Abstract
Various organocatalysts have been developed for the aldol reaction but particular attention has been paid to prolinamide derivatives. They are easy to prepare and their catalytic activity can be readily tuned through structural modification. In this review, the comparison of catalytic activities between prolinethioamides and their respective amides in direct asymmetric aldol reactions is presented.
1. Introduction
Organocatalysis can be defined as the acceleration of a chemical reaction using a substoichiometric amount of an organic compound. Its application in enantioselective catalysis has recently emerged as a major concept in asymmetric synthesis, although organic molecules have been used as catalysts since the beginning of chemistry [1,2,3,4,5,6,7,8]. Until 2000, only a limited number of preparatively useful applications had been reported, with one of the most important being the proline catalyzed synthesis of Wieland-Miescher ketone [9,10]. Subsequently, List, Lerner and Barbas showed that L-proline can catalyze an intermolecular aldol reaction between a ketone and an aldehyde if large excess of the donor is used [11]. It was proved that the reaction followed an enamine-mechanism that is closely related to the one used by natural aldolases. The secondary amine acts as a nucleophilic enamine catalyst whereas the carboxylic acid acts as general Brönsted co-catalyst. Initially, it was observed that 2-pyrrolidinecaboxyamide was ineffective in catalyzing the aldol reaction, thus early modifications of the proline catalyst focused on the hydroxy group of 4-hydroxyproline [12,13,14].
In 2004, three groups independently reported a proline derived tetrazol catalyst and showed that the carboxyl group could be replaced with a group possessing a proton of reasonable acidity [15,16,17]. The concept was confirmed by Tang and Jiang who discovered that simple L-prolinamides were able to catalyze the reaction of benzaldehydes with acetone giving aldols in good yields but with low enantioselectivities [18]. As the amide became more acidic an increase in enantioselectivity was observed. Comparison of acetamide and thioacetamide acidities suggested that thio-derivaties might be good candidates for organocatalysis in the aldol reaction. As a result, we had prepared a series of prolinethioamides and investigated their use in a direct aldol reaction [19].
Herein, we present a comparative study on the catalytic activity of prolinamides and their respective thioamides. We do not intend to review the whole data describing prolinamide derivatives as catalysts; only amide/thioamide pairs will be discussed. Particular focus will be placed on the relationship between L-prolinamide and L-prolinethioamide structure, acidity and their catalytic activity in the aldol reaction.
2. Synthesis of Catalysts
Proline derivatives bearing the amide/thioamide functionality were synthesized from a suitably N-protected-L-proline 2. The key step involved the coupling of the amino acid with an amine (Scheme 1) [18]. Subsequent conversion to thio-derivatives 5 was achieved via the reaction of amide 3 with Lawesson’s reagent [20].
Scheme 1.
Synthesis of L-proline derived amides 4 and thioamides 6.
When aminoalcohols were used in the synthesis of amide 3 in place of the amine, the hydroxy group was preferentially protected with TBDMS (tert-butyldimethylsilyl) since this allowed both the Boc and TBDMS groups to be removed simultaneously, giving desired derivatives 4 or 6 [21]. The use of N-Boc-protection was preferred since hydrogenolysis of the corresponding Cbz-thioamide was found to be problematic. The synthesis of these type of catalysts is short and high yielding, however, it is not suitable for the preparation of thioamides derived from aromatic amines, because of racemization occuring during the reaction of amide 3 with the sulphur reagent [19,20].
3. Acidity
It has been reported that the acidic proton of proline is crucial for the reactivity and stereoselectivity of the proline-catalyzed direct aldol reaction. Furthermore, Tang and co-workers showed that L-prolinamides exhibited high catalytic activity towards the aldol reaction and that enantioselectivity increased as the aryl substituent varied from electron-donating to electron withdrawing [18], thus rendering the N-H more acidic and thus a better hydrogen bond donor. Replacement of the amide functionality with the thioamide group further increased its acidity [22].
The acidity scale in DMSO (dimethylsulfoxide) developed mostly by Bordwell and co-workers is of great importance for the comparison of dissociation constants of amide derivatives, for example, the pKa CH3CSNH2 is 18.5, whereas for CH3CONH2 it is 25.5 [22]. However, only a few pKa values for proline-based organocatalysts are available. Only recently, Shi reported the theoretical study on acidities of (S)-prolinamide derivatives in DMSO and as a result an extensive acidity scale for these compounds was established [23]. Generally, amides are less acidic than their respective thioamides since the C = S bond possesses a stronger ability to delocalize the negative charge (Figure 1).
Figure 1.
Negative charge delocalization in amide and thioamides.
It was observed that the acidity of prolinamide derivatives depended on the nature of the substituent and was only slightly influenced by its steric size (Table 1). However, the introduction of a phenyl group led to an increase in acidity, due to resonance stabilization of the conjugated anions.
Table 1.
α-Substituent effect on the acidity of L-proline derivatives.
Furthermore, both the amide and thioamide acidity was insensitive to the configuration at the α-carbon, the effect of a substituent was mainly influenced through an inductive effect. The authors concluded that the amide acidity increased with an increase in the electron-withdrawing character of the substituent at the α-carbon.
