Next Article in Journal
A (1+2)-Dimensional Simplified Keller–Segel Model: Lie Symmetry and Exact Solutions
Previous Article in Journal
Asymmetry Assessment Using Surface Topography in Healthy Adolescents
 
 
Font Type:
Arial Georgia Verdana
Font Size:
Aa Aa Aa
Line Spacing:
Column Width:
Background:
Technical Note

Estrada and L-Estrada Indices of Edge-Independent Random Graphs

Department of Mathematics, Tongji University, Shanghai 200092, China
Symmetry 2015, 7(3), 1455-1462; https://doi.org/10.3390/sym7031455
Submission received: 13 July 2015 / Revised: 6 August 2015 / Accepted: 11 August 2015 / Published: 19 August 2015

Abstract

:
Let G be a simple graph of order n with eigenvalues λ 1 , λ 2 , , λ n and normalized Laplacian eigenvalues μ 1 , μ 2 , , μ n . The Estrada index and normalized Laplacian Estrada index are defined as E E ( G ) = k = 1 n e λ k and 𝓛 E E ( G ) = k = 1 n e μ k - 1 , respectively. We establish upper and lower bounds to E E and 𝓛 E E for edge-independent random graphs, containing the classical Erdös-Rényi graphs as special cases.

1. Introduction

Let G be a simple graph on the vertex set V ( G ) = { v 1 , v 2 , v n } . Denote by A = A ( G ) R n × n the adjacency matrix of G, and λ 1 ( A ) λ 2 ( A ) λ n ( A ) the eigenvalues of A ( G ) in the non-increasing order. The normalized Laplacian matrix of G is defined as 𝓛 = 𝓛 ( G ) = I n - D ( G ) - 1 / 2 A ( G ) D ( G ) - 1 / 2 , where I n is the unit n × n matrix, and D ( G ) is the diagonal matrix of vertex degrees. Here, if the degree d i of vertex v i is zero, we set d i - 1 = 0 by convention. The eigenvalues of 𝓛 are referred to as the normalized Laplacian eigenvalues of graph G, denoted by λ 1 ( 𝓛 ) λ 2 ( 𝓛 ) λ n ( 𝓛 ) . The basic properties and applications of the eigenvalues and the normalized Laplacian eigenvalues can be found in the monographs [1,2].
The Estrada index of graph G is defined in [3] as
E E ( G ) = k = 1 n e λ k ( A )
which was introduced earlier as a molecular structure-descriptor by the Cuban–Spanish scholar Ernesto Estrada [4]. The Estrada index as a graph-spectrum-based invariant has found its widespread applicability in chemistry (such as the degree of folding of long-chain polymeric molecules [4,5], extended atomic branching [6], and the Shannon entropy descriptor [7,8,9]) and complex networks, see e.g., [10,11,12,13,14]. Various quantitative estimates of the Estrada index have been reported, see e.g., [15,16,17,18,19,20]. In a similar manner, the normalized Laplacian Estrada index of graph G, or the 𝓛 -Estrada index, is introduced in [21] as
𝓛 E E ( G ) = k = 1 n e λ k ( 𝓛 ) - 1
Some tight bounds for 𝓛 E E ( G ) are established analogously therein.
It is natural to ask how good these bounds are for typical graphs, or random graphs. In [22] it is shown that the Estrada index for Erdös-Rényi random graph model is much better than some universal bounds. Specifically, for almost all random graphs G n ( p ) with p ( 0 , 1 ) being a constant, it holds that [22]
E E ( G n ( p ) ) = e n p e O ( n ) + c n
where c n = o ( 1 ) is a quantity goes to 0 as n goes to infinity.
In this paper, we consider a more general setting, the edge-independent random graph G n ( p i j ) , where two vertices v i and v j are adjacent independently with probability p i j . Here, { p i j } 1 i , j n are not assumed to be equal. Graphs with heterogeneous node degrees and structure features, to which most real networks belong, can be constructed by tuning the connection probability p i j in the edge-independent model. For example, both scale-free networks and small-world networks can be readily modeled by G n ( p i j ) . In this regard, Erdös-Rényi random graph model having Poisson degree distributions is apparently too simple to delineate real-life complex networks connected through a disordered pattern of many different interactions [23].
Using the recent spectra results developed in [24], we obtain bounds for E E ( G n ( p i j ) ) and recover the relation Equation (3) as a special case. In particular, we are able to identify that | c n | ( n - 1 ) e - ( n + 1 ) p + ( 2 + o ( 1 ) ) n p . Noting that e n p c n goes to infinity as n tends to infinity [22], the estimate of c n favorably informs us the precise behavior of E E ( G ) for a typical graph G. We also study a close relative of G n ( p ) , where each vertex may have a self-loop. Such graphs are of great importance in theoretical chemistry since they represent conjugated molecules. In addition, we obtain tight bounds for 𝓛 E E ( G n ( p i j ) ) , which improve some existing bounds in [21].

