneous provinces. Crustal structure, dimensions and external consequences. Rev. Geoghys. 1994, 32, 1–36. [Google Scholar] [CrossRef]
- Reichow, M.K.; Saunders, A.D.; White, R.V.; Pringle, M.S.; Al’Mukhamedov, A.I.; Medvedev, A.I.; Kirda, N.P. 40Ar/39Ar dates from the West Siberian Basin: Siberian flood basalt province doubled. Science 2002, 296, 1846–1849. [Google Scholar] [CrossRef]
- Al’mukhamedov, A.I.; Medvedev, A.Y.; Zolotukhin, V.V. Evolutions of Permo-Triassic basalts of the Siberian Platform in time and space. Petrology 2004, 12, 339–353. [Google Scholar]
- Dobretsov, N.L.; Borisenko, A.S.; Izokh, A.E.; Zhmodik, S.M. Termochemical model of Permo-Triassic plume of Euroausia as a basement for genesis understanding and prospecting of copper-nickel, noble- and rare metals deposits. Rus. Geol. Geophys. 2010, 51, 1159–1180. [Google Scholar] [CrossRef]
- Ernst, R.E. Large Igneous Provinces; Cambridge University Press: Cambridge, UK, 2014; 653p. [Google Scholar]
- Schmidt, A.; Fristad, K.; Elkins-Tanton, L. (Eds.) Volcanism and Global Environmental Change; Special Volume; Cambridge University Press: Cambridge, UK, 2015. [Google Scholar]
- Godlevsky, M.N. Traps and Ore-Bearing Intrusion; Gosgeoltekhizdat: Moscow, Russia, 1959; 61p. (In Russian) [Google Scholar]
- Zolotukhin, V.V.; Ryabov, V.V.; Vasil’ev, Y.R.; Shatkov, V.A.; Шaткoв, B.A. Petrology of the Talnakh Differentiated Ore-Bearing Trap Intrusion; Nauka: Novosibirsk, Russia, 1975; 243p. (In Russian) [Google Scholar]
- Genkin, A.D.; Distler, V.V.; Gladyshev, G.D. Sulfide Copper-Nickel Ores of the Norilsk Deposits; Nauka: Moscow, Russia, 1981; 295p. (In Russian) [Google Scholar]
- Dyuzhikov, O.A.; Distler, V.V.; Strunin, B.M.; Mkrtychyan, A.K.; Sherman, M.L.; Sluzhenikin, S.F.; Lurye, A.M. Geology and Ore Potential of the Noril’sk Ore District; Nauka: Moscow, Russia, 1988. (In Russian) [Google Scholar]
- Distler, V.V.; Grokhovskaya, T.L.; Evstigneeva, T.L.; Sluzhenikin, S.F.; Filimonova, A.A.; Dyuzhikov, O.A. Petrology of Magmatic Sulfide ore Formation; Nauka: Moscow, Russia, 1988; p. 232. (In Russian) [Google Scholar]
- Naldrett, A.J. A model for the Ni-Cu-PGE ores of the Noril’sk region and its application to other areas of flood basalts. Econ. Geol. 1992, 87, 1945–1962. [Google Scholar] [CrossRef]
- Ryabov, V.V. Olivines and Their Petrological Significance; Nauka: Novosibirsk, Russia, 1992. (In Russian) [Google Scholar]
- Ryabov, V.V.; Shevko, A.Y.; Gora, M.P. Trap Magmatism and Ore Formation in the Siberian Noril’sk Region; Springer: Amsterdam, The Netherlands, 2014; Volume 1.2. [Google Scholar]
- Likhachev, A.P. Kharaelakh intrusion and its Pt-Cu-Ni ores. Rudy I Met. 1998, 3, 48–62. (In Russian) [Google Scholar]
- Likhachev, A.P. Platinum–Copper–Nickel and Platinum Deposits; Eslan: Moscow, Russia, 2006; p. 496. (In Russian) [Google Scholar]
- Malitch, K.N.; Belousova, E.A.; Griffin, W.L.; Badanina, I.Y.; Latypov, R.M.; Sluzhenikin, S.F. Chapter 7. New insights on the origin of ultramafic-mafic intrusions and associated Ni-Cu-PGE sulfide deposits of the Noril’sk and Taimyr provinces, Russia: Evidence from radiogenic and stable isotope data. In Processes and ore Deposits of Ultramafic-Mafic Magmas through Space and Time; Elsevier: Chennai, India, 2018; pp. 197–238. [Google Scholar]
- Krivolutskaya, N.; Gongalsky, B.; Kedrovskaya, T.; Kubrakova, I.; Tyutyunnik, O.; Chikatueva, V.; Bychkova, Y.; Kovalchuk, E.; Kononkova, N.; Yakushev, A. Geology of the Western Flanks of the Oktyabr’skoe Deposit, Noril’sk District, Russia: Evidence of a Closed Magmatic System. Minealium Depos. 2019, 54, 611–630. [Google Scholar] [CrossRef]
- Basu, A.R.; Poreda, R.J.; Renne, P.R.; Teichmann, F.; Vasil’ev, Y.R.; Sobolev, N.V.; Turrin, B.D. High-3He plume origin and temporal-spatial evolution of the Siberian flood basalts. Science 1995, 269, 822–825. [Google Scholar] [CrossRef]
- Dobretsov, N.L.; Borisenko, A.S.; Izokh, A.E. Termochemical deep mantle plums as a source of ore potencial on the planet. Nauka Iz Pervykh Ruk 2011, 6, 37–43. (In Russian) [Google Scholar]
- Sobolev, S.V.; Sobolev, A.V.; Kuzmin, D.V.; Krivolutskaya, N.A.; Arndt, N.T.; Radko, V.A.; Petrunin, A.G.; Vasilev, Y.R. Linking mantle plumes, large igneous provinces and environment catastrophes. Nature 2011, 477, 312–316. [Google Scholar] [CrossRef]
- Volkov, I.D. Distribution of trace elements in igneous rocks of the Norilsk region. In Problems of Magmatism, Metamorphism, and Mineralization; Geoltekhizdat: Moscow, Russia, 1963; pp. 29–38. [Google Scholar]
- Balashov, Y.A.; Nesterenko, G.V. Distribution of trace elements in traps of the Siberian platform. Geochem. Int. 1966, 7, 854–860. [Google Scholar]
- Lightfoot, P.C.; Hawkesworth, C.J.; Hergt, J.; Naldrett, A.J.; Gorbachev, N.S.; Fedorenko, V.A. Remobilisation of the continental lithosphere by a mantle plume: Major-, trace-element, and Sr-, Nd-, and Pb-isotopic evidence from picritic and tholeiitic lavas of the Noril’sk District, Siberian Trap, Russia. Contrib. Miner. Pet. 1993, 114, 171–188. [Google Scholar] [CrossRef]
- Wooden, J.L.; Czamanske, G.K.; Fedorenko, V.A.; Arndt, N.T.; Chauvel, C.; Bouse, R.M.; King, B.S.; Knight, R.J.; Siems, D.F. Isotopic and trace-element constraints on mantle and crustal contributions to Siberian continental flood basalts, Norilsk area, Siberia. Geochim. Cosmochim. Acta 1993, 57, 3677–3704. [Google Scholar] [CrossRef]
- Arndt, N.; Lehnert, K.; Vasil’ev, Y. Meimechites: Highly magnesian lithosphere-contaminated alkaline magmas from deep subcontinental mantle. Lithos 1995, 34, 41–59. [Google Scholar] [CrossRef]
- Dalrymple, B.G.; Czamanske, G.K.; Fedorenko, A.; Simonov, O.N.; Lanphere, M.A.; Likhachev, A.P. A reconnaisance 40Ar/39Ar geochronological study of ore-bearing and related rocks, Siberian Russia. Geochim. Cosmochim. Acta 1995, 59, 2071–2083. [Google Scholar] [CrossRef]
- Vasil’ev, Y.R.; Zolotukhin, V.V. The Maimecha-Kotuy alkaline-ultramafic province of the northern Siberian platform, Russia. Episodes 1995, 18, 155–164. [Google Scholar]