Interestingly, the authors found that there was a linear correlation between the acidity of a prolinamide and its thioamide derivative described by Equation 1, showing that thioamides display stronger acidity than their amide analogues as a result of the higher ground state energy and a greater ability of sulfur to stabilize the negative charge.
pKa(S) − pKa calculated for thioamides; pKa(O) − pKa calculated for amides.
pKa(S) = 0.74pKa(O) − 0.47
4. L-Proline Amides and Thioamides as Organocatalysts
4.1. Aldol Reaction Catalyzed by Simple Aryl and Alkyl-Prolinamide Derivatives
Preliminary studies on the L-proline catalyzed intermolecular aldol reaction showed that 2-pyrrolidinecarboxyamide was ineffective in catalyzing the aldol reaction of 4-nitrobenzaldehyde (7) with acetone (8) [11]. However, in 2007 Hayashi reported the first successful example of a Pro-NH2 catalyzed direct aldol reaction, although the stereoselectivity was low [24].
Tang, Jang and co-workers studied a series of N-aryl-L-prolinamides as organocatalysts in the same reaction (Table 2). In most cases aldol 9 was obtained in high yields but with low enantioselectivity. It was suggested that amide acidity played an important role, since enantioselectivity increased as the aryl substituent varied from electron-donating to electron-withdrawing.
Table 2.
N-aryl-prolinamides 10 as organocatalysts for the aldol reaction [18].
Generally, simple N-aryl-prolinamides 10 were ineffective in catalyzing the aldol reaction of aromatic aldehydes with various ketones (chloro-[25], fluoro-[26] or hydroxyacetone [26], cyclohexanone [27], cyclopentanone [27]). Their catalytic activity was shown to be improved by the addition of a co-catalyst or by changing the reaction medium to water, as demonstrated by Chimni [28]. Good yields and enantioselectivities were both observed by using protonated prolinamides as organocatalysts for the reaction of cyclohexanone (11) with 4-nitrobenzaldehyde (7) in the presence of water. (Scheme 2). For protonated prolinamides there is no clear correlation between the amide NH acidity and the stereoselectivity of the aldol reaction. Among all the catalysts studied, amide 10e with the nitro group in the ortho-position was the least selective, probably due to steric hindrance. The beneficial influence of an acid additive was also confirmed by Moorthy who studied various N-arylamides 10 with electron-withdrawing groups [27].
Scheme 2.
Aldol reaction of 4-nitrobenzaldehyde (7) with cyclohexanone (11) [28].
Most of the catalysts, regardless of the substituents on the aromatic ring, gave aldol 12 in high diastereo- and enantioselective manner. It was proposed that the acid co-catalyst facilitated the hydrolysis of the substrate-catalyst iminium ion, thus releasing the product.
Furthermore, Gong and co-workers found that these types of compounds were also able to catalyze the aldol reaction when chloroacetone (13) was used as the nucleophile [25]. Optimization studies showed that N-mesityl-prolineamide 10g was the most suitable catalyst for this reaction. Aldol 14 was obtained with good stereoselectivity though with low yield (Scheme 3) [25,26]. This observation suggested that both the steric bulkiness of the aryl group and its electronic nature were important for the catalytic activity.
Scheme 3.
Influence of the steric bulk of the aryl group on the catalytic efficacy of L-prolinamides [25,26].
We assumed that the respective thioamides, due to their higher acidity, would catalyze aldol reactions in a highly stereoselective manner. Unfortunately, the synthesis of optically pure aniline derived L-prolinethioamide with the calculated pKa = 16.7 failed, and as such we turned our attention to N-alkyl-prolinethioamides [19,20]. According to Shi’s calculations aliphatic prolinethioamides are less acidic than aromatic derivatives due to lack of resonance stabilization of the conjugated anion [23]. Therefore, it was not surprising to find out that in the model aldol reaction of 4-cyanobenzaldehyde (16) with acetone (8), reaction yields were only moderate, with the best enantioselectivity given by the i-PrNH2 derivative 6d but did exceed those obtained with N-arylprolinamides (Scheme 4). Further increase in the bulkiness of the N-substituent led to a decrease in yield and enantioselectivity. It was assumed that the metal-free Zimmerman-Traxler-like transition state was destabilized by steric interactions thus leading to a less stereoselective reaction.
Scheme 4.
N-Alkylamides and thioamides as organocatalysts [19,20].
Simple N-aryl- and N-alkyl-prolinamides as well as their thio-counterparts were ineffective in catalyzing the asymmetric aldol reaction; the products were obtained with low enantioselectivities although with good yields, but their efficacy could be slightly improved by the addition of an acid co-catalyst [28].
The steric effect of the substituent at the α-carbon only exerts minor influence on the amide acidities, however it can have a profound effect on the catalyst activity and observed reaction stereoselectivity. Results suggest that, in the assumed transition state, not only hydrogen bond strength but also steric factors can influence the stereochemical outcome of the aldol reaction [23].
4.2. Prolinamide Derivatives with an Additional Stereocenter
4.2.1. 1-Phenylethylamine Derived Prolinamides and Thioamides
Early studies by Tang and Jiang showed that the replacement of the N-benzyl substituent by the analogous either (R)- or (S)-1-phenylethyl in the prolinamide structure slightly influenced the stereoselectivity of the aldol reaction of acetone (8) with aromatic aldehydes [18]. It was concluded that low enantioselectivities might result from a very weak hydrogen bond between the amide proton and the aldehyde. Since amide acidities are insensitive to the steric configuration at α-carbon, as shown by Shi, stereoselectivities of aldol reactions with diastereoisomeric catalysts were of a similar level [23].