2. Estrada Index of Random Graphs

We begin with the definition of edge-independent random graphs. For p i j ( 0 , 1 ) , let 𝒢 n { p i j } i , j = 1 n be the edge-independent random graphs with vertex set V in which two vertices v i and v i are adjacent independently with probability p i j . Since edges are undirected, we have p i j = p j i . Hence, P n : = ( p i j ) R n × n is symmetric, and its eigenvalues can be arranged in the non-increasing order as usual. We say that a graph property P holds in 𝒢 n { p i j } i , j = 1 n almost surely (a.s.) if the probability that a random graph G n ( p i j ) 𝒢 n { p i j } i , j = 1 n has the property P converges to 1 as n approaches infinity.
Denote by Δ and δ, respectively, the maximum and minimum degrees of an edge-independent random graph G n ( p i j ) . For two functions f ( x ) and g ( x ) taking real values, we say f ( x ) g ( x ) , or g ( x ) = o ( f ( x ) ) , if lim x | g ( x ) / f ( x ) | = 0 . Also, f ( x ) = O ( g ( x ) ) , if there exists a constant C such that | f ( x ) | C g ( x ) for all large enough x, and f ( x ) = Θ ( g ( x ) ) , if both f ( x ) = O ( g ( x ) ) and g ( x ) = O ( f ( x ) ) hold. We have the following useful result regarding the spectrum of edge-independent random graphs.
Lemma 1. [24] Consider a random graph G n ( p i j ) . If Δ ( ln n ) 4 , then
| λ k ( A ( G n ( p i j ) ) ) - λ k ( P n ) | ( 2 + o ( 1 ) ) Δ a . s .
for every 1 k n .
Using the definition Equation (1), we then obtain our first result.
Theorem 1. If Δ ( ln n ) 4 , then
e - ( 2 + o ( 1 ) ) Δ · k = 1 n e λ k ( P n ) E E ( G n ( p i j ) ) e ( 2 + o ( 1 ) ) Δ · k = 1 n e λ k ( P n ) a . s .
Proof. It follows from Lemma 1 that
λ k ( P n ) - ( 2 + o ( 1 ) ) Δ λ k ( A ( G n ( p i j ) ) ) λ k ( P n ) + ( 2 + o ( 1 ) ) Δ a . s .
for each 1 k n . Taking exponentials and summarizing over all k readily yield the conclusion.
Two remarks are in order. First, if all p i j are bounded away from zero, i.e., p i j c > 0 for 1 i , j n , then Δ = Θ ( n ) a.s. [25]. Thus, it follows from Theorem 1 that
ln E E ( G n ( p i j ) ) k = 1 n e λ k ( P n ) = Θ ( n ) a . s .
Second, if p i j p ( 0 , 1 ) for i j and p i i = 0 for 1 i n , we reproduce the Erdös-Rényi random graph G n ( p ) . As mentioned before, we are also interested in graphs with possible self-loops, which will be denoted by G n o ( p ) . Specifically, G n o ( p ) is obtained by setting all p i j p in G n ( p i j ) .
Theorem 2. Consider a random graph G n ( p ) with p ( 0 , 1 ) . We have
ln E E ( G n ( p ) ) ( e n p + n - 1 ) e - p ( 2 + o ( 1 ) ) n p a . s .
Proof. Recalling the definition of P n , we have now P n = p ( J n - I n ) , where J n R n × n is the matrix whose all entries equal 1. By the Chernoff bound, it holds that Δ = ( 1 + o ( 1 ) ) n p a.s. Since the eigenvalues of P n are λ 1 ( P n ) = p ( n - 1 ) , λ 2 ( P n ) = = λ n ( P n ) = - p , Theorem 1 immediately implies that
e - ( 2 + o ( 1 ) ) n p ( e ( n - 1 ) p + ( n - 1 ) e - p ) E E ( G n ( p ) ) e ( 2 + o ( 1 ) ) n p ( e ( n - 1 ) p + ( n - 1 ) e - p ) a . s .
which concludes the proof. ☐
Note that Theorem 2 easily yields the estimate of Equation (3). Our proof here is more direct than that in [22], where Weyl’s inequality was heavily relied on. Since P n = p J n in the case of G n o ( p ) , the following corollary is immediate.
Corollary 1. Consider a random graph G n o ( p ) with p ( 0 , 1 ) . We have
e - ( 2 + o ( 1 ) ) n p ( e n p + n - 1 ) E E ( G n o ( p ) ) e ( 2 + o ( 1 ) ) n p ( e n p + n - 1 ) a . s .
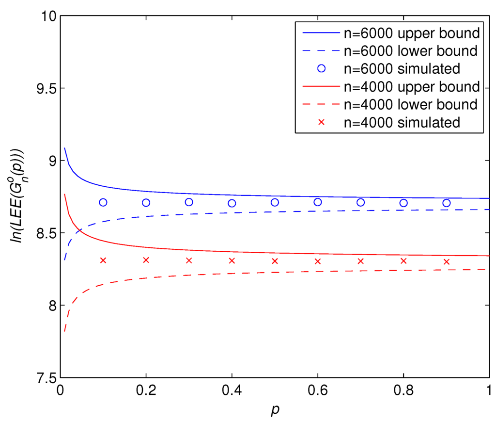
To illustrate the effectiveness of our theoretical bounds, we display in Figure 1 the variations of ln ( E E ( G n ( p ) ) ) with the connection probability p. We observe that the numerical value of ln ( E E ( G n ( p ) ) ) lies between the two bounds in line with our theoretical prediction in Theorem 2. Moreover, it turns out that the upper bound is prominently sharper than the lower bound. Therefore, it would be desirable to obtain less conservative lower bounds for random graph G n ( p ) .
Figure 1. Logarithmic Estrada index ln ( E E ( G n ( p ) ) ) versus connection probability p for two different graph sizes of n = 4000 and 6000. Theoretical bounds (solid and dashed curves) are from Theorem 2. Simulated results (circles and crosses) are obtained by means of an ensemble averaging of 100 randomly generated graphs yielding a statistically ample enough sampling.
Figure 1. Logarithmic Estrada index ln ( E E ( G n ( p ) ) ) versus connection probability p for two different graph sizes of n = 4000 and 6000. Theoretical bounds (solid and dashed curves) are from Theorem 2. Simulated results (circles and crosses) are obtained by means of an ensemble averaging of 100 randomly generated graphs yielding a statistically ample enough sampling.
Symmetry 07 01455 g001

