Geochemical Study of Cretaceous Magmatic Rocks and Related Ores of the Hucunnan Cu–Mo Deposit: Implications for Petrogenesis and Poly-Metal Mineralization in the Tongling Ore-Cluster Region
Abstract
1. Introduction
2. Geological Setting
3. Geology of Deposit
4. Samples and Analysis
4.1. Sample Collection
4.2. Analysis
4.2.1. Whole-Rock Major and Trace Elements
4.2.2. EPMA
4.2.3. Sulfur Isotope
4.2.4. Pb Isotope
4.2.5. Re–Os Isotope
5. Results
5.1. Whole-Rock Geochemistry
5.2. Mineral Geochemistry
5.2.1. Biotite Composition
5.2.2. Garnet Composition
5.2.3. Pyrite Composition
5.3. Isotope Geochemistry
5.3.1. S Isotope
5.3.2. Pb Isotope
5.3.3. Re–Os Isotope Dating
6. Discussion
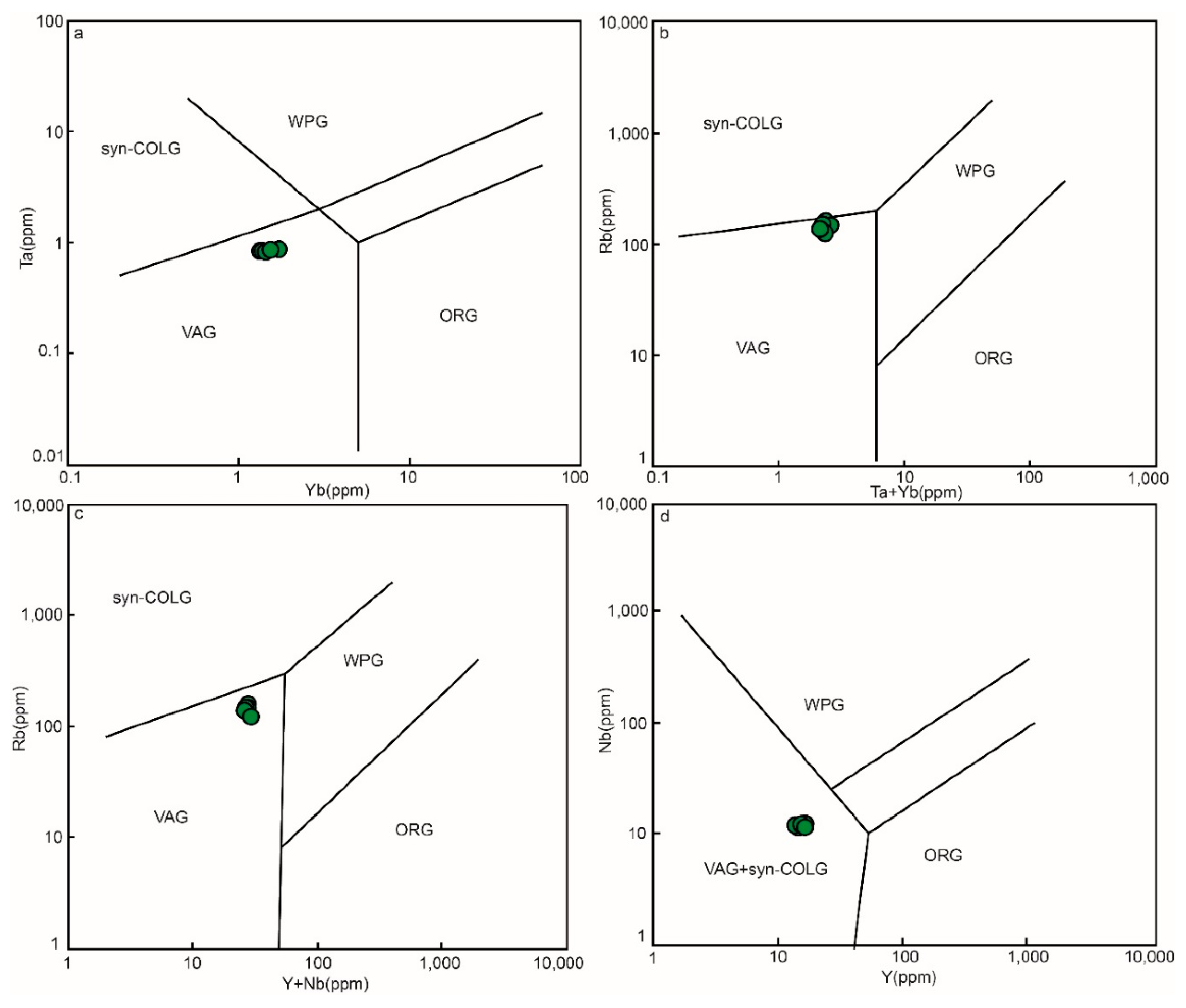
6.1. Petrogenesis of the Hucunnan Granodiorite
6.2. Evolutionary Characteristics of Garnet
6.3. Mineralization and Material Source
6.4. Metallogenic Geological Background
6.5. Metallogenic Model
7. Conclusions
- (1)
- The geochemical affinity of this granodiorite related to Cu–Mo mineralization is adakite, the metallogenic model ages of the Hucunnan Cu–Mo deposit are 138.70 ± 1.87 Ma and 140.03 ± 2.8 Ma, and the ages of diagenesis and mineralization are basically the same. Magma originated in the mantle and subducted oceanic crust and mixed with some crustal material. It formed under the dynamic background of a transformation from compression to extension.
