Identification of Mackinawite and Constraints on Its Electronic Configuration Using Mössbauer Spectroscopy
Abstract
1. Introduction
2. Materials and Methods
2.1. Sample Synthesis
- Sample S1: filtered FeS precipitate from Fe(II) and S(-II) solutions
- Sample S2: freeze-dried FeS
- Sample S3a: FeS from interaction between Fe(III) and S(-II) with low Fe/S ratio
- Sample S3b: FeS from interaction between Fe(III) and S(-II) with high Fe/S ratio
- Sample 4: FeS from pure polysulfide solution
- Sample 5: lepidocrocite (γ-FeOOH)
2.2. Mössbauer Spectroscopy
2.3. X-Ray Diffraction (XRD)
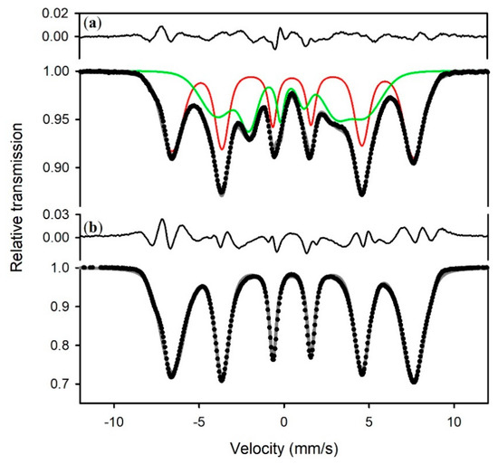
3. Results
4. Discussion
4.1. Different Spectral Patterns and Implications for Structure and Transformation Processes
4.2. Electronic Configuration of Iron in Mackinawite
4.3. Implications for Observing Mackinawite in the Environment
Author Contributions
Funding
Acknowledgments
Conflicts of Interest
References
- Rickard, D.; Luther, G.W. Chemistry of iron sulfides. Chem. Rev. 2007, 107, 514–562. [Google Scholar] [CrossRef] [PubMed]
- Hazen, R.M. Paleomineralogy of the Hadean Eon: A preliminary species list. Am. J. Sci. 2013, 313, 807–843. [Google Scholar] [CrossRef]
- Russell, M.J.; Hall, A.J. The emergence of life from iron monosulphide bubbles at a submarine hydrothermal redox and pH front. J. Geol. Soc. 1997, 154, 377–402. [Google Scholar] [CrossRef] [PubMed]
- White, L.M.; Bhartia, R.; Stucky, G.D.; Kanik, I.; Russell, M.J. Mackinawite and greigite in ancient alkaline hydrothermal chimneys: Identifying potential key catalysts for emergent life. Earth Planet. Sci. Lett. 2015, 430, 105–114. [Google Scholar] [CrossRef]
- Nakamura, R.; Okamoto, A.; Tajima, N.; Newton, G.J.; Kai, F.; Takashima, T.; Hashimoto, K. Biological iron-monosulfide production for efficient electricity harvesting from a deep-sea metal-reducing bacterium. ChemBioChem 2010, 11, 643–645. [Google Scholar] [CrossRef] [PubMed]
- Kwon, K.D.; Refson, K.; Bone, S.; Qiao, R.; Yang, W.-L.; Liu, Z.; Sposito, G. Magnetic ordering in tetragonal FeS: Evidence for strong itinerant spin fluctuations. Phys. Rev. B 2011, 83, 064402. [Google Scholar] [CrossRef]
- Lennie, A.R.; Redfern, S.A.T.; Schofield, P.F.; Vaughan, D.J. Synthesis and Rietveld crystal structure refinement of mackinawite, tetragonal FeS. Miner. Mag. 1995, 59, 677–683. [Google Scholar] [CrossRef]
- Csákberényi-Malasics, D.; Rodriguez-Blanco, J.D.; Kis, V.K.; Rečnik, A.; Benning, L.G.; Pósfai, M. Structural properties and transformations of precipitated FeS. Chem. Geol. 2012, 249–258. [Google Scholar] [CrossRef]
- Matamoros-Veloza, A.; Cespedes, O.; Johnson, B.R.G.; Stawski, T.M.; Terranova, U.; De Leeuw, N.H.; Benning, L.G. A highly reactive precursor in the iron sulfide system. Nat. Commun. 2018, 9, 1–7. [Google Scholar] [CrossRef]
- Mullet, M.; Boursiquot, S.; Abdelmoula, M.; Génin, J.-M.; Ehrhardt, J.-J. Surface chemistry and structural properties of mackinawite prepared by reaction of sulfide ions with metallic iron. Geochim. Cosmochim. Acta 2002, 66, 829–836. [Google Scholar] [CrossRef]
- Vaughan, D.J.; Craig, J.R. Mineral Chemistry of Metal Sulphides; Cambridge University Press: Cambridge, UK, 1978. [Google Scholar]
- Vaughan, D.; Ridout, M. Mössbauer studies of some sulphide minerals. J. Inorg. Nucl. Chem. 1971, 33, 741–746. [Google Scholar] [CrossRef]