3. 𝓛-Estrada Index of Random Graphs

In this section, we study the normalized Laplacian Estrada index of edge-independent random graphs.
Let T n R n × n be a diagonal matrix with its ( i , i ) -element given by j = 1 n p i j . Given a matrix M, denote its rank by rank ( M ) . We have the following result.
Lemma 2. [24] Consider a random graph G n ( p i j ) . If rank ( P n ) = r and δ max { r , ( ln n ) 4 } , then
| λ k ( 𝓛 ( G n ( p i j ) ) ) - λ k ( I n - T n - 1 / 2 P n T n - 1 / 2 ) | ( 2 + r + o ( 1 ) ) δ - 1 / 2 a . s .
for every 1 k n .
For brevity, define L n : = I n - T n - 1 / 2 P n T n - 1 / 2 . Recalling the definition Equation (2), we then have the following result regarding 𝓛 -Estrada index.
Theorem 3. If rank ( P n ) = r and δ max { r , ( ln n ) 4 } , then
e - ( 2 + r + o ( 1 ) ) δ - 1 / 2 - 1 · k = 1 n e λ k ( L n ) 𝓛 E E ( G n ( p i j ) ) e ( 2 + r + o ( 1 ) ) δ - 1 / 2 - 1 · k = 1 n e λ k ( L n ) a . s .
Proof. Thanks to Lemma 2, we have
λ k ( L n ) - ( 2 + r + o ( 1 ) ) δ - 1 / 2 - 1
λ k ( 𝓛 ( G n ( p i j ) ) ) - 1 λ k ( L n ) + ( 2 + r + o ( 1 ) ) δ - 1 / 2 - 1 a . s .
for each 1 k n . Taking exponentials and summarizing over all k readily yield the conclusion.
Note that, if p i j c > 0 for 1 i , j n , then δ = Θ ( n ) a.s. [25]. Hence, if rank ( P n ) = r = o ( n ) , then Theorem 3 implies that
ln 𝓛 E E ( G n ( p i j ) ) k = 1 n e λ k ( L n ) = - 1 + 2 + r Θ ( n ) = - 1 + o ( 1 ) a . s .
Concerning the homogeneous random graph model G n o ( p ) , we have the following result.
Theorem 4. Consider a random graph G n o ( p ) with p ( 0 , 1 ) . We have
e - 3 + o ( 1 ) n p ( n - 1 + e - 1 ) 𝓛 E E ( G n o ( p ) ) e 3 + o ( 1 ) n p ( n - 1 + e - 1 ) a . s .
Before presenting the proof, we give some remarks here. First, for the loopless random graph version G n ( p ) , we have rank ( P n ) = n . Since δ n - 1 , Theorem 3 is no longer applicable in this case. Second, it is shown in ([21],Thm 3.5) that, for a graph G on the vertex set V with δ 1 ,
