Reduction of Hg(II) by Fe(II)-Bearing Smectite Clay Minerals
Abstract
1. Introduction
2. Materials and Methods
2.1. Clay Minerals
2.2. Preparation of Reduced Clays
2.3. Experimental Setup
2.4. Hg XAFS Analysis
3. Results and Discussion
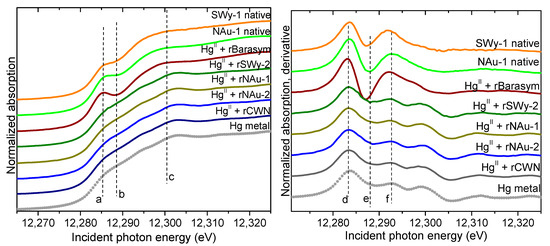
3.1. Interaction of Hg(II) with Native and CBD-Reduced Smectites
3.2. Effect of pH on Hg(II) Reduction by CBD-Reduced NAu-1
3.3. Effect of Chloride Concentration on Hg(II) Reduction by CBD-Reduced NAu-1
3.4. Environmental Relevance
Author Contributions
Funding
Acknowledgments
Conflicts of Interest
References
- Fitzgerald, W.F.; Lamborg, C.H. Geochemistry of mercury in the environment. In Environmental Geochemistry; Lollar, B.S., Ed.; Elsevier: Amsterdam, The Netherlands, 2003; Volume 9, pp. 107–148. [Google Scholar]
- Beckers, F.; Rinklebe, J. Cycling of mercury in the environment: Sources, fate, and human health implications: A review. Crit. Rev. Environ. Sci. Technol. 2017, 47, 693–794. [Google Scholar] [CrossRef]
- Stein, E.D.; Cohen, Y.; Winer, A.M. Environmental distribution and transformation of mercury compounds. Crit. Rev. Environ. Sci. Technol. 1996, 26, 1–43. [Google Scholar] [CrossRef]
- Wang, Q.; Kim, D.; Dionysiou, D.D.; Sorial, G.A.; Timberlake, D. Sources and remediation for mercury contamination in aquatic systems—A literature review. Environ. Pollut. 2004, 131, 323–336. [Google Scholar] [CrossRef] [PubMed]
- Boening, D.W. Ecological effects, transport, and fate of mercury: A general review. Chemosphere 2000, 40, 1335–1351. [Google Scholar] [CrossRef]
- Mergler, D.; Anderson, H.A.; Chan, L.H.M.; Mahaffey, K.R.; Murray, M.; Sakamoto, M.; Stern, A.H. Methylmercury exposure and health effects in humans: A worldwide concern. Ambio J. Hum. Environ. 2007, 36, 3–11. [Google Scholar] [CrossRef]
- Kim, K.H.; Kabir, E.; Jahan, S.A. A review on the distribution of Hg in the environment and its human health impacts. J. Hazard. Mater. 2016, 306, 376–385. [Google Scholar] [CrossRef] [PubMed]
- Morel, F.M.M.; Kraepiel, A.M.L.; Amyot, M. The chemical cycle and bioaccumulation of mercury. Annu. Rev. Ecol. Syst. 1998, 29, 543–566. [Google Scholar] [CrossRef]
- O’Driscoll, N.J.; Rencz, A.; Lean, D.R.S. The biogeochemistry and fate of mercury in the environment. In Metal Ions in Biological Systems; Sigel, A., Sigel, H., Sigel, R.K.O., Eds.; Taylor and Francis Group: Boca Raton, FL, USA, 2005; Volume 43, pp. 221–238. [Google Scholar]
- Schlüter, K. Review: Evaporation of mercury from soils. An integration and synthesis of current knowledge. Environ. Geol. 2000, 39, 249–271. [Google Scholar] [CrossRef]
- Selin, N.E. Global biogeochemical cycling of mercury: A review. Annu. Rev. Environ. Resour. 2009, 34, 43–63. [Google Scholar] [CrossRef]
- Canfield, D.E.; Thamdrup, B.; Hansen, J.W. The anaerobic degradation of organic matter in Danish coastal sediments: Iron reduction, manganese reduction, and sulfate reduction. Geochim. Cosmochim. Acta 1993, 57, 3867–3883. [Google Scholar] [CrossRef]
- Nealson, K.H.; Saffarini, D.A. Iron and manganese in anaerobic respiration: Environmental significance, physiology, and regulation. Annu. Rev. Microbiol. 1994, 48, 311–343. [Google Scholar] [CrossRef] [PubMed]
