Higher Order Nonclassicality from Nonlinear Coherent States for Models with Quadratic Spectrum
Abstract
:1. Introduction
2. Nonlinear Coherent and Squeezed States
3. Nonclassicality via Entanglement
4. Nonclassical Models
4.1. Linear versus Quadratic Spectrum
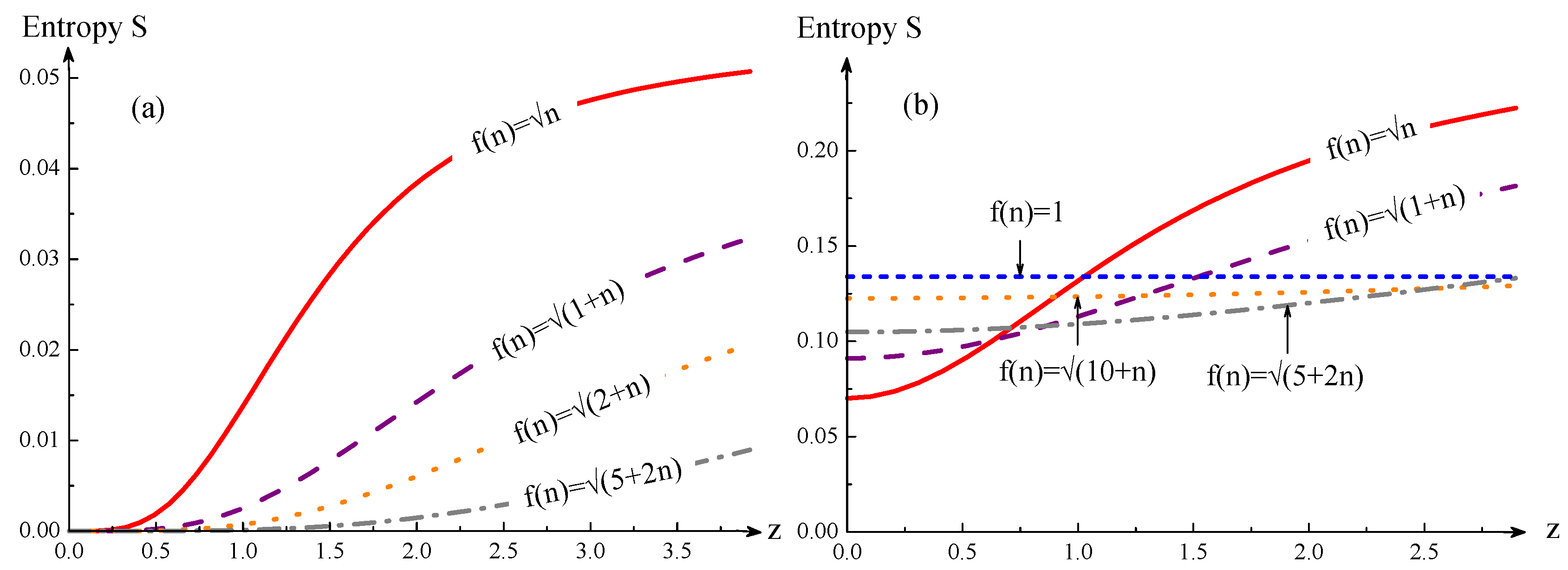
4.2. Linear Plus Quadratic Spectrum
5. Conclusions
Acknowledgments
Author Contributions
Conflicts of Interest
References
- Schrödinger, E. Der stetige übergang von der mikro-zur makromechanik. Naturwissenschaften 1926, 14, 664–666. [Google Scholar] [CrossRef]
- Glauber, R.J. Coherent and incoherent states of the radiation field. Phys. Rev. 1963, 131, 2766. [Google Scholar] [CrossRef]
- Sudarshan, E.C.G. Equivalence of semiclassical and quantum mechanical descriptions of statistical light beams. Phys. Rev. Lett. 1963, 10, 277–279. [Google Scholar] [CrossRef]
- Johansen, L.M. Nonclassical properties of coherent states. Phys. Lett. A 2004, 329, 184–187. [Google Scholar] [CrossRef]
- Meekhof, D.M.; Monroe, C.; King, B.E.; Itano, W.M.; Wineland, D.J. Generation of nonclassical motional states of a trapped atom. Phys. Rev. Lett. 1996, 76, 1796. [Google Scholar] [CrossRef] [PubMed]
- Bose, S.; Jacobs, K.; Knight, P.L. Preparation of nonclassical states in cavities with a moving mirror. Phys. Rev. A 1997, 56, 4175. [Google Scholar] [CrossRef]
- Kim, M.S.; Son, W.; Bužek, V.; Knight, P.L. Entanglement by a beam splitter: Nonclassicality as a prerequisite for entanglement. Phys. Rev. A 2002, 65, 032323. [Google Scholar] [CrossRef]
- Walls, D.F. Squeezed states of light. Nature 1983, 306, 141–146. [Google Scholar] [CrossRef]
- Loudon, R.; Knight, P.L. Squeezed light. J. Mod. Opt. 1987, 34, 709–759. [Google Scholar] [CrossRef]
- Agarwal, G.S.; Tara, K. Nonclassical properties of states generated by the excitations on a coherent state. Phys. Rev. A 1991, 43, 492. [Google Scholar] [CrossRef] [PubMed]
- Xia, Y.; Guo, G. Nonclassical properties of even and odd coherent states. Phys. Lett. A 1989, 136, 281–283. [Google Scholar] [CrossRef]
- Agarwal, G.S.; Biswas, A. Quantitative measures of entanglement in pair-coherent states. J. Opt. B 2005, 7, 350–354. [Google Scholar] [CrossRef]
- Wakui, K.; Takahashi, H.; Furusawa, A.; Sasaki, M. Photon subtracted squeezed states generated with periodically poled KTiOPO4. Opt. Exp. 2007, 15, 3568–3574. [Google Scholar] [CrossRef]
- Dodonov, V.V. Nonclassical states in quantum optics: A squeezed review of the first 75 years. J. Opt. B 2002, 4, R1. [Google Scholar] [CrossRef]
- Roy, B.; Roy, P. Gazeau-Klauder coherent state for the Morse potential and some of its properties. Phys. Lett. A 2002, 296, 187–191. [Google Scholar] [CrossRef]
- Roy, B.; Roy, P. New nonlinear coherent states and some of their nonclassical properties. J. Phys. B 2000, 2, 65. [Google Scholar] [CrossRef]