- (2)
- The chemical compositions of biotites show that the magma formed in a high oxygen fugacity environment, and garnets show that the ore-forming fluids in the skarn stage are characterized by high temperature, low acidity, and high oxygen fugacity.
- (3)
- The formation of the Hucunnan Cu–Mo deposit was closely related to the intrusion of granodiorite. The ore-forming materials were mainly originated from magma and partly from strata. The skarn orebody has more stratigraphic materials than the porphyry orebody. The porphyry/skarn metallogenic system was formed under the joint action of stratum structure magmatic rocks.
Supplementary Materials
Author Contributions
Funding
Acknowledgments
Conflicts of Interest
References
- Atherton, M.; Petford, N. Generation of sodium-rich magmas from newly underplated basaltic crust. Nature 1993, 362, 144–146. [Google Scholar] [CrossRef]
- Macpherson, C.; Dreher, S.; Thirwall, M. Adakites without slab melting: High pressure processing of basaltic island arc magma, Mindanao, the Philippines. Earth Planet. Sci. Lett. 2006, 243, 581–593. [Google Scholar] [CrossRef]
- Chen, B.; Jahn, B.; Suzuki, K. Petrological and Nd–Sr–Os isotopic constraints on the origin of high-Mg adakitic rocks from the North China Craton: Tectonic implications. Geology 2012, 41, 91–94. [Google Scholar] [CrossRef]
- Guan, N.; Zhang, Y.; Gu, X.; Peng, Y.; He, Y. Petrogenesis and mineralization of the porphyry and skarn mineralization-related Husite intrusion in the Boluokenu metallogenic belt, Western Tianshan Orogenic Belt, NW China. J. Asian Earth Sci. 2018, 165, 160–174. [Google Scholar]
- Chen, Y.; Chen, H.; Zaw, K.; Pirajno, F.; Zhang, Z. Geodynamic settings and tectonic model of skarn gold deposits in China: An overview. Ore Geol. Rev. 2007, 31, 139–169. [Google Scholar] [CrossRef]
- Meinert, L.; Dipple, G.; Nicolescu, S. World skarn deposits. Econ. Geol. 100th Anniversary 2005, 500, 299–336. [Google Scholar]
- Cooke, D.; Hollings, P.; Walsh, J. Giant porphyry deposits: Characteristics, distribution, and tectonic controls. Econ. Geol. 2005, 100, 801–818. [Google Scholar] [CrossRef]
- Sun, W.; Zhang, H.; Ling, M.; Ding, X.; Chung, S.; Zhou, J.; Yang, X.; Fan, W. The genetic association of adakites and Cu–Au ore deposits. Int. Geol. Rev. 2011, 53, 691–703. [Google Scholar] [CrossRef]
- Gao, J.; Klemd, R.; Zhu, M.; Wang, X.; Li, J.; Wan, B.; Xiao, W.; Zeng, Q.; Shen, P.; Sun, J.; et al. Large-scale porphyry-type mineralization in the Central Asian metallogenic domain: A review. J. Asian Earth Sci. 2017, 165, 7–36. [Google Scholar] [CrossRef]
- Imai, A. Metallogenesis of porphyry Cu deposits of the western Luzon arc, Philippines: K-Ar ages, SO3 contents of microphenocrystic apatite and significance of intrusive rocks. Resour. Geol. 2002, 52, 147–161. [Google Scholar] [CrossRef]
- Chang, Y.; Liu, X.; Wu, Y. The Copper–Iron Belt of the Middle and Lower Reaches of the Changjiang River; Beijing Geological Publishing House: Beijing, China, 1991; pp. 1–337. (In Chinese) [Google Scholar]
- Zhai, Y.; Xiong, Y.; Yao, S.; Lin, X. Metallogency of copper and iron deposits in the Eastern Yangtze Craton, east-central China. Ore Geol. Rev. 1996, 11, 229–248. [Google Scholar] [CrossRef]
- Sun, W.; Xie, Z.; Chen, J.; Zhang, X.; Chai, Z.; Du, A.; Zhao, J.; Zhang, C.; Zhou, T. Os–Os Dating of copper and molybdenum deposits along the Middle and Lower Reaches of Yangtze River, China. Econ. Geol. 2003, 98, 175–180. [Google Scholar] [CrossRef]
- Sun, W.; Ling, M.; Yang, X.; Fan, W.; Ding, X.; Liang, H. Ridge subduction and porphyry copper gold mineralization. Sci. China Ser. D Earth Sci. 2010, 53, 475–484. [Google Scholar] [CrossRef]
- Zhou, T.; Fan, Y.; Yuan, F. Advances on petrogensis and metallogeny study of the mineralization belt of the Middle and Lower Reaches of the Yangtze River area. Acta Petrol. Sin. 2008, 24, 1665–1678, (In Chinese with English Abstract). [Google Scholar]
- Zhou, T.; Fan, Y.; Wang, S.; White, N. Metallogenic regularity and metallogenic model of the Middle–Lower Yangtze River Valley Metallogenic Belt. Acta Petrol. Sin. 2017, 33, 3353–3372, (In Chinese with English Abstract). [Google Scholar]
- Xie, G.; Mao, J.; Zhu, Q.; Yao, L.; Li, Y.; Li, W.; Zhao, H. Geochemical constraints on Cu–Fe and Fe skarn deposits in the Edong district, Middle–Lower Yangtze River metallogenic belt, China. Ore Geol. Rev. 2015, 64, 425–444. [Google Scholar] [CrossRef]