- Roden, E.E.; Wetzel, R.G. Organic carbon oxidation and methane production by microbial Fe(III) oxide reduction in vegetated and unvegetated freshwater wetland sediments. Limnol. Oceanogr. 1996, 41, 1733–1748. [Google Scholar] [CrossRef]
- Lovley, D.R. Fe(III) and Mn(IV) reduction. In Environmental Microbe-Metal Interactions; Lovley, D.R., Ed.; American Society for Microbiology Press: Washington, DC, USA, 2000; pp. 3–30. [Google Scholar]
- Thamdrup, B. Bacterial manganese and iron reduction in aquatic sediments. Adv. Microb. Ecol. 2000, 16, 41–84. [Google Scholar]
- Lovley, D.R.; Stolz, J.F.; Nord, G.L., Jr.; Phillips, E.J.P. Anaerobic production of magnetite by a dissimilatory iron-reducing microorganism. Nature 1987, 330, 252–254. [Google Scholar] [CrossRef]
- Fredrickson, J.K.; Zachara, J.M.; Kennedy, D.W.; Dong, H.; Onstott, T.C.; Hinman, N.W.; Li, S.-M. Biogenic iron mineralization accompanying the dissimilatory reduction of hydrous ferric oxide by a groundwater bacterium. Geochim. Cosmochim. Acta 1998, 62, 3239–3257. [Google Scholar] [CrossRef]
- Ona-Nguema, G.; Abdelmoula, M.; Jorand, F.; Benali, O.; Géhin, A.; Block, J.-C.; Génin, J.-M.R. Iron(II,III) hydroxycarbonate green rust formation and stabilization from lepidocrocite bioreduction. Environ. Sci. Technol. 2002, 36, 16–20. [Google Scholar] [CrossRef]
- Glasauer, S.; Weidler, P.G.; Langley, S.; Beveridge, T.J. Controls on Fe reduction and mineral formation by a subsurface bacterium. Geochim. Cosmochim. Acta 2003, 67, 1277–1288. [Google Scholar] [CrossRef]
- Roh, Y.; Zhang, C.-L.; Vali, H.; Lauf, R.J.; Zhou, J.; Phelps, T.J. Biogeochemical and environmental factors in Fe biomineralization: Magnetite and siderite formation. Clays Clay Miner. 2003, 51, 83–95. [Google Scholar] [CrossRef]
- Kukkadapu, R.K.; Zachara, J.M.; Fredrickson, J.K.; Kennedy, D.W.; Dohnalkova, A.C.; Mccready, D.E. Ferrous hydroxy carbonate is a stable transformation product of biogenic magnetite. Am. Mineral. 2005, 90, 510–515. [Google Scholar] [CrossRef][Green Version]
- Behrends, T.; Van Cappellen, P. Transformation of hematite into magnetite during dissimilatory iron reduction-conditions and mechanisms. Geomicrobiol. J. 2007, 24, 403–416. [Google Scholar] [CrossRef]
- Boyanov, M.I.; O’Loughlin, E.J.; Kemner, K.M. Iron phase transformations resulting from the respiration of Shewanella putrefaciens on a mixed mineral phase. J. Phys. Conf. Ser. 2009, 190, 1–4. [Google Scholar] [CrossRef]
- Shelobolina, E.; Konishi, H.; Xu, H.; Benzine, J.; Xiong, M.Y.; Wu, T.; Blothe, M.; Roden, E. Isolation of phyllosilicate-iron redox cycling microorganisms from an illite-smectite rich hydromorphic soil. Front. Microbiol. 2012, 3, 134. [Google Scholar] [CrossRef] [PubMed]
- O’Loughlin, E.J.; Gorski, C.A.; Scherer, M.M. Effects of phosphate on secondary mineral formation during the bioreduction of akaganeite (β-FeOOH): Green rust versus framboidal magnetite. Curr. Inorg. Chem. 2015, 5, 214–224. [Google Scholar] [CrossRef]
- O’Loughlin, E.J.; Gorski, C.A.; Flynn, T.M.; Scherer, M.M. Electron donor utilization and secondary mineral formation during the bioreduction of lepidocrocite by Shewanella putrefaciens CN32. Minerals 2019, 9, 434. [Google Scholar] [CrossRef]