- Fedorenko, V.A.; Lightfoot, P.C.; Naldrett, A.J.; Czamanske, G.K.; Hawkesworth, C.J.; Wooden, J.L.; Ebel, D.S. Petrogenesis of the Siberian flood-basalt sequence at Noril’sk. Int. Geol. Rev. 1996, 38, 99–135. [Google Scholar] [CrossRef]
- Arndt, N.; Chauvel, C.; Czamanske, G.; Fedorenko, V. Two mantle sources, two plumbing systems: Tholeiitic and alkaline magmatism of the Maymecha River basin, Siberian flood volcanic province. Contrib. Miner. Pet. 1998, 133, 297–313. [Google Scholar] [CrossRef]
- Sobolev, A.V.; Krivolutskaya, N.A.; Kuzmin, D.V. Petrology of the Parental Melts and Mantle Sources of Siberian Trap Magmatism. Petrology 2009, 17, 253–286. [Google Scholar] [CrossRef]
- Krivolutskaya, N.A. Siberian Traps and Pt-Cu-Ni Deposits in the Noril’sk Area; Springer: Amsterdam, The Netherlands, 2016; p. 361. [Google Scholar]
- Naldrett, A.J.; Lightfoot, P.C.; Fedorenko, V.; Doherty, W.; Gorbachev, N.S. Geology and geochemistry of intrusions and flood basalts of the Noril’sk Region, USSR, with applications for the origin of the Ni-Cu ores. Econ. Geol. 1992, 87, 975–1004. [Google Scholar] [CrossRef]
- Lul’ko, V.A.; Fedorenko, V.A.; Distler, V.V.; Sluzhenikin, S.F.; Kunilov, V.E.; Stekhin, A.I.; Ryabikin, V.A.; Simonov, O.N.; Zen’ko, T.E. Geology and Ore Deposits of the Noril’sk Region; Guidebook VII; IPS: Moscow, Russia, 1994; p. 67. [Google Scholar]
- Naldrett, A.J.; Fedorenko, A.; Lightfoot, P.C.; Kunilov, E.; Gorbachev, N.S.; Doherty, W.; Johan, Z. Ni-Cu-PGE deposits of the Noril’sk region, Siberia: Their formation in conduits for flood basalt volcanism. Trans. Inst. Min. Metall. 1995, 104, B18–B36. [Google Scholar]
- Arndt, N.T.; Czamanske, G.K.; Walker, R.J.; Chauvel, C.; Fedorenko, V.A. Geochemistry and origin of the intrusive hosts of the Noril’sk-Talnakh Cu-Ni-PGE sulfide deposits. Econ. Geol. 2003, 98, 495–515. [Google Scholar] [CrossRef]
- Malitch, K.N.; Badanina, I.Y.; Tuganova, E.V. Ore-Bearing Ultramafic-Mafic Intrusions of Polar Siberia: New Insight on the Age, Origin and Predicted Criteria; IGG UB RAS: Ekaterinburg, Russia, 2018; 287p. (In Russian) [Google Scholar]
- Krivolutskaya, N.; Latyshev, A.; Dolgal, A.; Gongalsky, B.; Makareva, E.; Makarev, A.; Svirskaya, N.; Bychkova, Y.; Yakushev, A.; Asavin, A. Unique PGE–Cu–Ni Noril’sk Deposits, Siberian Trap Province: Magmatic and Tectonic Factors in Their Origin. Minerals 2019, 9, 66. [Google Scholar] [CrossRef]
- State Geological Map of Russian Federation. 1:1,000,000 Scale (New Version); Explanatory Note 2000, St-Pet.; VSEGEI: Norilsk, Russia, 2000; 479p. [Google Scholar]
- Krivolutskaya, N.; Belyatsky, B.; Gongalsky, B.; Dolgal, A.; Lapkovsky, A.; Malitch, K.; Taskaev, V.; Svirskaya, N. Geochemistry of magmatic rocks in the northwestern Siberian Trap Province, Kulyumber river valley. Part I: Rocks of the Khalil area. Minerals 2020, 10, 409. [Google Scholar] [CrossRef]
- Legend for 1:50,000 Scale Map, Noril’sk Group; Lyul’ko, V.A., Ed.; Geoinformmark: Moscow, Russia, 1993; p. 53. (In Russian) [Google Scholar]
- Sherman, M.L. (Ed.) Geological Map of the Noril’sk Ore Dstrict,1:200000 Scale; VSEGEI: Leningrad, Russia, 1991. [Google Scholar]
- Krivolutskaya, N.; Kedrovskaya, T. Structure and composition of the Nadayansky lava flow: An example of homogeneity of lava flows of the Siberian trap province. Geochem. Int. 2020, 58, 363–376. [Google Scholar] [CrossRef]
- Karandashev, V.K.; Khvostikov, V.A.; Nosenko, S.V.; Burmii, Z. Stable highly enriched isotopes in routine analyses of rocks, soils, grounds, and sediments by ICP-MS. Inorg. Mater. 2017, 53, 1432–1441. [Google Scholar] [CrossRef]
- Stacey, J.S.; Kramers, J.D. Approximation of terrestrial lead isotope evolution by a two-stage model. Earth Planet. Sci. Lett. 1975, 26, 207–221. [Google Scholar] [CrossRef]
- Geological Map of the Norilsk Region and Adjacent Territories, R-45-XXIII, XXIV, Q-45; Explanatory Note; Datsenko, V.A., Markov, F.B., Eds.; Nedra: Moscow, Russia, 1969; 81p. (In Russian) [Google Scholar]
- Hofmann, A.W. Chemical differentiation of the earth: The relationship between mantle, continental and ocean crust. Earth Planet Sci. Lett. 1988, 90, 297–314. [Google Scholar] [CrossRef]
- Pavlov, V.E.; Galley, I. Upper Cambrian to Middle Ordovician magnitostratigraphy from the Kulyumbe river section (northwestern Siberia). Phys. Earth Planet. Int. 1998, 108, 49–59. [Google Scholar] [CrossRef]
- Latyshev, A.V.; Krivolutskaya, N.A.; Ulyahina, P.S.; Bychkova, Y.V.; Gongalsky, B.I. Intrusions of the Kulyumber river valley, NW Siberian traps province: Paleomagnetism, magnetic fabric and geochemistry. In Recent Advances in Rock Magnetism, Environmental Magnetism and Paleomagnetism; Springer: Amsterdam, The Netherlands, 2018; pp. 67–83. [Google Scholar]
- Krivolutskaya, N.A.; Sobolev, A.V.; Snisar, S.G.; Gongalskiy, B.I.; Hauff, B.; Kuzmin, D.V.; Tushentsova, I.N.; Svirskaya, N.M.; Kononkova, N.N.; Schlychkova, T.B. Mineralogy, geochemistry and stratigraphy of the Maslovsky Pt–Cu–Ni sulfide deposit, Noril’sk Region, Russia: Implications for relationship of ore-bearing intrusions and lavas. Miner. Depos. 2012, 47, 69–88. [Google Scholar] [CrossRef]
- Sluzhenikin, S.F.; Malitch, K.N.; Grigorieva, A.V. Differentiated mafic-ultramafic intrusions of the Kruglogorsky type in the Norilsk area: Petrology and ore potential. Petrology 2018, 26, 280–313. [Google Scholar] [CrossRef]
- Sluzhenikin, S.F.; Krivolutskaya, N.A. Pyasino-Vologochan intrusion: Geological structure and platinum-copper-nickel ores (Norilsk region). Geol. Ore Depos. 2015, 57, 424–444. [Google Scholar] [CrossRef]
- Le Maitre, R.W.; Streckeisen, A.; Zanettin, B.; Le Bas, M.J.; Bonin, B.; Bateman, P.; Belieni, G.; Dudek, A.; Efremova, S.; Keller, J.; et al. Igneous Rocks: A Classification and Glossary of Terms; Le Maitre, R.W., Ed.; Cambridge University Press: Cambridge, UK, 2002; p. 37. [Google Scholar]
- Krivolutskaya, N.A. Formation of PGE-Cu-Ni deposits in the process of evolution of flood basalt magmatism in the Noril’sk region. Geol. Ore Depos. 2011, 53, 303–339. [Google Scholar] [CrossRef]
- Dneprovskaya, M.B.; Frenlel, M.Y.; Yaroshevsky, A.A. Quantitative ‘model of layering of the Talnakh intrusion. In Constrants of Models for Ore-Forming Systems; Nauka: Novosibirsk, Russia, 1987; pp. 96–106. (In Russian) [Google Scholar]