- Xie, G.; Mao, J.; Li, X.; Duan, C.; Lei, Y. Late Mesozoic bimodal volcanic rocks in the Jinniu basin, Middle–Lower Yangtze River Belt (YRB), East China: Age, petrogenesis and tectonic implications. Lithos 2011, 127, 144–164. [Google Scholar] [CrossRef]
- Shi, K.; Du, J.; Wan, Q.; Chen, F.; Cai, Y.; Cao, J.; Wu, L.; Wang, L.; Tan, D. Chronology study of the Mesozoic intrusive rocks in the Tongling ore-cluster region, Anhui, and its metallogenic significance. Acta Geol. Sin. 2019, 93, 1096–1112, (In Chinese with English Abstract). [Google Scholar]
- Xing, F.; Xu, X. High-potassisum calc-alkaline intrusive rocks in Tongling area, Anhui Province. Geochimica 1996, 25, 29–38, (In Chinese with English Abstract). [Google Scholar]
- Zhou, X.; Li, W. Origin of late Mesozoic igneous rocks in southeastern China, implications for lithosphere subduction and underplating of mafic magma. Tectonophysics 2000, 326, 269–278. [Google Scholar] [CrossRef]
- Deng, J.; Wang, Q.; Huang, D.; Wan, L.; Yang, L.; Gao, B. Transport network and flow mechanism of shallow ore-bearing magma in Tongling ore cluster area. Sci. China Ser. D 2006, 49, 397–407, (In Chinese with English Abstract). [Google Scholar] [CrossRef]
- Wu, C.; Dong, S.; Wu, D.; Zhang, X.; Ernst, W. Late Mesozoic high-K calc-alkaline magmatism in SE China: The Tongling Example. Acta Petrol. Sin. 2008, 24, 1801–1812, (In Chinese with English Abstract). [Google Scholar]
- Wu, C.; Gao, Q.; Guo, H.; Guo, X. Petrogenesis of the intermediate-acid intrusive rocks and zircon SHRIMP dating in Tongling, Anhui, China. Int. Geol. Rev. 2018, 60, 1326–1360. [Google Scholar] [CrossRef]
- Xie, J.; Yang, X.; Sun, W.; Du, J.; Xu, W.; Wu, L.; Wang, K.; Du, X. Geochronological and geochemical constraints on formation of the Tongling metal deposits, middle Yangtze metallogenic belt, east-central China. Int. Geol. Rev. 2009, 51, 388–421. [Google Scholar] [CrossRef]
- Xie, J.; Yang, X.; Sun, W.; Du, J. Early Cretaceous dioritic rocks in the Tongling region, eastern China: Implications for the tectonic settings. Lithos 2012, 150, 49–61. [Google Scholar] [CrossRef]
- Xu, X.; Bai, R.; Xie, Q.; Lou, J.; Zhang, Z.; Liu, Q.; Cheng, L. Re-understanding of the geological and geochemical characteristics of the Mesozoic intrusive rocks from Tongling area of Anhui Province, and discussions on their genesis. Acta Petrol. Sin. 2012, 28, 3139–3169, (In Chinese with English Abstract). [Google Scholar]
- Xu, X.; Fan, Z.; He, J.; Liu, X.; Liu, X.; Xie, Q.; Lu, S.; Lou, J. Metallogenic model for the copper-goldpolymetallic deposits in Shizishan ore-field, Tongling, Anhui Province. Acta Petrol. Sin. 2014, 30, 1054–1074, (In Chinese with English Abstract). [Google Scholar]
- Fu, Z.; Xu, X.; He, J.; Fan, Z.; Xie, Q.; Du, J.; Chen, F. Genetic types and metallogenic model for the polymetallic copper-gold deposits in the Tongling ore district, Anhui Province, Eastern China. Acta Geol. Sin. 2019, 93, 88–110. [Google Scholar] [CrossRef]
- Liu, Z.; Shao, Y.; Wang, C.; Liu, Q. Genesis of the Dongguashan skarn Cu–(Au) deposit in Tongling, Eastern China: Evidence from fluid inclusions and H–O–S–Pb isotopes. Ore Geol. Rev. 2019, 104, 462–476. [Google Scholar] [CrossRef]
- Li, S.; Yang, X.; Huang, Y.; Sun, W. Petrogenesis and mineralization of the Fenghuangshan skarn Cu–Au deposit, Tongling ore cluster field, Lower Yangtze metallogenic belt. Ore Geol. Rev. 2014, 58, 148–162. [Google Scholar] [CrossRef]
- Huang, X.; Gao, J.; Qi, L.; Meng, Y.; Wang, Y.; Dai, Z. In-situ LA–ICP–MS trace elements analysis of magnetite: The Fenghuangshan Cu–Fe–Au deposit, Tongling, Eastern China. Ore Geol. Rev. 2016, 72, 746–759. [Google Scholar] [CrossRef]
- Wang, S.; Zhou, T.; Yuan, F.; Fan, Y.; White, N.; Lin, F. Geological and geochemical studies of the Shujiadian porphyry Cu deposit, Anhui Province, Eastern China: Implications for ore genesis. J. Asian Earth Sci. 2015, 103, 252–275. [Google Scholar] [CrossRef]
- Wang, S.; Zhou, T.; Yuan, F.; Fan, Y.; Cooke, D.; Zhang, L.; Fu, B.; White, N. Geochemical characteristics of the Shujiadian Cu deposit related intrusion in Tongling: Petrogenesis and implications for the formation of porphyry Cu systems in the Middle-Lower Yangtze River Valley metallogenic belt, eastern China. Lithos 2016, 252, 185–199. [Google Scholar] [CrossRef]