- Hering, J.G.; Stumm, W. Oxidative and reductive dissolution of minerals. In Mineral-Water Interface Geochemistry; Hochella, M.F.J., White, A.F., Eds.; American Mineralogical Society: Washington, DC, USA, 1990; Volume 23, pp. 427–465. [Google Scholar]
- Lyngkilde, J.; Christensen, T.H. Redox zones of a landfill leachate pollution plume (Vejen, Denmark). J. Contam. Hydrol. 1992, 10, 273–289. [Google Scholar] [CrossRef]
- Rügge, K.; Hofstetter, T.B.; Haderlein, S.B.; Bjerg, P.L.; Knudsen, S.; Zraunig, C.; Mosbæk, H.; Christensen, T.H. Characterization of predominant reductants in an anaerobic leachate-contaminated aquifer by nitroaromatic probe compounds. Environ. Sci. Technol. 1998, 32, 23–31. [Google Scholar] [CrossRef]
- Cui, D.; Eriksen, T.E. Reduction of pertechnetate in solution by heterogeneous electron transfer from Fe(II)-containing geological material. Environ. Sci. Technol. 1996, 30, 2263–2269. [Google Scholar] [CrossRef]
- Patterson, R.R.; Fendorf, S.E.; Fendorf, M.J. Reduction of hexavalent chromium by amorphous iron sulfide. Environ. Sci. Technol. 1997, 31, 2039–2044. [Google Scholar] [CrossRef]
- Hansen, H.C.B.; Koch, C.B.; Nancke-Krogh, H.; Borggaard, O.K.; Sorensen, J. Abiotic nitrate reduction to ammonium: Key role of green rust. Environ. Sci. Technol. 1996, 30, 2053–2056. [Google Scholar] [CrossRef]
- Elsner, M.; Schwarzenbach, R.P.; Haderlein, S.B. Reactivity of Fe(II)-bearing minerals toward reductive transformation of organic contaminants. Environ. Sci. Technol. 2004, 38, 799–807. [Google Scholar] [CrossRef]
- Lee, W.; Batchelor, B. Reductive capacity of natural reductants. Environ. Sci. Technol. 2003, 37, 535–541. [Google Scholar] [CrossRef] [PubMed]
- Nakata, K.; Nagasaki, S.; Tanaka, S.; Sakamoto, Y.; Tanaka, T.; Ogawa, H. Reduction rate of neptunium(V) in heterogeneous solution with magnetite. Radiochim. Acta 2004, 92, 145–149. [Google Scholar] [CrossRef]
- Powell, B.A.; Fjeld, R.A.; Kaplan, D.I.; Coates, J.T.; Serkiz, S.M. Pu(V)O2+ adsorption and reduction by synthetic magnetite. Environ. Sci. Technol. 2004, 38, 6016–6024. [Google Scholar] [CrossRef] [PubMed]
- Williams, A.G.B.; Gregory, K.B.; Parkin, G.F.; Scherer, M.M. Hexahydro-1,3,5-trinitro-1,3,5-triazine transformation by biologically reduced ferrihydrite: Evolution of Fe mineralogy, surface area, and reaction rates. Environ. Sci. Technol. 2005, 39, 5183–5189. [Google Scholar] [CrossRef] [PubMed]
- Scheinost, A.C.; Charlet, L. Selenite reduction by mackinawite, magnetite and siderite: XAS characterization of nanosized redox products. Environ. Sci. Technol. 2008, 42, 1984–1989. [Google Scholar] [CrossRef]
- O’Loughlin, E.J.; Kelly, S.D.; Kemner, K.M. XAFS investigation of the interactions of UVI with secondary mineralization products from the bioreduction of FeIII oxides. Environ. Sci. Technol. 2010, 44, 1656–1661. [Google Scholar] [CrossRef]
- Kwon, M.J.; O’Loughlin, E.J.; Antonopoulos, D.; Finneran, K.T. Geochemical and microbiological processes contributing to the transformation of hexahydro-1,3,5-trinitro-1,3,5-triazine (RDX) in contaminated aquifer material. Chemosphere 2011, 84, 1223–1230. [Google Scholar] [CrossRef]