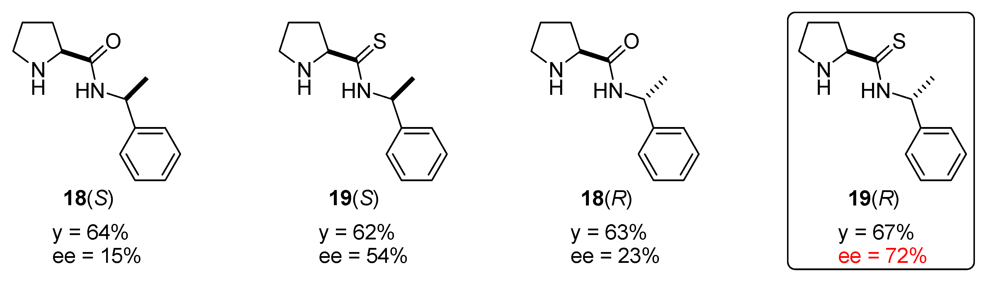
As discussed, due to their higher acidity thioamides and thus possible formation of stronger hydrogen bonds, we believed this may provide a more pronounced difference in enantioselectivities with these catalyst derivatives. Although model studies were carried out on 4-cyanobenzaldehyde (16) instead of 4-nitro- (7) it was clear that the replacement of the amide moiety with the thioamide group had a beneficial effect on the catalytic activity of 18 (Figure 2) [19,20,23].
Figure 2.
Diastereoisomeric catalysts for the reaction of 4-nitrobenzaldehyde (7) or 4-cyanobenzaldehyde (16) with acetone (8) [18,19].
With the use of thioamide catalyst 19(R), for activated aldehydes, unprecedented double aldol addition occurred [20]. These types of compounds had only been reported by Peng et. al. in pyrrolidyne/p-nitrophenol-catalyzed aldol reaction but to the best of our knowledge, 19(R) is the only catalyst which gave 1,5-diols in a reasonable yield and good enantioselectivity (Table 3) [29]. However, further optimization studies are required for the method to become synthetically useful.
Table 3.
1,5-Diol formation in organocatalyzed aldol reactions.
At the early stage of our research, thioamides 19 could only be used for reactions that are run in an excess of ketone [19,20]. However, the use of its TFA (trifluoroacetic acid) salt, 19(R)/TFA, for the reaction of 4-nitrobenzaldehyde (7) with acetone (8) appreciably improved both the yield and enantioselectivity [30]. Moreover, the catalyst loading could be reduced and at the same time the reaction could now be run in organic solvents. Among different inorganic and organic acids studied as an additive, TFA and Cl2CHCO2H afforded the best results in terms of yield. Enantioselectivities were high and independent on the pKa of the acid used (Table 4).
Table 4.
Effect of acid on the direct aldol reaction of cyclohexanone (11) with aldehyde 7.
It was shown that the equilibrium of the reaction of salts 19/HX with acetone (8) depended on the co-catalyst and was shifted toward the protonated catalyst, imidazolidinethione, or the iminium salt. When the iminium salt was present, regardless of its amount, the aldol reaction would be catalyzed effectively.
Surprisingly thioamides 19(R) and 19(S) turned out to be ineffective in catalyzing the reaction of cyclohexanone (11) with aromatic aldehydes, and the addition of an acid proved to be crucial [19,30,31]. Aldols were obtained in good yields and stereoselectivities (Table 5, entries 1,2,4). In 2008, Chimni showed that even amide salts were effective catalysts for this reaction. In the presence of water, the hydrobromide salt of 18(R) catalyzed the aldol reaction of cyclohexanone (11) with aromatic aldehydes affording aldols with reasonable yield and stereoselectivity, although high catalyst loading was required (20 mol%) (Table 5, entry 3) [28]. Both the use of water and thioamide salts effectively enhanced the activity of the catalyst, allowing it be used in only 2.5 mol%. At the same time, 1.2 equiv. of ketone per 1 mmol of aldehyde was sufficient to obtain high yield within a reasonable period of time [31].
Table 5.
The reaction of cyclohexanone (11) with 4-nitrobenzaldehyde (7) catalyzed by amide/thioamide salts.
The proper choice of amine for the synthesis of L-prolinethioamides has a crucial effect on the catalyst activity [21,32]. Namely, L-prolinethioamide 26 derived from (R)-aminoindane used in the reaction of 4-nitrobenzaldehyde (7) with cyclohexanone (11), either under solvent-free conditions or in the presence of water, afforded aldol products with high yields and stereoselectivity (Scheme 5, Table 6). As expected, the addition of 4-NO2-PhCO2H reduced reaction times significantly (for example, for solvent-free conditions-from 24 h to 1 h). Moreover, with the reduction of the catalyst and co-catalyst loading, the stereoselectivity for both methodologies increased. These results showed prolinethioamides to be superior catalysts to their respective amides for aldol reactions run both under solvent-free conditions and in the presence of water.
Scheme 5.
The aldol reaction of 4-nitrobenzaldehyde (7) with cyclohexanone (11) [21,32].
Table 6.
In water versus under solvent-free conditions for amide/thioamide catalyzed aldol reaction.