- Shi, K.; Yang, X.; Du, J.; Wan, Q.; Cai, Y.; Chen, L. Study on fluid characteristics and discussion on its metallogenic model of Yangchongli gold deposit in the Tongling, Anhui Province. Acta Pet. Sin. 2019, 35, 3734–3748, (In Chinese with English Abstract). [Google Scholar]
- Yang, H.; Du, Y.; Lu, Y.; Cheng, L.; Zheng, Z.; Zhang, Y. U–Pb and Re–Os Geochronology of the Hucunnan Copper–Molybdenum Deposit in Anhui Province, Southeast China, and its Geological Implications. Resour. Geol. 2016, 66, 303–312. [Google Scholar] [CrossRef]
- Cao, Y.; Zheng, Z.; Du, Y.; Gao, F.; Qin, X.; Yang, H.; Lu, Y.; Du, Y. Ore geology and fluid inclusions of the Hucunnan deposit, Tongling, Eastern China: Implications for the separation of copper and molybdenum in skarn deposits. Ore Geol. Rev. 2017, 81, 925–939. [Google Scholar] [CrossRef]
- Large, R.; Danyushevsky, L.; Hollit, C.; Maslennikov, V.; Meffre, S.; Gilbert, S.; Bull, S.; Scott, R.; Emsbo, P.; Thomas, H.; et al. Gold and trace element zonation in pyrite using a laser imaging technique: Implications of the timing of gold in orogenic and Carlin-style sediment-hosted deposits. Econ. Geol. 2009, 104, 635–668. [Google Scholar] [CrossRef]
- Deol, S.; Deb, M.; Large, R.; Gilbert, S. LA-ICPMS and EPMA studies of pyrite, arsenopyrite and loellingite from the Bhukia-Jagpura gold prospect, southern Rajasthan, India: Implications for ore genesis and gold remobilization. Chem. Geol. 2012, 326, 72–87. [Google Scholar] [CrossRef]
- Yu, B.; Zeng, Q.; Frimmel, H.; Wang, Y.; Guo, W.; Sun, G.; Zhou, T.; Li, J. Genesis of the Wulong gold deposit, northeastern North China Craton: Constraints from fluid inclusions, H–O–S–Pb isotopes, and pyrite trace element concentrations. Ore Geol. Rev. 2018, 102, 313–337. [Google Scholar] [CrossRef]
- Li, H.; Kong, H.; Zhou, Z.; Wu, Q.; Xi, X.; Ratio, J. Ore-forming material sources of the Jurassic Cu–Pb–Zn mineralization in the Qin–Hang ore belt, South China: Constraints from S–Pb isotopes. Geochemistry. 2019, 79, 280–306. [Google Scholar] [CrossRef]
- Tang, Y.; Wu, Y.; Chu, G. Geology of Copper–Gold Polymetallic Deposits along the Yangtze River, Anhui Province; Beijing Geological Publishing House: Beijing, China, 1998. (In Chinese) [Google Scholar]
- Duan, L.; Gu, H.; Yang, X. Geological and geochemical constraints on the newly discovered Yangchongli gold deposit in Tongling Region, Lower Yangtze Metallogenic Belt. Acta Geol. Sin. (Engl. Ed.) 2017, 91, 2078–2108. [Google Scholar] [CrossRef]
- Xie, J.; Wang, Y.; Li, Q.; Yan, J.; Sun, W. Petrogenesis and metallogenic implications of Late Mesozoic intrusive rocks in the Tongling region, eastern China: A case study and perspective review. Int. Geol. Rev. 2018, 60, 1361–1380. [Google Scholar] [CrossRef]
- No. 321 Geological Team of Bureau of Geology and Mineral Exploration of Anhui Province. Geological Map of the Hucunnan Cu–Mo Ore Deposit in Jiguanshan–Changlongshan Region. Tongling, China; No. 321 Geological Team of Bureau of Geology and Mineral Exploration of Anhui Province: Tongling, China, 2010. (In Chinese) [Google Scholar]
- Qu, W.; Du, A. Highly precise Re-Os dating of molybdenite by ICP-MS with carius tube sample digestion. Rock Miner. Anal. 2003, 22, 254–262, (In Chinese with English Abstract). [Google Scholar]
- Li, C.; Qu, W.; Zhou, L.; Du, A. Rapid separation of osmium by direct distillation with carius tube. Rock Miner. Anal. 2010, 29, 14–16, (In Chinese with English Abstract). [Google Scholar]
- Li, C.; Qu, W.; Du, A.; Sun, W. Comprehensive study on extraction of rhenium with acetone in re-Os isotopic dating. Rock Miner. Anal. 2009, 28, 233–238, (In Chinese with English Abstract). [Google Scholar]
- Middlemost, E. Naming materials in the magma/igneous rock system. Earth Sci. Rev. 1994, 37, 215–224. [Google Scholar] [CrossRef]
- Irvine, T.; Baragar, W. A guide to the chemical classification of the common volcanic rocks. Can. J. Earth Sci. 1971, 8, 523–548. [Google Scholar] [CrossRef]
- Peccerillo, A.; Taylor, S. Geochemistry of Eocene calc-alkaline volcanic rocks from the Kastamonu area, northern Turkey. Contrib. Mineral. Petrol. 1976, 58, 63–81. [Google Scholar] [CrossRef]
- Sun, S.; McDonough, W. Chemical and isotopic systematics of oceanic basalts: Implications for mantle composition and processes. Geol. Soc., Lond. Spec. Publ. 1989, 42, 313–345. [Google Scholar] [CrossRef]
- Foster, M. Interpretation of Composition of Trioctaheral Micas; Geological Survey Professional Paper 354-B; United States Department of the Interior: Washington, DC, USA, 1960; pp. 1–49.