- Yan, S.; Boyanov, M.I.; Mishra, B.; Kemner, K.M.; O’Loughlin, E.J. U(VI) reduction by biogenic and abiotic hydroxycarbonate green rusts: Impacts on U(IV) speciation and stability over time. Environ. Sci. Technol. 2018, 52, 4601–4609. [Google Scholar] [CrossRef]
- O’Loughlin, E.J.; Kelly, S.D.; Kemner, K.M.; Csencsits, R.; Cook, R.E. Reduction of AgI, AuIII, CuII, and HgII by FeII/FeIII hydroxysulfate green rust. Chemosphere 2003, 53, 437–446. [Google Scholar] [CrossRef]
- Wiatrowski, H.A.; Das, S.; Kukkadapu, R.; Ilton, E.S.; Barkay, T.; Yee, N. Reduction of Hg(II) to Hg(0) by magnetite. Environ. Sci. Technol. 2009, 43, 5307–5313. [Google Scholar] [CrossRef]
- Mishra, B.; O’Loughlin, E.J.; Boyanov, M.I.; Kemner, K.M. Binding of HgII to high-affinity sites on bacteria inhibits reduction to Hg0 by mixed FeII/III phases. Environ. Sci. Technol. 2011, 45, 9597–9603. [Google Scholar] [CrossRef] [PubMed]
- Pasakarnis, T.S.; Boyanov, M.I.; Kemner, K.M.; Mishra, B.; O’Loughlin, E.J.; Parkin, G.; Scherer, M.M. Influence of chloride and Fe(II) content on the reduction of Hg(II) by magnetite. Environ. Sci. Technol. 2013, 47, 6987–6994. [Google Scholar] [CrossRef] [PubMed]
- Liu, S.; Wiatrowski, H.A. Reduction of Hg(II) to Hg(0) by biogenic magnetite from two magnetotactic bacteria. Geomicrobiol. J. 2017, 35, 198–208. [Google Scholar] [CrossRef]
- Ha, J.; Zhao, X.; Yu, R.; Barkay, T.; Yee, N. Hg(II) reduction by siderite (FeCO3). Appl. Geochem. 2017, 78, 211–218. [Google Scholar] [CrossRef]
- Bone, S.E.; Bargar, J.R.; Sposito, G. Mackinawite (FeS) reduces mercury(II) under sulfidic conditions. Environ. Sci. Technol. 2014, 48, 10681–10689. [Google Scholar] [CrossRef]
- Charlet, L.; Bosbach, D.; Peretyashko, T. Natural attenuation of TCE, As, Hg, linked to the heterogeneous oxidation of Fe(II): An AFM study. Chem. Geol. 2002, 190, 303–319. [Google Scholar] [CrossRef]
- Amirbahman, A.; Kent, D.B.; Curtis, G.P.; Marvin-Dipasquale, M.C. Kinetics of homogeneous and surface-catalyzed mercury(II) reduction by iron(II). Environ. Sci. Technol. 2013, 47, 7204–7213. [Google Scholar] [CrossRef]
- Brigatti, M.F.; Colonna, S.; Malferrari, D.; Medici, L.; Poppi, L. Mercury adsorption by montmorillonite and vermiculite: A combined XRD, TG-MS, and EXAFS study. Appl. Clay Sci. 2005, 28, 1–8. [Google Scholar] [CrossRef]
- Green-Ruiz, C. Effect of salinity and temperature on the adsorption of Hg(II) from aqueous solutions by a Ca-montmorillonite. Environ. Technol. 2009, 30, 63–68. [Google Scholar] [CrossRef]
- Guerra, D.L.; Santos, M.R.M.C.; Airoldi, C. Mercury adsorption on natural and organofunctionalized smectites-thermodynamics of cation removal. J. Braz. Chem. Soc. 2009, 20, 594–603. [Google Scholar] [CrossRef]
- Praus, P.; Montáková, M.; Ritz, M. Montmorillonite ion exchanged by mercury(II). Acta Geodyn. Geomater. 2012, 9, 63–70. [Google Scholar]
- Guerra, D.L.; Silva, R.A.R.; Mello, I. Adsorption of mercury from aqueous solution by nontronite, Aspergillus niger, and hybrid material. Water Qual. Res. J. 2013, 48, 155–170. [Google Scholar] [CrossRef]