𝓛 E E ( G ) e - 1 + n - 1 - n - 1 + e n - 1
with the equality holds if and only if G is a complete bipartite regular graph. We have
e 3 + o ( 1 ) n p ( n - 1 + e - 1 ) e - 1 + n - 1 - n - 1 + e n - 1 = o ( 1 )
as n . Therefore, our upper bound is better than that in Equation (4).
Proof of Theorem 4. First note that δ = ( 1 + o ( 1 ) ) n p a.s. by the Chernoff bound. Since P n = p J n , we have rank ( P n ) = 1 δ . Noting that L n = I n - T n - 1 / 2 P n T n - 1 / 2 = I n - 1 n J n , the eigenvalues of L n are λ 1 ( L n ) = = λ n - 1 ( L n ) = 1 and λ n ( L n ) = 0 . From Theorem 3, we readily conclude that
e - 3 + o ( 1 ) n p ( n - 1 + e - 1 ) 𝓛 E E ( G n o ( p ) ) e 3 + o ( 1 ) n p ( n - 1 + e - 1 ) a . s .
as desired. ☐
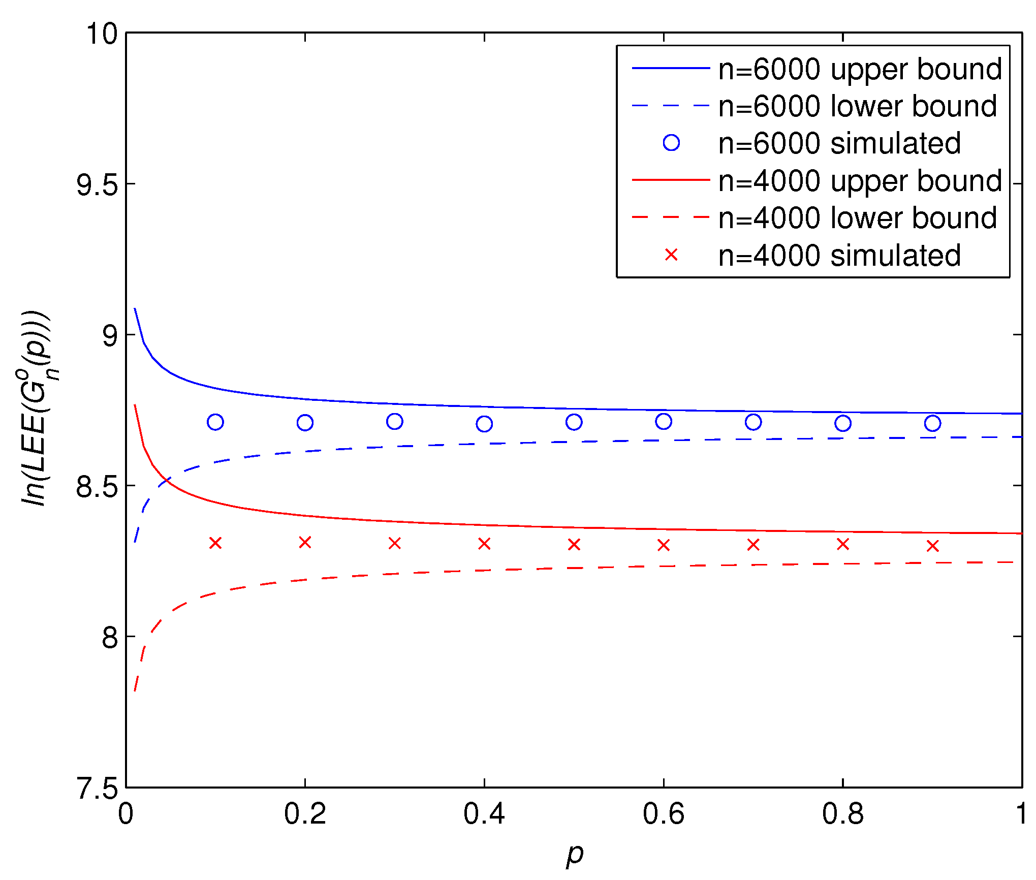
Figure 2 shows the variations of ln ( 𝓛 E E ( G n o ( p ) ) ) with the connection probability p. The numerical value of ln ( 𝓛 E E ( G n o ( p ) ) ) lies between the two bounds in line with our theoretical prediction in Theorem 4. An interesting observation is that the normalized Laplacian Estrada index of a random graph G n o ( p ) remain almost unchanged with respect to graph density, i.e., p, in spite of different monotonicity of the two derived bounds.
Figure 2. Logarithmic 𝓛 -Estrada index ln ( 𝓛 E E ( G n o ( p ) ) ) versus connection probability p for two different graph sizes of n = 4000 and 6000. Theoretical bounds (solid and dashed curves) are from Theorem 4. Simulated results (circles and crosses) are obtained by means of an ensemble averaging of 100 randomly generated graphs yielding a statistically ample enough sampling.
Figure 2. Logarithmic 𝓛 -Estrada index ln ( 𝓛 E E ( G n o ( p ) ) ) versus connection probability p for two different graph sizes of n = 4000 and 6000. Theoretical bounds (solid and dashed curves) are from Theorem 4. Simulated results (circles and crosses) are obtained by means of an ensemble averaging of 100 randomly generated graphs yielding a statistically ample enough sampling.
Symmetry 07 01455 g002