Various aromatic aldehydes and ketones were investigated under the optimized conditions (Table 7). As it is often the case for the organocatalytic aldol reaction, non-activated aldehydes required much longer reaction times to give aldol products in even a moderate yield but stereoselectivity remained consistently high.
Table 7.
The reaction of cyclohexanone (11) with aldehydes under solvent-free conditions catalyzed by 27 [32].
Interestingly, Nájera’s thioamide 27 performed better under solvent-free conditions for intermolecular reactions of aromatic aldehydes with cyclic ketones, whereas reactions with acyclic ketones gave better results when run in the presence of water [21,32]. Moreover, this catalyst was also found to be suitable for the synthesis of the Wieland-Miescher ketone under solvent-free conditions, though a long reaction time was required to push the reaction to completion [32].
Dipeptides and small peptides are useful organocatalysts [33,34] and previous studies have confirmed thioamides were more effective than amides. Consequently, Li designed thioamide-type dipeptide 29 based on proline [35]. The catalytic activity of Pro-Val thioamide 29 was evaluated in the aldol reaction of 4-nitrobenzaldehyde (7) with acetone (8), and subsequently compared with parent dipeptide 28 (Table 8, entries 1, 3). Higher yields and enantioselectivities were obtained with thio-derivative 29; an increase in the enantioselectivity and yield again was observed upon the addition of an acid co-catalyst (entries 2, 4).
Table 8.
Dipeptide catalyzed aldol reaction of 4-nitrobenzaldehyde (7) with acetone (8) [35].
The configuration of an additional stereocenter exerts a strong influence on the enantioselectivity (match and mismatch case) while there is only a slight difference in the corresponding amide acidity. Thus the acidity of the catalyst is not the only factor determining catalytic activity of the prolinamide derivatives. Moreover the proper choice of thioamide structure, reaction media and the additive are crucial for the outcome of the aldol reaction.
4.2.2. L-Prolinamides and Thioamides with a Terminal Hydroxy Group. Effects of the Hydroxy Group on Catalyst Activity
For L-prolinamides and thioamides possessing a terminal hydroxy group, it has been shown that observed enantioselectivity in the aldol reaction can be tuned by both the configuration and the electronic and steric nature of the α-substituent. In 2003, Gong, Wu et al. reported that (S)-pyrrolidine-2-carboxyamides with a terminal hydroxy group efficiently catalyzed direct aldol reactions of aromatic and aliphatic aldehydes in neat acetone [36]. As β-aminoalcohols are available from the chiral pool, a broad variety of these compounds can easily be prepared. L-Prolinamide 30, with a terminal hydroxy group, exhibited increased catalytic activity and enantioselectivity compared to the respective L-prolinamide [36]. The importance of the terminal hydroxy group was demonstrated by performing the aldol reaction of 4-nitrobenzaldehyde (7) with acetone (8) in the presence of suitably protected derivatives 30b, 30c, 30d (Figure 3) [37].
Figure 3.
The influence of terminal hydroxy group present in 30 on the reaction of aldehyde 7 with acetone (8).
The results confirmed both the amide and hydroxy groups being crucial for the enantioselectivity of the model reaction. Moreover, the (S)-configuration of Cα matched the (S)-configuration of L-proline though the effect was not very pronounced. The presence of an electron-withdrawing group at the α-carbon in the amine moiety rendered the N-H more acidic which was the crucial feature for high activity of the catalyst. According to Shi’s calculations, the amide acidity is influenced by the presence of electron-withdrawing group at α-carbon [23]. Thus prolinamide 32 with strongly electron-withdrawing substituents exhibited much higher catalytic efficiency than 30e as shown earlier by Gong and Wu (Scheme 6) [37].
Scheme 6.
Aldol reaction of 7 with 8 catalyzed by prolinamides with terminal hydroxy group.
Singh and co-workers studied prolinamides of type 33 possessing a tertiary hydroxy group [38].A series of catalysts was prepared and their catalytic activity was evaluated. All compounds with gem-diphenyl groups effectively catalyzed the reaction of benzaldehyde (34) with acetone (8) affording aldol 35 with high enantioselectivities, good yields in a reasonable period of time, even at −40 °C. Furthermore, the authors established that the presence of gem-phenyl groups at the β-carbon was vital for high enantioselectivity but not essential to have a stereogenic center at the α-position. Even unsubstituted derivatives gave high ee, though compounds with Me, i-Bu and Ph at the α-position were the most enantioselectiveled to higher levels of enantioselectivity (Table 9) [39].
Table 9.
The influence of α-substituent in catalyst 33 on the aldol reaction [39].
In agreement with previous results [18], when the configuration of the phenyl substituent at the α-carbon was changed to (R), enantioselectivity dropped from 84% to 24%; in this case the superiority of the catalyst with (S)-configuration was more pronounced than in derivatives related to 18.
Furthermore, in an aqueous medium both catalysts 33d and 33g gave excellent results though yield and ee were superior in brine and for all aldehydes studied, with the reaction proceeding in a highly enantioselective manner (up to >99% ee) [39]. The catalyst loading could be lowered to as little as 0.5% and with reasonable reaction times (10–16 h), the optimized reaction conditions are very useful from a synthetic point of view (Figure 4).
Figure 4.
Aldol reaction of arylaldehydes with acetone (8) catalyzed by 33g in aqueous medium [39].
