Microstructural Investigations on Plasticity of Lime-Treated Soils
Abstract
1. Introduction
2. Materials and Methods
2.1. Materials
2.2. Methods
2.2.1. Zeta Potential and Dynamic Light Scattering (DLS) Measurements
2.2.2. Thermogravimetric Analysis
2.2.3. Atterberg Limits
3. Results
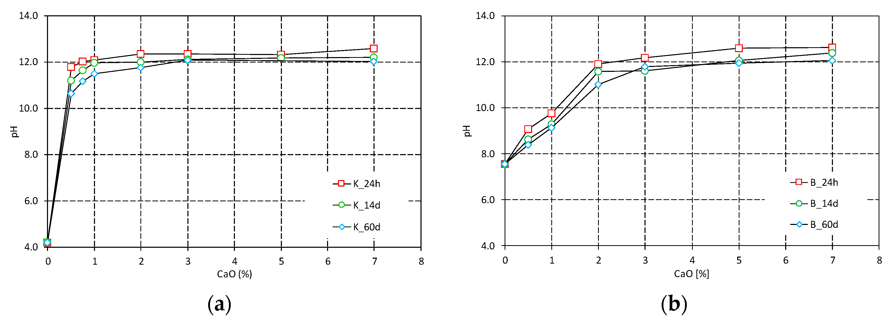
3.1. Kaolin
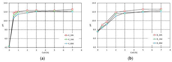
3.2. Bentonite
4. Discussion
4.1. Kaolin
4.2. Bentonite
5. Conclusions
- The results showed a high dependency of the plasticity properties on the clay particle arrangement induced by the pore water chemistry and Ca2+ concentration.
- For lime-treated kaolin, the increase of the liquid and plastic limits as a function of the lime content is consistent with the increase of interparticle attraction forces and the consequent aggregation of kaolinite particles.
- The evolution of the plasticity properties of lime-treated kaolin is slightly affected by the curing time due to the limited reactivity of the clay.
- Lime-treated bentonite samples showed in the short term a decrease of the liquid limit, as a result of modification of the double layer interactions (decrease of repulsion forces), and an increase of the plastic limit, consistent with the aggregated structure detected after the addition of lime.
- The high reactivity of bentonite induces a subsequent increase of the liquid limit over the curing time, and a further increase of the plastic limit, as consequence of the precipitation of hydrates responsible for the bonding between aggregates; the effect is particularly evident at higher lime contents.
Author Contributions
Funding
Conflicts of Interest
References
- Atterberg, A. Lerornas forhallande till vatten, deras plasticitetsgranser och plasticitesgrader. Kungl. Lantbr. Akad. Hadlingar Tidskr. 2011, 2, 132–158. [Google Scholar]
- Haigh, S.K.; Vardanega, P.J.; Bolton, M.D. The plastic limit of clays. Géotechnique 2013, 63, 435–440. [Google Scholar] [CrossRef]
- Casagrande, A. Research on the Atterberg limits of soils. Public Roads 1932, 13, 121–136. [Google Scholar]
- BS 1377: 1990—Methods of Test for Soils for Civil Engineering Purposes; British Standards Institute: Milton Keynes, UK, 1990.