- Albuquerque, A. Geochemistry of biotites from granitic rocks, northern Portugal. Geochim. Cosmochim. Acta 1973, 37, 1779–1802. [Google Scholar] [CrossRef]
- Barriére, M.; Cotton, J. Biotites and associated minerals as markers of magmatic fractonation and deuteric equilibration in granites. Contrib. Mineral. Petrol. 1979, 137, 183–192. [Google Scholar] [CrossRef]
- Noyes, H.; Wones, D.; Frey, F. A tale of two plutons: Petrographic and mineralogic constraints on the petrogenesis of the Red Lake and Eagle Peak plutons, Central Sierra Nevada, California. J. Geol. 1983, 91, 353–378. [Google Scholar] [CrossRef]
- Wones, D. Significance of the assemblage titanite + magnetite + quartz in granitic rocks. Am. Mineral. 1989, 744–749. [Google Scholar]
- Wones, D.; Eugster, H. Stability of biotite: Experiment, theory, and application. Am. Mineral. 1965, 50, 1228–1272. [Google Scholar]
- Zhou, Z. The origin of intrusive mass in Fengshandong, Hubei province. Acta Petrol. Sin. 1986, 2, 59–70, (In Chinese with English Abstract). [Google Scholar]
- Defant, M.; Kepezhinskas, P. Evidence suggests slab melting in arc magmas. EOS Trans. Am. Geophys. Union 2001, 82, 65–69. [Google Scholar] [CrossRef]
- Xie, J.; Chen, S.; Sun, W.; Yang, X. Geochemistry of Early Cretaceous adakitic rocks in Tongling region of Anhui Province: Constraints for rock-and ore-forming. Acta Petrol. Sin. 2012, 28, 3181–3196, (In Chinese with English Abstract). [Google Scholar]
- Meinert, L.; Hedenquist, J.; Satoh, H.; Matsuhisa, Y. Formation of anhydrous and hydrous skarn in Cu–Au ore deposit s by magmatic fluids. Econ. Geol. 2003, 98, 147–156. [Google Scholar] [CrossRef]
- Chen, L.; Qin, K.; Li, G.; Li, J.; Xiao, B.; Jiang, H.; Zhao, J.; Fan, X.; Jiang, S. Geological and skarn mineral characteristics of Nuri Cu-W-Mo deposit in southeast Gangdese, Tibet. Miner. Depos. 2012, 31, 417–437, (In Chinese with English Abstract). [Google Scholar]
- Zhao, J.; Newberry, R.J. Novel knowledge on the origin and mineralization of skarns from Shizhuyuan. Acta Mineral. Sin. 1996, 16, 442–449, (In Chinese with English Abstract). [Google Scholar]
- Meinert, L. Skarn and skarn deposit. Geosci. Can. 1992, 19, 145–462. [Google Scholar]
- Calagari, A.; Hosseinzadeh, G. The mineralogy of copper-bearing skarn to the east of the Sungun-Chay river, East-Azarbaidjan, Iran. J. Asian Earth Sci. 2006, 28, 423–438. [Google Scholar] [CrossRef]
- Zhao, B.; Li, T.; Li, Z. Experimental study of physico-chemical condition the formation of skarns. Geochimica. 1983, 3, 256–267, (In Chinese with English Abstract). [Google Scholar]
- Zhao, B.; Barton, M. Compositional characteristics of garnets and pyroxenes in contact-metasomatic skarn deposits and their relationship to metallization. Acta Mineral. Sin. 1987, 7, 3–8, (In Chinese with English Abstract). [Google Scholar]
- Reich, M.; Kesler, S.; Utsunomiya, S.; Palenik, C.; Chryssoulis, S.; Ewing, R. Solubility of gold in arsenian pyrite. Geochim. Cosmochim. Acta 2005, 69, 2781–2796. [Google Scholar] [CrossRef]
- Deditius, A.; Utsunomiya, S.; Reich, M.; Kesler, S.; Ewing, R.; Hough, R.; Walshe, J. Trace metal nanoparticles in pyrite. Ore Geol. Rev. 2011, 42, 32–46. [Google Scholar] [CrossRef]
- Pacevski, A.; Libowitzky, E.; Zivkovic, P.; Dimitrijevic, R.; Cvetkovic, L. Copper-bearing pyrite from the Coka Marin polymetallic deposit, Serbia: Mineral inclusions or true solid-solution? Can. Mineral. 2008, 46, 249–261. [Google Scholar] [CrossRef]
- Reich, M.; Deditius, A.; Chryssoulis, S.; Li, J.; Ma, C.; Parada, M.; Barra, F.; Mittermayr, F. Pyrite as a record of hydrothermal fluid evolution in a porphyry copper system: A SIMS/EMPA trace element study. Geochim. Cosmochim. Acta 2013, 104, 42–62. [Google Scholar] [CrossRef]