- do Nascimento, F.H.; Masini, J.C. Influence of humic acid on adsorption of Hg(II) by vermiculite. J. Environ. Manag. 2014, 143, 1–7. [Google Scholar] [CrossRef] [PubMed]
- Amonette, J.E. Iron redox chemistry of clays and oxides: Environmental applications. In Electrochemical Properties of Clays; Fitch, A., Ed.; The Clay Minerals Society: Aurora, CO, USA, 2002; Volume 10, pp. 89–147. [Google Scholar]
- Rozenson, I.; Heller-Kallai, L. Reduction and oxidation of Fe3+ in dioctahedral smectites-1: Reduction with hydrazine and dithionite. Clays Clay Miner. 1976, 24, 271–282. [Google Scholar] [CrossRef]
- Rozenson, I.; Heller-Kallai, L. Reduction and oxidation of Fe3+ in dioctahedral smectites-2: Reduction with sodium sulphide solutions. Clays Clay Miner. 1976, 24, 283–288. [Google Scholar] [CrossRef]
- Stucki, J.W.; Golden, D.C.; Roth, C.B. Preparation and handling of dithionite-reduced smectite suspensions. Clays Clay Miner. 1984, 32, 191–197. [Google Scholar] [CrossRef]
- Kostka, J.E.; Haefele, E.; Viehweger, R.; Stucki, J.W. Respiration and dissolution of iron(III)-containing clay minerals by bacteria. Environ. Sci. Technol. 1999, 33, 3127–3133. [Google Scholar] [CrossRef]
- Jaisi, D.P.; Dong, H.; Liu, C. Influence of biogenic Fe(II) on the extent of microbial reduction of Fe(III) in clay minerals nontronite, illite, and chlorite. Geochim. Cosmochim. Acta 2007, 71, 1145–1158. [Google Scholar] [CrossRef]
- Kashefi, K.; Shelobolina, E.S.; Elliott, W.C.; Lovley, D.R. Growth of thermophilic and hyperthermophilic Fe(III)-reducing microorganisms on a ferruginous smectite as the sole electron acceptor. Appl. Environ. Microbiol. 2008, 74, 251–258. [Google Scholar] [CrossRef]
- Dong, H.; Jaisi, D.P.; Kim, J.; Zhang, G. Microbe-clay mineral interactions. Am. Mineral. 2009, 94, 1505–1519. [Google Scholar] [CrossRef]
- Gorski, C.A.; Aeschbacher, M.; Soltermann, D.; Voegelin, A.; Baeyens, B.; Fernandes, M.M.; Hofstetter, T.B.; Sander, M. Redox properties of structural Fe in clay minerals. 1. Electrochemical quantification of electron-donating and -accepting capacities of smectites. Environ. Sci. Technol. 2012, 46, 9360–9368. [Google Scholar] [CrossRef] [PubMed]
- Taylor, R.W.; Shen, S.; Bleam, W.F.; Tu, S.-I. Chromate removal by dithionate-reduced clays: Evidence from direct x-ray adsorption near edge spectroscopy (XANES) of chromate reduction at clay surfaces. Clays Clay Miner. 2000, 48, 648–654. [Google Scholar] [CrossRef]
- Cervini-Silva, J.; Larson, R.A.; Wu, J.; Stucki, J.W. Transformation of chlorinated aliphatic compounds by ferruginous smectite. Environ. Sci. Technol. 2001, 35, 805–809. [Google Scholar] [CrossRef] [PubMed]
- Hofstetter, T.B.; Schwarzenbach, R.P.; Haderlein, S.B. Reactivity of Fe(II) species associated with clay minerals. Environ. Sci. Technol. 2003, 37, 519–528. [Google Scholar] [CrossRef] [PubMed]
- Neumann, A.; Hofstetter, T.B.; Skarpeli-Liati, M.; Schwarzenbach, R.P. Reduction of polychlorinated ethanes and carbon tetrachloride by structural Fe(II) in smectites. Environ. Sci. Technol. 2009, 43, 4082–4089. [Google Scholar] [CrossRef]