- Choquette, J.J.; Cordes, J.G.; Kiang, D. Nonlinear coherent states: Nonclassical properties. J. Opt. B 2003, 5, 56. [Google Scholar] [CrossRef]
- Obada, A.S.; Darwish, M.; Salah, H.H. Some non-classical properties of a class of new nonlinear coherent states. J. Mod. Opt. 2005, 52, 1263–1274. [Google Scholar] [CrossRef]
- Récamier, J.; Gorayeb, M.; Mochán, W.L.; Paz, J.L. Nonlinear coherent states and some of their properties. Int. J. Theor. Phys. 2008, 47, 673–683. [Google Scholar] [CrossRef]
- Tavassoly, M.K. On the non-classicality features of new classes of nonlinear coherent states. Opt. Commun. 2010, 283, 5081–5091. [Google Scholar] [CrossRef]
- Dey, S.; Hussin, V. Entangled squeezed states in noncommutative spaces with minimal length uncertainty relations. Phys. Rev. D 2015, 91, 124017. [Google Scholar] [CrossRef]
- Dey, S.; Fring, A.; Hussin, V. Nonclassicality versus entanglement in a noncommutative space. arXiv:1506.08901.
- Gerry, C.; Knight, P. Introductory Quantum Optics; Cambridge University Press: Cambridge, UK, 2005. [Google Scholar]
- Fu, H.-C.; Sasaki, R. Exponential and Laguerre squeezed states for su(1,1) algebra and the Calogero-Sutherland model. Phys. Rev. A 1996, 53, 3836. [Google Scholar] [CrossRef] [PubMed]
- Alvarez-Moraga, N.; Hussin, V. Generalized coherent and squeezed states based on the h(1) ⊕ su(2) algebra. J. Math. Phys. 2002, 43, 2063–2096. [Google Scholar] [CrossRef]
- Angelova, M.; Hertz, A.; Hussin, V. Squeezed coherent states and the one-dimensional Morse quantum system. J. Phys. A 2012, 45, 244007. [Google Scholar] [CrossRef]
- Man’ko, V.I.; Marmo, G.; Solimeno, S.; Zaccaria, F. Physical nonlinear aspects of classical and quantum q-oscillators. Int. J. Mod. Phys. A 1993, 8, 3577–3597. [Google Scholar] [CrossRef]
- Filho, R.L.M.; Vogel, W. Nonlinear coherent states. Phys. Rev. A 1996, 54, 4560. [Google Scholar] [CrossRef]
- Sivakumar, S. Studies on nonlinear coherent states. J. Opt. B 2000, 2, R61. [Google Scholar] [CrossRef]
- Perelomov, A. Generalized Coherent States and Their Applications; Springer-Verlag: Berlin, Germany, 2012. [Google Scholar]
- Gazeau, J.P.; Klauder, J.R. Coherent states for systems with discrete and continuous spectrum. J. Phys. A 1999, 32, 123. [Google Scholar] [CrossRef]
- Greiner, M.; Mandel, O.; Hänsch, T.W.; Bloch, I. Collapse and revival of the matter wave field of a Bose-Einstein condensate. Nature 2002, 419, 51–54. [Google Scholar] [CrossRef] [PubMed]
- Ezawa, Z.F. Quantum Hall Effects: Field Theoretical Approach and Related Topics; World Scientific: Singapore, 2008. [Google Scholar]
- Ashtekar, A.; Lewandowski, J.; Marolf, D.; Mourao, J.; Thiemann, T. Coherent State Transforms for Spaces of Connections. J. Funct. Anal. 1996, 135, 519–551. [Google Scholar] [CrossRef]
- Ourjoumtsev, A.; Kubanek, A.; Koch, M.; Sames, C.; Pinkse, P.W.H.; Rempe, G.; Murr, K. Observation of squeezed light from one atom excited with two photons. Nature 2011, 474, 623–626. [Google Scholar] [CrossRef] [PubMed]