- Petrov, O.V. (Ed.) Isotope Geology of the Norilsk Deposits; VSEGEI: St-Peterburg, Russia, 2017; 348p. (In Russian) [Google Scholar]
- Sudbury-Norils Symposium; Geological Survey: Ottawa, ON, Canada, 1994; Volume 5, 390p.
- Sereda, E.; Belyatsky, B.; Krivolutskaya, N. Geochemistry and Geochronology of Southern Norilsk Intrusions, SW Siberian Traps. Minerals 2020, 10, 165. [Google Scholar] [CrossRef]
- Zolotukhin, V.V.; Vilensky, A.M.; Vasil’ev, Y.R.; Mezhvilk, A.A.; Ryabov, V.V.; Stsherbakova, Z.V. Magnesium Basites of Western Part of the Siberian Platform and Its Nickel Mineralization; Nauka: Novosibirsk, Russia, 1984; 208p. (In Russian) [Google Scholar]
- Malitch, N.S.; Grinson, A.S.; Tuganova, E.V.; Chernyshev, N.M. Rifting of the Siberian platform. In Proceedings of the 28th session of International Geological Congress, Tectonic Processes, Moscow, Russia, 4–14 August 1984; Nauka: Moscow, Russia, 1988; pp. 184–193. [Google Scholar]
- Rad’ko, V.A. Facies of Intrusive and Effusive Magmatism in the Norilsk Area; VSEGEI: St-Petersburg, Russia, 2016; 225p. (In Russian) [Google Scholar]
- Likhachev, A.P. Role of leucocratic gabbro in formation of the Norilsk ore-bearing intrusions. Izv. Acad. Sci. 1965, 12, 50–66. (In Russian) [Google Scholar]
- Likhachev, A.P. The possibility of selt-enrichment of the ore substance and the heavy sulfur isotope (34S) of the mantle magmas that form Cu-Pt-Ni deposits and a promising area for ore localization in the Norilsk region. Otechestvennaya Geol. 2019, 3, 1–18. (In Russian) [Google Scholar]
- Zolotukhin, V.V. Mafic pegmatiodes of the Norilsk Ore-Bearing Intrusions and Origin of the Norilsk Ores; OIGG: Novosibirsk, Russia, 1997; 90p. (In Russian) [Google Scholar]
- Dogin, D.A.; Batuev, B.N. Atlas of Textures and Structure of the Rocks from the Norilsk Area; Nedra: Leningrad, Russia, 1971; 468p. (In Russian) [Google Scholar]
- Krivolutskaya, N.A.; Ariskin, A.A.; Sluzhenikin, S.F.; Turovtsev, D.M. Geochemical thermometry of rocks of the Talnakh intrusion: Assessment of the melt composition and the crystallinity of the parental magma. Petrology 2001, 9, 389–414. [Google Scholar]
- Krivolutskaya, N.A.; Sobolev, A.V.; Mikhailov, V.N.; Plechova, A.A.; Kostitsyn, Y.A.; Roschina, I.A.; Fekiacova, Z. Parental melt of the Nadezhdinsky Formation: Geochemistry, petrology and connection with Cu-Ni deposits (Noril’sk area, Russia). Chem. Geol. 2012, 302–303, 87–105. [Google Scholar] [CrossRef]
- Sharma, M. Siberian Traps. In Large Igneous Provinces: Continental, Oceanic, and Planetary Flood Volcanis; Mahoney, J.J., Coffin, M.F., Eds.; American Geophysical Union: Wshington, DC, USA, 1997; Volume 100, pp. 273–295. [Google Scholar]
- Basu, A.R.; Hannigan, R.E.; Jacobsen, S.B. Melting of the Siberian mantle plume. Geophys. Res. Lett. 1998, 25, 2209–2212. [Google Scholar] [CrossRef]
- Sobolev, A.V.; Hofmann, A.W.; Kuzmin, D.V.; Yaxley, G.M.; Arndt, N.T.; Chung, S.L.; Danyushevsky, L.V.; Elliott, T.; Frey, F.A.; Garcia, M.O.; et al. The amount of Recycled Crust in Sources of Mantle-Derived Melts. Science 2007, 316, 412–417. [Google Scholar] [CrossRef]
- Rotman, A.Y. Subalkaline Basites of Kimberlite Controlling structures in the Eastern Siberia; Abstract of Dissertation; IGM: Novosibirsk, Russia, 2002; 42p. [Google Scholar]
- Sharapov, V.N.; Chudnenko, K.V.; Mazurov, M.P.; Perepechko, Y.V. Metasomatic zoning of subcratonic lithosphere in Siberia: Physicochemical modeling. Russ. Geol. Geophys. 2009, 50, 1107–1118. [Google Scholar] [CrossRef]



















| No | 1 | 2 | 3 | 4 | 5 | 6 |
|---|---|---|---|---|---|---|
| Sample, N | Kul-8 | Kul-9 | Kul-10 | Kul-11 | X-39-1 | X-47-2 |
| Site | 3 | 3 | 3 | 3 | 1 | 1 |
| Age | D3 | D3 | D3 | D3 | C2-P2 | C2-P2 |
| Rock | marls | marls | limestone | limestone | argillite | siltstone |
| SiO2 | 37.37 | 31.59 | 9.73 | 2.36 | 73.15 | 60.82 |
| TiO2 | 0.57 | 0.47 | 0.2 | 0.06 | 0.42 | 0.6 |
| Al2O3 | 8.83 | 6.69 | 2.24 | 0.6 | 9.92 | 15.42 |
| Fe2O3 | 4.51 | 3.42 | 1.01 | 0.71 | 2.47 | 5.1 |
| MnO | 0.09 | 0.12 | 0.05 | 0.03 | 0.09 | 0.08 |
| MgO | 9.50 | 6.45 | 0.60 | 0.68 | 0.79 | 2.18 |
| CaO | 18.09 | 26.03 | 48.75 | 53.84 | 4.07 | 2.98 |
| Na2O | 0.08 | 0.09 | 0.19 | 0.08 | 1.11 | 5.3 |
| K2O | 2.60 | 1.29 | 0.72 | 0.17 | 3.03 | 1.18 |
| P2O5 | 0.14 | 0.11 | 0.07 | 0.03 | 0.11 | 0.23 |
| Cr2O3 | 2.07 | 1.21 | 0.20 | 0.04 | 0.00 | 0.00 |
| LOI | 18.0 | 22.6 | 35.8 | 40.9 | 4.7 | 5.5 |
| S | 0.07 | 1.07 | 0.51 | 0.45 | ||
| Total | 101.9 | 101.1 | 100.1 | 100.0 | 99.9 | 99.4 |
| Li | 42.8 | 49.5 | 11.2 | 7.24 | 16.6 | 16.2 |
| Rb | 56.2 | 37.5 | 17.7 | 6.6 | 112.0 | 37.5 |
| Sr | 257 | 134 | 103 | 236 | 63 | 177 |
| Y | 20.1 | 14.7 | 8.00 | 1.71 | 17.0 | 23.2 |
| Cs | 0.97 | 1.35 | 0.30 | 0.14 | 1.44 | 2.10 |
| Ba | 305 | 88 | 541 | 20 | 343 | 171 |
| La | 27.7 | 15.0 | 9.06 | 3.20 | 28.0 | 29.3 |
| Ce | 53.7 | 30.9 | 18.3 | 5.7 | 53.8 | 60.3 |
| Pr | 6.17 | 3.75 | 2.16 | 0.63 | 5.97 | 6.65 |
| Nd | 22.78 | 14.36 | 8.07 | 2.24 | 20.64 | 26.40 |
| Sm | 4.63 | 3.00 | 1.67 | 0.41 | 4.12 | 5.00 |
| Eu | 1.08 | 0.83 | 0.44 | 0.08 | 0.85 | 1.14 |
| Gd | 3.47 | 2.60 | 1.36 | 0.31 | 2.50 | 4.58 |
| Tb | 0.64 | 0.45 | 0.24 | 0.05 | 0.47 | 0.70 |
| Dy | 3.56 | 2.63 | 1.41 | 0.30 | 2.83 | 4.32 |
| Ho | 0.77 | 0.54 | 0.29 | 0.06 | 0.60 | 0.85 |
| Er | 2.22 | 1.56 | 0.80 | 0.18 | 1.71 | 2.57 |
| Tm | 0.30 | 0.22 | 0.11 | 0.02 | 0.24 | 0.35 |
| Yb | 2.02 | 1.45 | 0.70 | 0.16 | 1.48 | 2.46 |
| Lu | 0.28 | 0.21 | 0.10 | 0.02 | 0.24 | 0.36 |
| Pb | 2.88 | 3.91 | 4.18 | 4.39 | 4.67 | 3.13 |
| Th | 4.93 | 3.90 | 1.11 | 0.14 | 6.21 | 8.75 |
| U | 2.28 | 2.30 | 0.61 | 0.41 | 1.43 | 3.01 |
| Sc | 8.76 | 7.32 | 3.00 | 0.95 | 31.6 | 13.2 |
| Ti | 2778 | 2144 | 747 | 239 | 2815 | 3597 |
| V | 75 | 56 | 19 | 7 | 58 | 100 |
| Cr | 51.7 | 45.4 | 13.6 | 7.24 | 31.2 | 68.5 |
| Co | 9.14 | 8.34 | 3.46 | 0.89 | 7.06 | 6.44 |
| Ni | 25.5 | 25.9 | 7.69 | 5.04 | 11.8 | 53.6 |
| Cu | 1.42 | 4.23 | 11.3 | 3.81 | 29.9 | 119 |
| Zn | 30.6 | 16.4 | bdl | bdl | 11.71 | 62.1 |
| Zr | 123 | 74.1 | 30.0 | 8.71 | 105 | 156 |
| Nb | 15.3 | 6.44 | 2.62 | 0.30 | 14.4 | 11.3 |