- Bishop, M.E.; Dong, H.; Kukkadapu, R.K.; Liu, C.; Edelmann, R.E. Bioreduction of Fe-bearing clay minerals and their reactivity toward pertechnetate (Tc-99). Geochim. Cosmochim. Acta 2011, 75, 5229–5246. [Google Scholar] [CrossRef]
- Bishop, M.E.; Glasser, P.; Dong, H.; Arey, B.; Kovarik, L. Reduction and immobilization of hexavalent chromium by microbially reduced Fe-bearing clay minerals. Geochim. Cosmochim. Acta 2014, 133, 186–203. [Google Scholar] [CrossRef]
- Luan, F.; Liu, Y.; Griffin, A.M.; Gorski, C.A.; Burgos, W.D. Iron(III)-bearing clay minerals enhance bioreduction of nitrobenzene by Shewanella putrefaciens CN32. Environ. Sci. Technol. 2015, 49, 1418–1426. [Google Scholar] [CrossRef]
- Joe-Wong, C.; Brown, G.E., Jr.; Maher, K. Kinetics and products of chromium(VI) reduction by iron(II/III)-bearing clay minerals. Environ. Sci. Technol. 2017, 51, 9817–9825. [Google Scholar] [CrossRef]
- O’Loughlin, E.J.; Traina, S.J.; Sims, G.K. Effects of sorption on the biodegradation of 2-methylpyridine in aqueous suspensions of reference clay minerals. Environ. Toxicol. Chem. 2000, 19, 2168–2174. [Google Scholar] [CrossRef]
- Ilgen, A.G.; Foster, A.L.; Trainor, T.P. Role of structural Fe in nontronite NAu-1 and dissolved Fe(II) in redox transformations of arsenic and antimony. Geochim. Cosmochim. Acta 2012, 94, 128–145. [Google Scholar] [CrossRef]
- Segre, C.U.; Leyarovska, N.E.; Chapman, L.D.; Lavender, W.M.; Plag, P.W.; King, A.S.; Kropf, A.J.; Bunker, B.A.; Kemner, K.M.; Dutta, P.; et al. The MRCAT insertion device beamline at the Advanced Photon Source. In Synchrotron Radiation Instrumentation: Eleventh U.S. National Conference; Pianetta, P.A., Arthur, J.R., Brennan, S., Eds.; American Institute of Physics: New York, NY, USA, 2000; Volume 521, pp. 419–422. [Google Scholar]
- O’Loughlin, E.J.; Kelly, S.D.; Csencsits, R.; Cook, R.E.; Kemner, K.M. Reduction of uranium(VI) by mixed iron(II)/iron(III) hydroxide (green rust): Formation of UO2 nanoparticles. Environ. Sci. Technol. 2003, 37, 721–727. [Google Scholar] [CrossRef] [PubMed]
- Newville, M.; Livinš, P.; Yacoby, Y.; Rehr, J.J.; Stern, E.A. Near-edge x-ray absorption fine structure of Pb: A comparison of theory and experiment. Phys. Rev. B 1993, 47, 14126–14131. [Google Scholar] [CrossRef]
- Naughton, M.G.M.; James, R.O. Adsorption of aqueous mercury (II) complexes at the oxide/water interface. J. Colloid Interface Sci. 1974, 47, 431–440. [Google Scholar] [CrossRef]
- Korinek, G.J.; Halpern, J. Effects of complexing on the homogeneous reduction of mercuric salts in aqueous solution by molecular hydrogen. Can. J. Chem. 1956, 34, 1372–1381. [Google Scholar] [CrossRef]
- Allard, B.; Arsenie, I. Abiotic reduction of mercury by humic substances in aquatic system-an important process for the mercury cycle. Water Air Soil Pollut. 1991, 56, 457–464. [Google Scholar] [CrossRef]
- Lee, S.; Roh, Y.; Kim, K.W. Influence of chloride ions on the reduction of mercury species in the presence of dissolved organic matter. Environ. Geochem. Health 2019, 41, 71–79. [Google Scholar] [CrossRef]
- Morse, J.W.; Luther, G.W., III. Chemical influences on trace metal-sulfide interactions in anoxic sediments. Geochim. Cosmochim. Acta 1999, 63, 3373–3378. [Google Scholar] [CrossRef]