4. Conclusions

We established some upper and lower bounds for the Estrada index, E E , and normalized Laplacian Estrada index, 𝓛 E E , of edge-independent random graphs G n ( p i j ) . Such graphs naturally extend the classical Erdös-Rényi random graph G n ( p ) , enabling a refined estimate of the remainder of E E ( G n ( p ) ) in Equation (3).
It was revealed in [26] that E E of some tree-like graphs can be conveniently estimated drawing on the Chebyshev polynomials of the second kind. How to extend this method to sparse Erdös-Rényi random graphs and edge-independent random graphs is an interesting question. Along this line, the work [27] would be relevant, where the relation between the resolvent of the adjacency matrix of a sparse random regular graph and the Chebyshev polynomials of the second kind was explored.

Acknowledgments

Work funded by the Program for Young Excellent Talents in Tongji University (2014KJ036) and by Shanghai Pujiang Program (15PJ1408300). I would like to thank three anonymous referees for constructive comments that have improved this manuscript.

Conflicts of Interest

The author declares no conflict of interest.

References

  1. Cvetković, D.M.; Doob, M.; Sachs, H. Spectra of Graphs: Theory and Application; Johann Ambrosius Bart Verlag: Heidelberg, Germany, 1995. [Google Scholar]
  2. Chung, F. Spectral Graph Theory; American Mathematical Society: Providence, RI, USA, 1997. [Google Scholar]
  3. De la Peña, J.A.; Gutman, I.; Rada, J. Estimating the Estrada index. Linear Algebra Appl. 2007, 427, 70–76. [Google Scholar] [CrossRef]
  4. Estrada, E. Characterization of 3D molecular structure. Chem. Phys. Lett. 2000, 319, 713–718. [Google Scholar] [CrossRef]
  5. Estrada, E. Characterization of the folding degree of proteins. Bioinformatics 2002, 18, 697–704. [Google Scholar] [CrossRef] [PubMed]
  6. Estrada, E.; Rodríguez-Velázquez, J.A.; Randić, M. Atomic branching in molecules. Int. J. Quantum Chem. 2006, 106, 823–832. [Google Scholar]
  7. Carbó-Dorca, R. Smooth function topological structure descriptors based on graph-spectra. J. Math. Chem. 2008, 44, 373–378. [Google Scholar] [CrossRef]
  8. Garrido, A. Classifying entropy measures. Symmetry 2011, 3, 487–502. [Google Scholar] [CrossRef]
  9. Dehmer, M. Information theory of networks. Symmetry 2010, 2, 767–779. [Google Scholar] [CrossRef]
  10. Estrada, E.; Rodríguez-Velázquez, J.A. Subgraph centrality in complex networks. Phys. Rev. E 2005, 71. [Google Scholar] [CrossRef]
  11. Estrada, E.; Rodríguez-Velázquez, J.A. Spectral measures of bipartivity in complex networks. Phys. Rev. E 2005, 72. [Google Scholar] [CrossRef]
  12. Shang, Y. Laplacian Estrada and normalized Laplacian Estrada indices of evolving graphs. PLoS ONE 2015, 10, e0123426. [Google Scholar] [CrossRef] [PubMed]
