Abstract
Jiangxi Province (South China) is one of the world’s top tungsten (W) mineral provinces. In this paper, we present a new LA-ICP-MS zircon U-Pb age and Hf isotope data on the W ore-related Xianglushan granite in northern Jiangxi Province. The magmatic zircon grains (with high Th/U values) yielded an early Cretaceous weighted mean U-Pb age of 125 ± 1 Ma (MSWD = 2.5, 2σ). Zircon εHf(t) values of the Xianglushan granite are higher (−6.9 to −4.1, avg. −5.4 ± 0.7) than those of the W ore-related Xihuanshan granite in southern Jiangxi Province (−14.9 to −11.2, avg. −12.5 ± 0.9), implying different sources between the W ore-forming magmas in the northern and southern Jiangxi Province. Compiling published zircon geochemical data, the oxygen fugacity (fO2) of the late Yanshanian granitic magmas in Jiangxi Province (the Xianglushan, Ehu, Dahutang, and Xihuashan plutons) were calculated by different interpolation methods. As opposed to the W ore-barren Ehu granitic magma, the low fO2 of the Xianglushan granitic magma may have caused W enrichment and mineralization, whilst high fO2 may have led to the coexistence of Cu and W mineralization in the Dahutang pluton. Additionally, our study suggests that the absence of late Mesozoic Cu-Mo mineralization in the Zhejiang, Jiangxi, and Anhui Provinces (Zhe-Gan-Wan region) was probably related to low fO2 magmatism in the Cretaceous.
1. Introduction
South China (especially Jiangxi Province) is the main tungsten (W)-producing province in China. The early-discovered W deposits are mainly distributed in southwest Jiangxi Province, such as the renowned Xihuashan, Piaotang, and Dajishan deposits [1,2,3,4,5]. Xianglushan deposit was discovered in the 1960s in the northern Jiangxi province, a region better known for its association with world class porphyry copper (Dexing copper deposit (DCP)) and large- to medium-sized polymetallic Cu deposits [6,7,8,9,10,11,12]. The recent discovery of several super-large W deposits, such as the Zhuxi and Dahutang deposits in northern Jiangxi Province, have renewed research interest on the W metallogeny in the region and its relationship with the coeval Cu mineralization. Although the main W mineralization in both northern and southern Jiangxi Province was related to the Yanshanian (Jurassic-Cretaceous) orogeny, there are obvious metallogenic differences between them. For instance, wolframite is the main W ore mineral in southern Jiangxi Province [5,10,13], while it is mainly scheelite in northern Jiangxi Province. Moreover, in northern Jiangxi Province, W mineralization coexists locally with Cu ± Mo and the reason for such differences is still unknown.
Advances in micro-analysis have resulted in the routine in-situ measurement of key geochemical and isotopic traits of zircons grains. Over the past few decades, there has been increasing interest in the use of zircon as a mineralization pathfinder for intrusion-related mineralization [14]. In this paper, zircon data from one ore-barren (Ehu) and two fertile granites (Dahutang and Xihuashan; Table A1) are compiled, and a new zircon U-Pb ages and Hf isotope data from the Xianglushan W bearing granite in northern Jiangxi Province are presented. We compared the age, oxygen fugacity (fO2), and possible magma source of the Xianglushan granite with those of the three other granite plutons and discussed the magmatic controls on W and W-Cu mineralization in the region. Our work also provides better understanding for the W mineralization during the Yanshanian period in Jiangxi Province.
2. Geological Background
2.1. Regional Geology
The South China Block (SCB) is composed of Yangtze and Cathaysia blocks separated along the Qin-Hang belt (Figure 1; [15,16]). Many previous studies proposed that the two blocks may have collided in the early Neoproterozoic, separated in the late Neoproterozoic, and then reassembled in the early Paleozoic (Caledonian) [3,4,5,6,7,15]. The SCB has since then experienced intensive and multiphase thermotectonic events [15,16], including those occurred in the Triassic (Indosinian) and Jurassic-Cretaceous (Yanshanian) [15,16]. Granites that formed during the Yanshanian orogeny are the most widespread, especially in the Cathaysia Block and the Qin-Hang belt. Moreover, there is a progressive coastward magmatic migration trend from the early to late Yanshanian orogeny [17,18,19].
Figure 1.
(a) Sketched map of China. (b) Simplified geologic map, showing the distribution of Yanshanian granites in South China and its associated ore deposits (modified after [18,20]).
Neoproterozoic and late Mesozoic (Jurassic-Cretaceous; Yanshanian) granitoids are widespread in northern Jiangxi Province, and the latter occurs mainly as stocks intruding both the former and other Precambrian rocks [21,22]. In contrast, the Nanling Range extends across the northwestern Cathaysia Block [23] and encompasses southern Jiangxi Province, southern Hunan, and western Fujian Provinces. The Nanling Range includes a Neoproterozoic schist basement and Sinian–Silurian slate [18], which are covered by Upper Devonian to Middle Triassic shallow−marine carbonate rocks, mudstones, and sandstones, and then by Upper Triassic to Paleogene terrigenous clastic rocks and volcaniclastic rocks. Two world-class W ore belts were developed in the Nanling Range [8,10,13] and northern Jiangxi Province, respectively [10]. Southern Jiangxi Province is located in the eastern Nanling Range, including Xuehuading, Xianghualing, Qianlishan, and Xihuashan deposits. The northern Jiangxi Province contains the Dahutang W-Cu, Zhuxi W-Cu, and Xianglushan W deposits (Figure 1).
2.2. Petrology of Fertile/Barren Granites
The Xianglushan skarn W deposit in northwestern Jiangxi Province was discovered in 1958. The deposit has an ore reserve of 220 thousand tonnes (kt) at 0.641% WO3. Local exposed sequences include the Cambrian Yangliugang Formation and upper member of the Huayansi Formation (Figure 2). These sequences mainly comprise well-bedded carbonaceous/cherty/muddy limestones and marl [24]. The Late Yanshanian biotite granite is the ore bearing rock, which is exposed in northeastern Xianglushan mining area, and dips gently to the southwest along the anticlinal limbs. Biotite granite is light-gray to white, and has quartz (55–60%), K-feldspar (~20%), plagioclase (10–15%), and biotite (5–10%) as its major constituents. Its accessory minerals include ilmenite, apatite, zircon, and titanite.
Figure 2.
Simplified geologic map of the Xianglushan deposit (modified from [24,25]).
The Ehu pluton is located at about 30 km northeast of Jingdezhen and covers an area about 160 km2. The pluton is located on the southeastern margin of the Yangtze plate (Figure 1). The Ehu granite intruded the low-grade meta-sedimentary rocks of the Shuangqiaoshan Group. It consists of massive medium-grained two-mica granites with an association of monzogranite-syenogranite. The rocks are mainly composed of K-feldspar (35–40%), quartz (30%), plagioclase (24%), biotite (5%), and muscovite. Most of the plagioclase grains are sericitized and biotite is partially replaced by chlorite. Accessory minerals include mainly zircon, apatite, epidote, and Fe-Ti oxides. Moreover, the Ehu granites are devoid of Cu (Au)-Mo or Sn-W mineralization [26].
The Shimensi W polymetallic deposit is the largest deposit in the Dahutang ore field with a reserve of 0.74 Mt WO3, 403.6 kt Cu, and 28 kt Mo. Late Mesozoic granitic stocks and dikes are widely exposed in the Dahutang mining area and are considered to be W-Cu ore-related. These granites were emplaced into the Jiuling granodiorite batholith and Neoproterozoic Shuangqiaoshan Group, including porphyritic granite (dominant), fine-grained granite, and granite porphyry. The porphyritic granite has 30% quartz, 40%–45% K-feldspar, 5%–10% plagioclase, 10% biotite, and 5%–10% muscovite, and accessory apatite, zircon, fluorite, ilmenite, scheelite, and wolframite. The fine-grained granite intruded mainly the porphyry granite and locally the Neoproterozoic granite. The rocks have 30% quartz, 45% K-feldspar, 10% plagioclase, 10% biotite, and 5%–10% muscovite, and accessory zircon, fluorite, apatite, and ilmenite. Meanwhile, the granite porphyry dykes are distributed throughout the Shimensi deposit. They intruded both the porphyritic and fine-grained granites. Granite porphyry has 40% quartz, 40% feldspar, 5%–10% plagioclase, 5% biotite, and 5%–10% muscovite, as well as accessory zircon, apatite and fluorite. The three granites are interpreted as highly evolved S-type granites [5,27].
The Xihuashan pluton (outcrop size: 19.12 km2) is exposed in the Xihua Mountain and Dangping area, and intruded Cambrian sandstone and slate. The pluton is composed of medium-grained porphyritic/equigranular biotite granite and fine-grained two-mica granite, which are strongly peraluminous and belong to high-K S-type. The W-mineralized veins are spatially associated with the medium-grained biotite granite, which has plagioclase (~52%), quartz (~30%), alkali feldspar (~15%), biotite (~3%), and accessory minerals including zircon, apatite, monazite, xenotime, thorite, gadolinite, fluorite, and doverite [28].
3. Methods
3.1. Zircon Morphology and Texture
Zircon separation was conducted on a ~2 kg crushed rock sample (XLS01-1) at the Hongxing Geological Laboratory (Langfang, China). After heavy liquid and electromagnetic separation, zircon grains with better crystal shape and transparency were picked under the microscope. The internal structure of zircon grain was observed via cathodoluminescence (CL) imaging and transmitted-/reflected-light microscopy. All of the CL imaging were conducted at the Wuhan Sample Solution Analytical Technology Co. Ltd. (Wuhan, China). Zircon CL images were obtained using an Analytical Scanning Electron Microscope (JSM–IT100) connected to a GATAN MINICL system. The imaging condition was 10.0–13.0 kV accelerating voltage of electric field and 80–85 µA current of tungsten filament.
3.2. Zircon U-Pb Dating
LA-ICP-MS zircon U-Pb dating and trace element analysis were simultaneously conducted at the same laboratory as zircon CL imaging. The analyses were performed with a GeolasPro laser ablation system that consists of a COMPexPro 102 ArF excimer laser (193 nm wavelength and maximum 200 mJ energy) and a MicroLas optical system. Helium was used as a carrier gas, and argon as the make-up gas that mixed with helium via a T-connector before entering the ICP. A “wire” signal smoothing device was included in this laser ablation system [29,30]. The laser spot size and frequency were set to 32 µm and 5 Hz, respectively, and Plešovice zircon was used as the external standard. The obtained Plešovice (338.6 ± 1.1 Ma) ages are consistent with the value reported by [31]. The off-line selection and background-analyzed signal integration, trace element calibration, and time-drift correction were performed with the in-house (CUG, Wuhan, China) ICPMSDataCal software (Version 10.9) [30]. Common Pb correction was carried out using with the measured 204Pb contents [32]. Concordia diagrams and weighted mean calculations were plotted with the Isoplot/Ex_ver3 [33].
3.3. Zircon Hf Isotopic Analyses
In-situ Hf isotope analysis was conducted using a Neptune Plus MC-ICP-MS (Thermo Fisher Scientific, Dreieich, Germany) coupled with a Geolas HD excimer ArF laser ablation system (Coherent, Göttingen, Germany) at the same laboratory as the zircon U-Pb dating. Analysis conditions include 44 μm spot size, 8 Hz laser repetition, and 5.3 J/cm2 energy density, and other details are as described in Hu et al. [30]. Spot locations of the Hf isotopic analyses are shown in Figure 3. The analysis requires careful correction of isobaric interferences on 176Hf (e.g., 176Yb and 176Lu). It is observed that the mass fractionation of Yb (βYb) is not constant over time, and the βYb obtained from the solution introduction is unsuitable for the measurements [34]. The βYb miscalculation would affect the 176Hf/177Hf results. In this study, we used the βYb values directly obtained (real-time) from the zircon grains. Additionally, the 173Yb/171Yb and 179Hf/177Hf values were applied to estimate the mass bias of Yb (βYb) and Hf (βHf), which were normalized to 173Yb/171Yb (1.13268) and 179Hf/177Hf (0.73255) [35] with an exponential correction. Meanwhile, interference of 176Yb on 176Hf was corrected by measuring the interference-free 173Yb and utilizing 176Yb/173Yb (0.79639) [35] to calculate 176Yb/177Hf. Similarly, the relatively minor interference of 176Lu on 176Hf was corrected by measuring the interference-free 175Lu intensity and used 176Lu/175Lu (0.02656) to estimate 176Lu/177Hf. Since Yb and Lu have similar elemental behaviors, βYb was applied to calculate the mass fractionation of Lu. The off-line processing of analytical data (e.g., mass bias calibration, sample selection, and blank signal) were performed with the ICPMSDataCal software [30]. Our analyses yielded weighted mean 176Hf/177Hf ratios of 0.2820172 ± 0.0000060 for the GJ-1 zircon standard and 0.2823080 ± 0.0000035 for the 91500-zircon standard.