| Hf | 2.34 | 1.67 | 0.51 | 0.19 | 3.03 | 4.06 |
| Ta | 0.92 | 0.40 | 0.20 | 0.02 | 1.09 | 0.73 |
| Complex | Intrusion No, Borehole | Rocks | Sample |
|---|---|---|---|
| Ergalakhsky | Intrusion 7 | Trachydolerites | Kul-15 |
| Katangsky | Intrusion 1 | Olivine gabbro-dolerites | Kul-2/1, (Kul-1, Kul-3–Kul-5, Kul-7, Kul-38) * |
| Intrusion 2 | Olivine gabbro-dolerites | Kul-19, Kul-21, Kul-22 | |
| Intrusion 6 | Gabbro-dolerites | Kul-14 * | |
| Intrusion 8 | Olivine gabbro-dolerites | Kul-25, Kul-28, Kul-31, Kul-32 Kul-34 | |
| Intrusion 9 | Olivine gabbro-dolerites | Kul-44 * | |
| Kureysky | Intrusion 4 | Olivine gabbro-dolerites, gabbro-dolerites, Ti-Mag gabbro | K-1, K-2, K-16 * |
| Intrusion 3 | Olivine gabbro-dolerites, | Kul-40 | |
| Kulyumbinsky | Intrusion 5 | Gabbro-dolerites | Kul-12a, Kul-12 * |
| Supposed Daldykansky | PR-4, PR-11 | Gabbro-dolerites, olivine-bearing gabbro-dolerites | PR-4/75.5, PR-4/80, PR-11/486, PR-11/489.5, PR-11/492.6 |
| Supposed Kuzmovsky | PR-4 | Gabbro-dolerites | PR-4/437, PR-4/440, PR-4/447.5 |
| Supposed Ogonersky | PR-6 | Gabbro-dolerites | PR-6/339 |
| Norilsk | PR-1 | Olivine gabbro-dolerites, gabbro-dolerites, leucogabbro | PR-1/214.6, PR-1/216, PR-1/216.3, PR-1/224, PR-1/234, PR-1/256, PR-1/262, PR-1/262.1, PR-1/266 |
| No. | No. Point | No. Sample | SiO2 | TiO2 | Al2O3 | FeO | MnO | MgO | CaO | Na2O | NiO | Total |
|---|---|---|---|---|---|---|---|---|---|---|---|---|
| 1 | 1 | K-2 | 35.64 | 0.01 | 0.03 | 32.39 | 0.46 | 30.45 | 0.25 | bdl | 0.17 | 99.43 |
| 2 | 2 | K-2 | 35.63 | 0.08 | 1.55 | 26.93 | 0.41 | 34.85 | 0.32 | 0.75 | 0.14 | 101.1 |
| 3 | 3 | K-2 | 36.95 | 0.03 | 0.74 | 25.65 | 0.37 | 35.10 | 0.29 | 0.05 | 0.13 | 99.31 |
| 4 | 4 | K-2 | 37.27 | bdl | 0.03 | 26.49 | 0.38 | 35.60 | 0.20 | 0.04 | 0.14 | 100.2 |
| 5 | 11 | K-2 | 35.76 | bdl | bdl | 37.76 | 0.53 | 26.08 | 0.20 | bdl | 0.10 | 100.4 |
| 6 | 15 | K-2 | 35.32 | 0.02 | 0.01 | 36.78 | 0.51 | 26.70 | 0.26 | bdl | 0.07 | 99.67 |
| 7 | 26 | K-2 | 49.49 | 0.02 | 31.44 | 0.44 | 0.03 | 0.14 | 14.58 | 3.28 | bdl | 99.53 |
| 8 | 31 | K-2 | 47.24 | 0.04 | 31.58 | 1.38 | bdl | 0.59 | 14.93 | 2.55 | bdl | 98.42 |
| 9 | 34 | K-2 | 52.57 | 0.12 | 0.78 | 19.12 | 0.45 | 12.72 | 9.91 | 0.16 | bdl | 95.86 |
| 10 | 35 | K-2 | 50.01 | 0.14 | 0.48 | 37.91 | 0.64 | 10.82 | 1.01 | 0.07 | 0.02 | 101.1 |
| 11 | 38 | K-2 | 51.23 | 1.02 | 2.25 | 13.33 | 0.36 | 14.15 | 17.17 | 0.40 | bdl | 99.94 |
| 12 | 59 | Kul-16 | 33.46 | 0.02 | 0.04 | 43.59 | 0.64 | 21.68 | 0.15 | 0.04 | 0.12 | 99.77 |
| 13 | 60 | Kul-16 | 33.89 | 0.03 | 0.05 | 43.07 | 0.61 | 21.32 | 0.21 | 0.05 | 0.11 | 99.34 |
| 14 | 61 | Kul-16 | 32.73 | 0.02 | 0.04 | 47.81 | 0.78 | 17.36 | 0.17 | 0.04 | 0.12 | 99.09 |
| 15 | 73 | Kul-16 | 37.18 | bdl | 0.05 | 30.77 | 0.56 | 33.14 | 0.27 | 0.03 | 0.12 | 102.2 |
| 16 | 74 | Kul-16 | 50.07 | 0.03 | 29.24 | 0.66 | 0.02 | 0.16 | 14.36 | 3.63 | 0.03 | 98.35 |
| 17 | 75 | Kul-16 | 50.53 | 0.02 | 29.1 | 0.65 | 0.02 | 0.17 | 13.96 | 3.91 | 0.04 | 98.54 |
| 18 | 103 | Kul-5 | 50.88 | bdl | 30.27 | 0.76 | bdl | 0.08 | 13.27 | 3.81 | bdl | 99.13 |
| 19 | 104 | Kul-5 | 53.98 | bdl | 28.16 | 0.77 | bdl | 0.08 | 10.83 | 5.18 | bdl | 99.15 |
| 20 | 105 | Kul-5 | 67.64 | bdl | 19.72 | 0.31 | bdl | bdl | 0.6 | 11.28 | bdl | 99.68 |
| 21 | 109 | Kul-5 | 37.94 | bdl | 0.12 | 23.86 | 0.39 | 37.33 | 0.32 | bdl | 0.19 | 100.1 |
| 22 | 110 | Kul-5 | 37.71 | bdl | 0.1 | 24.24 | 0.38 | 36.66 | 0.32 | bdl | 0.17 | 99.59 |
| 23 | 111 | Kul-5 | 37.12 | bdl | bdl | 25.95 | 0.38 | 35.31 | 0.26 | bdl | 0.1 | 99.12 |
| 24 | 112 | Kul-5 | 37.84 | bdl | bdl | 24.18 | 0.39 | 36.97 | 0.28 | bdl | 0.12 | 99.79 |
| 25 | 117 | Kul-5 | 35.84 | bdl | 0.09 | 31.93 | 0.53 | 29.79 | 0.3 | bdl | bdl | 98.48 |
| 26 | 118 | Kul-5 | 36.02 | bdl | 0.08 | 33.57 | 0.55 | 29.11 | 0.3 | bdl | bdl | 99.64 |
| 27 | 119 | Kul-5 | 36.22 | bdl | 0.14 | 34.63 | 0.63 | 28.7 | 0.22 | bdl | bdl | 100.5 |
| 28 | 120 | Kul-5 | 36.35 | bdl | 0.09 | 32.04 | 0.66 | 30.35 | 0.26 | bdl | bdl | 99.75 |
| 29 | 121 | Kul-5 | 49.64 | 1.58 | 2.9 | 14.12 | 0.34 | 12.61 | 18.49 | 0.46 | bdl | 100.1 |
| 30 | 122 | Kul-5 | 50.77 | 1.06 | 2.83 | 12.45 | 0.34 | 15.33 | 16.85 | 0.27 | bdl | 99.9 |
| 31 | 123 | Kul-5 | 52.49 | 0.9 | 0.7 | 10.86 | 0.35 | 14.58 | 19.11 | 0.82 | bdl | 99.81 |
| 32 | 124 | Kul-5 | 50.35 | 1.13 | 2.71 | 12.32 | 0.25 | 13.94 | 18.5 | 0.28 | bdl | 99.48 |
| 33 | 133 | Kul-7 | 49.88 | 1.01 | 1.49 | 19.19 | 0.49 | 12.81 | 14.34 | 0.18 | bdl | 99.39 |
| 34 | 135 | Kul-7 | 51.05 | 0.66 | 2.76 | 9.86 | 0.25 | 15.05 | 19.77 | 0.33 | bdl | 99.73 |
| 35 | 138 | Kul-7 | 51.07 | bdl | 30.27 | 0.76 | bdl | 0.08 | 13.27 | 3.81 | bdl | 99.32 |
| 36 | 141 | Kul-38 | 52.7 | 0.06 | 30.28 | 0.74 | bdl | 0.11 | 14.09 | 3.83 | bdl | 101.9 |
| 37 | 145 | Kul-38 | 50.38 | 1.22 | 3.38 | 12.57 | 0.31 | 13.68 | 18.36 | 0.33 | 0.06 | 100.6 |
| 38 | 150 | Kul-12 | 52.31 | 0.57 | 1.17 | 8.56 | 0.25 | 17.21 | 19.37 | 0.2 | bdl | 100.0 |
| 39 | 151 | Kul-12 | 52.27 | 0.61 | 1.61 | 8.47 | 0.24 | 17.12 | 19.8 | 0.22 | bdl | 100.4 |
| 40 | 152 | Kul-12 | 52.41 | 0.63 | 1.64 | 8.51 | 0.14 | 17.21 | 19.37 | 0.23 | bdl | 100.5 |
| 41 | 157 | Kul-12 | 55.78 | 0.06 | 27.3 | 0.73 | 0.01 | 0.08 | 9.31 | 6.36 | bdl | 100.0 |
| 42 | 158 | Kul-12 | 55.37 | 0.02 | 27.42 | 0.72 | 0.01 | 0.11 | 9.61 | 6.32 | bdl | 100.1 |
| 43 | 159 | Kul-12 | 0.10 | 45.23 | 0.16 | 48.33 | 2.35 | 0.1 | 0.22 | 0.00 | bdl | 96.83 |
| 44 | 164 | Kul-14 | 38.04 | bdl | 0.1 | 24.03 | 0.38 | 38.86 | bdl | 0.05 | 0.18 | 101.6 |
| 45 | 165 | Kul-14 | 48.18 | 0.05 | 32.62 | 0.47 | bdl | 0.17 | 15.06 | 2.82 | 0.03 | 99.47 |
| 46 | 166 | Kul-14 | 52.58 | 0.05 | 30.26 | 0.67 | 0.01 | 0.16 | 12.03 | 4.44 | 0.03 | 100.4 |
| 47 | 187 | PR-1/234 | 36.02 | bdl | 0.08 | 33.59 | 0.55 | 30.11 | 0.3 | 0.00 | 0.01 | 99.64 |
| 48 | 188 | PR-1/234 | 50.51 | 0.83 | 1.38 | 19.32 | 0.48 | 14.97 | 12.19 | 0.27 | 0.05 | 100.1 |
| 49 | 189 | PR-1/234 | 49.95 | 0.01 | 30.26 | 0.37 | 0.08 | 0.17 | 15.96 | 2.87 | 0.07 | 99.83 |
| 50 | 191 | OKG13/43 | 36.61 | 0.03 | 0.01 | 31.46 | 0.44 | 31.75 | 0.07 | bdl | 0.01 | 100.5 |