  13. Shang, Y. Local natural connectivity in complex networks. Chin. Phys. Lett. 2011, 28. [Google Scholar] [CrossRef]
  14. Garlaschelli, D.; Ruzzenenti, F.; Basosi, R. Complex networks and symmetry I: A review. Symmetry 2010, 2, 1683–1709. [Google Scholar] [CrossRef]
  15. Furtula, B.; Gutman, I.; Mansour, T.; Radenkovi, S.; Schork, M. Relating Estrada index with spectral radius. J. Ser. Chem. Soc. 2007, 72, 1371–1376. [Google Scholar]
  16. Bamdad, H.; Ashraf, F.; Gutman, I. Lower bounds for Estrada index and Laplacian Estrada index. Appl. Math. Lett. 2010, 23, 739–742. [Google Scholar] [CrossRef]
  17. Zhou, B. On Estrada index. MATCH Commun. Math. Comput. Chem. 2008, 60, 485–492. [Google Scholar]
  18. Gutman, I. Lower bounds for Estrada index. Publ. Inst. Math. Beograd 2008, 83, 1–7. [Google Scholar] [CrossRef]
  19. Shang, Y. Lower bounds for the Estrada index using mixing time and Laplacian spectrum. Rocky Mountain J. Math. 2013, 43, 2009–2016. [Google Scholar] [CrossRef]
  20. Liu, J.; Liu, B. Bounds of the Estrada index of graphs. Appl. Math. J. Chin. Univ. 2010, 25, 325–330. [Google Scholar] [CrossRef]
  21. Li, J.; Guo, J.M.; Shiu, W.C. The normalized Laplacian Estrada index of a graph. Filomat 2014, 28, 365–371. [Google Scholar] [CrossRef]
  22. Chen, Z.; Fan, Y.; Du, W. Estrada index of random graphs. MATCH Commun. Math. Comput. Chem. 2012, 68, 825–834. [Google Scholar]
  23. Caldarelli, G.; Catanzaro, M. Networks: A Very Short Introduction; Oxford University Press: Oxford, UK, 2012. [Google Scholar]
  24. Lu, L.; Peng, X. Spectra of edge-independent random graphs. Electron. J. Combin. 2013. Available online: http://www.math.ucsd.edu/ x2peng/pub/grgraph.pdf (accessed on 19 August 2015).
  25. Bollobás, B. Random Graphs; Cambridge University Press: Cambridge, UK, 2001. [Google Scholar]
  26. Ginosar, Y.; Gutman, I.; Mansour, T.; Schork, M. Estrada index and Chebyshev polynomials. Chem. Phys. Lett. 2008, 454, 145–147. [Google Scholar] [CrossRef]
  27. Dumitriu, I.; Pal, S. Sparse regular random graphs: spectral density and eigenvectors. Ann. Probab. 2012, 40, 2197–2235. [Google Scholar] [CrossRef]

Share and Cite

MDPI and ACS Style

Shang, Y. Estrada and L-Estrada Indices of Edge-Independent Random Graphs. Symmetry 2015, 7, 1455-1462. https://doi.org/10.3390/sym7031455

AMA Style

Shang Y. Estrada and L-Estrada Indices of Edge-Independent Random Graphs. Symmetry. 2015; 7(3):1455-1462. https://doi.org/10.3390/sym7031455

Chicago/Turabian Style

Shang, Yilun. 2015. "Estrada and L-Estrada Indices of Edge-Independent Random Graphs" Symmetry 7, no. 3: 1455-1462. https://doi.org/10.3390/sym7031455

APA Style

Shang, Y. (2015). Estrada and L-Estrada Indices of Edge-Independent Random Graphs. Symmetry, 7(3), 1455-1462. https://doi.org/10.3390/sym7031455

Article Metrics

Back to TopTop