Figure 3.
Representative zircon CL images of the Xianglushan biotite granite (sample XLS01-01). The yellow and red circles denote the Hf and U-Pb isotopic analysis spots, respectively.
3.4. Zircon Log fO2 Ratios, Ce and Eu Anomaly Estimation
Zircon has high closure temperature and is resistant to weathering or hydrothermal alteration. In general, Ce in magma has two valence states (Ce4+ and Ce3+). Compared to Ce3+, Ce4+ has the same ionic radius and valence state as Zr4+ in the zircon lattice. Therefore, Ce4+ (instead of Ce3+) is compatible in magmatic zircon, which thus show strong positive Ce anomaly in chondrite-normalized REE (Rare Earth element) pattern. Various zircon Ce-based oxygen fugacity (fO2) indicators were developed to assess the magmatic redox conditions. In particular, Trail et al. [36] proposed an equation (Equation (1)) that can directly calculate the absolute value of oxygen fugacity. This equation has been widely adopted in many studies on the genesis of world-class porphyry Cu deposits:
where (Ce/Ce*)D is the zircon Ce anomaly estimated from the partition coefficients and T is the absolute zircon crystallization temperature.
Recent studies suggested [37,38] that substitution of Ti, Si4+, and Zr4+ in zircon lattice depends primarily on temperature. As a result, the titanium content can estimate zircon crystallization temperature, if the TiO2 and SiO2 activities in the melt at the time of crystallization are well constrained. Therefore, Equation (2) proposed by Ferry and Watson [37] was used to calculate the magma temperature at the time of zircon crystallization.
where and represent the Si and Ti activity, respectively.
Notably, the studies of natural samples and experiments by Trail et al. [36] suggested that Ce anomalies in the magma can be calculated by the following approximation:
CHUR is the abbreviation of chondrite uniform reservoir, where (Ce/Ce*) CHUR represents the Ce anomalies normalized to the chondritic uniform reservoir (CHUR; [39,40]). However, the measurement of Ce/Ce* = CeN/(LaN*PrN)1/2 (subscript N indicates chondrite normalization) anomaly is difficult because La and Pr are very difficult to be measured precisely. Moreover, the two elements are susceptible to contamination by tiny melt and titanite inclusions that are common in zircon [38]. This has led some authors to use a ratio between Ce and a more abundant REE as a proxy for Ce enrichment or depletion (such as Ce/Nd; e.g., [40,41,42]. Loard et al. [43] argued that Ce/Ce* can be estimated based on Equation (5), in which Sm and Nd were less affected by the inclusions and can be measured more precisely. Thus, determination of the Ce anomaly and fO2 for the magmas using the Sm-Nd interpolation can yield more robust fO2 values.
Furthermore, zircon EuN/EuN* ratios can also evaluate the magmatic oxygen fugacity, because Eu2+ cannot substitute into zircon due to its cationic size and charge [42]. However, the redox effect on zircon EuN/EuN* ratios is complicated by the strong partitioning of Eu2+ into other minerals, notably plagioclase [36,38,40]. Plagioclase crystallization can deplete the melt in Eu relative to Sm and Gd [43]. Hence, zircon Eu anomalies are not only influenced by redox, but also by the plagioclase abundance. In view of this, Eu anomaly is not used to assess the fO2 of granitic magmas in this study.
4. Results
4.1. Zircon U-Pb Age
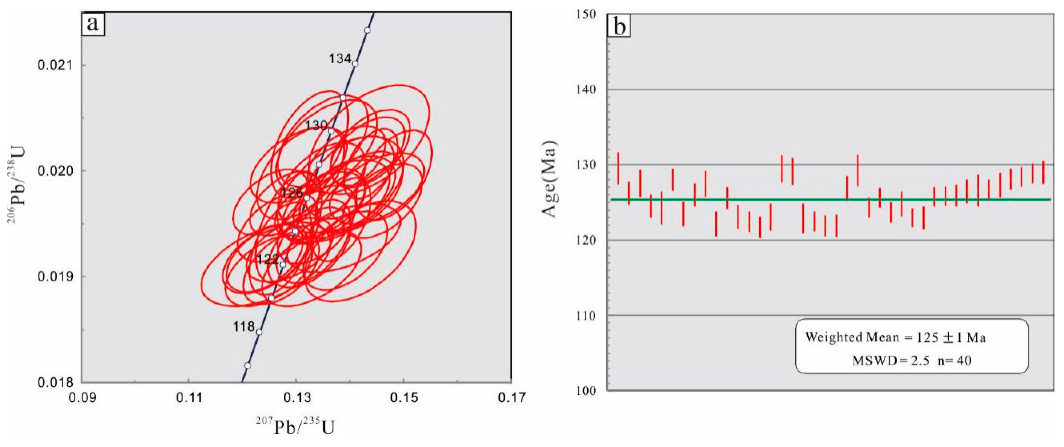
Zircon grains separated from XLS01-1 sample are colorless, euhedral transparent, and about 50 to 150 μm long. Most zircon grains have fine oscillatory zoning and some are sector-zoned (Figure 3). A total of 39 zircon grains from the sample were analyzed (Table 1) and their U and Th contents and Th/U ratios are of 255 to 8210 ppm, 244 to 1268 ppm, and 0.15 to 1.12, respectively (Table 1), resembling typical magmatic zircons (Th/U > 0.1, [12]). U-Pb ages of the zircon grains are highly consistent (122 to 129 Ma), which yielded a weighted-mean age of 125 ± 1 Ma (n = 40, MSWD = 2.5; Figure 4), representing the crystallization age of the biotite granite XLS01-1.
Table 1.
Zircon U-Pb isotopic compositions and ages of the Xianglushan biotite granite ("PLE" represent the “Plesovice zircon”).
Figure 4.
(a) Zircon U-Pb concordia and (b) weighted mean age diagrams for the Xianglushan biotite granite.
4.2. Zircon Hf Isotopes
Zircon Hf-isotopic data of the Xianglushan biotite granite (XLS01-1) were listed in Table 2. These zircon crystals have 176Hf/177Hf ratios mainly range from 0.282513 to 0.282594. The zircon εHf(t) values of the Xianglushan biotite granite are characterized by a narrow initial range (−6.9 to −4.1; avg. −5.4 ± 0.7). In addition, the Hf-isotopic data show the younger two-stage model ages (TDM2) of 1085 to1215 Ma (avg. 1143 ± 30 Ma; Figure 5 and Table 2).
Table 2.
Zircon Hf isotopes of the Xianglushan biotite granite.
Figure 5.
(a) εHf(t) vs. U-Pb age diagram and histograms of (b) εHf(t) value; (c) Two-stage model ages (TDM2).
Similarly, the zircon εHf(t) and TDM2 are of −10 to −2.4 (avg. −6.2 ± 1.8) and 1042 to 1394 Ma (avg. 1221 ± 86 Ma) for the Dahutang ore-related granite [8]. Comparatively, the Xihuashan W ore-related granite has lower zircon εHf(t) values (−14.9 to −11.4, avg. −12.5 ± 0.9; [47,48]), which plot above the CHUR evolutionary line in the εHf(t) vs. U-Pb age diagram (Figure 5a,b). Moreover, the Xihuanshan granite shows the older TDM2, ranging from 1473 to 1634 Ma (avg. 1525 ± 43 Ma; Figure 5c; Table A2).
4.3. Temperature-Redox Conditions
Calculated Ti-in-zircon temperatures of the W-related granites from the three deposits and the Ehu ore-barren granite are listed in Table A1. The activities of TiO2 and SiO2 were estimated to be 0.7 and 1, respectively. The Ti-in-zircon temperatures are 666 to 786 °C (avg. 699 ± 32 °C) for the Xianglushan biotite granite, 709 to 848 °C (avg. 745 ± 35 °C) for the Dahutang granite, 654 to 890 °C (avg. 727 ± 51 °C) for the Xihuashan granite, and 654 to 890 °C (avg. 727 ± 33 °C) for the Ehu granite.
The log fO2 values for the W-related and barren granites were listed in Table A1 and illustrated in Figure 6 and Figure 7. It is noted that the log fO2 values were calculated by the La-Pr and Nd-Sm interpolation methods, respectively. As shown in Figure 6a, most data from the Xianglushan granite are located below those of the Ehu ore-barren granite. Log fO2 values range from FMQ −12.01 to 4.76 (avg. −7.97 ± 3.73) for the bearing granite, and from FMQ −10.13 to +7.59 (avg. −2.36 ± 4.32) for the barren one (Figure 6b). Although the results are broadly consistent with the previous redox estimates for these zircons [37], our results indicate a slightly oxidizing environment. It is also noted that the log fO2 range of Ehu granite in Figure 6c is narrower than that in Figure 6a. The results estimated by Equation (3) range from FMQ −13.00 to +3.61 (avg. −7.16 ± 4.5) for the ore-bearing granite, and from FMQ −6.01 to +5.54 (avg. −1.93 ± 2.46) for the barren granite (Table A1; Figure 6d).
Figure 6.
logfO2-related binary diagrams of zircon grains from the Xianglushan and Ehu granites (a) logfO2 vs. temp diagram, where logfO2 was calculated with the method of Trail et al. [37], and CeN* by the La-Pr interpolation method; (b) Histogram of oxygen fugacity; (c) logfO2 vs. temp diagram, where logfO2 value was calculated by the method of Trail et al. [37], and CeN* by the Sm-Nd fitting method; (d) Histogram of oxygen fugacity. Data are listed in Table A1.
Figure 7.
logfO2-related binary diagrams of zircon grains from the Xianglushan, Dhutang and Xihuashan granites. (a) logfO2 vs. temp diagram, where logfO2 value was calculated with the method of Trail et al. [34], and CeN* with the La-Pr interpolation method; (b) Histogram of oxygen fugacity; (c) logfO2 vs. temp diagram, where logfO2 value was calculated with the method of Trail et al. [34], and CeN* with the Sm-Nd fitting method; (d) Histogram of oxygen fugacity. Data are listed in Table A1.
As shown in Figure 7, although the Dahutang granite zircon data are partially overlapped with those from the Xihuanshan and Xianglushan granites, zircon grains from the Dahutang ore-bearing granite still have the highest logfO2 values regardless of the calculation method. The La-Pr interpolation approach yielded logfO2 values of FMQ −9.34 to +4.76 (avg. −0.37 ± 3.63) for the Dahutang granite, FMQ −11.70 to +3.33 (avg. −2.80 ± 4.33) for the Xihuashan granite, and FMQ −12.01 to 4.76 (avg. −7.97 ± 3.73) for the Xianglushan granite (Figure 7a,b). In contrast, the Sm-Nd interpolation method obtained a narrower logfO2 range (Figure 7c,d), and higher values (albeit some overlapping) for the Dahuatang (FMQ −7.33 to +5.90; avg. −0.79 ± 3.27) and Xihuashan (FMQ −10.29 to +4.97; avg. −1.92 ± 3.67) granites than the Xianglushan granite (FMQ −13.00 to +3.61; avg. −7.16 ± 4.54) (Figure 7; Table A1). Notably, unlike the La-Pr interpolation, the Sm-Nd fitting method does not require accurate measurement of La or Pr and is thus considered to be more robust. Meanwhile, some studies [25] further suggested that zircon REEs have a concave-downward (rather than linear) chondrite-normalized pattern. Hence, neither of the two methods can accurately determine Ce* and would result in under-/over-estimation of the true Ce*.
5. Discussion
5.1. Timing of Magmatism and its Related W Mineralization
LA-ICP-MS zircon U-Pb dating suggests that the Xianglushan granite was formed at 125 ± 1 Ma, coeval to the W mineralization (scheelite Sm-Nd age: 121 ± 11 Ma [23]). Moreover, the molybdenite Re-Os age and 40Ar-39Ar dating of muscovite are also consistent with the U-Pb zircon age of 125 ± 1 Ma for the biotite granite. On the basis of the LA-ICP-MS zircon U-Pb, molybdenite Re-Os, and muscovite 40Ar-39Ar ages [9,23], it is concluded that W mineralization at the Xianglushan deposit is genetically associated with the biotite granite. Magmatism and mineralization in the Xianglushan deposit occurred during the Early Cretaceous. Additionally, published age data indicate two late Mesozoic (Yanshanian) magmatic event in Jiangxi Province (Table 3; Figure 8): The first Late Jurassic-Early Cretaceous events occurred mainly at 160–140 Ma, e.g., the emplacement of ore-related granite (porphyries) at the Zhuxi W-Cu (148–152 Ma) and Xihuashan W deposits (158–161 Ma) [13].The second event occurred mainly at 135–120 Ma, e.g., the Xianglushan granite (ca. 125 Ma; this study). It is noteworthy that both magmatic events were reported at the Dahutang W deposit (Table 3), and both events may have been ore-related [49,50]. In summary, the Yanshanian magmatism and its related W mineralization in southern Jiangxi Province occurred in a relatively confined period of time, while the magmatism and related W-Cu-(Mo) mineralization in northern Jiangxi Province are characterized by occurring as multi-phases at a wider age span.