| 51 | 193 | OKG-13/43 | 36.53 | 0.03 | bdl | 31.68 | 0.44 | 31.6 | 0.08 | bdl | bdl | 100.5 |
| 52 | 194 | OKG-13/43 | 36.73 | 0.03 | 0.01 | 31.32 | 0.44 | 31.87 | 0.05 | bdl | 0.001 | 100.5 |
| 53 | 195 | OKG-13/43 | 35.62 | 0.04 | bdl | 37.69 | 0.47 | 26.57 | 0.18 | bdl | 0.002 | 100.6 |
| 54 | 196 | OKG-13/43 | 36.36 | 0.03 | bdl | 32.02 | 0.45 | 31.12 | 0.07 | bdl | bdl | 100.1 |
| 55 | 199 | OKГ-13/69.2 | 51.63 | 0.716 | 2.11 | 8.68 | 0.226 | 15.14 | 20.73 | 0.23 | 0.066 | 99.52 |
| 56 | 201 | OKГ-13/69.2 | 51.82 | 0.469 | 1.75 | 8.23 | 0.203 | 16.37 | 19.67 | 0.17 | 0.086 | 98.79 |
| 57 | 218 | 91 | 38.22 | 0.025 | 0.005 | 26.04 | 0.358 | 36.81 | 0.067 | bdl | 0.108 | 101.7 |
| 58 | 219 | 91 | 37.65 | 0.020 | 0.004 | 26.09 | 0.361 | 36.82 | 0.048 | bdl | 0.108 | 101.2 |
| 59 | 236 | DM27/20.6 | 51.47 | 0.47 | 1.35 | 9.54 | 0.5 | 14.58 | 19.8 | 0.33 | bdl | 98.04 |
| 60 | 239 | DM-27/20.6 | 52.14 | 0.51 | 2.62 | 6.32 | 0.22 | 16.11 | 20.33 | 0.25 | n/a | 98.50 |
| 61 | 241 | DM-27/20.6 | 52.64 | bdl | 28.91 | 0.83 | 0.05 | bdl | 13.39 | 3.85 | n/a | 99.67 |
| 62 | 242 | DM-27/20.6 | 46.77 | bdl | 28.61 | 0.58 | bdl | bdl | 12.22 | 3.43 | n/a | 97.61 |
| 63 | 243 | DM-27/20.6 | 51.67 | bdl | 30.27 | 0.67 | bdl | bdl | 13.59 | 3.63 | n/a | 99.83 |
| 64 | 245 | DM-27/33 | 51.41 | 0.74 | 1.61 | 10.29 | 0.03 | 13.91 | 20.79 | 0.43 | n/a | 99.21 |
| 65 | 250 | DM-27/100 | 51.79 | 0.48 | 2.29 | 6.31 | 0.16 | 16.56 | 20.94 | 0.21 | 0.2 | 98.94 |
| 66 | 253 | DM-27/100 | 51.99 | 0.09 | 1.95 | 7.76 | 0.34 | 16.24 | 21.92 | 0.22 | 0.1 | 100.6 |
| 67 | 256 | G-22/64 | 48.31 | 0.055 | 32.22 | 0.912 | 0.016 | 0.010 | 16.39 | 1.70 | 0.001 | 99.68 |
| 68 | 264 | G-22/64 | 49.10 | 0.03 | 31.69 | 0.787 | 0.000 | 0.046 | 15.03 | 2.29 | 0.001 | 99.07 |
| 69 | 271 | G-22/64 | 38.47 | n/a | 0.020 | 19.84 | 0.310 | 40.57 | 0.16 | n/a | 0.23 | 99.67 |
| 70 | 272 | G-22/64 | 38.68 | n/a | 0.017 | 19.38 | 0.301 | 41.00 | 0.14 | n/a | 0.24 | 99.83 |
| 71 | 273 | G-22/64 | 38.95 | n/a | 0.016 | 19.49 | 0.303 | 41.14 | 0.15 | n/a | 0.24 | 100.4 |
| 72 | 289 | G-22/107 | 38.26 | n/a | 0.021 | 24.16 | 0.394 | 37.42 | 0.149 | n/a | 0.20 | 100.8 |
| 73 | 330 | G-22/108 | 36.60 | n/a | 0.013 | 30.44 | 0.474 | 31.71 | 0.106 | n/a | 0.10 | 99.52 |
| 74 | 331 | G-22/108 | 36.29 | n/a | 0.020 | 29.91 | 0.466 | 31.46 | 0.112 | n/a | 0.10 | 98.59 |
| No. | 1 | 2 | 3 | 4 | 5 | 6 | 7 | 8 | 9 | 10 | |
| Sample | Kul-15 | K-1 | K-2 | Kul-18 | Kul-40 | Kul-2/1 | Kul-25 | Kul-19 | Kul-22 | Kul-28 | |
| SiO2 | 50.96 | 48.06 | 47.02 | 46.62 | 48.46 | 51.88 | 47.24 | 47.58 | 47.61 | 47.59 | |
| TiO2 | 2.51 | 1.34 | 1.29 | 1.52 | 1.42 | 1.43 | 1.91 | 1.46 | 1.56 | 1.31 | |
| Al2O3 | 13.8 | 18.51 | 15.67 | 14.22 | 14.98 | 13.5 | 14. 51 | 14.71 | 14.57 | 14.75 | |
| Fe2O3 | 13.52 | 10.62 | 13.86 | 13.37 | 13.45 | 13.5 | 13.69 | 12.77 | 13.07 | 11.56 | |
| MnO | 0.21 | 0.18 | 0.20 | 0.21 | 0.20 | 0.19 | 0.18 | 0.21 | 0.18 | 0.16 | |
| MgO | 3.36 | 5.13 | 8.3 | 6.69 | 6.97 | 5.69 | 6.79 | 7.58 | 7.01 | 7.23 | |
| CaO | 6.96 | 9.27 | 9.99 | 7.04 | 10.34 | 8.02 | 10.07 | 8.07 | 9.81 | 10.99 | |
| Na2O | 3.61 | 2.96 | 2.23 | 5.02 | 2.56 | 3.47 | 3.03 | 3.96 | 3.26 | 3.45 | |
| K2O | 2.48 | 0.85 | 0.41 | 0.53 | 0.5 | 1.38 | 0.38 | 0.78 | 0.56 | 0.52 | |
| P2O5 | 0.78 | 0.15 | 0.14 | 0.18 | 0.15 | 0.15 | 0.17 | 0.17 | 0.2 | 0.18 | |
| LOI | 1.74 | 3.05 | 0.52 | 4.43 | 0.9 | 1.25 | 1.94 | 2.55 | 2.06 | 2.18 | |
| S | 0.04 | n/a | n/a | 0.05 | n/a | n/a | 0.08 | 0.23 | 0.09 | n/a | |
| Rb | 81.0 | 24.3 | 10.5 | n/a | 13.3 | 19.3 | 14.8 | 20.9 | 13.9 | 10.8 | |
| Sr | 515 | 642 | 187 | n/a | 199 | 423 | 331 | 315 | 244 | 243 | |
| Y | 52.7 | 24.7 | 25.0 | n/a | 25.5 | 29.5 | 35.1 | 27.8 | 29.0 | 25.7 | |
| Cs | 1.78 | 0.29 | 0.36 | n/a | 0.60 | 0.29 | 0.09 | 0.20 | 0.69 | 0.07 | |
| Ba | 807 | 139 | 119 | n/a | 112 | 172 | 148 | 122 | 144 | 110 | |
| La | 57.4 | 7.8 | 6.9 | n/a | 7.0 | 9.4 | 10.3 | 8.5 | 9.0 | 7.5 | |
| Ce | 131 | 18.7 | 16.8 | n/a | 16.8 | 23.5 | 25.17 | 19.7 | 21.4 | 18.4 | |
| Pr | 15.4 | 2.46 | 2.30 | n/a | 2.41 | 3.13 | 3.64 | 2.71 | 2.91 | 2.58 | |
| Nd | 61.4 | 11.8 | 11.4 | n/a | 11.3 | 15.0 | 17.0 | 13.3 | 14.1 | 12.3 | |
| Sm | 12.93 | 3.28 | 3.18 | n/a | 3.48 | 4.00 | 4.93 | 3.83 | 4.03 | 3.57 | |
| Eu | 3.54 | 1.12 | 1.14 | n/a | 1.19 | 1.34 | 1.62 | 1.25 | 1.31 | 1.16 | |
| Gd | 12.29 | 3.84 | 3.71 | n/a | 3.83 | 5.04 | 5.37 | 4.80 | 5.04 | 3.86 | |
| Tb | 1.81 | 0.65 | 0.64 | n/a | 0.69 | 0.82 | 0.99 | 0.83 | 0.85 | 0.71 | |
| Dy | 10.18 | 4.22 | 4.14 | n/a | 4.69 | 5.49 | 6.41 | 5.03 | 5.26 | 4.71 | |
| Ho | 1.96 | 0.85 | 0.87 | n/a | 1.00 | 1.12 | 1.35 | 1.05 | 1.06 | 1.05 | |
| Er | 5.37 | 2.47 | 2.47 | n/a | 2.80 | 3.34 | 3.70 | 3.17 | 3.24 | 2.78 | |
| Tm | 0.70 | 0.35 | 0.34 | n/a | 0.41 | 0.45 | 0.54 | 0.43 | 0.44 | 0.40 | |
| Yb | 4.77 | 2.41 | 2.50 | n/a | 2.65 | 3.03 | 3.54 | 3.02 | 3.13 | 2.49 | |
| Lu | 0.68 | 0.34 | 0.35 | n/a | 0.40 | 0.46 | 0.51 | 0.43 | 0.45 | 0.37 | |
| Pb | 2.41 | 0.92 | 3.62 | n/a | 2.11 | 1.32 | 0.88 | 0.65 | 0.83 | 0.93 | |
| Th | 5.62 | 1.12 | 0.98 | n/a | 0.79 | 1.47 | 1.41 | 1.22 | 1.33 | 0.98 | |
| U | 1.51 | 0.42 | 0.38 | n/a | 0.33 | 0.59 | 0.56 | 0.45 | 0.65 | 0.39 | |
| Sc | 25.8 | 0.4 | 0.4 | n/a | 36.8 | 37.8 | 50.0 | 36.7 | 37.2 | 36.6 | |
| V | 146 | n/a | n/a | n/a | 279 | 319 | 329 | 288 | 306 | 244 | |
| Cr | 33 | 105 | 98 | n/a | 168 | 165 | 249 | 151 | 153 | 181 | |
| Co | 25 | 38 | 65 | n/a | 47 | 45 | 54 | 46 | 47 | 41 | |
| Ni | 13 | 120 | 244 | n/a | 136 | 79 | 148 | 128 | 125 | 111 | |
| Cu | 15 | 426 | 481 | n/a | 225 | 119 | 104 | 65 | 61 | 76 | |
| Zn | 32 | 25 | 87 | n/a | 118 | 76 | 20 | 72 | 50 | 93 | |
| Zr | 411 | 88 | 88 | n/a | 88 | 118 | 118 | 107 | 104 | 82 | |
| Nb | 32.61 | 4.64 | 4.29 | n/a | 3.44 | 6.78 | 5.92 | 5.33 | 5.54 | 4.15 | |
| Hf | 8.95 | 2.10 | 2.30 | n/a | 1.72 | 3.01 | 2.77 | 2.82 | 2.86 | 1.90 | |
| Ta | 1.78 | 0.26 | 0.28 | n/a | 0.21 | 0.32 | 0.38 | 0.32 | 0.33 | 0.24 | |
| No. | 11 | 12 | 13 | 14 | 15 | 16 | 17 | 18 | 19 | 20 | |
| Sample | Kul-31 | Kul-34 | Kul-32 | Kul-24 | Kul12/1a | 1/214.6 | 1/216.0 | 1/216.3 | 1/224 | 1/234 | |
| SiO2 | 47.06 | 47.35 | 47.60 | 47.54 | 49.37 | 47.88 | 43.05 | 46.95 | 50.04 | 47.75 | |