- Chaussidon, M.; Lorand, J. Sulphur isotope composition of orogenic spinel lherzolite massifs from Ariege (North-Eastern Pyrenees, France): An ionmicroprobe study. Geochim. Cosmochim. Acta 1990, 54, 2835–2846. [Google Scholar] [CrossRef]
- Xu, W.; Yang, Z.; Meng, Y.; Zeng, P.; Shi, D.; Tian, S.; Li, H. Genetic model and dynamic migration of ore-forming fluids in carboniferous exhalation-sedimentary massive sulfide deposits of Tongling district, Anhui Province. Miner. Depos. 2004, 23, 353–364, (In Chinese with English Abstract). [Google Scholar]
- Liu, Z.; Shao, Y.; Zhou, X.; Zhang, Y.; Zhou, G. Hydrogen,oxygen,sulfur and lead isotope composition tracing for the metallogenic material source of Dongguashan copper (gold) deposit in Tongling, Anhui Province. Acta Petrol. Sin. 2014, 30, 199–208, (In Chinese with English Abstract). [Google Scholar]
- Huang, X.; Chu, G.; Zhou, J.; Zhang, C.; Wu, C.; Huang, H.; Wen, C.; Shi, Q. A discussion on the sources of ore-forming material and ore-bearing fluid of the Tongling area, Anhui. Geol. Anhui 1994, 4, 1–9, (In Chinese with English Abstract). [Google Scholar]
- Wang, Z.; Zhou, T.; Zhang, H. Study on geochemistry of Cu, Au deposit in Mashan, Anhui. J. East China Geol. Inst. 1996, 19, 36–41, (In Chinese with English Abstract). [Google Scholar]
- Xia, Y. A tentative study on the origin of ore-forming materials of Tianmashan sulfur-gold deposit. Miner. Resour. Geol. 1999, 13, 34–38, (In Chinese with English Abstract). [Google Scholar]
- Tian, S.; Ding, T.; Yang, Z.; Meng, Y.; Zeng, P.; Wang, Y.; Wang, X.; Jiang, Z. REE and stable isotope geochemical characteristics of Chaoshan gold deposit in Tongling, Anhui province. Miner. Depos. 2004, 23, 365–374, (In Chinese with English Abstract). [Google Scholar]
- Tian, S.; Ding, T.; Hou, Z.; Yang, Z.; Xie, Y.; Wang, Y.; Wang, X. REE and stable isotope geochemistry of the Xiaotongguanshan copper deposit, Tongling, Anhui. Geol. China 2005, 4, 80–89, (In Chinese with English Abstract). [Google Scholar]
- Tian, S.; Hou, Z.; Yang, Z.; Ding, T.; Meng, Y.; Zeng, P.; Wang, Y.; Wang, X. REE and Stable Isotope Geochemical Characteristics of the Mashan Au–S Deposit in Tongling, Anhui Province. Acta Geol. Sin. 2007, 7, 929–938, (In Chinese with English Abstract). [Google Scholar]
- Xu, Z.; Lu, X.; Gao, G.; Fang, C.; Wang, Y.; Yang, X.; Jiang, S.; Chen, B. Isotope geochem istry and minera lization in the Dongguashan diplogenetic stratified copper deposit, Tongling Area. Geol. Rev. 2007, 53, 44–51, (In Chinese with English Abstract). [Google Scholar]
- Shao, Y.; Zhang, Z.; Wu, C.; Li, A.; Gu, L. Genesis of the Mashan Au–Cu–S deposit, Tongling, Anhui Province. Contrib. Geol. Miner. Resour. Res. 2010, 25, 310–318, (In Chinese with English Abstract). [Google Scholar]
- Wang, B. Geological and geochemical characters of Shujiadian copper deposit and genesis analysis. J. Hefei Univ. Technol. (Nat. Sci.) 2010, 33, 906–910, (In Chinese with English Abstract). [Google Scholar]
- Xu, X.; Yin, T.; Lou, J.; Lu, S.; Xie, Q.; Chu, P. Origin of Dongguashan strata bound Cu–Au skarn deposit in Tongling Restraints of sulfur isotope. Acta Petrol. Sin. 2010, 26, 2739–2750, (In Chinese with English Abstract). [Google Scholar]
- Yang, Q.; Wang, J.; Feng, J.; Hou, Z.; Yang, Z.; Meng, Y.; Wang, C.; Chen, W. Geological and Geochemical Characteristics of the Tianmashan Au–S Deposit in Tongling, Anhui Province. Acta Geosci. Sin. 2010, 31, 203–208, (In Chinese with English Abstract). [Google Scholar]
- Qu, H.; Pei, R.; Li, J.; Wang, Y. SHRIMP U–Pb dating of zircon from the Fenghuangshan quartz monzodiorite and granodiorite in Tongling area, Anhui Province and its geological implication. J. Jilin Univ. (Earth Sci. Ed.) 2010, 40, 581–590. [Google Scholar]