Table 3.
Yanshanian granites and related W deposits in Jiangxi Province selected for this study.
Figure 8.
Histogram of granite ages in Jiangxi Province. Age data are listed in Table 3.
5.2. εHf(t) Variation and Ore Material Source
Previous studies demonstrated that the W mineralization is closely related with Cu-(Mo) mineralization in northern Jiangxi Province, which is uncommon worldwide outside of South China [2,23,47]. Tungsten is an a lithophile element due to a valence of +6 in nature. Currently, over 20 W-bearing minerals (notably wolframite and scheelite) have been identified in nature [2,10,47,55,56]. The increase of oxygen content between the core and the mantle leads to the separation of tungsten from the core and its entry into the mantle [47,57]. Meanwhile, tungsten is an incompatible element and tends to accumulate in the crust during the crust mantle process and evolution. O’Neill et al. [57] reported that partition coefficients for W between silicate and Fe-rich metal will be highly increased under reduced condition. Unlike W, the oxidized magma is beneficial for Cu-(Au)-Mo mineralization through controlling the valence of sulfur. Thus, W and Cu tend to be enriched in the crust and mantle, respectively [10,12,18].
In this study, W-bearing granites from both the northern and southern Jiangxi Province have negative εHf(t) values (−14.9 to −2.4). Moreover, the Hf two-stage model age vary from 1085 to 1634 Ma and the Hf two-stage model of the individual granite is relatively uniform in age, indicating that these granites may have mainly crustal source [47]. Meanwhile, the ɛHf(t) values of ore-related granites in northern Jiangxi Province are clearly higher than those in southern Jiangxi Province. As shown in Figure 5c, compared to the ore-related granites in southern Jiangxi Province, those in northern Jiangxi Province have the younger TDM2 age which indicates the major source difference between the northern and southern magmas. This may have caused by partial melting of different metamorphic substrates [12,24,56]. According to the whole-rock geochemical data, granites in southern Jiangxi Province have higher SiO2, but lower Al2O3, TiO2 and MgO, and significantly lower P2O5 contents. The A/CNK-A/NK diagram suggests that W ore-related granites from both southern and northern Jiangxi Province are peraluminous. In addition, the ore-bearing granites in southern Jiangxi Province have higher Rb/Sr, but lower Zr/Hf, LREE/HREE and Eu/Eu* than their northern Jiangxi counterparts. By comparing the granite whole-rock 87Sr/86Sr and εNd(t) values from northern Jiangxi Province and those of the Neoproterozoic Shuangqiaoshan Group, Su and Jiang [48] proposed that the former may have partly originated from the latter, which contains much higher contents of W (avg. 9.13 ppm) and Cu (avg. 38.1 ppm) than the average continental crust (W: 1 ppm, Cu: 27 ppm; [47]). Comparatively, both the ore-related granites and wall-rock sequences in southern Jiangxi Province have high W background contents [47,48], which may have contributed some ore-forming materials for the (super)-large W mineralization in the region. Notably, differences in Sr/Sr, Nd and Hf isotopes of granites in north and south do indicate probable differences in the source [8,47]. But the geochemical characteristics as lower Zr/Hf, Eu/Eu, Al2O3, TiO2, and MgO or higher SiO2 and Rb/Sr might be most probably related to differences in the fractionation of these magmas [13,43,58], that is, this probably indicates that granites from the south are more evolved that those from the north.
5.3. Oxygen Fugacity Variation and Implications
Pirajno [59] proposed that the fO2 dependency of mineralization increases in the Sn-W-Mo-Cu-Mo-Cu-Au sequence, while the Fe dependency increases in the Mo-Sn-W-Cu-Mo-Cu-Au sequence. Nevertheless, the relationship between fO2 and W mineralization is still not fully understood [18]. Some workers believed that low fO2 is beneficial to W mineralization, whereas many others suggested that fO2 plays little role in the W mineralization. Although W mineralization shows little dependence on magma fO2 in view of geochemical affinity [60], large-scale W mineralization is always closely associated with reduced granites [18,47]. In our study, no matter which calculation method is used, the fO2 of the Xianglushan granite is always lower than that of the ore-barren Ehu granite. This suggests that lower fO2 may have been beneficial for W mineralization in northern Jiangxi, e.g., at Xianglushan. It may be explained by that low fO2 facilitates W enrichment in silicate melts during source melting and magmatic differentiation. However, as shown in Figure 7, Dahutang granite has the highest fO2, and could be interpreted as having different magma sources. Based on the Hf isotope evidence, the Dahutang ore-bearing granite in northern Jiangxi Province was probably sourced from arc-type materials (of the Shuangqiaoshan Group), which commonly have high logfO2 values (NNO +1 to +3). Copper mineralization is generally associated with oxidized magmas [60,61,62,63] and can explain the coexistence of Cu and W mineralization in the northern Jiangxi Province.
Magma oxygen fugacity has been widely accepted as the most important control of Cu-Mo-Au mineralization (e.g., [5,8,47,64]). Many recent studies showed that high fO2 granitic magma is the key for Cu mineralization in northeastern Jiangxi Province. For example, the ore-related granites in the Dexing and Tongcun PCDs have likely high fO2 [11]. Meanwhile, Qiu et al. [26,62] suggested that the low magma fO2 found in several Mo ore-related and ore-barren porphyries in western Zhejiang Province may have contributed to the Cretaceous Cu-Mo mineralization gap in the Zhe-Gan-Wan region. This hypothesis is supported by our study, as shown in Figure 9 and Table 4, Nd-Sm interpolation approach yielded logfO2 values of FMQ −10.29 to +11.87 (avg. +3.54 ± 4.02) for the Late Jurassic granites (145–170 Ma) FMQ −13.00 to −5.55 (avg. −3.69 ± 4.70) for the Early Cretaceous granites (120–145 Ma). It shows that fO2 gradually decreased from Jurassic to Cretaceous (Figure 9).
Figure 9.
Log fo2 values vs. U-Pb age plot for the Yanshanian granites in Jiangxi Province (P < 0.01 and R = 0.72).
Table 4.
Statistics of oxygen fugacity data for Yanshanian granites in Jiangxi Province.
5.4. Tectonic Implications
Although the origin of strong oxidation has been still argued, a broad consensus has been reached that high oxidization is associated with subduction zone [18,36,40]. Sun et al. [18,59] proposed that subduction zone can release fluids to elevate oxygen fugacity. The closer distances from subduction zone are, the more fluids contribute and the higher oxygen fugacities are. For example, many hydrous (3−5 wt % water) arc magmas have high fO2, ranging from NNO + 1 to NNO + 3 [18,60]. This phenomenon likely because of high amounts of dehydration-released fluid containing a lot of oxidized materials (i.e., Fe3+, Mn4+, S6+, and C4+) in subduction zones [18,60]. Additionally, the tectonic evolution of South China in late Mesozoic remains controversial for a long time [7,25,59]. A variety of tectonic models have been presented to address the Late Mesozoic large-scale magmatism and mineralization in South China, with most models invoking subduction of the paleo-Pacific plate [2,4,62]. Based on the drifting direction of the Pacific plate before 125 Ma [18,59] and the age distribution of magmatic rocks and mineralization zonation in the Late Jurassic to the Early Cretaceous in southern China like that in the South America. Sun et al. [59] proposed that the paleo-Pacific plate was subducting from NE to SW during ca. 180–125 Ma, and from SE to NW after 125 Ma in South China. This model may explain the differences in oxygen fugacity between the Late Jurassic and the Early Cretaceous granites in South China. According to this model, the Late Jurassic granites (such as Dexing granodiorite porphyry) are input more oxidized materials from the subduction than that of Early Cretaceous (such as Xianglushan biotite granite). Hence, it is observed that fO2 of granites gradually decreased from Jurassic to Cretaceous (Figure 9). Furthermore, Dahutang granite is closer from subduction zone than that of Xihuashan granite and Dahutang granite has the higher oxygen fugacity than that of Xihuashan granite.
5.5. Implications for Zircon as an Indicator
Zircons are widely distributed in igneous rocks and have stable geochemical properties. They faithfully record the information of zircon crystallization (i.e., fO2). Moreover, with the development of analytical technology, researchers have obtained a lot of REE (rare earth element) as well as zircon age data. Ce and Eu are variable valence elements, whose valence state are affected by the redox conditions of magma. Unlike CeN/CeN*, EuN/EuN* in zircon is generally affected by the crystallization of plagioclase [18,40]. Hence, most researchers use Ce anomalies of zircon/melt distribution coefficients (Di) to estimate the oxygen fugacity. A series of oxygen fugacity barometers have been developed based on Ce anomalies to indicate the redox conditions of magma since 2002 [37,43,64]. However, these methods produced a wide range of Ce/Ce* (fO2) values which vary by up to 3 orders of magnitude for a single rock in some studies [43]. In this study, all zircon CeN/CeN* ratios from selected granites also show a wide range (Figure 6 and Figure 7). The cause of this phenomenon has not been well understood [40,43]. One possibility is that some tiny inclusions (i.e., monazite, apatite, and titanite) frequently can be detected in zircon. Meanwhile, as shown in Figure 6, no matter which calculation method is used, the fO2 of the Xianglushan granite is always lower than that of the ore-barren Ehu granite. Therefore, it is suggested that zircon fO2 may be still used as an indicator to discriminate ore-bearing and barren granites in areas of W mineralization.
6. Conclusions
- LA-ICP-MS zircon U-Pb dating of the Xianglushan biotite granite yielded an Early Cretaceous age (125 ± 1 Ma). Age compilation indicates that the magmatism and W-Cu-(Mo) mineralization in northern Jiangxi Province are characterized by being multiphase, while the magmatism and W mineralization in southern Jiangxi Province occurred mainly in the Middle to Late Jurassic (165–150 Ma).
- The ore-related granites in northern Jiangxi Province have a younger TDM2 age and clearly higher εHf(t) values than those in southern Jiangxi Province, which seem to indicate a major source difference between the northern and southern granitic magmas in Jiangxi Province.
- Compared with the coeval ore-barren Ehu granites, the low fO2 of the ore-related Xianglushan granite may have caused the W enrichment and mineralization, whilst the high fO2 of the Dahutang granite may have facilitated the coexistence of Cu and W mineralization. Zircon fO2 may be still used as an indicator to discriminate ore-bearing and barren granites in some cases.
- Variation of oxygen fugacity among different granites may support a model that the Paleo-Pacific plate was subducting southwestwardly, as proposed in some previous studies.
Author Contributions
X.-Y.L. conceived and designed the experiments; X.-Y.L. and J.-R.Z. performed the experiments; J.-R.Z. and X.-Y.L. analyzed the data; X.-Y.L. wrote the paper, assisted by all other authors; and C.-K.L. revised the manuscript. All authors have read and agreed to the published version of the manuscript.
Funding
This research was funded by the NSFC-China (418030401 and 41802251) and the China Scholarship Council Fund (201406380063).
Acknowledgments
We are grateful to the L.-L. Yuan for assistance with the sampling, and H. Song for the fruitful discussion. We appreciate Wei Gao for helping with the LA-ICP-MS analyses.
Conflicts of Interest
The authors declare no conflict of interest.
Appendix A
Table A1.
Crystallization temperatures, Ce anomalies, and magma oxygen fugacity of zircon grains from the Xianglushan, Dahutang, and Xihuashan granites.
Table A1.