The authors studied the role of water in these reactions and concluded that water was not only a reaction medium but it also influenced the rate and enantioselectivity of the reaction. These results confirmed our earlier findings that the hydrophobic effect plays a significant role in the aldol reaction [31]. They proposed that the reaction proceeded via the transition state in which an additional hydrogen bond was formed leading to a more compact transition state thus the approach of an aldehyde from Si face became more unfavorable. This explained the increase in ees of the aldol products. As in thioamides the NH bond is even more acidic than in amides it would be therefore interesting to investigate if the catalyst loading could be further diminished.
29/PhCO2H developed by Liu, Li and co-workers showed superior activity to 28/PhCO2H [35]. From Barbas and Hayashi’s work on aldol reactions in the presence of water it turned out that the hydrophobicity of an organocatalyst plays a significant role [40,41,42]. Subsequently, the same group prepared prolinamide 33c with terminal gem-phenyl substituents and its respective thio-derivative 39 [43]. Both catalysts gave excellent results in the reaction of cyclohexanone (11) with 4-nitrobenzaldehyde (7) although lower catalyst loading could be used with 39. The largest difference was observed when acetone (8) was used as a nucleophile, the catalyst loading could be as little as 0.2 mol%, although it must be noted that PhCO2H was used as an additive (Scheme 7).
Scheme 7.
Aldol reaction of 4-nitrobenzaldehyde (7) with acetone (8) being catalyzed by 33c or 39.
The reaction afforded the aldol product with high yield and enantioselectivity (92% yield and 95% ee) demonstrating the thioamide catalysts superiority. Studies revealed that the developed reaction conditions were suitable even for weakly electrophilic aldehydes such as benzaldehyde or 4-methylbenzaldehyde. In the absence of an acid, low yields and enantioselectivity were observed (40%, 70% ee), showing both the thioamide functionality and an additive were beneficial for higher catalytic activity. Thioamide 39 is a rare example among organocatalysts which was effective for less reactive aldehydes. Low catalyst loading, water as a solvent and high efficacy over a broad range of the substrates place this catalyst among the leading organocatalysts screened so far.
Nájera, Alonso and co-workers synthesized prolinamide/thioamide derived from commercially available (1S,2R)-cis-1-aminoindan-2-ol and studied its catalytic activity. This catalyst represents the first example in which the introduction of the hydroxy group to the catalyst structure diminished its stereoselectivity [32].
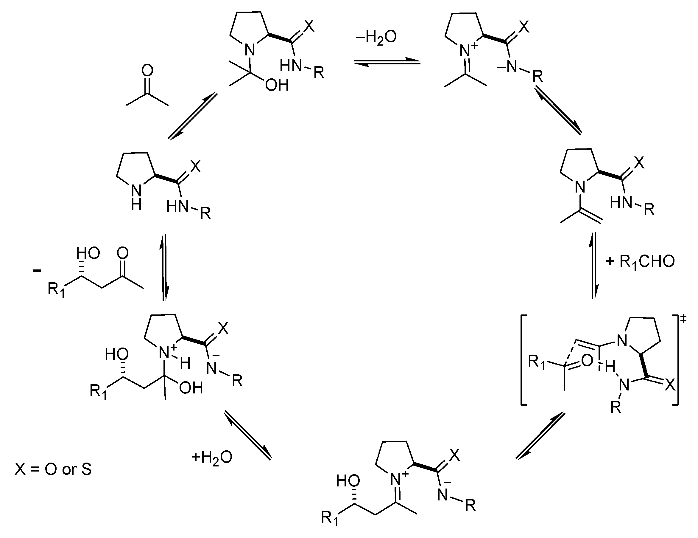
5. Mechanism of the Aldol Reaction Catalyzed by Prolinamide Derivatives
By analogy, it is assumed that the mechanism of the amide/thioamide catalyzed aldol reaction is similar to that proposed by List and Barbas for proline catalyzed aldol reaction [11]. Houk’s DFT (Density Functional Theory) calculations and List’s studies confirmed the involvement of only one molecule of proline in the TS [44,45,46].
In the proline catalyzed mechanism, both amine and acid functionalities are required for effective catalysis. Formation of the proposed enamine/iminium intermediate activates the acetone nucleophile at the α position, whilst the formation of a hydrogen bond between the carboxylic acid group and the aldehyde electrophile not only activates the aldehyde but also orients the approach of the electrophile (Scheme 8). It is believed that the effect of the amide/thioamide functionality is similar to that of the proline carboxylic acid group [17,18]. Moreover, for prolinamide possessing, an additional hydroxy group the quantum mechanics calculations on the transition states of model reactions of benzaldehydes with enamines revealed that both the amide N-H and the terminal hydroxy groups form hydrogen bonds with benzaldehyde substrate [18]. These hydrogen bonds act simultaneously in activating the electrophile and they are important for high enantioselectivity.
Scheme 8.
Mechanism for prolinamide/thioamide catalyzed aldol reaction.
Furthermore, based on List’s studies [46] we have also observed the presence of a linear relationship between the enantioselectivity of the catalyst and the observed enantioselectivity of the aldol product, thus supporting the involvement of only one molecule of the prolinethioamide in the transition state [18]. For the L-proline catalyzed aldol reaction all assumed intermediates involved were characterized by ESI-MS study [47]. While using the 1H NMR technique, the formation of assumed iminium ion was observed in the thioamide catalyzed reaction [30].