| TiO2 | 1.53 | 1.51 | 1.56 | 1.39 | 1.35 | 0.92 | 0.64 | 1.07 | 2.22 | 1.12 | |
| Al2O3 | 14.37 | 14.54 | 14.59 | 14.66 | 16.52 | 16.72 | 17.84 | 15.74 | 12.11 | 16.30 | |
| Fe2O3 | 13.61 | 13.87 | 13.86 | 12.11 | 8.53 | 7.12 | 11.24 | 11.71 | 16.10 | 12.29 | |
| MnO | 0.17 | 0.22 | 0.19 | 0.18 | 0.12 | 0.12 | 0.15 | 0.17 | 0.24 | 0.18 | |
| MgO | 7.23 | 7.31 | 7.01 | 7.26 | 7.60 | 6.80 | 10.81 | 7.46 | 4.44 | 8.30 | |
| CaO | 10.08 | 9.26 | 10.16 | 10.36 | 8.27 | 14.58 | 9.41 | 12.18 | 8.51 | 10.14 | |
| Na2O | 3.29 | 2.99 | 2.68 | 3.32 | 3.18 | 1.64 | 1.76 | 2.13 | 3.74 | 2.51 | |
| K2O | 0.44 | 0.64 | 0.47 | 0.54 | 1.73 | 2.03 | 0.79 | 0.75 | 1.13 | 0.44 | |
| P2O5 | 0.18 | 0.18 | 0.19 | 0.16 | 0.16 | 0.09 | 0.08 | 0.10 | 0.42 | 0.15 | |
| LOI | 1.87 | 2.05 | 1.61 | 2.34 | 2.89 | 2.05 | 4.19 | 1.73 | 0.89 | 0.61 | |
| S | 0.18 | 0.10 | 0.04 | 0.11 | n/a | <0.05 | <0.05 | <0.05 | n/a | n/a | |
| Rb | 11.4 | 13.4 | 12.7 | 15.1 | 53.7 | 38.9 | 18.6 | 16.7 | 28.4 | 11.5 | |
| Sr | 244 | 238 | 231 | 219 | 662 | 525 | 477 | 270 | 234 | 208 | |
| Y | 27.0 | 27.7 | 27.6 | 28 | 15.4 | 18.1 | 12.1 | 18.7 | 61.3 | 23.4 | |
| Cs | 0.20 | 0.20 | 0.39 | 0.6 | 4.20 | 1.67 | 3.09 | 1.55 | n/a | n/a | |
| Ba | 103 | 142 | 140 | 159 | 298 | 179 | 68 | 63 | 249 | 123 | |
| La | 8.4 | 8.6 | 8.93 | 8.50 | 9.03 | 4.30 | 3.30 | 4.24 | 21.39 | 7.65 | |
| Ce | 19.9 | 20.0 | 20.9 | 21.3 | 20.8 | 10.2 | 7.8 | 10.0 | 50.9 | 18.0 | |
| Pr | 2.70 | 2.71 | 2.93 | 2.90 | 2.66 | 1.45 | 1.08 | 1.39 | 6.79 | 2.45 | |
| Nd | 13.1 | 13.4 | 13.54 | 13.1 | 12.3 | 7.5 | 5.3 | 7.1 | 31.1 | 11.1 | |
| Sm | 3.77 | 3.88 | 3.82 | 3.94 | 3.02 | 2.19 | 1.43 | 2.13 | 9.08 | 3.51 | |
| Eu | 1.14 | 1.29 | 1.27 | 1.30 | 1.09 | 0.79 | 0.58 | 0.78 | 2.35 | 1.06 | |
| Gd | 4.74 | 4.86 | 4.20 | 4.17 | 3.36 | 2.96 | 1.93 | 2.86 | 9.85 | 3.59 | |
| Tb | 0.79 | 0.82 | 0.77 | 0.78 | 0.52 | 0.48 | 0.32 | 0.48 | 1.68 | 0.63 | |
| Dy | 5.02 | 5.01 | 5.07 | 5.03 | 3.18 | 3.24 | 2.14 | 3.31 | 10.9 | 4.15 | |
| Ho | 1.03 | 1.04 | 1.08 | 1.10 | 0.59 | 0.65 | 0.43 | 0.68 | 2.26 | 0.89 | |
| Er | 3.10 | 3.14 | 2.98 | 3.00 | 1.56 | 1.88 | 1.27 | 2.00 | 6.43 | 2.44 | |
| Tm | 0.41 | 0.43 | 0.44 | 0.43 | 0.22 | 0.27 | 0.19 | 0.29 | 0.94 | 0.36 | |
| Yb | 2.94 | 2.94 | 2.85 | 2.76 | 1.48 | 1.80 | 1.26 | 1.86 | 6.07 | 2.40 | |
| Lu | 0.42 | 0.43 | 0.42 | 0.43 | 0.22 | 0.27 | 0.18 | 0.28 | 0.92 | 0.35 | |
| Pb | 0.74 | 1.10 | 1.73 | 3.82 | 0.54 | 1.17 | 0.71 | 0.74 | 5.17 | 2.33 | |
| Th | 1.20 | 1.17 | 1.08 | 1.10 | 0.98 | 0.63 | 0.54 | 0.63 | 3.21 | 1.08 | |
| U | 0.55 | 0.50 | 0.57 | 0.43 | 0.23 | 0.26 | 0.22 | 0.26 | 1.37 | 0.44 | |
| Sc | 38.0 | 38.7 | 37.1 | 37.0 | 25.4 | 52.9 | 17.2 | 48.0 | 39.8 | 27.9 | |
| V | 313 | 315 | 295 | 301 | 220 | 311 | 139 | 304 | 327 | 223 | |
| Cr | 156 | 161 | 157 | 126 | 317 | 253 | 82 | 408 | 36 | 131 | |
| Co | 50 | 52 | 48.8 | 47.8 | 21.6 | 29.8 | 64.5 | 42.4 | 38.5 | 53.4 | |
| Ni | 125 | 127 | 123 | 128 | 118 | 88 | 393 | 119 | 57 | 170 | |
| Cu | 165 | 153 | 179 | 248 | 81 | 78 | 31 | 68 | 284 | 131 | |
| Zn | 62 | 84 | 133 | 194 | 28 | 41 | 59 | 49 | 110 | <ПO | |
| Zr | 99 | 101 | 71 | 110 | 115 | 55 | 40 | 60 | 208 | 74 | |
| Nb | 5.10 | 5.10 | 4.63 | 4.00 | 6.92 | 2.68 | 2.80 | 2.71 | 10.74 | 3.86 | |
| Hf | 2.68 | 2.75 | 2.26 | 2.3 | 2.17 | 1.53 | 1.08 | 1.49 | 5.16 | 1.85 | |
| Ta | 0.30 | 0.32 | 0.29 | 0.21 | 0.38 | 0.19 | 0.19 | 0.18 | 0.67 | 0.27 | |
| No. | 21 | 22 | 23 | 24 | 25 | 26 | 27 | 28 | 29 | 30 | |
| Sample | 1/256 | 1/262 | 1/262.1 | 1/266 | 4/75.5 | 4/80 | 11/486 | 11/489.5 | 11/492.6 | 6-339 | |
| SiO2 | 48.07 | 46.36 | 47.14 | 47.61 | 46.53 | 46.72 | 47.86 | 48.45 | 46.55 | 47.64 | |
| TiO2 | 1.22 | 1.32 | 1.31 | 1.29 | 1.65 | 1.57 | 1.38 | 2.02 | 1.33 | 1.31 | |
| Al2O3 | 16.19 | 14.81 | 15.08 | 16.41 | 15.03 | 14.78 | 15.13 | 13.56 | 15.62 | 14.98 | |
| Fe2O3 | 12.42 | 13.52 | 13.31 | 12.06 | 13.81 | 13.95 | 12.51 | 13.55 | 12.61 | 13.25 | |
| MnO | 0.18 | 0.19 | 0.19 | 0.17 | 0.19 | 0.20 | 0.18 | 0.22 | 0.18 | 0.21 | |
| MgO | 8.21 | 9.21 | 9.05 | 7.90 | 7.09 | 7.15 | 7.37 | 5.54 | 7.76 | 7.63 | |
| CaO | 10.28 | 10.26 | 9.83 | 10.54 | 10.32 | 10.13 | 11.16 | 11.28 | 10.05 | 11.34 | |
| Na2O | 2.43 | 2.44 | 2.45 | 2.46 | 2.54 | 2.51 | 2.50 | 2.82 | 2.38 | 2.42 | |
| K2O | 0.44 | 0.48 | 0.49 | 0.48 | 0.47 | 0.43 | 0.42 | 0.76 | 0.44 | 0.48 | |
| P2O5 | 0.16 | 0.17 | 0.17 | 0.15 | 0.16 | 0.15 | 0.14 | 0.21 | 0.15 | 0.15 | |
| LOI | 0.29 | 1.1 | 0.84 | 0.77 | 2.14 | 2.36 | 1.27 | 1.23 | 2.87 | 0.37 | |
| S | n/a | n/a | n/a | n/a | <0.05 | <0.05 | <0.05 | 0.34 | <0.05 | n/a | |
| Rb | 11.8 | n/a | 13.8 | 12.7 | 11.1 | 11.6 | 9.8 | 20.0 | 11.6 | 12.1 | |
| Sr | 204 | n/a | 208 | 224 | 196 | 199 | 196 | 427 | 204 | 255 | |
| Y | 24.4 | n/a | 25.4 | 25.0 | 28.1 | 29.7 | 23.3 | 35.8 | 23.5 | 24.0 | |
| Cs | n/a | n/a | n/a | n/a | 0.31 | 0.34 | 0.39 | 1.40 | 0.39 | 0.41 | |
| Ba | 125 | n/a | 132 | 132 | 112 | 117 | 116 | 169 | 124 | 114 | |
| La | 7.66 | n/a | 8.26 | 8.13 | 7.23 | 7.68 | 6.17 | 10.74 | 6.69 | 6.83 | |
| Ce | 18.3 | n/a | 19.6 | 19.4 | 17.7 | 18.6 | 14.8 | 25.5 | 15.8 | 16.0 | |
| Pr | 2.48 | n/a | 2.70 | 2.63 | 2.47 | 2.60 | 2.03 | 3.42 | 2.15 | 2.18 | |
| Nd | 11.7 | n/a | 12.4 | 11.9 | 12.3 | 13.0 | 10.1 | 16.5 | 10.7 | 10.5 | |
| Sm | 3.60 | n/a | 3.85 | 3.68 | 3.53 | 3.75 | 2.89 | 4.57 | 2.99 | 2.98 | |
| Eu | 1.12 | n/a | 1.13 | 1.12 | 1.25 | 1.38 | 1.08 | 1.52 | 1.10 | 1.08 | |
| Gd | 3.79 | n/a | 4.05 | 3.87 | 4.56 | 4.80 | 3.69 | 5.75 | 3.66 | 3.81 | |
| Tb | 0.68 | n/a | 0.71 | 0.68 | 0.75 | 0.80 | 0.61 | 0.93 | 0.62 | 0.63 | |
| Dy | 4.41 | n/a | 4.58 | 4.47 | 4.99 | 5.27 | 4.09 | 6.28 | 4.11 | 4.28 | |
| Ho | 0.92 | n/a | 0.95 | 0.94 | 1.00 | 1.08 | 0.81 | 1.26 | 0.81 | 0.84 | |
| Er | 2.61 | n/a | 2.60 | 2.70 | 2.93 | 3.15 | 2.41 | 3.76 | 2.43 | 2.51 | |
| Tm | 0.38 | n/a | 0.40 | 0.41 | 0.42 | 0.45 | 0.34 | 0.53 | 0.34 | 0.35 | |
| Yb | 2.47 | n/a | 2.51 | 2.51 | 2.77 | 2.93 | 2.31 | 3.57 | 2.29 | 2.36 | |
| Lu | 0.37 | n/a | 0.37 | 0.38 | 0.41 | 0.44 | 0.34 | 0.52 | 0.34 | 0.35 | |
| Pb | 2.26 | n/a | 3.36 | 2.71 | 2.00 | 2.09 | 1.94 | 2.31 | 2.00 | 3.62 | |