Crystallization temperatures, Ce anomalies, and magma oxygen fugacity of zircon grains from the Xianglushan, Dahutang, and Xihuashan granites.
| Spot No. | δCe a | δCe b | δEu | T (°C) | Age (Ma) | logfO2 a | FMQ a | logfO2 b | FMQ b |
|---|---|---|---|---|---|---|---|---|---|
| Xianglushan | |||||||||
| 1 | 3 | 3 | 0.09 | 694 | 129 | −27.23 | −9.29 | −26.07 | −8.14 |
| 2 | 2 | 2 | 0.08 | 710 | 126 | −27.69 | −10.22 | −26.62 | −9.16 |
| 3 | 3 | 4 | 0.09 | 696 | 128 | −26.38 | −8.51 | −25.21 | −7.33 |
| 4 | 4 | 7 | 0.08 | 676 | 124 | −26.82 | −8.36 | −24.39 | −5.93 |
| 5 | 2 | 2 | 0.10 | 676 | 128 | −29.28 | −10.83 | −28.48 | −10.02 |
| 6 | 21 | 50 | 0.16 | 675 | 126 | −20.36 | −1.88 | −17.04 | 1.44 |
| 7 | 4 | 4 | 0.11 | 681 | 127 | −26.09 | −7.76 | −25.91 | −7.59 |
| 8 | 4 | 10 | 0.09 | 736 | 122 | −22.92 | −6.15 | −19.74 | −2.97 |
| 9 | 15 | 45 | 0.12 | 719 | 126 | −19.27 | −2.04 | −15.06 | 2.17 |
| 10 | 2 | 3 | 0.07 | 719 | 123 | −26.27 | −9.05 | −25.21 | −7.99 |
| 11 | 43 | 89 | 0.09 | 675 | 122 | −17.60 | 0.88 | −14.87 | 3.62 |
| 12 | 2 | 4 | 0.08 | 718 | 123 | −26.20 | −8.94 | −24.37 | −7.12 |
| 13 | 1 | 2 | 0.07 | 666 | 129 | −30.79 | −12.01 | −29.78 | −11.00 |
| 14 | 3 | 3 | 0.08 | 672 | 129 | −28.37 | −9.78 | −27.62 | −9.03 |
| 15 | 4 | 6 | 0.08 | 693 | 122 | −25.88 | −7.92 | −23.84 | −5.87 |
| 16 | 13 | 48 | 0.12 | 692 | 127 | −21.08 | −3.08 | −16.28 | 1.71 |
| 17 | 5 | 8 | 0.10 | 684 | 129 | −25.55 | −7.34 | −23.33 | −5.11 |
| 18 | 2 | 1 | 0.09 | 728 | 124 | −27.27 | −10.30 | −27.52 | −10.55 |
| 19 | 2 | 3 | 0.11 | 786 | 124 | −23.41 | −7.93 | −22.25 | −6.78 |
| 20 | 5 | 7 | 0.10 | 682 | 123 | −25.60 | −7.31 | −23.81 | −5.52 |
| 21 | 2 | 2 | 0.05 | 674 | 124 | −29.96 | −11.45 | −29.19 | −10.68 |
| 22 | 1 | 1 | 0.10 | 703 | 123 | −28.87 | −11.20 | −30.20 | −12.53 |
| 23 | 2 | 2 | 0.10 | 704 | 122 | −27.56 | −9.93 | −27.52 | −9.89 |
| 24 | 1 | 1 | 0.09 | 712 | 123 | −28.88 | −11.48 | −29.69 | −12.28 |
| 25 | 2 | 2 | 0.10 | 688 | 122 | −28.42 | −10.31 | −28.44 | −10.32 |
| 26 | 1 | 1 | 0.15 | 714 | 122 | −28.11 | −10.75 | −29.59 | −12.24 |
| 27 | 1 | 1 | 0.10 | 685 | 126 | −29.69 | −11.50 | −31.19 | −13.00 |
| 28 | 2 | 2 | 0.07 | 707 | 125 | −27.84 | −10.29 | −27.37 | −9.81 |
| 29 | 2 | 2 | 0.10 | 741 | 123 | −25.60 | −8.97 | −25.60 | −8.97 |
| 30 | 2 | 2 | 0.08 | 655 | 126 | −30.37 | −11.24 | −30.37 | −11.24 |
| 31 | 9 | 16 | 0.08 | 765 | 126 | −18.75 | −2.75 | −16.58 | −0.58 |
| 32 | 3 | 3 | 0.06 | 655 | 126 | −28.79 | −9.69 | −28.79 | −9.69 |
| 33 | 2 | 1 | 0.08 | 688 | 126 | −28.42 | −10.32 | −31.03 | −12.92 |
| 34 | 56 | 7 | 0.09 | 793 | 127 | −10.55 | 4.76 | −18.38 | −3.06 |
| 35 | 2 | 2 | 0.11 | 708 | 127 | −27.33 | −9.80 | −27.33 | −9.80 |
| 36 | 13 | 39 | 0.08 | 712 | 127 | −20.08 | −2.65 | −15.94 | 1.48 |
| 37 | 2 | 4 | 0.06 | 760 | 128 | −24.66 | −8.53 | −22.05 | −5.92 |
| 38 | 7 | 10 | 0.11 | 683 | 128 | −24.01 | −5.74 | −22.67 | −4.40 |
| 39 | 2 | 2 | 0.11 | 700 | 129 | −27.73 | −9.99 | −27.73 | −9.99 |
| 40 | 2 | 2 | 0.11 | 726 | 129 | −26.35 | −9.33 | −26.35 | −9.33 |
| Dahutang | |||||||||
| D27-10 | 26 | 41 | 0.31 | 762 | 142 | −14.94 | 1.13 | −13.13 | 2.94 |
| D27-11 | 27 | 16 | 0.33 | 841 | 151 | −11.21 | 3.00 | −13.11 | 1.10 |
| D27-12 | 55 | 43 | 0.32 | 770 | 146 | −11.65 | 4.21 | −12.56 | 3.30 |
| D27-17 | 4 | 5 | 0.09 | 731 | 142 | −23.42 | −6.55 | −22.46 | −5.59 |
| D27-20 | 45 | 29 | 0.46 | 719 | 148 | −15.01 | 2.21 | −16.61 | 0.61 |
| D27-21 | 9 | 13 | 0.08 | 746 | 144 | −19.51 | −3.03 | −18.18 | −1.69 |
| D27-23 | 13 | 13 | 0.27 | 758 | 150 | −17.59 | −1.41 | −17.77 | −1.58 |
| D27-24 | 12 | 14 | 0.38 | 746 | 145 | −18.45 | −1.98 | −18.06 | −1.58 |
| D27-27 | 30 | 20 | 0.30 | 790 | 141 | −13.02 | 2.37 | −14.62 | 0.77 |
| D27-32 | 19 | 13 | 0.33 | 793 | 150 | −14.64 | 0.67 | −16.07 | −0.75 |
| D27-33 | 3 | 3 | 0.10 | 723 | 139 | −25.43 | −8.31 | −24.45 | −7.34 |
| D27-34 | 15 | 9 | 0.25 | 807 | 152 | −14.93 | 0.04 | −16.89 | −1.93 |
| D27-38 | 61 | 26 | 0.37 | 736 | 140 | −12.98 | 3.78 | −16.27 | 0.49 |
| D27-44 | 9 | 3 | 0.14 | 794 | 136 | −17.56 | −2.29 | −21.08 | −5.80 |
| D32-1 | 25 | 22 | 0.37 | 744 | 143 | −16.00 | 0.54 | −16.37 | 0.17 |
| D32-21 | 20 | 24 | 0.10 | 816 | 147 | −13.29 | 1.47 | −12.62 | 2.14 |
| D32-24 | 11 | 11 | 0.14 | 789 | 139 | −16.72 | −1.31 | −16.86 | −1.44 |
| D32-25 | 2 | 4 | 0.05 | 759 | 148 | −25.50 | −9.34 | −21.94 | −5.79 |
| D32-34 | 10 | 7 | 0.10 | 720 | 145 | −20.44 | −3.26 | −21.84 | −4.66 |
| D32-35 | 59 | 55 | 0.22 | 757 | 144 | −12.06 | 4.13 | −12.30 | 3.89 |
| D32-41 | 75 | 102 | 0.48 | 745 | 154 | −11.75 | 4.76 | −10.58 | 5.93 |
| D32-43 | 25 | 23 | 0.25 | 739 | 147 | −16.20 | 0.46 | −16.42 | 0.25 |
| D32-48 | 28 | 24 | 0.26 | 774 | 146 | −14.05 | 1.71 | −14.58 | 1.18 |
| D32-58 | 9 | 21 | 0.23 | 775 | 153 | −18.30 | −2.57 | −14.98 | 0.76 |
| D32-60 | 13 | 16 | 0.43 | 755 | 142 | −17.83 | −1.57 | −17.11 | −0.85 |
| D32-61 | 9 | 3 | 0.16 | 848 | 154 | −15.15 | −1.11 | −19.34 | −5.30 |
| D32-62 | 50 | 22 | 0.56 | 709 | 155 | −15.16 | 2.34 | −18.22 | −0.72 |
| Xihuashan | |||||||||
| XHS-19-1C | 29 | 9 | 0.23 | 744 | 155.6 | −15.33 | 1.22 | −19.75 | −3.20 |
| XHS-19-1R | 2 | 4 | 0.15 | 737 | 160.7 | −25.01 | −8.30 | −22.77 | −6.05 |
| XHS-19-2C | 19 | 25 | 0.11 | 769 | 154.4 | −15.73 | 0.17 | −14.70 | 1.20 |
| XHS-19-2R | 54 | 90 | 0.16 | 724 | 152.6 | −14.07 | 3.00 | −12.10 | 4.97 |
| XHS-19-3C | 2 | 2 | 0.11 | 669 | 152.8 | −30.37 | −11.69 | −28.97 | −10.29 |
| XHS-19-3R | 12 | 37 | 0.17 | 739 | 162.2 | −18.85 | −2.17 | −14.72 | 1.96 |
| XHS-19-4C | 2 | 3 | 0.13 | 757 | 160 | −24.98 | −8.78 | −22.76 | −6.56 |
| XHS-19-4R | 6 | 8 | 0.06 | 711 | 160.1 | −22.92 | −5.47 | −21.80 | −4.34 |
| XHS-19-5C | 18 | 8 | 0.29 | 774 | 156.2 | −15.61 | 0.16 | −18.84 | −3.07 |
| XHS-19-5R | 2 | 4 | 0.14 | 701 | 160.8 | −26.98 | −9.25 | −25.40 | −7.67 |
| XHS-19-7 | 22 | 36 | 0.21 | 720 | 162.1 | −17.56 | −0.37 | −15.74 | 1.45 |
| XHS-19-8R | 6 | 5 | 0.04 | 701 | 151.8 | −23.55 | −5.84 | −24.47 | −6.76 |
| XHS-19-9C | 38 | 27 | 0.24 | 695 | 150.2 | −16.96 | 0.94 | −18.25 | −0.34 |
| XHS-19-11C | 7 | 10 | 0.17 | 762 | 156.7 | −19.78 | −3.71 | −18.39 | −2.32 |
| XHS-19-12R | 5 | 13 | 0.18 | 738 | 156.3 | −22.67 | −5.96 | −18.76 | −2.05 |
| XHS-19-13 | 4 | 9 | 0.07 | 890 | 156.8 | −16.08 | −2.90 | −13.19 | −0.01 |
| XHS-19-14 | 21 | 14 | 0.33 | 780 | 165.9 | −14.92 | 0.71 | −16.40 | −0.77 |
| XHS-19-15C | 77 | 35 | 0.18 | 678 | 150.7 | −15.25 | 3.15 | −18.21 | 0.19 |
| XHS-19-15R | 63 | 29 | 0.26 | 700 | 161.4 | −14.71 | 3.03 | −17.61 | 0.13 |
| XHS-19-16 | 2 | 2 | 0.13 | 709 | 151.5 | −28.07 | −10.58 | −27.58 | −10.08 |
| XHS-21-1R | 4 | 9 | 0.15 | 829 | 154.9 | −18.66 | −4.18 | −15.71 | −1.23 |
| XHS-21-2R | 2 | 3 | 0.07 | 800 | 156 | −22.60 | −7.46 | −20.68 | −5.54 |
| XHS-21-3C | 11 | 18 | 0.10 | 755 | 156 | −18.31 | −2.06 | −16.52 | −0.28 |
| XHS-21-3R | 4 | 9 | 0.08 | 680 | 156 | −25.88 | −7.54 | −23.11 | −4.77 |
| XHS-21-4C | 13 | 29 | 0.05 | 655 | 156 | −23.18 | −4.06 | −20.28 | −1.17 |
| XHS-21-4R | 12 | 14 | 0.10 | 684 | 156 | −22.04 | −3.83 | −21.27 | −3.05 |