- Houlsby, G.T. Theoretical analysis of the fall cone test. Géotechnique 1982, 32, 111–118. [Google Scholar] [CrossRef]
- Sridharan, A. Engineering behaviour of clays: Influence of mineralogy. In Chemo-Mechanical Coupling of Clays: From Nano-Scale to Engineering Applications; Di Maio, H., Loret, L., Eds.; Swets & Zeitlinger: Lisse, The Netherlands, 2002. [Google Scholar]
- Sridharan, A.; Rao, G.V. Mechanisms controlling the liquid limit of clays. Proc. Int. Conf. Soil Mech. Istanb. 1975, 1, 75–84. [Google Scholar]
- Sridharan, A.; Rao, S.M.; Murthy, N.S. Liquid limit of montmorillonitic soils. Geotech. Test. J. 1986, 9, 156–159. [Google Scholar]
- Sridharan, A.; Rao, S.M.; Murthy, N.S. Liquid limit of kaolinitic soils. Geotechnique 1988, 38, 191–198. [Google Scholar] [CrossRef]
- Sridharan, A.; Prakash, K. Mechanisms controlling the undrained shear strength behaviour of clays. Can. Geotech. J. 1999, 36, 1030–1038. [Google Scholar] [CrossRef]
- Wang, Y.H.; Siu, W.K. Structure characteristics and mechanical properties of kaolinite soils. I. Surface charge and structural characterizations. Can. Geotech. J. 2006, 43, 587–600. [Google Scholar] [CrossRef]
- Warkentin, B.P. Interpretation of the upper plastic limit of clays. Nature 1961, 190, 287–288. [Google Scholar] [CrossRef]
- Nagaraj, T.S.; Jayadeva, M.S. Re-examination of one-point methods of liquid limit determination. Géotechnique 1981, 31, 413–425. [Google Scholar] [CrossRef]
- Vitale, E.; Deneele, D.; Russo, G.; Ouvrard, G. Short term effects on physical properties of lime treated kaolin. Appl. Clay Sci. 2016, 132, 223–231. [Google Scholar] [CrossRef]
- Guidobaldi, G.; Cambi, C.; Cecconi, M.; Comodi, P.; Deneele, D.; Paris, M.; Russo, G.; Vitale, E.; Zucchini, A. Chemo-mineralogical evolution and microstructural modifications of a lime treated pyroclastic soil. Eng. Geol. 2018, 245, 333–343. [Google Scholar] [CrossRef]
- Vitale, E.; Deneele, D.; Paris, M.; Russo, G. Multi-scale analysis and time evolution of pozzolanic activity of lime treated clays. Appl. Clay Sci. 2017, 141, 36–45. [Google Scholar] [CrossRef]
- Vitale, E.; Deneele, D.; Russo, G.; De Sarno, D.; Nicotera, M.V.; Papa, R.; Urciuoli, G. Chemo-mechanical behaviour of lightweight cemented soils. Acta Geotech. 2019, 15, 933–945. [Google Scholar] [CrossRef]
- Vitale, E.; Cecconi, M.; Croce, P.; Deneele, D.; Pane, V.; Russo, G.; Vecchietti, A. Influence of pore water chemistry on hydraulic conductivity of kaolinite suspensions. VI Italian Conference of Researchers in Geotechnical Engineering—Geotechnical Engineering in Multidisciplinary Research: From Microscale to Regional Scale, CNRIG2016. Procedia Eng. 2016, 158, 81–86. [Google Scholar] [CrossRef]
- Vitale, E.; Deneele, D.; Russo, G. Multiscale analysis on the behaviour of a lime treated bentonite. VI Italian Conference of Researchers in Geotechnical Engineering—Geotechnical Engineering in Multidisciplinary Research: From Microscale to Regional Scale, CNRIG2016. Procedia Eng. 2016, 158, 87–91. [Google Scholar] [CrossRef][Green Version]
- Russo, G. Chemo-physical evolution and microstructure features of lime treated soils. In Proceedings of the 3rd European Conference on Unsaturated Soils, E-UNSAT 2016, E3S Web of Conferences, Paris, France, 12 September 2016; Volume 9. [Google Scholar] [CrossRef]
- Clarey, K.E.; Cruchley, A.E. Laboratory experiments in the lime stabilisation of clays with hydrated lime. Géotechnique 1957, 7, 97–111. [Google Scholar] [CrossRef]
- Lund, O.L.; Ramsey, W.J. Experimental lime stabilisation in Nebraska. High Res. Board Bull. 1959, 231, 24–59. [Google Scholar]
- Bell, F.G. Lime stabilization of clay minerals and soils. Eng. Geol. 1996, 42, 223–237. [Google Scholar] [CrossRef]
- Boardman, D.I.; Glendinning, S.; Rogers, C.D. Development of stabilisation and solidification in lime-clay mixes. Géotechnique 2001, 50, 533–543. [Google Scholar] [CrossRef]