- Frenet-Robin, M.; Ottmann, F. Comparative study of the fixation of inorganic mercury on the principal clay minerals and the sediments of the Loire Estuary. Estuar. Coast. Mar. Sci. 1978, 7, 425–436. [Google Scholar] [CrossRef]
- Yin, Y.; Allen, H.E.; Li, Y.; Huang, C.P.; Sanders, P.F. Adsorption of mercury(II) by soil: Effects of pH, chloride, and organic matter. J. Environ. Qual. 1996, 25, 837–844. [Google Scholar] [CrossRef]
- Kim, C.S.; Rytuba, J.J.; Brown, G.E., Jr. EXAFS study of mercury(II) sorption to Fe- and Al-(hydr)oxides II. Effect of chloride and sulfate. J. Colloid Interface Sci. 2004, 270, 9–20. [Google Scholar] [CrossRef] [PubMed]
- Amyot, M.; Gill, G.A.; Morel, F.M.M. Production and Loss of Dissolved Gaseous Mercury in Coastal Seawater. Environ. Sci. Technol. 1997, 31, 3606–3611. [Google Scholar] [CrossRef]
- Amyot, M.; McQueen, D.J.; Mierle, G.; Lean, D.R. Sunlight-induced formation of dissolved gaseous mercury in lake waters. Environ. Sci. Technol. 1994, 28, 2366–2371. [Google Scholar] [CrossRef] [PubMed]
- Zhang, H.; Lindberg, S.E. Processes influencing the emission of mercury from soils: A conceptual model. J. Geophys. Res. Atmos. 1999, 104, 21889–21896. [Google Scholar] [CrossRef]
- Barkay, T.; Miller, S.M.; Summers, A.O. Bacterial mercury resistance from atoms to ecosystems. FEMS Microbiol. Rev. 2003, 27, 355–384. [Google Scholar] [CrossRef]
- Hobman, J.L.; Wilson, J.R.; Brown, N.L. Microbial mercury reduction. In Environmental Microbe-Mineral Interactions; Lovley, D.R., Ed.; ASM Press: Washington, DC, USA, 2000; pp. 177–197. [Google Scholar] [CrossRef]
- Wiatrowski, H.A.; Ward, P.M.; Barkay, T. Novel reduction of mercury(II) by mercury-sensitive dissimilatory metal reducing bacteria. Environ. Sci. Technol. 2006, 40, 6690–6696. [Google Scholar] [CrossRef]
- Hu, H.; Lin, H.; Zheng, W.; Rao, B.; Feng, X.; Liang, L.; Elias, D.A.; Gu, B. Mercury reduction and cell-surface adsorption by Geobacter sulfurreducens PCA. Environ. Sci. Technol. 2013, 47, 10922–10930. [Google Scholar] [CrossRef]
- Alberts, J.J.; Schindler, J.E.; Miller, R.W.; Nutter, D.E. Elemental mercury evolution mediated by humic acid. Science 1974, 184, 895. [Google Scholar] [CrossRef]
- Skogerboe, R.K.; Wilson, S.A. Reduction of ionic species by fulvic acid. Anal. Chem. 1981, 53, 228–232. [Google Scholar] [CrossRef]
- Rocha, J.C.; Junior, É.S.; Zara, L.F.; Rosa, A.H.; dos Santos, A.; Burba, P. Reduction of mercury(II) by tropical river humic substances (Rio Nego)-a possible process of the mercury cycle in Brazil. Talanta 2000, 53, 551–559. [Google Scholar] [CrossRef]
- Gu, B.; Bain, Y.; Miller, C.L.; Dong, W.; Jiang, X.; Liang, L. Mercury reduction and complexation by natural organic matter in anoxic environments. Proc. Natl. Acad. Sci. USA 2011, 108, 1479–1483. [Google Scholar] [CrossRef] [PubMed]
- Chakraborty, P.; Vudamala, K.; Coulibaly, M.; Ramteke, D.; Chennuri, K.; Lean, D. Reduction of mercury (II) by humic substances—Influence of pH, salinity of aquatic system. Environ. Sci. Pollut. Res. Int. 2015, 22, 10529–10538. [Google Scholar] [CrossRef] [PubMed]