- Qu, H.; Pei, R.; Wang, H.; Li, J.; Wang, Y.; Mei, Y. Mantle-derived ore-forming fluids of the Fenghuangshan Cu deposit, evidences form microthermometric and isotopic studies. Geol. Rev. 2011, 57, 50–62, (In Chinese with English Abstract). [Google Scholar]
- Zhang, Z.; Zhang, D.; Di, Y.; Shu, B.; Pang, Z.; Du, Z.; Que, C.; Ma, X.; Xue, J. Sulfur, lead isotope composition characteristicsof the Jiaochong Au–S ore deposit in Tongling area and their indication significance. Geol. Bull. China. 2013, 32, 1643–1652, (In Chinese with English Abstract). [Google Scholar]
- Zhang, Y.; Shao, Y.; Wu, C.; Cheng, H. LA-ICP-MS trace element geochemistry of garnets: Constraints on hydrothermal fluid evolution and genesis of theXinqiao Cu–S–Fe–Au deposit, eastern China. Ore Geol. Rev. 2017, 86, 426–439. [Google Scholar] [CrossRef]
- Zhang, Y.; Shao, Y.; Li, H.; Liu, Z. Genesis of the Xinqiao Cu–S–Fe–Au deposit in the Middle-Lower Yangtze River Valley metallogenic belt, Eastern China: Constraints from U–Pb–Hf, Rb–Sr, S, and Pb isotopes. Ore Geol. Rev. 2017, 86, 100–116. [Google Scholar] [CrossRef]
- Liu, G.; Yuan, F.; Deng, Y.; Jowitt, S.; Sun, W.; White, N.; Ynang, D.; Li, X.; Zhou, T.; Huizenga, J. The genesis of the Hehuashan Pb–Zn deposit and implications for the Pb–Zn prospectivity of the Tongling district, Middle–Lower Yangtze River Metallogenic Belt, Anhui Province, China. Ore Geol. Rev. 2018, 101, 105–112. [Google Scholar] [CrossRef]
- Liang, T.; Wang, D.; Cai, M.; Cehn, Z.; Guo, C.; Huang, H. Sulfur and Lead Isotope Composition Tracing for the Sources of Ore-Forming Material in Dachang Tin-Polymentallic Orefield, Guangxi. Acta Geol. Sin. 2008, 7, 967–977, (In Chinese with English Abstract). [Google Scholar]
- Zindler, A.; Hart, S. Chemical geodynamics. Annu. Rev. Earth Planet. Sci. 1986, 14, 493–571. [Google Scholar] [CrossRef]
- Hart, S.R. A large scale isotope anomaly in the Southern Hemisphere mantle. Nature 1984, 309, 753–757. [Google Scholar] [CrossRef]
- Li, L.; Zhen, Y.; Zhou, J. Dynamic model for Pb isotope evolution in the continental crust of China. Acta Petrol. Sin. 2001, 17, 61–68, (In Chinese with English Abstract). [Google Scholar]
- Wang, D.; Fu, D.; Wu, L. A discussion of the middle- carboniferous “sedimentary-submarine effusive sedimentary-hydrothermal reformation” bedded Cu (Fe, S, Au, Pb, Zn, Ag) ore deposits in the Lower Yangtze Area. East China Geol. 1987, 2, 119–128, (In Chinese with English Abstract). [Google Scholar]
- Yu, C.; Yuan, X. The relationship between mineralization and evolution of rock in Tongshan Guichi. Miner. Resour. Geol. 1999, 5, 274–278, (In Chinese with English Abstract). [Google Scholar]
- Dong, S.; Qiu, R. Tectonism and Magmatism of Yueshan Area in Anqing; Beijing Geological Publishing House: Beijing, China, 1993; pp. 1–158. (In Chinese) [Google Scholar]
- Zhang, Q.; Wang, Y.; Wang, Y. Preliminary study on the components of the lower crust in East China Plateau during Yanshanian Period: Constraints on Sr and Nd isotopic compositions of adakite-like rocks. Acta Petrol. Sin. 2001, 17, 505–513, (In Chinese with English Abstract). [Google Scholar]
- Pearce, J.; Harris, N.; Tindle, A. Trace element discrimination diagrams for the tectonic interpretation of granitic rocks. J. Petrol. 1984, 25, 956–983. [Google Scholar] [CrossRef]
- Sun, W.; Liang, H.; Ling, M.; Zhan, M.; Ding, X.; Zhang, H.; Yang, X.; Li, Y.; Ireland, T.; Wei, Q. The link between reduced porphyry copper deposits and oxidized magmas. Geochim. Cosmochim. Acta 2013, 103, 263–275. [Google Scholar] [CrossRef]
- Sun, W.; Huang, R.; Li, H.; Hu, Y.; Zhang, C.; Sun, S.; Zhang, L.; Ding, X.; Li, C.; Zartman, R. Porphyry deposits and oxidized magmas. Ore Geol. Rev. 2015, 65, 97–131. [Google Scholar] [CrossRef]