- Gütlich, P.; Bill, E.; Trautwein, A. Mössbauer Spectroscopy and Transition Metal Chemistry; Springer: Berlin, Germany, 2011; p. 569. [Google Scholar]
- Gütlich, P.; Schröder, C. Mössbauer spectroscopy. In Methods in Physical Chemistry; Schäfer, R., Schmidt, P.C., Eds.; Wiley-VCH: Weinheim, Germany, 2012; Volume 2, pp. 351–389. [Google Scholar]
- Bertaut, E.; Burlet, P.; Chappert, J. Sur l’absence d’ordre magnetique dans la forme quadratique de FeS. Solid State Commun. 1965, 3, 335–338. [Google Scholar] [CrossRef]
- Bezdicka, P.; Grenier, J.-C.; Fournes, L.; Wattiaux, A.; Hagenmuller, P. Electrochemical formation of mackinawite FeS: An in situ Mössbauer resonance study. Eur. Solid State Inorg. Chem. 1989, 26, 353–365. [Google Scholar]
- Wan, M.; Schröder, C.; Peiffer, S. Fe(III):S(-II) concentration ratio controls the pathway and the kinetics of pyrite formation during sulfidation of ferric hydroxides. Geochim. Cosmochim. Acta 2017, 217, 334–348. [Google Scholar] [CrossRef]
- Morice, J.; Rees, L.; Rickard, D. Mössbauer studies of iron sulphides. J. Inorg. Nucl. Chem. 1969, 31, 3797–3802. [Google Scholar] [CrossRef]
- Devey, A.J.; Grau-Crespo, R.; De Leeuw, N.H. Combined density functional theory and interatomic potential study of the bulk and surface structures and properties of the iron sulfide mackinawite (FeS). J. Phys. Chem. C 2008, 112, 10960–10967. [Google Scholar] [CrossRef]
- Subedi, A.; Zhang, L.; Singh, D.J.; Du, M.-H. Density functional study of FeS, FeSe, and FeTe: Electronic structure, magnetism, phonons, and superconductivity. Phys. Rev. B 2008, 78, 134514. [Google Scholar] [CrossRef]
- Jacob, C.R.; Reiher, M. Spin in density-functional theory. Int. J. Quantum Chem. 2012, 112, 3661–3684. [Google Scholar] [CrossRef]
- Wan, M.; Shchukarev, A.; Lohmayer, R.; Planer-Friedrich, B.; Peiffer, S. Occurrence of surface polysulfides during the interaction between ferric (hydr)oxides and aqueous sulfide. Environ. Sci. Technol. 2014, 48, 5076–5084. [Google Scholar] [CrossRef]
- Schwertmann, U.; Cornell, R.M. Iron Oxides in the Laboratory, 2nd ed.; Wiley-VCH: Weinheim, Germany, 2000. [Google Scholar]
- Rancourt, D.; Ping, J. Voigt-based methods for arbitrary-shape static hyperfine parameter distributions in Mössbauer spectroscopy. Nucl. Instrum. Methods Phys. Res. Sect. B Beam Interact. Mater. At. 1991, 58, 85–97. [Google Scholar] [CrossRef]
- Patterson, R.R.; Fendorf, S.; Fendorf, M. Reduction of hexavalent chromium by amorphous iron sulfide. Environ. Sci. Technol. 1997, 31, 2039–2044. [Google Scholar] [CrossRef]
- Hellige, K.; Pollok, K.; Larese-Casanova, P.; Behrends, T.; Peiffer, S. Pathways of ferrous iron mineral formation upon sulfidation of lepidocrocite surfaces. Geochim. Cosmochim. Acta 2012, 81, 69–81. [Google Scholar] [CrossRef]
- Peiffer, S.; Behrends, T.; Hellige, K.; Larese-Casanova, P.; Wan, M.; Pollok, K. Pyrite formation and mineral transformation pathways upon sulfidation of ferric hydroxides depend on mineral type and sulfide concentration. Chem. Geol. 2015, 400, 44–55. [Google Scholar] [CrossRef]
- Evans, H.T.; Milton, C.; Chao, E.C.T.; Adler, I.; Mead, C.; Ingram, B.; Berner, R.A. Valleriite and the New Iron Sulfide, Mackinawite; U.S. Geological Survey Professional Paper 475-D; U.S. Geological Survey: Washington, DC, USA, 1964.