- Peretyazhko, T.; Charlet, L.; Grimaldi, M. Production of gaseous mercury in tropical hydromorphic soils in the presence of ferrous iron: A laboratory study. Eur. J. Soil Sci. 2006, 57, 190–199. [Google Scholar] [CrossRef]
- Debure, M.; Grangeon, S.; Robinet, J.C.; Made, B.; Fernandez, A.M.; Lerouge, C. Influence of soil redox state on mercury sorption and reduction capacity. Sci. Total Environ. 2020, 707, 136069. [Google Scholar] [CrossRef] [PubMed]
- Poulin, B.A.; Aiken, G.R.; Nagy, K.L.; Manceau, A.; Krabbenhoft, D.P.; Ryan, J.N. Mercury transformation and release differs with depth and time in a contaminated riparian soil during simulated flooding. Geochim. Cosmochim. Acta 2016, 176, 118–138. [Google Scholar] [CrossRef]
- Ribeiro, F.R.; Fabris, J.D.; Kostka, J.E.; Komadel, P.; Stucki, J.W. Comparisons of structural iron reduction in smectites by bacteria and dithionite: II. A variable-temperature Mössbauer spectroscopic study of Garfield nontronite. Pure Appl. Chem. 2009, 81, 1499–1509. [Google Scholar] [CrossRef]
- Neumann, A.; Sander, M.; Hofstetter, T.B. Redox properties of structural Fe in smectite clay minerals. In Aquatic Redox Processes; Tratnyek, P.G., Grundl, T.J., Haderlein, S.B., Eds.; American Chemical Society: Washington, DC, USA, 2011; Volume 1071, pp. 361–379. [Google Scholar]
- Stucki, J.W. A review of the effects of iron redox cycles on smectite properties. Comptes. Rendus. Geosci. 2011, 343, 199–209. [Google Scholar] [CrossRef]
- Jones, A.M.; Murphy, C.A.; Waite, T.D.; Collins, R.N. Fe(II) interactions with smectites: Temporal changes in redox reactivity and the formation of green rust. Environ. Sci. Technol. 2017, 51, 12573–12582. [Google Scholar] [CrossRef]
- Entwistle, J.; Latta, D.E.; Scherer, M.M.; Neumann, A. Abiotic degradation of chlorinated solvents by clay minerals and Fe(II): Evidence for reactive mineral intermediates. Environ. Sci. Technol. 2019, 53, 14308–14318. [Google Scholar] [CrossRef]





Publisher’s Note: MDPI stays neutral with regard to jurisdictional claims in published maps and institutional affiliations. |
© 2020 by the authors. Licensee MDPI, Basel, Switzerland. This article is an open access article distributed under the terms and conditions of the Creative Commons Attribution (CC BY) license (http://creativecommons.org/licenses/by/4.0/).
Share and Cite
O’Loughlin, E.J.; Boyanov, M.I.; Kemner, K.M.; Thalhammer, K.O. Reduction of Hg(II) by Fe(II)-Bearing Smectite Clay Minerals. Minerals 2020, 10, 1079. https://doi.org/10.3390/min10121079
O’Loughlin EJ, Boyanov MI, Kemner KM, Thalhammer KO. Reduction of Hg(II) by Fe(II)-Bearing Smectite Clay Minerals. Minerals. 2020; 10(12):1079. https://doi.org/10.3390/min10121079
Chicago/Turabian StyleO’Loughlin, Edward J., Maxim I. Boyanov, Kenneth M. Kemner, and Korbinian O. Thalhammer. 2020. "Reduction of Hg(II) by Fe(II)-Bearing Smectite Clay Minerals" Minerals 10, no. 12: 1079. https://doi.org/10.3390/min10121079
APA StyleO’Loughlin, E. J., Boyanov, M. I., Kemner, K. M., & Thalhammer, K. O. (2020). Reduction of Hg(II) by Fe(II)-Bearing Smectite Clay Minerals. Minerals, 10(12), 1079. https://doi.org/10.3390/min10121079