| Th | 1.10 | n/a | 1.13 | 1.29 | 1.06 | 1.09 | 0.89 | 1.66 | 0.94 | 1.02 | |
| U | 0.47 | n/a | 0.45 | 0.70 | 0.36 | 0.38 | 0.34 | 0.61 | 0.36 | 0.44 | |
| Sc | 30.1 | n/a | 27.6 | 28.3 | 31.7 | 36.5 | 36.8 | 38.1 | 29.6 | 33.5 | |
| V | 241 | n/a | 239 | 255 | 287 | 311 | 317 | 350 | 266 | 280 | |
| Cr | 149 | n/a | 145 | 108 | 150 | 291 | 300 | 86 | 191 | 245 | |
| Co | 51.6 | n/a | 57.2 | 49.2 | 52.0 | 57.3 | 46.5 | 37.4 | 52 | 49 | |
| Ni | 184 | n/a | 259 | 206 | 136 | 228 | 124 | 62 | 178 | 142 | |
| Cu | 157 | n/a | 170 | 154 | 189 | 197 | 147 | 241 | 158 | 138 | |
| Zn | <ПO | n/a | 62 | <ПO | 105 | 108 | 94 | 75 | 99 | 91 | |
| Zr | 80 | n/a | 82 | 82 | 108 | 109 | 84 | 135 | 87 | 90 | |
| Nb | 4.42 | n/a | 4.37 | 4.46 | 2.70 | 2.71 | 1.98 | 3.36 | 2.08 | 2.19 | |
| Hf | 2.04 | n/a | 1.83 | 2.19 | 0.34 | 0.34 | 0.25 | 0.41 | 0.28 | 0.27 | |
| Ta | 0.28 | n/a | 0.29 | 0.24 | 0.20 | 0.20 | 0.19 | 0.17 | 0.14 | 0.17 | |
| No. | 31 | 32 | 33 | 34 | 35 | 36 | 37 | 38 | 39 | 40 | 41 |
| Sample | 4/437 | 4/440 | 4/443.5 | DL-2 | DL-1 | DL-3 | Val-2 | Val-1 | Og-1 | Og-2 | Og-3 |
| SiO2 | 47.32 | 47.87 | 48.23 | 49.47 | 49.60 | 49.20 | 50.41 | 50.03 | 49.23 | 48.93 | 48.58 |
| TiO2 | 1.49 | 1.42 | 1.24 | 1.71 | 1.61 | 1.73 | 1.64 | 1.92 | 1.32 | 1.43 | 1.16 |
| Al2O3 | 14.40 | 15.83 | 15.41 | 15.77 | 15.55 | 15.06 | 14.74 | 14.30 | 15.74 | 15.81 | 17.15 |
| Fe2O3 | 13.22 | 12.37 | 12.54 | 12.89 | 12.79 | 13.66 | 13.22 | 13.49 | 12.16 | 12.89 | 11.78 |
| MnO | 0.20 | 0.18 | 0.18 | 0.26 | 0.22 | 0.27 | 0.25 | 0.24 | 0.22 | 0.21 | 0.19 |
| MgO | 6.98 | 6.39 | 7.23 | 5.93 | 6.20 | 5.94 | 6.09 | 5.79 | 6.54 | 6.70 | 7.77 |
| CaO | 10.79 | 10.64 | 11.01 | 10.29 | 10.15 | 10.30 | 10.30 | 10.80 | 11.23 | 10.53 | 10.07 |
| Na2O | 2.55 | 2.70 | 2.56 | 2.96 | 2.91 | 2.92 | 2.71 | 2.66 | 2.59 | 2.62 | 2.70 |
| K2O | 0.48 | 0.55 | 0.44 | 0.57 | 0.59 | 0.54 | 0.65 | 0.63 | 0.46 | 0.47 | 0.40 |
| P2O5 | 0.16 | 0.16 | 0.14 | 0.17 | 0.19 | 0.23 | 0.21 | 0.15 | 0.16 | 0.17 | 0.10 |
| LOI | 2.36 | 1.83 | 0.95 | n/a | n/a | n/a | n/a | n/a | n/a | n/a | n/a |
| S | <0.05 | <0.05 | <0.05 | n/a | n/a | n/a | n/a | n/a | n/a | n/a | n/a |
| Rb | 10.7 | 13.4 | 10.8 | 14.5 | 15.4 | 13.2 | 18.6 | 18.5 | 13.2 | 13.8 | 11.0 |
| Sr | 175 | 194 | 192 | 223 | 227 | 204 | 230 | 216 | 240 | 238 | 225 |
| Y | 23.8 | 27.3 | 23.9 | 31.5 | 32.1 | 33.4 | 31.6 | 32.0 | 29.6 | 26.4 | 18.2 |
| Cs | 0.39 | 0.37 | 0.42 | n/a | n/a | n/a | n/a | n/a | n/a | n/a | n/a |
| Ba | 120 | 140 | 118 | 168 | 146 | 153 | 161 | 144 | 123 | 144 | 117 |
| La | 6.72 | 8.04 | 6.68 | 10.9 | 10.1 | 10.8 | 10.7 | 10.2 | 8.89 | 8.43 | 5.79 |
| Ce | 16.1 | 19.2 | 15.8 | 23.15 | 22.0 | 24.0 | 22.1 | 22.9 | 20.4 | 19.7 | 13.4 |
| Pr | 2.26 | 2.61 | 2.18 | 3.19 | 3.14 | 3.34 | 3.09 | 3.18 | 2.77 | 2.63 | 1.76 |
| Nd | 10.8 | 12.7 | 10.7 | 15.9 | 15.7 | 16.4 | 15.5 | 15.6 | 13.5 | 13.1 | 8.47 |
| Sm | 3.14 | 3.55 | 3.08 | 4.4 | 4.49 | 4.70 | 4.38 | 4.58 | 3.89 | 3.55 | 2.40 |
| Eu | 1.16 | 1.24 | 1.14 | 1.62 | 1.66 | 1.67 | 1.56 | 1.58 | 1.50 | 1.42 | 1.13 |
| Gd | 4.03 | 4.44 | 3.86 | 4.91 | 4.96 | 5.22 | 4.78 | 4.90 | 4.52 | 4.06 | 2.83 |
| Tb | 0.66 | 0.71 | 0.63 | 0.86 | 0.89 | 0.93 | 0.85 | 0.89 | 0.78 | 0.72 | 0.49 |
| Dy | 4.29 | 4.84 | 4.29 | 6.17 | 6.39 | 6.17 | 6.25 | 6.02 | 5.58 | 4.92 | 3.31 |
| Ho | 0.87 | 0.94 | 0.85 | 1.28 | 1.29 | 1.38 | 1.25 | 1.27 | 1.18 | 1.02 | 0.70 |
| Er | 2.61 | 2.78 | 2.53 | 3.22 | 3.23 | 3.46 | 3.14 | 3.20 | 3.02 | 2.71 | 1.86 |
| Tm | 0.35 | 0.39 | 0.36 | 0.42 | 0.44 | 0.50 | 0.46 | 0.45 | 0.42 | 0.39 | 0.26 |
| Yb | 2.40 | 2.63 | 2.38 | 3.09 | 3.23 | 3.48 | 3.33 | 3.34 | 2.99 | 2.76 | 1.87 |
| Lu | 0.36 | 0.39 | 0.35 | 0.48 | 0.44 | 0.50 | 0.47 | 0.47 | 0.44 | 0.39 | 0.27 |
| Pb | 2.22 | 2.64 | 1.86 | 0.73 | 1.51 | 3.11 | 3.26 | 1.49 | 0.73 | 0.97 | 0.56 |
| Th | 0.88 | 1.14 | 0.93 | 1.27 | 0.96 | 1.49 | 1.46 | 1.38 | 1.17 | 1.10 | 0.73 |
| U | 0.32 | 0.43 | 0.36 | 0.45 | 0.34 | 0.52 | 0.45 | 0.49 | 0.38 | 0.36 | 0.23 |
| Sc | 38.6 | 32.5 | 35.0 | 34.1 | 37.3 | 38.7 | 43.0 | 44.1 | 40.0 | 34.4 | 27.3 |
| V | 312 | 261 | 271 | 273 | 304 | 342 | 327 | 364 | 298 | 303 | 244 |
| Cr | 204 | 145 | 242 | n/a | n/a | n/a | n/a | n/a | n/a | n/a | n/a |
| Co | 49 | 46 | 48 | 46 | 48 | 47 | 49 | 49 | 50 | 54 | 59 |
| Ni | 119 | 105 | 122 | 100 | 111 | 100 | 80 | 66 | 115 | 126 | 174 |
| Cu | 141 | 150 | 154 | 226 | 210 | 308 | 212 | 222 | 217 | 182 | 146 |
| Zn | 96 | 94 | 101 | 71 | 100 | 154 | 129 | 92 | 76 | 84 | 49 |
| Zr | 80 | 85 | 77 | 133 | 101 | 121 | 123 | 126 | 91 | 95 | 65 |
| Nb | 1.97 | 2.19 | 1.96 | 6.84 | 6.55 | 7.37 | 6.31 | 6.84 | 4.79 | 4.81 | 4.36 |
| Hf | 0.29 | 0.32 | 0.27 | 3.47 | 2.39 | 3.52 | 3.01 | 2.99 | 2.34 | 2.47 | 1.70 |
| Ta | 0.13 | 0.13 | 0.13 | 0.44 | 0.41 | 0.45 | 0.49 | 0.39 | 0.28 | 0.31 | 0.27 |
| No. | Sample | Rb, ppm | Sr, ppm | 87Rb/86Sr | 87Sr/86Sr ± 2σ | Sri | εSr | ||
|---|---|---|---|---|---|---|---|---|---|
| 1 | X-40 | 55.1 | 388 | 0.41110 | 0.707496 ± 6 | 0.706034 | 25.9 | ||
| 2 | Kul-12 | 52.1 | 643 | 0.23448 | 0.707582 ± 6 | 0.706745 | 36.0 | ||
| 3 | Kul-12/1 | 52.6 | 647 | 0.23536 | 0.707613 ± 4 | 0.706773 | 36.4 | ||
| 4 | K-1 | 23.1 | 618 | 0.10819 | 0.707404 ± 14 | 0.707019 | 39.9 | ||
| 5 | K-2 | 10.0 | 201 | 0.14361 | 0.705375 ± 7 | 0.704864 | 9.30 | ||
| 6 | X-6 | 0.84 | 175 | 0.01388 | 0.705743 ± 6 | 0.705694 | 21.1 | ||
| 7 | PR-1/262 | 13.1 | 208 | 0.18165 | 0.705868 ± 11 | 0.705222 | 14.4 | ||
| 8 | PR-1/234 | 11.0 | 200 | 0.15897 | 0.705453 ± 8 | 0.704887 | 9.62 | ||
| 9 | PR-1/266 | 11.7 | 223 | 0.15232 | 0.705748 ± 7 | 0.705206 | 14.2 | ||
| 10 | X-32 | 8.36 | 218 | 0.11071 | 0.705669 ± 5 | 0.705275 | 15.1 | ||
| 11 | X-15-2 | 15.6 | 666 | 0.06796 | 0.708479 ± 6 | 0.708237 | 57.2 | ||
| 12 | X-47-2 | 38.6 | 178 | 0.62973 | 0.711116 ± 12 | 0.708876 | 66.3 | ||
| No. | Sm, ppm | Nd, ppm | 147Sm/144Nd | 143Nd/144Nd ± 2σ | Ndi | ε Nd | 206Pb/204Pb ± 2σ | 207Pb/204Pb ± 2σ | 208Pb/204Pb ± 2σ |
| 1 | 11.6 | 55.4 | 0.12612 | 0.512325 ± 2 | 0.512118 | –3.84 | 17.9002 ± 5 | 15.4741 ± 7 | 37.9470 ± 23 |
| 2 | 3.14 | 12.7 | 0.14942 | 0.512508 ± 3 | 0.512263 | –1.02 | 19.0257 ± 102 | 15.5595 ± 68 | 39.2923 ± 181 |