- Kouvo, O.; Vuorelainen, Y.; Long, J.V.P. A tetragonal iron sulfide. Am. Miner. 1963, 48, 511–524. [Google Scholar]
- Guilbaud, R.; Butler, I.B.; Ellam, R.M.; Rickard, D. Fe isotope exchange between Fe(II)aq and nanoparticulate mackinawite (FeSm) during nanoparticle growth. Earth Planet. Sci. Lett. 2010, 300, 174–183. [Google Scholar] [CrossRef]
- Roberts, A.P.; Chang, L.; Rowan, C.J.; Horng, C.-S.; Florindo, F. Magnetic properties of sedimentary greigite (Fe3S4): An update. Rev. Geophys. 2011, 49. [Google Scholar] [CrossRef]
- Stanjek, H. Comparison of pedogenic and sedimentary greigite by X-ray Diffraction and Mössbauer spectroscopy. Clays Clay Miner. 1994, 42, 451–454. [Google Scholar] [CrossRef]
- Vandenberghe, R.E.; De Grave, E.; De Bakker, P.M.A.; Krs, M.; Hus, J.J. Mössbauer effect study of natural greigite. Hyperfine Interact. 1992, 68, 319–322. [Google Scholar] [CrossRef]
- Kim, W.; Park, I.J.; Kim, C.S. Mössbauer study of magnetic structure of cation-deficient iron sulfide Fe0.92S. J. Appl. Phys. 2009, 105, 7. [Google Scholar] [CrossRef]
- Ok, H.N. Relaxation effects in antiferromagnetic ferrous carbonate. Phys. Rev. 1969, 185, 472–476. [Google Scholar] [CrossRef]
- Pound, R.V.; Rebka, J.A., Jr. Variation with temperature of the energy of recoil-free gamma rays from solids. Phys. Rev. Lett. 1960, 4, 274–277. [Google Scholar] [CrossRef]
- Heberle, J. The Debye integrals, the thermal shift and the Mössbauer fraction. In Mössbauer Effect Methodology; Gruverman, I.J., Ed.; Springer: Boston, MA, USA, 1971; Volume 7, pp. 299–308. [Google Scholar]
- Hafner, S.S.; Kalvius, G.M. The Mössbauer resonance of Fe57 in troilite (FeS) and pyrrhotite (Fe0.88S). Z. Krist. 1966, 123, 443–458. [Google Scholar] [CrossRef]
- Montano, P.; Seehra, M. Magnetism of iron pyrite (FeS2)—A Mössbauer study in an external magnetic field. Solid State Commun. 1976, 20, 897–898. [Google Scholar] [CrossRef]
- Temperley, A.; Lefevre, H. The Mössbauer effect in marcasite structure iron compounds. J. Phys. Chem. Solids 1966, 27, 85–92. [Google Scholar] [CrossRef]
- Spender, M.R.; Coey, J.M.D.; Morrish, A.H. The magnetic properties and Mössbauer spectra of synthetic samples of Fe3S4. Can. J. Phys. 1972, 50, 2313–2326. [Google Scholar] [CrossRef]
- De Médicis, R. Cubic FeS, a metastable iron sulfide. Science 1970, 170, 1191–1192. [Google Scholar] [CrossRef]
- Takeno, S.; Zôka, H.; Niihara, T. Metastable cubic iron sulfide—With special reference to mackinawite. Am. Miner. 1970, 55, 1639–1649. [Google Scholar]







| Sample | T | χ2 | Γ 1 | <CS> 2 | <ε> 3 or <ΔEQ> 4 | <B> 5 | σB 6 | δ0 7 | δ1 7 | ε0 8 | ε1 8 | Area 9 | Phase 10 |
|---|---|---|---|---|---|---|---|---|---|---|---|---|---|
| K | mm/s | mm/s | mm/s | T | T | mm/s | mm/s | % | |||||
| S1 | 293 | 0.5 | 0.21(1) | 0.37(1) | 100 | FeS mw | |||||||
| S1 | 5 | 0.5 | 0.23(1) | 0.49(1) | 100 | FeS mw | |||||||