| XHS-21-5C | 38 | 27 | 0.28 | 694 | 156 | −17.05 | 0.89 | −18.28 | −0.35 |
| XHS-21-5R | 57 | 56 | 0.06 | 687 | 156 | −15.86 | 2.27 | −15.96 | 2.18 |
| XHS-21-6C | 18 | 63 | 0.04 | 667 | 156 | −21.40 | −2.64 | −16.67 | 2.08 |
| XHS-21-6R | 34 | 69 | 0.10 | 654 | 156 | −19.75 | −0.61 | −17.08 | 2.07 |
| XHS-21-7C | 9 | 12 | 0.26 | 779 | 156 | −17.91 | −2.27 | −17.01 | −1.38 |
| XHS-21-8R | 4 | 10 | 0.06 | 715 | 156 | −24.19 | −6.87 | −20.85 | −3.53 |
| XHS-21-9C | 50 | 33 | 0.19 | 748 | 156 | −13.11 | 3.33 | −14.69 | 1.75 |
| XHS-21-9R | 47 | 35 | 0.21 | 723 | 156 | −14.67 | 2.45 | −15.70 | 1.41 |
| Ehu | |||||||||
| D019-07 | 25 | 22 | 0.05 | 769 | 131.8 | −14.68 | 1.22 | −15.10 | 0.79 |
| D019-10 | 21 | 9 | 0.06 | 782 | 132.7 | −14.80 | 0.78 | −17.85 | −2.28 |
| D019-11 | 30 | 19 | 0.05 | 774 | 131.7 | −13.76 | 2.02 | −15.60 | 0.19 |
| D019-14 | 24 | 11 | 0.03 | 768 | 133.2 | −14.86 | 1.06 | −17.94 | −2.03 |
| D019-15 | 7 | 10 | 0.02 | 830 | 132.7 | −16.59 | −2.14 | −15.33 | −0.89 |
| D019-17 | 24 | 15 | 0.04 | 752 | 131.6 | −15.63 | 0.71 | −17.56 | −1.22 |
| D019-18 | 25 | 7 | 0.08 | 790 | 130.4 | −13.70 | 1.67 | −18.47 | −3.10 |
| D019-19 | b.d. | 10 | 0.03 | 724 | 134.3 | b.d. | b.d. | −20.41 | −3.33 |
| D019-20 | 15 | 8 | 0.07 | 772 | 131.1 | −16.61 | −0.78 | −18.91 | −3.09 |
| D019-21 | b.d. | 14 | 0.03 | 754 | 133.5 | b.d. | b.d. | −17.51 | −1.22 |
| D019-22 | b.d. | 20 | 0.06 | 770 | 132.5 | b.d. | b.d. | −15.53 | 0.34 |
| D019-23 | 39 | 16 | 0.07 | 763 | 132.2 | −13.30 | 2.75 | −16.72 | −0.67 |
| D019-24 | 10 | 17 | 0.05 | 759 | 131.9 | −18.77 | −2.62 | −16.58 | −0.43 |
| D019-33 | b.d. | 12 | 0.03 | 701 | 131.3 | b.d. | b.d. | −20.83 | −3.12 |
| D019-34 | 17 | 9 | 0.03 | 745 | 131.9 | −17.36 | −0.84 | −19.58 | −3.06 |
| D019-35 | 20 | 15 | 0.03 | 741 | 132.7 | −17.00 | −0.39 | −18.10 | −1.48 |
| D019-41 | 6 | 21 | 0.04 | 743 | 134 | −21.52 | −4.95 | −16.70 | −0.12 |
| D019-43 | b.d. | 22 | 0.04 | 772 | 131.2 | b.d. | b.d. | −15.13 | 0.70 |
| D019-44 | 2 | 5 | 0.04 | 744 | 131.3 | −25.01 | −8.47 | −22.25 | −5.71 |
| D019-45 | b.d. | 14 | 0.04 | 740 | 133.4 | b.d. | b.d. | −18.31 | −1.68 |
| D019-46 | 2 | 8 | 0.04 | 724 | 131.2 | −26.23 | −9.14 | −21.41 | −4.32 |
| D019-47 | 1 | 4 | 0.05 | 834 | 131.3 | −22.56 | −8.20 | −18.56 | −4.21 |
| D019-48 | b.d. | 13 | 0.02 | 739 | 130 | b.d. | b.d. | −18.59 | −1.92 |
| D019-49 | b.d. | 24 | 0.02 | 758 | 132.3 | b.d. | b.d. | −15.36 | 0.82 |
| D019-50 | 20 | 7 | 0.07 | 731 | 132.2 | −17.49 | −0.60 | −21.38 | −4.49 |
| D019-51 | 7 | 5 | 0.06 | 739 | 131 | −21.14 | −4.48 | −22.20 | −5.54 |
| D019-55 | b.d. | 12 | 0.04 | 690 | 132.6 | b.d. | b.d. | −21.42 | −3.38 |
| D019-60 | 11 | 4 | 0.04 | 792 | 135.8 | −16.72 | −1.39 | −20.58 | −5.24 |
| D019-62 | 3 | 7 | 0.06 | 745 | 138.7 | −24.26 | −7.75 | −20.59 | −4.08 |
| D019-63 | 2 | 8 | 0.05 | 777 | 131.8 | −23.22 | −7.53 | −18.63 | −2.93 |
| D019-83 | 27 | 18 | 0.05 | 726 | 135.7 | −16.61 | 0.43 | −18.10 | −1.06 |
| D019-86 | 3 | 6 | 0.03 | 771 | 131.5 | −22.23 | −6.39 | −19.73 | −3.89 |
| D019-87 | 5 | 6 | 0.06 | 823 | 125.2 | −18.37 | −3.76 | −17.49 | −2.88 |
| D019-91 | 8 | 9 | 0.04 | 789 | 128.5 | −17.86 | −2.47 | −17.70 | −2.30 |
| D019-92 | 203 | 118 | 0.04 | 708 | 131.2 | −9.95 | 7.59 | −11.99 | 5.55 |
| D019-93 | b.d. | 95 | 0.02 | 688 | 132.2 | b.d. | b.d. | −13.90 | 4.20 |
| D019-97 | b.d. | 16 | 0.06 | 735 | 133.8 | b.d. | b.d. | −17.97 | −1.19 |
| D019-102 | b.d. | 13 | 0.05 | 786 | 132.5 | b.d. | b.d. | −16.43 | −0.96 |
| D019-111 | 1 | 3 | 0.03 | 782 | 135.1 | −25.69 | −10.13 | −21.66 | −6.10 |
| Tongcun | |||||||||
| CB-13-6-01 | 95 | 61 | 735 | 157 | −11.34 | 5.44 | −13.01 | 3.77 | |
| CB-13-6-02 | 80 | 243 | 640 | 159 | −17.37 | 2.22 | −13.20 | 6.40 | |
| CB-13-6-06 | 76 | 142 | 615 | 165 | −19.17 | 1.26 | −16.82 | 3.62 | |
| CB-13-6-16 | 51 | 254 | 623 | 158 | −20.15 | 0.01 | −14.11 | 6.05 | |
| CB-13-6-18 | 33 | 24 | 721 | 160 | −16.09 | 1.07 | −17.30 | −0.14 | |
| CB-13-6-19 | 25 | 31 | 686 | 158 | −19.02 | −0.86 | −18.16 | 0.01 | |
| CB-13-6-20 | 88 | 52 | 715 | 155 | −12.68 | 4.65 | −14.71 | 2.62 | |
| CB-13-6-29 | 34 | 245 | 613 | 167 | −22.33 | −1.82 | −14.90 | 5.60 | |
| CB-13-6-30 | 44 | 25 | 790 | 160 | −11.55 | 3.83 | −13.75 | 1.63 | |
| TC-P1-5-02 | 69 | 84 | 720 | 164 | −13.37 | 3.82 | −12.60 | 4.59 | |
| TC-P1-5-03 | 50 | 166 | 599 | 161 | −21.80 | −0.79 | −17.32 | 3.68 | |
| TC-P1-5-04 | 47 | 157 | 634 | 172 | −19.73 | 0.06 | −15.21 | 4.58 | |
| TC-P1-5-06 | 37 | 173 | 612 | 155 | −22.05 | −1.51 | −16.27 | 4.27 | |
| TC-P1-5-07 | 50 | 115 | 781 | 174 | −11.53 | 4.07 | −8.39 | 7.21 | |
| TC-P1-5-12 | 45 | 218 | 624 | 166 | −20.53 | −0.40 | −14.62 | 5.51 | |
| TC-P1-5-14 | 55 | 132 | 654 | 157 | −17.93 | 1.21 | −14.63 | 4.52 | |
| TC-P1-5-16 | 65 | 72 | 682 | 162 | −15.64 | 2.64 | −15.25 | 3.03 | |
| TC-P1-5-20 | 80 | 50 | 746 | 157 | −11.45 | 5.04 | −13.24 | 3.25 | |
| TC-P1-5-21 | 116 | 233 | 632 | 166 | −16.49 | 3.37 | −13.86 | 6.00 | |
| TC-P1-5-23 | 91 | 239 | 631 | 160 | −17.48 | 2.42 | −13.83 | 6.07 | |
| TC-P1-5-24 | 152 | 413 | 611 | 167 | −16.83 | 3.75 | −13.07 | 7.51 | |
| TC-P1-5-27 | 47 | 88 | 615 | 158 | −20.95 | −0.51 | −18.64 | 1.80 | |
| TC-P1-29-01 | 28 | 117 | 610 | 163 | −23.28 | −2.67 | −17.89 | 2.72 | |
| TC-P1-29-04 | 88 | 281 | 655 | 163 | −16.11 | 3.00 | −11.73 | 7.39 | |
| TC-P1-29-07 | 67 | 75 | 684 | 165 | −15.43 | 2.80 | −15.02 | 3.21 | |
| TC-P1-29-13 | 106 | 1083 | 635 | 163 | −16.63 | 3.14 | −7.88 | 11.88 | |
| TC-P1-29-15 | 27 | 80 | 670 | 166 | −19.62 | −0.97 | −15.55 | 3.09 | |
| TC-P1-29-16 | 46 | 117 | 623 | 165 | −20.57 | −0.41 | −17.02 | 3.14 | |
| TC-P1-29-17 | 93 | 218 | 637 | 167 | −16.98 | 2.71 | −13.80 | 5.90 | |
| TC-P1-29-20 | 22 | 241 | 613 | 171 | −23.89 | −3.39 | −14.97 | 5.54 | |
| TC-P1-29-27 | 38 | 222 | 670 | 167 | −18.41 | 0.23 | −11.73 | 6.92 | |
| TC-P1-29-29 | 57 | 321 | 636 | 165 | −18.90 | 0.83 | −12.40 | 7.33 | |
| Dexing | |||||||||
| FJW1-37-1 | 228 | 181 | 682 | 166 | −10.95 | 7.34 | −11.83 | 6.47 | |
| FJW1-37-2.1 | 101 | 66 | 644 | 174 | −16.23 | 3.22 | −17.81 | 1.64 | |
| FJW1-37-2 | 82 | 119 | 678 | 168 | −15.00 | 3.39 | −13.59 | 4.80 | |
| FJW1-37-2.2 | b.d. | 204 | 669 | 169 | b.d. | b.d. | −12.11 | 6.57 | |
| FJW1-37-3 | 280 | 195 | 671 | 170 | −10.81 | 7.81 | −12.17 | 6.45 | |
| FJW1-37-4 | 92 | 79 | 679 | 167 | −14.52 | 3.86 | −15.08 | 3.30 | |
| FJW1-37-5 | 347 | 167 | 670 | 173 | −10.02 | 8.61 | −12.78 | 5.86 | |
| FJW1-37-7 | b.d. | 221 | 665 | 164 | b.d. | b.d. | −12.01 | 6.78 | |
| FJW1-37-8 | 64 | 91 | 687 | 165 | −15.41 | 2.71 | −14.09 | 4.04 | |
| FJW1-37-11 | 126 | 155 | 676 | 169 | −13.53 | 4.94 | −12.74 | 5.73 | |
| FJW1-37-12 | 91 | 197 | 669 | 168 | −15.13 | 3.54 | −12.21 | 6.45 | |
| FJW1-37-13 | 290 | 175 | 657 | 167 | −11.47 | 7.57 | −13.37 | 5.67 | |
| FJW1-37-14 | b.d. | 192 | 668 | 171 | b.d. | b.d. | −12.40 | 6.32 | |
| FJW1-37-15 | b.d. | 207 | 664 | 166 | b.d. | b.d. | −12.35 | 6.48 | |
| FJW1-37-16 | 269 | 249 | 652 | 167 | −12.05 | 7.15 | −12.34 | 6.86 | |
| FJW1-37-17 | 223 | 156 | 690 | 166 | −10.53 | 7.50 | −11.89 | 6.14 | |