| 3 | 3.18 | 12.8 | 0.15011 | 0.512512 ± 7 | 0.512265 | –0.97 | 19.0320 ± 17 | 15.5387 ± 15 | 39.2027 ± 42 |
| 4 | 3.33 | 12.1 | 0.16623 | 0.512656 ± 5 | 0.512384 | 1.32 | 19.4365 ± 12 | 15.6122 ± 10 | 39.0764 ± 27 |
| 5 | 3.32 | 11.8 | 0.16968 | 0.512614 ± 6 | 0.512337 | 0.40 | 18.2287 ± 7 | 15.6180 ± 7 | 38.0641 ± 19 |
| 6 | 3.40 | 11.6 | 0.17796 | 0.512727 ± 2 | 0.512435 | 2.34 | 19.2871 ± 8 | 15.6147 ± 7 | 39.1369 ± 21 |
| 7 | 3.64 | 13.1 | 0.16820 | 0.512680 ± 2 | 0.512405 | 1.73 | 18.6576 ± 9 | 15.5558 ± 8 | 38.1920 ± 20 |
| 8 | 3.25 | 11.6 | 0.16889 | 0.512704 ± 2 | 0.512428 | 2.19 | 18.7802 ± 20 | 15.5679 ± 17 | 38.3141 ± 43 |
| 9 | 3.25 | 11.6 | 0.16970 | 0.512702 ± 2 | 0.512424 | 2.12 | 18.8960 ± 7 | 15.5662 ± 6 | 38.2286 ± 16 |
| 10 | 2.41 | 8.37 | 0.17377 | 0.512652 ± 5 | 0.512367 | 1.01 | 18.3089 ± 8 | 15.5636 ± 8 | 38.1935 ± 24 |
| 11 | 6.48 | 30.3 | 0.12915 | 0.512388 ± 6 | 0.512176 | –2.70 | 23.5360 ± 9 | 15.8283 ± 7 | 40.7615 ± 18 |
| 12 | 5.37 | 27.8 | 0.11677 | 0.512345 ± 3 | 0.512153 | –3.16 | 20.7381 ± 6 | 15.7081 ± 5 | 40.4289 ± 19 |
| No. | Complex | Site, Intrusion | Sample (n) | MgO | TiO2 | Na2O + K2O | (La/Sm)n | (Gd/Yb)n | (U/Nb)n | 87Sr/86Sr | εNd |
|---|---|---|---|---|---|---|---|---|---|---|---|
| 1 | Ergalakhsky | Khalil | X-40 | 3.12 | 2.41 | 6.09 | 2.52 | 1.85 | 1.51 | 0.706034 | –3.8 |
| 2 | Norilsk area | n = 3 [67] | 0.706459 | –4.0 | |||||||
| 3 | South Norilsk | n = 1 [69] | 2.83 | 3.33 | 6.63 | 2.61 | 1.77 | 1.43 | 0.70758 | –3.8 | |
| 4 | Kulyumbinsky | Kulyumber | Kul-12 | 7.72 | 1.36 | 4.9 | 2.00 | 2.12 | 1.17 | 0.706745 | –1.0 |
| Intrusion 5 | 0.706773 | –1.0 | |||||||||
| 6 | Daldykansky | Norilsk area | n = 5 [51] | 6.00 | 1.72 | 3.43 | 1.51 | 1.25 | 2.26 | 0.705768 | 3.1 |
| 7 | Kureysky | Kulyumber | K-2 | 8.3 | 1.29 | 2.64 | 1.40 | 1.23 | 3.04 | 0.704864 | 0.4 |
| Intrusion 4 | |||||||||||
| 8 | Khalil site, Khalil | X-6 | 6.99 | 1.31 | 4.21 | 1.35 | 1.25 | 2.58 | 0.705694 | 1.0 | |
| 9 | Norilsk-type | Khalil site | X-32 | 8.55 | 1.00 | 2.26 | 1.62 | 1.29 | 1.68 | 0.705275 | 1.0 |
| Intrusion 2 | |||||||||||
| 10 | Kruglogorsky | Kulyumber | PR-1/262.2 | 9.05 | 1.31 | 2.94 | 1.39 | 1.33 | 3.46 | 0.705222 | 1.7 |
| 11 | Gabbrovy | PR-1/234 | 8.3 | 1.12 | 2.93 | 1.41 | 1.24 | 3.9 | 0.704887 | 2.2 | |
| 12 | PR-1/266 | 7.9 | 1.29 | 2.94 | 1.43 | 1.28 | 5.31 | 0.705206 | 2.1 | ||
| 13 | Norilsk area | n = 8 [67] | 0.707640 | 1.7 | |||||||
| MP-2b | |||||||||||
| Norilsk | Norilsk area | [67] | |||||||||
| 14 | Talnakh | n = 6, OUG-2 | 0.7071238 | 0.8 | |||||||
| 15 | Norilsk 1 | n = 9, MN-2 | 0.7067533 | 1.4 | |||||||
| 16 | Gudchikhinsky | Norilsk area | n = 1.75/2 [51] | 10.4 | 1.66 | 2.36 | 1.49 | 2.00 | 1.84 | 0.705435 | 3.9 |
| 17 | Norilsk area | n = 5 CY-50, X-51/130 | 0.705343 | 4.2 |
| No. | 1 | 2 | 3 | 4 | 5 | 6 | 7 | 8 |
| No Sample | MP-2b | SF-7 | ZF-37 | ZF-39 | 1 | 2 | 3 | 4 |
| SiO2 | 47.63 | 48.86 | 48.45 | 49.64 | 48.53 | 48.22 | 47.97 | 49.51 |
| TiO2 | 1.07 | 1.04 | 1.16 | 1.04 | 0.50 | 0.82 | 0.74 | 0.58 |
| Al2O3 | 17.80 | 18.07 | 17.95 | 18.07 | 21.85 | 20.42 | 20.13 | 20.88 |
| Fe2O3 | 12.21 | 10.88 | 14.11 | 13.42 | 7.81 | 9.76 | 9.68 | 7.34 |
| MnO | 0.15 | 0.17 | 0.19 | 0.18 | 0.08 | 0.11 | 0.10 | 0.08 |
| MgO | 6.68 | 6.05 | 6.40 | 7.89 | 5.64 | 4.76 | 5.54 | 4.68 |
| CaO | 10.81 | 10.62 | 12.19 | 11.59 | 11.90 | 11.74 | 12.09 | 12.31 |
| Na2O | 2.62 | 2.82 | 2.76 | 2.90 | 2.17 | 2.48 | 2.47 | 3.24 |
| K2O | 0.92 | 1.34 | 0.67 | 0.55 | 1.47 | 1.60 | 1.07 | 1.19 |
| P2O5 | 0.11 | 0.15 | 0.13 | 0.11 | 0.05 | 0.09 | 0.21 | 0.19 |
| Cr | 120 | 141 | 235 | 221 | ||||
| 87Sr/86Sr | 0.707028 | |||||||
| εNd | 1.7 | |||||||
| No. | 9 | 10 | 11 | 12 | 13 | 14 | 15 | |
| No Sample | PR-1 | Katangsky 1 | Katangsky 2 | Kureysky (Khalil) | Norilsk-Type | MD-27 | SF-10 | |
| SiO2 | 46.87 | 49.84 | 48.71 | 48.32 | 49.23 | 49.44 | 48.72 | |
| TiO2 | 1.33 | 1.44 | 1.52 | 1.59 | 1.00 | 0.90 | 0.89 | |
| Al2O3 | 14.96 | 14.59 | 15.07 | 14.30 | 15.32 | 16.53 | 14.68 | |
| Fe2O3 | 12.74 | 12.69 | 13.15 | 13.91 | 11.40 | 10.62 | 10.61 | |
| MnO | 0.19 | 0.18 | 0.19 | 0.20 | 0.17 | 0.15 | 0.16 | |
| MgO | 7.40 | 6.90 | 7.23 | 6.81 | 8.58 | 7.75 | 9.96 | |
| CaO | 9.81 | 10.11 | 9.97 | 10.41 | 11.85 | 12.03 | 10.96 | |
| Na2O | 2.60 | 3.27 | 3.42 | 3.53 | 2.08 | 3.52 | 2.19 | |
| K2O | 0.58 | 0.76 | 0.55 | 0.71 | 0.25 | 0.40 | 0.71 | |
| P2O5 | 0.19 | 0.14 | 0.17 | 0.21 | 0.09 | 0.24 | 0.12 | |
| Cr | 128 | 166 | 165 | 181 | 379 | 524 | 698 | |
| 87Sr/86Sr | 0.705105 | 0.705694 | 0.705275 | |||||
| εNd | 2.01 | 2. 34 | 1.01 | |||||
© 2020 by the authors. Licensee MDPI, Basel, Switzerland. This article is an open access article distributed under the terms and conditions of the Creative Commons Attribution (CC BY) license (http://creativecommons.org/licenses/by/4.0/).
Share and Cite
Krivolutskaya, N.; Belyatsky, B.; Gongalsky, B.; Dolgal, A.; Lapkovsky, A.; Bayanova, T.B. Petrographical and Geochemical Characteristics of Magmatic Rocks in the Northwestern Siberian Traps Province, Kulyumber River Valley. Part II: Rocks of the Kulyumber Site. Minerals 2020, 10, 415. https://doi.org/10.3390/min10050415
Krivolutskaya N, Belyatsky B, Gongalsky B, Dolgal A, Lapkovsky A, Bayanova TB. Petrographical and Geochemical Characteristics of Magmatic Rocks in the Northwestern Siberian Traps Province, Kulyumber River Valley. Part II: Rocks of the Kulyumber Site. Minerals. 2020; 10(5):415. https://doi.org/10.3390/min10050415
Chicago/Turabian StyleKrivolutskaya, Nadezhda, Boris Belyatsky, Bronislav Gongalsky, Alexander Dolgal, Andrey Lapkovsky, and Tamara B. Bayanova. 2020. "Petrographical and Geochemical Characteristics of Magmatic Rocks in the Northwestern Siberian Traps Province, Kulyumber River Valley. Part II: Rocks of the Kulyumber Site" Minerals 10, no. 5: 415. https://doi.org/10.3390/min10050415
APA StyleKrivolutskaya, N., Belyatsky, B., Gongalsky, B., Dolgal, A., Lapkovsky, A., & Bayanova, T. B. (2020). Petrographical and Geochemical Characteristics of Magmatic Rocks in the Northwestern Siberian Traps Province, Kulyumber River Valley. Part II: Rocks of the Kulyumber Site. Minerals, 10(5), 415. https://doi.org/10.3390/min10050415