List has found that for the proline catalyzed aldol reaction the formation of oxazolidynones diminished only the yield [46]. In aldol reactions catalyzed by amide-derived imidazolidinone/imidazolidynethione influence also the level of stereocontrol [20,48]. When isolated imidazolidinethiones 40 and 41 were reacted with aldehyde or acetone, they afforded aldol product 17 with low yield and enantioselectivity (Scheme 9). The same results were obtained by Morán and co-workers for prolinamides catalyzed reaction.
Scheme 9.
The influence of imidazolidinethiones on the course of the thioamide-catalyzed aldol reaction.
In proline catalysis, the addition of TFA suppresses imidazolidinone formation, leading to an increase in enantiomeric excess of the reaction [48]. In contrast, in thioamide catalyzed aldol reactions with an acidic co-catalyst, imidazolidinothiones 40 and 41 are present in the reaction mixture, however their amount strongly depends on the type of an acid used [30].
6. Conclusions
A significant body of work has been conducted in the field of the organocatalyzed aldol reaction in recent years, however, only few catalysts show higher activity than proline itself with prolinamide derivatives being among them. This class of catalyst offers some advantages: they are easy to prepare and their properties can be easily tuned by simple modifications.
The replacement of the amide group with more acidic thioamide functionality has a beneficial effect on both the yield and the stereoselectivity. In prolinethioamides the NH can be rendered a better hydrogen bond donor which is crucial for efficacy of the catalyst but also steric factors influence the stereochemical outcome of the aldol reaction. Furthermore, for L-prolinamides and thioamides possessing a terminal hydroxy group, the enantioselectivity can be tuned through the configuration and the electronic and steric nature of the α-substituent. Moreover it can be further improved by the addition of an acidic co-catalyst, or by changing a reaction medium.
Although a lot of focus has already been placed on prolinamide catalyzed aldol reactions there are still some drawbacks (for example, high catalyst loadings and an excess of nucleophile are often required) which need to be overcome. We anticipate that further development in the field will offer solutions to these problems and new applications of prolinamide/thioamide catalysts will emerge in the near future.
Acknowledgements
The authors thank K. ó Proincias and Robert D. C. Pullin for helpful discussions. The work was supported by the Ministry of Higher Education and Science—grant No. N N204 187139.
References
- Erkkilä, A.; Majander, I.; Pihko, P.M. Iminium catalysis. Chem. Rev. 2007, 107, 5416–5470. [Google Scholar] [CrossRef] [PubMed]
- Mukherjee, S.; Yang, J.W.; Hoffmann, S.; List, B. Asymmetric enamine catalysis. Chem. Rev. 2007, 107, 5471–5569. [Google Scholar] [CrossRef]
- Berkessel, A.; Gröger, H. Asymmetric Organocatalysis; Wiley-VCH: Berlin, Germany, 2005; pp. 140–179. [Google Scholar]
- Tanaka, F.; Barbas, C.F., III. Aldol and Mannich-type reactions. In Enantioselective Organocatalysis; Dalko, P.I., Ed.; Wiley-VCH: Berlin, Germany, 2007; pp. 19–55. [Google Scholar]
- Bertelsen, S.; Jørgensen, K.A. Organocatalysis—after the gold rush. Chem. Soc. Rev. 2009, 38, 2178–2189. [Google Scholar] [CrossRef] [PubMed]
- Pihko, P.M.; Majander, I.; Erkkilä, A. Enamine catalysis. In Asymmetric Organocatalysis; List, B., Ed.; Springer-Verlag: Berlin, Germany, 2010; pp. 29–75. [Google Scholar]
- Geary, L.M.; Hultin, P.G. The state of the art in asymmetric induction: the aldol reaction as a case study. Tetrahedron: Asymmetry 2009, 20, 131–173. [Google Scholar] [CrossRef]
- Zlotin, S.G.; Kucherenko, A.S.; Beletskaya, I.P. Organocatalysis of asymmetric aldol reaction. Catalysts and reagents. Russ. Chem. Rev. 2009, 78, 737–784. [Google Scholar] [CrossRef]
- Hajos, Z.G.; Parrish, D.R. Asymmetric synthesis of bicyclic intermediates of natural product chemistry. J. Org. Chem. 1974, 39, 1615–1621. [Google Scholar] [CrossRef]
- Eder, U.; Sauer, G.; Wiechert, R. New type of asymmetric cyclization to optically active steroid CD partial structures. Angew. Chem. Int. Ed. 1971, 10, 496–497. [Google Scholar] [CrossRef]