- Dash, S.K.; Hussain, M. Lime stabilisation of soils: Reappraisal. J. Mater. Civ. Eng. 2012, 24, 707–714. [Google Scholar] [CrossRef]
- Herrin, M.; Mitchell, H. Lime-Soil Mixtures; Bulletin No. 304, Highway Research Board Bulletin, 1961; Highway Research Board: Washington, DC, USA, 1961; pp. 99–138. [Google Scholar]
- Hilt, G.H.; Davidson, D.T. Lime Fixation on Clayey Soils; Bulletin No. 262, Highway Research Board Bulletin, 1960; Highway Research Board: Washington, DC, USA, 1960; pp. 20–32. [Google Scholar]
- Barker, J.E.; Rogers, C.D.F.; Boardman, D.I. Physiochemical changes in clay caused by ion migration from lime piles. J. Mater. Civ. Eng. 2006, 18, 182–189. [Google Scholar] [CrossRef]
- Hunter, R.J. Zeta Potential in Colloid Science; Academic Press: New York, NY, USA, 1981. [Google Scholar]
- ASTM D4318-10 Standard Test Methods for Liquid Limit, Plastic Limit, and Plasticity Index of Soils; ASTM International: West Conshohocken, PA, USA, 2010. [CrossRef]
- Mpofu, P.; Addai-Mensah, J.; Ralston, J. Influence of hydrolyzable metal ions on the interfacial chemistry, particle interactions, and dewatering behavior of kaolinite dispersions. J. Colloid Interface Sci. 2003, 261, 349–359. [Google Scholar] [CrossRef]
- Mpofu, P.; Addai-Mensah, J.; Ralston, J. Interfacial chemistry, particle interactions and improved dewatering behaviour of smectite clay dispersions. Int. J. Miner. Process. 2005, 75, 155–171. [Google Scholar] [CrossRef]
- Chemeda, Y.C.; Deneele, D.; Christidis, G.E.; Ouvrard, G. Influence of hydrated lime on the surface properties and interaction of kaolinite particles. Appl. Clay Sci. 2015, 107, 1–13. [Google Scholar] [CrossRef]
- Tombacz, E.; Szekeres, M. Surface charge heterogeneity of kaolinite in aqueous suspension in comparison with montmorillonite. Appl. Clay Sci. 2006, 34, 105–124. [Google Scholar] [CrossRef]
- Van Olphen, H. An Introduction to Clay Colloid Chemistry; Wiley Interscience: New York, NY, USA, 1977. [Google Scholar]
- Saka, E.E.; Guler, C. The effects of electrolyte concentration, ion species and pH on the zeta potential and electrokinetic charge density of montmotillonite. Clay Miner. 2006, 41, 853–861. [Google Scholar] [CrossRef]
- Vane, L.M.; Zang, G.M. Effect of aqueous phase properties on clay particle zeta potential and electro-osmotic permeability: Implications for electro-kinetic soil remediation processes. J. Hazard. Mater. 1997, 55, 1–22. [Google Scholar] [CrossRef]
- Ho, C.; Handy, R.L. Electrokinetic properties of lime treated bentonites. Clays Clay Miner. 1963, 12, 267–280. [Google Scholar] [CrossRef]








| Clay | SiO2 (%) | Al2O3 (%) | CaO (%) | K2O (%) | TiO2 (%) |
|---|---|---|---|---|---|
| Spwt kaolin | 53.80 | 43.75 | 0.02 | 1.45 | 0.05 |
| Bentonite | 64.85 | 24.33 | 2.14 | 0.21 | 0.25 |
| Clay | wL (%) | wP (%) | Ip (%) |
|---|---|---|---|
| Spwt kaolin | 70 | 32 | 38 |
| Bentonite | 143 | 69 | 74 |
© 2020 by the authors. Licensee MDPI, Basel, Switzerland. This article is an open access article distributed under the terms and conditions of the Creative Commons Attribution (CC BY) license (http://creativecommons.org/licenses/by/4.0/).
Share and Cite
Vitale, E.; Deneele, D.; Russo, G. Microstructural Investigations on Plasticity of Lime-Treated Soils. Minerals 2020, 10, 386. https://doi.org/10.3390/min10050386
Vitale E, Deneele D, Russo G. Microstructural Investigations on Plasticity of Lime-Treated Soils. Minerals. 2020; 10(5):386. https://doi.org/10.3390/min10050386
Chicago/Turabian StyleVitale, Enza, Dimitri Deneele, and Giacomo Russo. 2020. "Microstructural Investigations on Plasticity of Lime-Treated Soils" Minerals 10, no. 5: 386. https://doi.org/10.3390/min10050386
APA StyleVitale, E., Deneele, D., & Russo, G. (2020). Microstructural Investigations on Plasticity of Lime-Treated Soils. Minerals, 10(5), 386. https://doi.org/10.3390/min10050386