- Sun, W.; Wang, J.; Zhang, L.; Zhang, C.; Li, H.; Ling, M.; Ding, X.; Li, C.; Liang, H. The formation of porphyry copper deposits. Acta Geochim. 2017, 36, 9–15. [Google Scholar] [CrossRef]
- Deng, J.; Yang, X.; Li, S.; Gu, H.; Mastoi, A.S.; Sun, W. Partial melting of subducted paleo-Pacific plate during the early Cretaceous: Constraint from adakitic rocks in the Shaxi porphyry Cu–Au deposit, Lower Yangtze River Belt. Lithos 2016, 262, 651–667. [Google Scholar] [CrossRef]
- Zhang, C.; Sun, W.; Wang, J.; Zhang, L.; Sun, S.; Wu, K. Oxygen fugacity and porphyry mineralization: A zircon perspective of Dexing porphyry Cu deposit, China. Geochim. Cosmochim. Acta 2017, 206, 343–363. [Google Scholar] [CrossRef]
- Gu, H.; Yang, X.; Nie, Z.; Deng, J.; Duan, L.; Hu, Q.; Shakoor, M.; Gao, E.; Hafiz, A. Study of Late-Mesozoic magmatic rocks and their related copper-gold-polymetallic deposits in the Guichi ore-cluster district, Lower Yangtze River Metallogenic Belt, East China. Int. Geol. Rev. 2018, 60, 1404–1434. [Google Scholar] [CrossRef]
- Hu, Z.L.; Yang, X.Y.; Lee, I.S. Geochemical study of Cretaceous magmatic rocks in Chuzhou region, Low Yangtze River Metallogenic Belt: Implications for petrogenesis and Cu–Au mineralization. Int. Geol. Rev. 2018, 60, 1479–1506. [Google Scholar] [CrossRef]
- Liu, Z.; Yang, X.Y.; Liu, C.M.; Huang, D.Z.; Zhou, W.J.; Teng, X.; Liang, E.Y.; Dai, T.G. Genesis of Early Cretaceous porphyrite-type iron deposits and related sub-volcanic rocks in the Ningwu Volcanic Basin, Middle-Lower Yangtze Metallogenic Belt, SE China. Int. Geol. Rev. 2018, 60, 1507–1528. [Google Scholar] [CrossRef]

















| Type | Subgenera | Mineralization | Example Deposits |
|---|---|---|---|
| Skarn | Contact metasomatism type | Cu, Cu–Fe, Au–Cu, Cu–Mo, Mo | Fenghuashan, Yaoyuanshan, Bishan |
| Stratified skarn type | Cu–S, Cu, S–Cu–Au, Au–As-S | Dongguashan, Xinqiao, Tongshan, Tianmashan | |
| Ore magma type | Cu–Au, Cu–Fe | Dongshizishan | |
| Hydrothermal | Pb, Zn–Au–Cu, Au–Cu, Pb, Zn | Yaojiali, Baimangshan, Caoshan, Cishan | |
| Porphyry | Cu, Cu–Au, Cu–Mo | Shujiadia, deep of Donggushan, Hucunnan | |
| Sedimentation-hydrothermal superposition reworked type | S–Au, S-Fe, Fe | Simenkou | |
| Gossan | Au–Fe | Ji Guan Shan | |
| Laterite | Au | Long Tan Xiao |

© 2020 by the authors. Licensee MDPI, Basel, Switzerland. This article is an open access article distributed under the terms and conditions of the Creative Commons Attribution (CC BY) license (http://creativecommons.org/licenses/by/4.0/).
Share and Cite
Shi, K.; Yang, X.; Du, J.; Cao, J.; Wan, Q.; Cai, Y. Geochemical Study of Cretaceous Magmatic Rocks and Related Ores of the Hucunnan Cu–Mo Deposit: Implications for Petrogenesis and Poly-Metal Mineralization in the Tongling Ore-Cluster Region. Minerals 2020, 10, 107. https://doi.org/10.3390/min10020107
Shi K, Yang X, Du J, Cao J, Wan Q, Cai Y. Geochemical Study of Cretaceous Magmatic Rocks and Related Ores of the Hucunnan Cu–Mo Deposit: Implications for Petrogenesis and Poly-Metal Mineralization in the Tongling Ore-Cluster Region. Minerals. 2020; 10(2):107. https://doi.org/10.3390/min10020107
Chicago/Turabian StyleShi, Ke, Xiaoyong Yang, Jianguo Du, Jingya Cao, Qiu Wan, and Yang Cai. 2020. "Geochemical Study of Cretaceous Magmatic Rocks and Related Ores of the Hucunnan Cu–Mo Deposit: Implications for Petrogenesis and Poly-Metal Mineralization in the Tongling Ore-Cluster Region" Minerals 10, no. 2: 107. https://doi.org/10.3390/min10020107
APA StyleShi, K., Yang, X., Du, J., Cao, J., Wan, Q., & Cai, Y. (2020). Geochemical Study of Cretaceous Magmatic Rocks and Related Ores of the Hucunnan Cu–Mo Deposit: Implications for Petrogenesis and Poly-Metal Mineralization in the Tongling Ore-Cluster Region. Minerals, 10(2), 107. https://doi.org/10.3390/min10020107