- List, B.; Lerner, R.; Barbas, C.F., III. Proline-catalyzed direct asymmetric aldol reactions. J. Am. Chem. Soc. 2000, 122, 2395–2396. [Google Scholar] [CrossRef]
- Bellis, E.; Kokotos, G. 4-Substituted prolines as oragnocatalysts for aldol reactions. Tetrahedron 2005, 61, 8669–8676. [Google Scholar] [CrossRef]
- Aratake, S.; Itoh, T.; Okano, T.; Nagae, N.; Sumiya, T.; Shoji, M.; Hayashi, Y. Highly diastereo- and enantioselective direct aldol reactions of aldehydes and ketones catalyzed by siloxyproline in the presence of water. Chem. Eur. J. 2007, 13, 10246–10256. [Google Scholar] [CrossRef]
- Hayashi, Y.; Aratake, S.; Okano, T.; Takahashi, J.; Sumiya, T.; Shoji, M. Combined proline-surfactant organocatalyst for the highly diastereo- and enantioselective aqueous direct cross-aldol reaction of aldehydes. Angew. Chem. Int. Ed. 2006, 45, 5527–5529. [Google Scholar] [CrossRef] [PubMed]
- Hartikka, A.; Arvidsson, P.I. Rational design of asymmetric organocatalysts—increased reactivity and solvent scope with a tetrazolic acid. Tetrahedron: Asymmetry 2004, 15, 1831–1834. [Google Scholar] [CrossRef]
- Torii, H.; Nakadai, M.; Ishihara, K.; Saito, S.; Yamamoto, H. Asymmetric direct aldol reaction assisted by water and a proline-derived tetrazole catalyst. Angew. Chem. Int. Ed. 2004, 43, 1983–1986. [Google Scholar] [CrossRef] [PubMed]
- Mitchell, C.E.T.; Brenner, S.E.; García-Fortanet, J.; Ley, S.V. An efficient, asymmetric organocatalyst-mediated conjugate addition of nitroalkanes to unsaturated cyclic and acyclic ketones. Org. Biomol. Chem. 2006, 4, 2039–2049. [Google Scholar] [CrossRef] [PubMed]
- Tang, Z.; Jiang, F.; Cui, X.; Gong, L.-Z.; Mi, A.-Q.; Jiang, Y.-Z.; Wu, Y.-D. Enantioselective direct aldol reactions catalyzed by L-prolineamide derivatives. Proc. Natl. Acad. Sci. USA 2004, 101, 5755–5760. [Google Scholar] [CrossRef]
- Gryko, D.; Lipiński, R. L-Prolinethioamides–eficient organocatalysts for the direct asymmetric aldol reaction. Adv. Synth. Catal. 2005, 347, 1948–1952. [Google Scholar] [CrossRef]
- Gryko, D.; Lipiński, R. Direct asymmetric aldol reaction catalysed by L-proinethioamides. Eur. J. Org. Chem. 2006, 3864–3876. [Google Scholar] [CrossRef]
- Almaşi, D.; Alonso, D.A.; Nájera, C. Prolinamides versus prolinethioamides as recyclabe catalysts in the enantioselective solvent-free inter- and intramolecular aldol reactions. Adv. Synth. Catal. 2008, 350, 2467–2472. [Google Scholar] [CrossRef]
- Bordwell, F.G.; Ji, G.Z. Effects of structural changes on acidities and hemolytic bond dissociation energies of the hydrogen-nitrogen bonds in amidines, carboxamides, and thiocarboxamides. J. Am. Chem. Soc. 1991, 113, 8398–8401. [Google Scholar] [CrossRef]
- Huang, X.-Y.; Wang, H.-J.; Shi, J. Theoretical study on acidities of (S)-proline amide derivatives in DMSO and its implications for organocatalysis. J. Phys. Chem. A 2010, 114, 1068–1081. [Google Scholar] [CrossRef] [PubMed]
- Aratake, S.; Itoh, T.; Okano, T.; Usui, T.; Shoji, M.; Hayashi, Y. Small organic molecule in enantioselective, direct aldol reaction “in water”. Chem. Commun. 2007, 2524–2526. [Google Scholar] [CrossRef] [PubMed]
- He, L.; Tang, Z.; Cun, L.-F.; Mi, A.-Q.; Jiang, Y.-Z.; Gong, L.-Z. L-Proline amide-catalyzed direct asymmetric aldol reaction o aldehydes with chloroacetone. Tetrahedron 2006, 62, 346–351. [Google Scholar] [CrossRef]
- Chen, X.-H.; Luo, S.-W.; Tang, Z.; Cun, L.-F.; Mi, A.-Q.; Jiang, Y.-Z.; Gong, L.-Z. Organocatalyzed highly enantioselective direct aldol reactios of aldehydes with hydroxyacetone and fluoroacetone in aqueous media: the use of water to control regioselectivity. Chem. Eur. J. 2007, 13, 689–701. [Google Scholar] [CrossRef] [PubMed]
- Moorthy, J.N.; Saha, S. Highly diastereo- and enantioselective aldol reactions in common organic solvents using N-arylprolinamides as organocatalysts with enhanced acidity. Eur. J. Org. Chem. 2009, 739–748. [Google Scholar] [CrossRef]
- Chimni, S.S.; Singh, S.; Mahajan, D. Protonated (S)-prolinamide derivatives—water compatible organocatalysts for direct asymmetric aldol reaction. Tetrahedron: Asymmetry 2008, 19, 2276–2284. [Google Scholar] [CrossRef]
- Ji, C.; Peng, Y.; Huang, C.; Wang, N.; Jiang, Y. The influence of acidity on direct aldol reactions catalyzed by pyrrolidine/acid bifunctional organocatalyst. Synlett 2005, 986–990. [Google Scholar]