- Baas, A.; Karr, J.P.; Eleuch, H.; Giacobino, E. Optical bistability in semiconductor microcavities. Phys. Rev. A 2004, 69, 023809. [Google Scholar] [CrossRef]
- Huang, K.; Le Jeannic, H.; Ruaudel, J.; Verma, V.B.; Shaw, M.D.; Marsili, F.; Nam, S.W.; Wu, E.; Zeng, H.; Jeong, Y.-C.; et al. Optical synthesis of large-amplitude squeezed coherent-state superpositions with minimal resources. Phys. Rev. Lett. 2015, 115, 023602. [Google Scholar] [CrossRef] [PubMed]
- Hong, C.K.; Mandel, L. Higher-order squeezing of a quantum field. Phys. Rev. Lett. 1985, 54, 323. [Google Scholar] [CrossRef] [PubMed]
- Wigner, E. On the quantum correction for thermodynamic equilibrium. Phys. Rev. 1932, 40, 749. [Google Scholar] [CrossRef]
- Duan, L.M.; Giedke, G.; Cirac, J.I.; Zoller, P. Inseparability criterion for continuous variable systems. Phys. Rev. Lett. 2000, 84, 2722. [Google Scholar] [CrossRef] [PubMed]
- Simon, R. Peres-Horodecki separability criterion for continuous variable systems. Phys. Rev. Lett. 2000, 84, 2726. [Google Scholar] [CrossRef] [PubMed]
- Campos, R.A.; Saleh, B.E.A.; Teich, M.C. Quantum-mechanical lossless beam splitter: SU(2) symmetry and photon statistics. Phys. Rev. A 1989, 40, 1371–1384. [Google Scholar] [CrossRef]
- Antoine, J.P.; Gazeau, J.P.; Monceau, P.; Klauder, J.R.; Penson, K.A. Temporally stable coherent states for infinite well and Pöschl-Teller potentials. J. Math. Phys. 2001, 42, 2349–2387. [Google Scholar] [CrossRef]
- Dey, S.; Fring, A.; Khantoul, B. Hermitian versus non-Hermitian representations for minimal length uncertainty relations. J. Phys. A 2013, 46, 335304. [Google Scholar] [CrossRef]
- Dey, S. q-deformed noncommutative cat states and their nonclassical properties. Phys. Rev. D 2015, 91, 044024. [Google Scholar] [CrossRef]




© 2016 by the authors; licensee MDPI, Basel, Switzerland. This article is an open access article distributed under the terms and conditions of the Creative Commons Attribution (CC-BY) license (http://creativecommons.org/licenses/by/4.0/).
Share and Cite
Hertz, A.; Dey, S.; Hussin, V.; Eleuch, H. Higher Order Nonclassicality from Nonlinear Coherent States for Models with Quadratic Spectrum. Symmetry 2016, 8, 36. https://doi.org/10.3390/sym8050036
Hertz A, Dey S, Hussin V, Eleuch H. Higher Order Nonclassicality from Nonlinear Coherent States for Models with Quadratic Spectrum. Symmetry. 2016; 8(5):36. https://doi.org/10.3390/sym8050036
Chicago/Turabian StyleHertz, Anaelle, Sanjib Dey, Véronique Hussin, and Hichem Eleuch. 2016. "Higher Order Nonclassicality from Nonlinear Coherent States for Models with Quadratic Spectrum" Symmetry 8, no. 5: 36. https://doi.org/10.3390/sym8050036
APA StyleHertz, A., Dey, S., Hussin, V., & Eleuch, H. (2016). Higher Order Nonclassicality from Nonlinear Coherent States for Models with Quadratic Spectrum. Symmetry, 8(5), 36. https://doi.org/10.3390/sym8050036