| FJW1-37-2.3 | b.d. | 150 | 693 | 165 | b.d. | b.d. | −11.90 | 6.06 | |
| FJW1-37-2.4 | b.d. | 251 | 665 | 166 | b.d. | b.d. | −11.57 | 7.24 | |
| FJW1-37-2.5 | b.d. | 164 | 681 | 169 | b.d. | b.d. | −12.24 | 6.08 | |
| FJW1-37-2.6 | b.d. | 173 | 683 | 169 | b.d. | b.d. | −11.89 | 6.35 | |
| FJW1-37-2.8 | 328 | 184 | 678 | 166 | −9.77 | 8.62 | −11.95 | 6.44 | |
| FJW1-37-2.9 | b.d. | 156 | 670 | 164 | b.d. | b.d. | −13.07 | 5.58 | |
| FJW1-37-2.10 | 399 | 252 | 677 | 165 | −9.09 | 9.34 | −10.81 | 7.61 | |
| FJW1-37-2.11 | 100 | 150 | 662 | 173 | −15.18 | 3.70 | −13.66 | 5.23 | |
| FJW1-37-2.12 | b.d. | 149 | 676 | 168 | b.d. | b.d. | −12.91 | 5.57 | |
| FJW1-37-2.13 | 217 | 289 | 684 | 166 | −11.00 | 7.22 | −9.93 | 8.29 | |
| FJW1-37-2.14 | 384 | 224 | 677 | 170 | −9.28 | 9.16 | −11.30 | 7.14 | |
| FJW1-37-2.15 | 145 | 152 | 670 | 169 | −13.34 | 5.32 | −13.16 | 5.50 | |
| FJW1-37-2.16 | 78 | 158 | 685 | 163 | −14.80 | 3.39 | −12.13 | 6.06 | |
| TC44-1 | 180 | 107 | 690 | 170 | −11.37 | 6.67 | −13.31 | 4.73 | |
| TC44-4 | b.d. | 63 | 676 | 178 | b.d. | b.d. | −16.13 | 2.34 | |
| TC44-6 | 221 | 96 | 674 | 171 | −11.48 | 7.03 | −14.62 | 3.88 | |
| TC3-1 | 150 | 143 | 710 | 170 | −10.94 | 6.53 | −11.12 | 6.35 | |
| TC3-2 | 86 | 94 | 701 | 160 | −13.54 | 4.19 | −13.19 | 4.54 | |
| TC3-3 | 81 | 121 | 674 | 170 | −15.26 | 3.25 | −13.74 | 4.77 | |
| TC3-4 | 28 | 125 | 812 | 173 | −12.27 | 2.60 | −6.69 | 8.18 | |
| TC3-5 | 260 | 112 | 669 | 172 | −11.18 | 7.50 | −14.36 | 4.32 | |
| TC3-6 | 33 | 63 | 665 | 171 | −19.15 | −0.36 | −16.73 | 2.06 | |
| TC43-1 | 259 | 184 | 657 | 176 | −11.90 | 7.14 | −13.19 | 5.85 | |
| TC43-2 | 265 | 274 | 684 | 167 | −10.24 | 7.98 | −10.11 | 8.11 | |
| TC43-3 | 322 | 162 | 700 | 176 | −8.59 | 9.15 | −11.18 | 6.56 | |
| TC43-4 | 362 | 192 | 690 | 173 | −8.76 | 9.30 | −11.16 | 6.90 | |
| TC44-8 | 431 | 186 | 661 | 170 | −9.74 | 9.18 | −12.90 | 6.02 | |
| TC44-9 | b.d. | 179 | 657 | 169 | b.d. | b.d. | −13.32 | 5.74 | |
| TC44-10 | b.d. | 177 | 686 | 173 | b.d. | b.d. | −11.68 | 6.49 | |
| TC44-13 | b.d. | 213 | 627 | 170 | b.d. | b.d. | −14.49 | 5.52 | |
| TC44-14 | b.d. | 207 | 658 | 166 | b.d. | b.d. | −12.69 | 6.32 | |
| TC44-15 | 330 | 211 | 670 | 175 | −10.22 | 8.42 | −11.90 | 6.74 | |
| TC44-16 | 240 | 201 | 659 | 173 | −12.05 | 6.92 | −12.72 | 6.25 | |
| TC44-17 | b.d. | 106 | 677 | 178 | b.d. | b.d. | −14.13 | 4.31 | |
| TC44-19 | 206 | 175 | 666 | 167 | −12.25 | 6.53 | −12.87 | 5.91 | |
| TC3-9 | 354 | 165 | 655 | 171 | −10.85 | 8.26 | −13.74 | 5.37 | |
| TC3-10 | b.d. | 225 | 672 | 171 | b.d. | b.d. | −11.56 | 7.03 | |
| TC3-12 | 392 | 198 | 676 | 176 | −9.24 | 9.23 | −11.81 | 6.66 | |
| TC3-13 | 264 | 346 | 688 | 173 | −10.03 | 8.07 | −9.00 | 9.09 | |
| TC3-14 | 397 | 180 | 665 | 175 | −9.85 | 8.96 | −12.83 | 5.98 | |
| TC3-15 | b.d. | 226 | 659 | 169 | b.d. | b.d. | −12.31 | 6.68 | |
| TC3-16 | 422 | 252 | 685 | 162 | −8.46 | 9.74 | −10.40 | 7.80 | |
| TC3-17 | 357 | 192 | 674 | 158 | −9.72 | 8.81 | −12.05 | 6.48 | |
| TC3-18 | 43 | 110 | 671 | 172 | −17.82 | 0.79 | −14.28 | 4.32 | |
| TC3-19 | b.d. | 184 | 691 | 168 | b.d. | b.d. | −11.25 | 6.77 | |
| TC3-20 | 243 | 204 | 674 | 160 | −11.17 | 7.37 | −11.83 | 6.71 | |
| TC3-21 | 175 | 210 | 667 | 169 | −12.80 | 5.94 | −12.11 | 6.63 | |
| TC3-22 | 383 | 164 | 680 | 172 | −9.07 | 9.26 | −12.26 | 6.07 | |
| TC3-23 | 258 | 179 | 666 | 164 | −11.37 | 7.39 | −12.75 | 6.01 | |
| TC3-24 | 371 | 171 | 666 | 162 | −10.02 | 8.75 | −12.94 | 5.83 | |
| TC3-25 | b.d. | 126 | 686 | 167 | b.d. | b.d. | −12.92 | 5.24 | |
| TC3-26 | 429 | 151 | 698 | 161 | −7.66 | 10.16 | −11.59 | 6.22 | |
| TC3-27 | 389 | 142 | 668 | 166 | −9.73 | 8.98 | −13.53 | 5.18 | |
| TC3-28 | b.d. | 290 | 654 | 179 | b.d. | b.d. | −11.68 | 7.47 | |
| TC3-29 | 230 | 67 | 681 | 167 | −10.93 | 7.38 | −15.58 | 2.73 | |
| TC3-30 | 439 | 251 | 674 | 178 | −8.90 | 9.61 | −11.00 | 7.51 | |
| TC3-32 | 30 | 124 | 685 | 175 | −18.42 | −0.23 | −13.04 | 5.15 | |
| TC3-33 | b.d. | 221 | 673 | 169 | b.d. | b.d. | −11.56 | 6.99 | |
| TC3-34 | 386 | 201 | 683 | 172 | −8.87 | 9.37 | −11.33 | 6.91 | |
| TC43-6 | 391 | 194 | 687 | 173 | −8.60 | 9.53 | −11.23 | 6.90 | |
| TC43-7 | 314 | 138 | 660 | 174 | −10.99 | 7.96 | −14.09 | 4.86 | |
| TC43-8 | b.d. | 178 | 688 | 173 | b.d. | b.d. | −11.53 | 6.57 | |
| TC43-9 | b.d. | 162 | 697 | 173 | b.d. | b.d. | −11.40 | 6.45 | |
| TC43-10 | b.d. | 192 | 658 | 167 | b.d. | b.d. | −13.01 | 6.03 | |
| TC43-11 | b.d. | 182 | 702 | 175 | b.d. | b.d. | −10.66 | 7.04 | |
| TC43-12 | b.d. | 240 | 657 | 171 | b.d. | b.d. | −12.19 | 6.86 | |
| TC43-13 | 333 | 268 | 680 | 166 | −9.62 | 8.72 | −10.42 | 7.92 | |
| TC43-14 | b.d. | 239 | 657 | 176 | b.d. | b.d. | −12.24 | 6.82 | |
| TC43-15 | 293 | 180 | 672 | 167 | −10.54 | 8.03 | −12.38 | 6.19 | |
| TC43-16 | 303 | 156 | 686 | 171 | −9.61 | 8.54 | −12.10 | 6.05 | |
| TC43-17 | b.d. | 228 | 653 | 172 | b.d. | b.d. | −12.65 | 6.54 | |
| TC43-20 | b.d. | 199 | 680 | 176 | b.d. | b.d. | −11.59 | 6.77 | |
| Shangjieshou | |||||||||
| CB-7-1-02 | 6 | 9 | 651 | 134 | −26.75 | −7.51 | −24.89 | −5.65 | |
| CB-7-1-03 | 23 | 87 | 702 | 134 | −18.42 | −0.73 | −13.43 | 4.27 | |
| CB-7-1-04 | 11 | 10 | 682 | 138 | −22.40 | −4.12 | −22.61 | −4.33 | |
| CB-7-1-07 | 17 | 51 | 730 | 136 | −18.16 | −1.24 | −13.98 | 2.94 | |
| CB-7-1-08 | 22 | 84 | 644 | 141 | −22.00 | −2.53 | −16.96 | 2.51 | |
| CB-7-1-09 | 25 | 94 | 644 | 138 | −21.51 | −2.04 | −16.50 | 2.96 | |
| CB-7-1-10 | 20 | 63 | 651 | 137 | −22.01 | −2.76 | −17.61 | 1.63 | |
| CB-7-1-11 | 6 | 3 | 656 | 143 | −25.97 | −6.89 | −28.47 | −9.38 | |
| CB-7-1-12 | 22 | 80 | 701 | 146 | −18.65 | −0.93 | −13.82 | 3.90 | |
| CB-7-1-15 | 5 | 2 | 645 | 145 | −27.43 | −7.99 | −30.89 | −11.46 | |
| CB-7-1-16 | 27 | 129 | 657 | 141 | −20.41 | −1.36 | −14.54 | 4.51 | |
| CB-7-1-17 | 11 | 19 | 680 | 142 | −22.53 | −4.19 | −20.45 | −2.11 | |
| CB-7-1-18 | 7 | 3 | 675 | 136 | −24.53 | −6.04 | −27.78 | −9.29 | |
| CB-7-1-19 | 15 | 29 | 716 | 137 | −19.19 | −1.90 | −16.87 | 0.43 | |
| CB-7-1-20 | 11 | 13 | 658 | 136 | −23.80 | −4.79 | −23.19 | −4.17 | |
| CB-7-1-21 | 11 | 10 | 659 | 146 | −23.83 | −4.85 | −24.04 | −5.05 | |
| CB-7-1-22 | 18 | 51 | 682 | 138 | −20.43 | −2.15 | −16.57 | 1.71 | |
| CB-7-1-23 | 11 | 11 | 655 | 145 | −23.86 | −4.75 | −23.92 | −4.81 | |
| CB-7-1-24 | 17 | 50 | 721 | 143 | −18.55 | −1.38 | −14.47 | 2.69 | |
| CB-7-1-25 | 10 | 31 | 701 | 141 | −21.68 | −3.96 | −17.38 | 0.35 | |
| CB-7-1-26 | 6 | 16 | 694 | 146 | −24.15 | −6.23 | −20.22 | −2.29 | |
| CB-7-1-27 | 21 | 61 | 704 | 142 | −18.71 | −1.08 | −14.64 | 3.00 | |
Notes: (1) Temperatures were calculated with the Ti-in-zircon thermometer [37]. (2) Oxygen fugacities were calculated by the method proposed by [43]. (3) Trace elements data from [5] for Dahutang complex, Qiu et al. [26] for Ehu granite and Yang et al. [28] for Xihuashan granite. b.d. = below the detection limit. “a “and “b” mean the values are calculated by the La-Pr and Nd-Sm interpolation methods respectively.
Table A2.
Zircon Hf isotope data of the Dahutang and Xihuashan granites.
Table A2.