- Gryko, D.; Zimnicka, M.; Lipiński, R. Brønsted acids as additives for the direct asymmetric aldol reaction catalyzed by L-proinethioamides. Direct evidence for enamine-iminium catalysis. J. Org. Chem. 2007, 72, 964–970. [Google Scholar] [CrossRef]
- Gryko, D.; Saletra, W. Organocatalytic asymmetric aldol reaction in the presence of water. Org. Biomol. Chem. 2007, 5, 2148–2153. [Google Scholar] [CrossRef]
- Almaşi, D.; Alonso, D.A.; Balaguer, A.N.; Nájera, C. Water versus solvent-free conditions for the enatioselective inter- and intramolecular aldol reaction employing L-prolinamides and L-prolinethioamides as organocatalysts. Adv. Synth. Catal. 2009, 351, 1123–1131. [Google Scholar]
- Wennemers, H. Peptides as asymmetric catalysts for aldol reactions. CHIMIA Int. J. Chem. 2007, 61, 276–278. [Google Scholar] [CrossRef]
- Tang, Z.; Yang, Z.-H.; Cun, L.-F.; Gong, L.-Z.; Mi, A.-Q.; Jiang, Y.-Z. Small peptides catalyze highly enantioselective direct aldol reactions of aldehydes with hydroxyacetone: Unprecedented regiocontrol in aqueous media. Org. Lett. 2004, 6, 2285–2287. [Google Scholar] [CrossRef] [PubMed]
- Wang, B.; Chen, G.; Liu, L.; Chang, W.; Li, J. A novel proline-valinol thioamide small organic molecule highly enantioselective direct aldol reaction. Adv. Synth. Catal. 2009, 351, 2441–2448. [Google Scholar] [CrossRef]
- Tang, Z.; Jiang, F.; Yu, L.-T.; Cui, X.; Gong, L.-Z.; Mi, A.-Q.; Jiang, Y.-Z.; Wu, Y.-D. Novel small organic molecules for a highly enantioselective direct aldol reaction. J. Am. Chem. Soc. 2003, 125, 5262–5263. [Google Scholar] [CrossRef] [PubMed]
- Tang, Z.; Yang, Z.-H.; Chen, X.-H.; Cun, L.-F.; Mi, A.-Q.; Jiang, Y.-Z.; Gong, L.-Z. A highly efficient organocatalyst for direct aldol reactions of ketones with aldehydes. J. Am. Chem. Soc. 2005, 127, 9285–9289. [Google Scholar] [CrossRef] [PubMed]
- Maya, V.; Raj, M.; Singh, V. Highly enantioselective organocatalytic direct aldol reaction in an aqueous medium. Org. Lett. 2007, 9, 2593–2595. [Google Scholar] [CrossRef] [PubMed]
- Raj, M.; Maya, V.; Ginotra, S.K.; Singh, V.K. Highly enantioselective direct aldol reaction catalyzed by organic molecules. Org. Lett. 2006, 8, 4097–4099. [Google Scholar] [CrossRef] [PubMed]
- Mase, N.; Nakai, Y.; Ohara, N.; Yoda, H.; Takabe, K.; Tanaka, F.; Barbas, C.F., III. Organocatalytic direct asymmetric aldol reactions in water. J. Am. Chem. Soc. 2006, 128, 734–735. [Google Scholar] [CrossRef] [PubMed]
- Mase, N.; Watanabe, K.; Yoda, H.; Takabe, K.; Tanaka, F.; Barbas, C.F., III. Organocatalytic direct Michael reaction of ketones and aldehydes with β-nitrostyrene in brine. J. Am. Chem. Soc. 2006, 128, 4966–4967. [Google Scholar] [CrossRef] [PubMed]
- Hayashi, Y. In water or in presence of water? Angew. Chem. Int. Ed. 2006, 48, 8103–8104. [Google Scholar] [CrossRef]
- Wang, B.; Liu, X.; Liu, L.; Chang, W.; Li, J. Highly efficient direct asymmetric aldol reactions catalyzed by a prolinethioamide derivative in aqueous media. Eur. J. Org. Chem. 2010, 5951–5954. [Google Scholar] [CrossRef]
- Bahmanyar, S.; Houk, K.N.; Martin, H.J.; List, B. Quantum mechanical predictions of the stereoselectivities of proline-catalyzed asymmetric intermolecular aldol reactions. J. Am. Chem. Soc. 2003, 125, 2475–2479. [Google Scholar] [CrossRef] [PubMed]
- Bahmanyar, S.; Houk, K.N. Transition states of amine-catalyzed aldol reactions involving enamine intermediates: Theoretical studies of mechanism, reactivity and stereoselectivity. J. Am. Chem. Soc. 2001, 123, 11273–11283. [Google Scholar] [CrossRef] [PubMed]
- List, B.; Hoang, L.; Martin, H.J. New mechanistic studies on the proline-catalyzed aldol reaction. Proc. Natl. Acad. Sci. USA 2004, 101, 5839–5842. [Google Scholar] [CrossRef] [PubMed]
- Marquez, C.; Metzger, J.O. ESI-MS study on the aldol reaction catalyzed by L-proline. Chem. Commun. 2006, 1539–1541. [Google Scholar] [CrossRef] [PubMed]
- Fuentes de Arriba, A.L.; Simón, L.; Raposo, C.; Alcázar, V.; Sanz, F.; Muñiz, F.M.; Morán, J.R. Imidazolidinone intermediates in prolinamide-catalyzed aldol reactions. Org. Biomol. Chem. 2010, 8, 2979–2985. [Google Scholar] [CrossRef] [PubMed]
© 2011 by the authors; licensee MDPI, Basel, Switzerland. This article is an open access article distributed under the terms and conditions of the Creative Commons Attribution license (http://creativecommons.org/licenses/by/3.0/).


