| S2 | 5 | 1.0 | 0.54(1) | 0.51(1) | 36(1) | FeS mw | |||||||
| 0.52(5) | 0.05(2) | 27.9(3) | 0.3 | 0.2(2) | 0.18(1) | 0.54(12) | 0.31(6) | 64(1) | FeSx mw | ||||
| S3a | 5 | 2.1 | 0.28(1) | 0.47(3) | 0.05(1) | 27.3(1) | 0.1 | 0.13(5) | 0.18(3) | 0.49(5) | 0.29(3) | 100 | FeSx mw |
| S3a | 77 | 0.7 | 0.29(2) | 0.40(9) | 0.04(1) | 22.7(5) | 4.7 | 0.29(4) | 0.08(2) | 0.02(4) | 0.05(2) | 28(5) | FeSx mw |
| 0.40(9) | 0.04(1) | 8.9(5) | 3.5 | 0.29(4) | 0.08(2) | 0.02(4) | 0.05(2) | 72(5) | FeSx mw | ||||
| S3a | 140 | 2.5 | 0.22(1) | 0.42(3) | 1.03(3) | 0.25(2) | 0.17(2) | 100 | FeSx mw | ||||
| S3b | 5 | 22 | 0.27(1) | 0.44(6) | 0.04(2) | 27.0(5) | 5.3 | 0.11(2) | 0.18(1) | 0.26(2) | 0.16(1) | 45(5) | FeSx mw |
| 0.49(2) | 0.03(1) | 44.1(1) | 0.1 | 0.62(2) | 0.042(6) | 0.35(2) | 0.11(1) | 55(5) | γ-FeOOH | ||||
| S4 | 5 | 1.2 | 0.29(1) | 0.47(2) | 0.06(2) | 27.6(5) | 4.2 | 0.2(1) | 0.14(7) | 0.48(11) | 0.29(6) | 100 | FeSx mw |
| S5 | 5 | 170 | 0.22(1) | 0.49(1) | 0.03(1) | 44.0(1) | 3.6 | 0.57(1) | 0.03(1) | 0.30(4) | 0.09(1) | 100 | γ-FeOOH |
| Phase | IS0 1 | ΘM 2 | Reference 3 |
|---|---|---|---|
| mm/s | K | ||
| stoichiometric FeS (singlet) | 0.49(1) | 422(50) | this study |
| FeSx (27 T sextet) | 0.47(3) | 263(100) | this study |
| FeS troilite | 0.90(2) | 358(50) | [38] |
| FeS2 pyrite | 0.42(2) | 498(150) | [39,40] |
| Fe3S4 greigite A site | 0.37(2) | 638(100) | [41] |
| Fe3S4 greigite B site | 0.72(2) | 191(100) | [41] |
Publisher’s Note: MDPI stays neutral with regard to jurisdictional claims in published maps and institutional affiliations. |
© 2020 by the authors. Licensee MDPI, Basel, Switzerland. This article is an open access article distributed under the terms and conditions of the Creative Commons Attribution (CC BY) license (http://creativecommons.org/licenses/by/4.0/).
Share and Cite
Schröder, C.; Wan, M.; Butler, I.B.; Tait, A.; Peiffer, S.; McCammon, C.A. Identification of Mackinawite and Constraints on Its Electronic Configuration Using Mössbauer Spectroscopy. Minerals 2020, 10, 1090. https://doi.org/10.3390/min10121090
Schröder C, Wan M, Butler IB, Tait A, Peiffer S, McCammon CA. Identification of Mackinawite and Constraints on Its Electronic Configuration Using Mössbauer Spectroscopy. Minerals. 2020; 10(12):1090. https://doi.org/10.3390/min10121090
Chicago/Turabian StyleSchröder, Christian, Moli Wan, Ian B. Butler, Alastair Tait, Stefan Peiffer, and Catherine A. McCammon. 2020. "Identification of Mackinawite and Constraints on Its Electronic Configuration Using Mössbauer Spectroscopy" Minerals 10, no. 12: 1090. https://doi.org/10.3390/min10121090
APA StyleSchröder, C., Wan, M., Butler, I. B., Tait, A., Peiffer, S., & McCammon, C. A. (2020). Identification of Mackinawite and Constraints on Its Electronic Configuration Using Mössbauer Spectroscopy. Minerals, 10(12), 1090. https://doi.org/10.3390/min10121090