Zircon Hf isotope data of the Dahutang and Xihuashan granites.
| Spot | 176Yb/177Hf | 176Lu/177Hf | 176Hf/177Hf | εHf(t) | TDM2(Ma) |
|---|---|---|---|---|---|
| Dahutang | |||||
| 1 | 0.0029405 | 0.0000436 | 0.2824949 | −6.5 | 1042 |
| 2 | 0.0118261 | 0.0002274 | 0.2824995 | −6.4 | 1078 |
| 3 | 0.0069998 | 0.0001264 | 0.2825899 | −3.1 | 1143 |
| 4 | 0.0250298 | 0.0005874 | 0.2825216 | −5.6 | 1166 |
| 5 | 0.0182471 | 0.0003612 | 0.2824659 | −7.6 | 1194 |
| 6 | 0.0328127 | 0.0006971 | 0.2825122 | −5.9 | 1195 |
| 7 | 0.0013712 | 0.0000202 | 0.2824347 | −8.6 | 1210 |
| 8 | 0.0056955 | 0.0000978 | 0.2825509 | −4.5 | 1219 |
| 9 | 0.0160187 | 0.0003447 | 0.2824923 | −6.6 | 1229 |
| 10 | 0.0205019 | 0.0004278 | 0.2824932 | −6.6 | 1236 |
| 11 | 0.0593198 | 0.0012226 | 0.2826147 | −2.4 | 1241 |
| 12 | 0.0240443 | 0.0004526 | 0.2825063 | −6.1 | 1242 |
| 13 | 0.0373943 | 0.0008386 | 0.2824021 | −10 | 1250 |
| 14 | 0.0358791 | 0.0008128 | 0.2825389 | −5.2 | 1286 |
| 15 | 0.0435529 | 0.0008814 | 0.2824529 | −8.2 | 1310 |
| 16 | 0.0209965 | 0.0004417 | 0.2824873 | −7 | 1336 |
| 17 | 0.0240384 | 0.0004984 | 0.282521 | −5.8 | 1394 |
| Xihuashan | |||||
| XHS-19-1 | 0.02924 | 0.00102 | 0.282296 | −13.5 | 1473 |
| XHS-19-2 | 0.01224 | 0.00045 | 0.282298 | −13.4 | 1475 |
| XHS-19-3 | 0.06476 | 0.00209 | 0.28231 | −13.1 | 1480 |
| XHS-19-4 | 0.03147 | 0.00108 | 0.282346 | −11.7 | 1481 |
| XHS-19-5 | 0.03242 | 0.00121 | 0.282274 | −14.3 | 1482 |
| XHS-19-6 | 0.02409 | 0.00085 | 0.282323 | −12.5 | 1487 |
| XHS-19-7 | 0.02377 | 0.00084 | 0.282271 | −14.3 | 1488 |
| XHS-19-9 | 0.02463 | 0.00087 | 0.282345 | −11.7 | 1490 |
| XHS-19-10 | 0.05415 | 0.00187 | 0.282352 | −11.6 | 1490 |
| XHS-19-11 | 0.03011 | 0.001 | 0.282257 | −14.9 | 1498 |
| XHS-19-13 | 0.03034 | 0.00106 | 0.282333 | −12.2 | 1501 |
| XHS-19-14 | 0.03688 | 0.00137 | 0.28234 | −12 | 1502 |
| XHS-19-16 | 0.04093 | 0.00155 | 0.282306 | −13.2 | 1504 |
| XHS-19-17 | 0.03498 | 0.00118 | 0.282287 | −13.8 | 1505 |
| XHS-19-18 | 0.03031 | 0.00106 | 0.282306 | −13.1 | 1509 |
| XHS-19-19 | 0.02442 | 0.0009 | 0.282344 | −11.8 | 1512 |
| XHS-19-20 | 0.02868 | 0.00107 | 0.282349 | −11.6 | 1515 |
| XHS-9-8 | 0.13465 | 0.00438 | 0.282339 | −12.3 | 1520 |
| XHS-9-10 | 0.05669 | 0.00197 | 0.282323 | −12.6 | 1524 |
| XHS-9-15 | 0.13349 | 0.00445 | 0.28232 | −13 | 1530 |
| XHS-9-17 | 0.07194 | 0.00274 | 0.282331 | −12.4 | 1547 |
| XHS-9-18 | 0.07813 | 0.00286 | 0.282343 | −12 | 1552 |
| XHS-9-19 | 0.04143 | 0.00151 | 0.282356 | −11.4 | 1553 |
| XHS-9-20 | 0.21745 | 0.00776 | 0.282351 | −12.2 | 1556 |
| XHS-10-4 | 0.02976 | 0.00103 | 0.282353 | −11.5 | 1564 |
| XHS-10-5 | 0.12769 | 0.00443 | 0.282347 | −12 | 1570 |
| XHS-10-6 | 0.02777 | 0.00105 | 0.282335 | −12.1 | 1585 |
| XHS-10-10 | 0.10121 | 0.00369 | 0.282358 | −11.6 | 1607 |
| XHS-10-18 | 0.07579 | 0.00283 | 0.282341 | −12.1 | 1610 |
| XHS-10-19 | 0.13134 | 0.00474 | 0.282355 | −11.8 | 1634 |
References
- Feng, C.Y.; Zeng, Z.L.; Zhang, D.Q.; Qu, W.J.; Du, A.D.; Li, D.X.; She, H.Q. SHRIMP zircon U–Pb and molybdenite Re–Os isotopic dating of the tungsten deposits in the Tianmenshan-Hongtaoling W–Sn orefield, southern Jiangxi Province, China, and geological implications. Ore Geol. Rev. 2011, 43, 8–25. [Google Scholar] [CrossRef]
- Feng, C.Y.; Zhao, Z.; Qu, W.J.; Zeng, Z.L. Temporal consistency between granite evolution and tungsten mineralization in Huamei’ao, southern Jiangxi Province, China: Evidence from precise zircon U-Pb, molybdenite Re-Os, and muscovite 40Ar-39Ar isotope geochronology. Ore Geol. Rev. 2015, 65, 1005–1020. [Google Scholar] [CrossRef]
- Zhang, Y.; Gao, J.F.; Ma, D.S.; Pan, J.Y. The role of hydrothermal alteration in tungsten mineralization at the Dahutang tungsten deposit, South China. Ore Geol. Rev. 2018, 95, 1008–1027. [Google Scholar] [CrossRef]
- Mao, J.W.; Xiong, B.K.; Liu, J.; Pirajno, F.; Cheng, Y.B.; Ye, H.S.; Song, S.W.; Dai, P. Molybdenite Re/Os dating, zircon U–Pb age and geochemistry of granitoids in the Yangchuling porphyry W–Mo deposit (Jiangnan tungsten ore belt), China: Implications for petrogenesis, mineralization and geodynamic setting. Lithos 2017, 286–287, 35–52. [Google Scholar] [CrossRef]
- Wei, W.; Lai, C.; Yan, B.; Zhu, X.; Song, S.; Liu, L. Petrogenesis and Metallogenic Implications of Neoproterozoic Granodiorite in the Super-Large Shimensi Tungsten-Copper Deposit in Northern Jiangxi, South China. Minerals 2018, 8, 429. [Google Scholar] [CrossRef]
- Wang, X.D.; Ni, P.; Yuan, S.D.; Wu, S.H. Fluid inclusion studies on coexisting cassiterite and quartz from the Piaotang tungsten deposit, Jiangxi Province, China. Acta Geol. Sin. 2013, 87, 850–859, (In Chinese with English Abstract). [Google Scholar]
- Yuan, S.D.; Peng, J.T.; Hu, R.Z.; Li, H.M.; Shen, N.P.; Zhang, D.L. A precise U–Pb age on cassiterite from the Xianghualing tin-polymetallic deposit (Hunan, South China). Miner. Depos. 2008, 43, 375–382. [Google Scholar] [CrossRef]
- Wei, W.F.; Shen, N.P.; Yan, B.; Lai, C.K.; Yang, J.H.; Gao, W.; Liang, F. Petrogenesis of ore-forming granites with implications for W-mineralization in the super-large Shimensi tungsten-dominated polymetallic deposit in northern Jiangxi Province, South China. Ore Geol. Rev. 2018, 95, 1123–1139. [Google Scholar] [CrossRef]
- Mao, Z.H.; Liu, J.J.; Mao, J.W.; Deng, J.; Zhang, F.; Meng, X.Y.; Xiong, B.K.; Xiang, X.K.; Luo, X.H. Geochronology and geochemistry of granitoids related to the giant Dahutang tungsten deposit, middle Yangtze River region, China: Implications for petrogenesis, geodynamic setting, and mineralization. Gondwana Res. 2015, 28, 816–836. [Google Scholar] [CrossRef]
- Pan, X.F.; Hou, Z.Q.; Zhao, M.; Chen, G.H.; Rao, J.F.; Li, Y.; Wei, J.; Ouyang, Y.P. Geochronology and geochemistry of the granites from the Zhuxi W-Cu ore deposit in South China: Implication for petrogenesis, geodynamical setting and mineralization. Lithos 2018, 304–307, 155–179. [Google Scholar] [CrossRef]
- Zhang, H.; Ling, M.X.; Liu, Y.L.; Tu, X.L.; Wang, F.Y.; Li, C.Y.; Liang, H.Y.; Yang, X.Y.; Arndt, N.T.; Sun, W.D. High oxygen fugacity and slab melting linked to Cu mineralization: Evidence from Dexing porphyry copper deposits, southeastern China. J. Geol. 2013, 121, 289–305. [Google Scholar] [CrossRef]
- Zhang, C.C.; Sun, W.D.; Wang, J.T.; Zhang, L.P.; Sun, S.J.; Wu, K. Oxygen fugacity and porphyry mineralization: A zircon perspective of Dexing porphyry Cu deposit, China. Geochim. Cosmochim. Acta 2017, 206, 343–363. [Google Scholar] [CrossRef]
- Guo, C.L.; Chen, Y.C.; Zeng, Z.L.; Lou, F.S. Petrogenesis of the Xihuashan granites in southeastern China: Constraints from geochemistry and in-situ analyses of zircon U-Pb-Hf-O isotopes. Lithos 2012, 148, 209–227. [Google Scholar] [CrossRef]
- Gardiner, N.J.; Hawkesworth, C.J.; Robb, L.J.; Whitehouse, M.J.; Roberts, M.W.; Kirkland, C.L.; Evans, N.J. Contrasting Cu-Au and Sn-W granite metallogeny through the zircon record. Trans. Inst. Min. Metall. Sect. B Appl. Earth Sci. 2017, 126, 57. [Google Scholar] [CrossRef]
- Gilder, S.A.; Keller, G.R.; Luo, M.; Goodell, P. Eastern Asia and the western Pacific timing and spatial distribution of rifting in China. Tectonophysics 1991, 197, 225–243. [Google Scholar] [CrossRef]
- Zhou, X.M.; Li, W.X. Origin of Late Mesozoic igneous rocks in Southeastern China: Implications for lithosphere subduction and underplating of mafic magmas. Tectonophysics 2000, 326, 269–287. [Google Scholar] [CrossRef]
- Hu, R.Z.; Zhou, M.F. Multiple Mesozoic mineralization events in South China—An introduction to the thematic issue. Miner. Depos. 2012, 47, 579–588. [Google Scholar] [CrossRef]
- Li, X.Y.; Chi, G.X.; Zhou, Y.Z.; Deng, T.; Zhang, J.R. Oxygen fugacity of Yanshanian granites in South China and implications for metallogeny. Ore Geol. Rev. 2017, 88, 690–701. [Google Scholar] [CrossRef]
- Mao, J.W.; Chen, Y.B.; Chen, M.H.; Pirajno, F. Major types and time–space distribution of Mesozoic ore deposits in South China and their geodynamic settings. Miner. Depos. 2013, 48, 267–294. [Google Scholar]
- Mao, J.W.; Zhang, J.D.; Pirajno, F.; Ishiyama, D.; Su, H.; Guo, C.L.; Chen, Y.C. Porphyry Cu–Au–Mo and epithermal Ag–Pb–Zn–distal hydrothermal Au deposits in the Dexing area, Jiangxi province, East China—A linked ore system. Ore Geol. Rev. 2011, 43, 203–216. [Google Scholar] [CrossRef]
- Shu, X.J.; Wang, X.L.; Sun, T.; Xu, X.; Dai, M.N.; 2011. Trace elements, U–Pb ages and Hf isotopes of zircons from Mesozoic granites in the western Nanling Range, South China: Implications for petrogenesis and W–Sn mineralization. Lithos 2011, 127, 468–482. [Google Scholar] [CrossRef]
- Zhong, J.; Chen, Y.J.; Pirajno, F.; Chen, J.; Li, J.; Qi, J.P.; Li, N. Geology, geochronology, fluid inclusion and H–O isotope geochemistry of the Luoboling porphyry Cu–Mo deposit, Zijinshan Orefield, Fujian Province, China. Ore Geol. Rev. 2014, 57, 61–77. [Google Scholar] [CrossRef]
- Dai, P.; Mao, J.W.; Wu, S.H.; Xie, G.Q.; Luo, X.H. Multiple dating and tectonic setting of the Early Cretaceous Xianglushan W deposit, Jiangxi Province, South China. Ore Geol. Rev. 2018, 95, 1161–1178. [Google Scholar] [CrossRef]
- Wu, S.H.; Mao, J.W.; Ireland, T.R.; Zhao, Z.; Yao, Y.P.; Sun, W.D. Comparative geochemical study of scheelite from the Shizhuyuan and Xianglushan tungsten skarn deposits, South China: Implications for scheelite mineralization. Ore Geol. Rev. 2019, 95, 448–464. [Google Scholar] [CrossRef]
- Qiu, J.T.; Qiu, L. Geochronology and magma oxygen fugacity of Ehu S-type granitic pluton in Zhe-Gan-Wan region, SE China. Geochemistry 2014, 3, 441–448. [Google Scholar] [CrossRef]
- Sun, K.K.; Chen, B.; Deng, J.; Ma, X.H. Source of copper in the giant Shimensi W-Cu-Mo polymetallic deposit, South China: Constraints from chalcopyrite geochemistry and oxygen fugacity of ore-related granites. Ore Geol. Rev. 2018, 101, 919–935. [Google Scholar] [CrossRef]
- Yang, J.H.; Kang, L.F.; Peng, J.T.; Zhong, H.; Gao, J.F.; Liu, L. In-situ elemental and isotopic compositions of apatite and zircon from the Shuikoushan and Xihuashan granitic plutons: Implication for Jurassic granitoid-related Cu-Pb-Zn and W mineralization in the Nanling Range, South China. Ore Geol. Rev. 2018, 93, 382–403. [Google Scholar] [CrossRef]
- Zong, K.Q.; Klemd, R.; Yuan, Y.; He, Z.Y.; Guo, J.L.; Shi, X.L.; Liu, Y.S.; Hu, Z.C.; Zhang, Z.M. The assembly of Rodinia: The correlation of early Neoproterozoic (ca. 900 Ma) high-grade metamorphism and continental arc formation in the southern Beishan Orogen, southern Central Asian Orogenic Belt (CAOB). Precambrian Res. 2017, 290, 32–48. [Google Scholar] [CrossRef]
- Hu, Z.C.; Zhang, W.; Liu, Y.S.; Gao, S.; Li, M.; Zong, K.Q.; Chen, H.H.; Hu, S.H. “Wave” signal smoothing and mercury removing device for laser ablation quadrupole and multiple collector ICP-MS analysis: Application to lead isotope analysis. Anal. Chem. 2015, 87, 1152–1157. [Google Scholar] [CrossRef]
- Liu, Y.S.; Gao, S.; Hu, Z.C.; Gao, C.G.; Zong, K.Q.; Wang, D.B. Continental and oceanic crust recycling-induced melt-peridotite interactions in the Trans-North China Orogen: U-Pb dating, Hf isotopes and trace elements in zircons of mantle xenoliths. J. Petrol. 2010, 51, 537–571. [Google Scholar] [CrossRef]
- Sláma, J.; Košler, J.; Condon, D.J.; Crowley, J.L.; Gerdes, A.; Hanchar, J.M.; Horstwood, M.S.A.; Morris, G.A.; Nasdala, L.; Norberg, N.; et al. Plešovice zircon—A new natural reference material for U-Pb and Hf isotopic microanalysis. Chem. Geol. 2008, 249, 1–35. [Google Scholar] [CrossRef]
- Ludwig, K.R. ISOPLOT 3.00: A Geochronological Toolkit for Microsoft Excel; Berkeley Geochronology Center: Berkeley, CA, USA, 2003. [Google Scholar]
- Woodhead, J.D.; Hergt, J.M.; Shelley, M.; Eggins, S.; Kemp, R. Zircon Hf-isotope analysis with an excimer laser, depth profiling, ablation of complex geometries, and concomitant age estimation. Chem. Geol. 2004, 209, 121–135. [Google Scholar] [CrossRef]
- Fisher, C.M.; Vervoort, J.D.; Hanchar, J.M. Guidelines for reporting zircon Hf isotopic data by LA-MC-ICPMS and potential pitfalls in the interpretation of these data. Chem. Geol. 2014, 363, 125–133. [Google Scholar] [CrossRef]
- Blichert-Toft, J.; Chauvel, C.; Albarede, F. Separation of Hf and Lu for high-precision isotope analysis of rock samples by magnetic sector-multiple collector ICP–MS. Contrib. Mineral. Petrol. 1997, 127, 248–260. [Google Scholar] [CrossRef]
- Trail, D.; Watson, E.B.; Tailby, N.D. Ce and Eu anomalies in zircon as proxies for the oxidation state of magmas. Geochim. Cosmochim. Acta 2012, 97, 70–87. [Google Scholar] [CrossRef]
- Ferry, J.M.; Watson, E.B. New thermodynamic models and revised calibrations for the Ti-in-zircon and Zr-in-rutile thermometers. Contrib. Mineral. Petrol. 2007, 154, 429–437. [Google Scholar] [CrossRef]
- Meng, X.Y.; Mao, J.W.; Zhang, C.Q.; Zhang, D.Y.; Liu, H. Melt recharge, fO2-T conditions, and metal fertility of felsic magmas: Zircon trace element chemistry of Cu-Au porphyries in the Sanjiang orogenic belt, southwest China. Miner. Depos. 2018, 53, 649–663. [Google Scholar] [CrossRef]
- Anders, E.; Grevesse, N. Abundances of the elements: Meteoritic and solar. Geochim. Cosmochim. Acta. 1989, 53, 197–214. [Google Scholar] [CrossRef]
- Dilles, J.H.; Kent, A.J.; Wooden, J.L.; Tosdal, R.M.; Koleszar, A.; Lee, R.G.; Farmer, L.P. Zircon compositional evidence for sulfur-degassing from ore-forming arc magmas. Econ. Geol. 2015, 110, 241–251. [Google Scholar] [CrossRef]
- Smythe, D.J.; Brenan, J.M. Magmatic oxygen fugacity estimated using zircon melt partitioning of cerium. Earth Planet. Sci. Lett. 2016, 453, 260–266. [Google Scholar] [CrossRef]
- Zhang, J.R.; Li, X.Y.; Ye, M. Research progress on Ce anomaly method for calculating oxygen fugacity of granite and applicability. Chin. Rare Earths 2018, 39, 20–27, (In Chinese with English Abstract). [Google Scholar]
- Loader, M.A.; Wilkinson, J.J.; Armstrong, R.N. The effect of titanite crystallization on Eu and Ce anomalies in zircon and its implications for the assessment of porphyry Cu deposit fertility. Earth Planet. Sci. Lett. 2017, 472, 107–119. [Google Scholar] [CrossRef]
- Blichert-Toft, J.; Albarede, F. The Lu–Hf isotope geochemistry of chondrites and the evolution of the mantle–crust system. Earth Planet. Sci. Lett. 1997, 148, 243–258. [Google Scholar] [CrossRef]
- Griffin, W.L.; Pearson, N.J.; Belousova, E.; Jackson, S.E.; van Achterbergh, E.; O’Reilly, S.Y.; Shee, S.R. The Hf isotope composition of cratonic mantle: LAM-MC-ICPMS analysis of zircon megacrysts in kimberlites. Geochim. Cosmochim. Acta 2000, 64, 133–147. [Google Scholar] [CrossRef]
- Bea, F.; Montero, P.; Molina, J.F.; Scarrow, J.H.; Cambeses, A.; Moreno, J.A. Lu-Hf ratios of crustal rocks and their bearing on zircon Hf isotope model ages: The effects of accessories. Chem. Geol. 2018, 484, 179–190. [Google Scholar] [CrossRef]
- Huang, L.C.; Jiang, S.Y. Highly fractionated S-type granites from the giant Dahutang tungsten deposit in Jiangnan Orogen, Southeast China: Geochronology, petrogenesis and their relationship with W-mineralization. Lithos 2014, 202, 207–226. [Google Scholar] [CrossRef]
- Su, H.M.; Jiang, S.Y. A comparison study of tungsten-bearing granite and related mineralization in the northern Jiangxi-southern Anhui provinces and southern Jiangxi Province in South China. Sci. China Earth Sci. 2017, 60, 1942–1958. [Google Scholar] [CrossRef]
- Xiang, X.G.; Liu, X.M.; Zhan, G.N. Discovery and prospecting significance of super large tungsten deposits in Shimensi mining area, Dahutang, Jiangxi Province. Resour. Surv. Environ. 2012, 33, 141–151, (In Chinese with English Abstract). [Google Scholar]
- Wang, X.G.; Liu, Z.Q.; Liu, S.B.; Wang, C.H.; Liu, J.G.; Wang, H.Z.; Chen, G.H.; Zhang, S.D.; Liu, X.L. LA-ICP-MS Zircon U-Pb Dating and Geochemistry of Fine Granite from Zhuxi Copper-Tungsten Mine, Jiangxi Province. Rock Miner. Test. 2015, 34, 592–599, (In Chinese with English Abstract). [Google Scholar]
- Chen, G.H.; Shu, L.S.; Shu, L.W.; Zhang, C.; Ouyang, Y.P. Geological Characteristics and Metallogenic Background of Zhuxi Tungsten (Copper) Polymetallic Deposit in the Eastern Part of the Yangtze River. Chin. Sci. Geosci. 2015, 45, 1799–1818, (In Chinese with English Abstract). [Google Scholar]
- Li, Y.; Pan, X.F.; Zhao, M.; Cheng, G.H.; Zhang, T.F.; Liu, Q.; Zhang, C. Zircon U-Pb age and geochemical characteristics of granite porphyry in Zhuxi Tungsten (Copper) Deposit, Jingdezhen, and their relationship with mineralization. Geol. Rev. 2014, 60, 693–708, (In Chinese with English Abstract). [Google Scholar]
- Li, C.H. Geochronology and Metallogenic Mech–Anism of Tungsten Deposits in the Northeastern Part of the Southeastern Margin of the Yangtze Plate. Ph.D. Dissertation, Nanjing University, Nanjing, China, 2016. (In Chinese with English Abstract). [Google Scholar]
- Zhag, J.J.; Mei, Y.P.; Wang, D.H.; Li, H. Isotopic chronology of the Xianglushan scheelite deposit in northern Jiangxi and its geological significance. J. Geol. 2009, 82, 927–931, (In Chinese with English Abstract). [Google Scholar]
- Yang, J.H.; Cheng, X.Y.; Wang, X.D. Geochronology of granites and geochemistry of ore-forming fluids in Dangping tungsten deposit, Jiangxi Province. J. Miner. 2009, 29, 339–340, (In Chinese with English Abstract). [Google Scholar]
- Wu, F.Y.; Lin, J.Q.; Wilde, S.A.; Zhang, X.O.; Yang, J.H. Nature and significance of the Early Cretaceous giant igneous event in eastern China. Earth Planet. Sci. Lett. 2005, 233, 103–119. [Google Scholar] [CrossRef]
- Ertel, W.; O’Neill, H.S.C.; Dingwell, D.B.; Spettel, B. Solubility of tungsten in a haplobasaltic melt as a function of temperature and oxygen fugacity. Geochim. Cosmochim. Acta 1996, 60, 1171–1180. [Google Scholar] [CrossRef]
- He, M.; Zheng, H.; Clift, P.D. Zircon U–Pb geochronology and Hf isotope data from the Yangtze River sands: Implications for major magmatic events and crustal evolution in Central China. Chem. Geol. 2013, 360–361, 186–203. [Google Scholar] [CrossRef]
- Sun, W.D.; Huang, R.F.; Li, H.; Hu, Y.B.; Zhang, C.C.; Sun, S.J.; Zhang, L.P.; Ding, X.; Li, C.Y.; Zartman, R.E. Porphyry deposits and oxidized magmas. Ore Geol. Rev. 2015, 65, 97–131. [Google Scholar] [CrossRef]
- Jugo, P.; Candela, P.; Piccoli, P. Magmatic sulfides and Au: Cu ratios in porphyry deposits: An experimental study of copper and gold partitioning at 850 °C, 100 MPa in a haplogranitic melt–pyrrhotite–intermediate solid solution–gold metal assemblage, at gas saturation. Lithos 1999, 46, 573–589. [Google Scholar] [CrossRef]
- Qiu, J.T.; Yu, X.Q.; Santosh, M.; Zhang, D.H.; Chen, S.Q.; Li, P.J. Geochronology and magmatic oxygen fugacity of the Tongcun molybdenum deposit, northwest Zhejiang, SE China. Miner. Depos. 2013, 48, 545–556. [Google Scholar] [CrossRef]
- Vigneresse, J.L. The role of discontinuous magma inputs in felsic magma and ore generation. Ore Geol. Rev. 2007, 30, 181–216. [Google Scholar] [CrossRef]
- Richards, J.P. The oxidation state, and sulfur and Cu contents of arc magmas: Implications for metallogeny. Lithos 2015, 233, 27–45. [Google Scholar] [CrossRef]
- Wang, F.Y.; Ling, M.X.; Ding, X.; Hu, Y.H.; Zhou, J.B.; Yang, X.Y.; Liang, H.Y.; Fan, W.M.; Sun, W. Mesozoic large magmatic events and mineralization in SE China: Oblique subduction of the Pacific plate. Int. Geol. Rev. 2011, 53, 704–726. [Google Scholar] [CrossRef]
© 2020 by the authors. Licensee MDPI, Basel, Switzerland. This article is an open access article distributed under the terms and conditions of the Creative Commons Attribution (CC BY) license (http://creativecommons.org/licenses/by/4.0/).